-
为深入理解扭角双层石墨烯系统中关联态之间的关系和超导配对机理以及扭转角度对超导电性的影响, 采用大尺度无偏差的约束路径量子蒙特卡罗方法在构建的扭角双层石墨烯有效二轨道哈伯德模型中进行了系统的数值模拟. 首先, 从电声子耦合的层面, 数值模拟结果显示晶格间近邻吸引库仑相互作用强烈地增强系统主导的手性${\mathrm{d}}+{\mathrm{id}}$超导电子配对对称性, 并且发现布里渊区Γ点附近的反铁磁序也存在同样的增强效应, 这说明反铁磁序是形成手性${\mathrm{d}}+{\mathrm{id}}$超导态的先决条件. 更为重要的是此理论结果表明电声子耦合对调控超导电性具有重要的作用. 其次, 从双层石墨烯扭转角度的层面, 讨论了扭转角度对超导电性的影响, 数值模拟结果表明扭转角度在1.08°附近, 随着扭转角度的减小系统主导的手性${\mathrm{d}}+{\mathrm{id}}$超导电子配对对称性以及反铁磁序同样表现出增强的协同效应. 本文的研究结果为进一步揭示扭角双层石墨烯中的超导机理和提高系统的超导临界转变温度提供了重要的研究方向.
We employ a large-scale, unbiased constrained-path quantum Monte Carlo method to systematically simulate the effective two-orbital Hubbard model for twisted bilayer graphene in order to gain deeper insight into the relationship between correlated states and the superconducting pairing mechanism in twisted bilayer graphene, as well as the influence of the twist angle on superconductivity. Initially, we investigate the modulation of superconductivity by nearest-neighbor attractive Coulomb interactions, demonstrating that electron-phonon coupling plays a significant role in the system. Our numerical results reveal that the superconducting state is dominated by chiral NN-${\mathrm{d}}+{\mathrm{id}} $ superconducting electron pairing symmetry, and that such nearest-neighbor attractive Coulomb interactions significantly enhance the effective long-range pairing correlation function of chiral NN-${\mathrm{d}}+{\mathrm{id}} $ wave. From this perspective, it is evident that the electron-phonon coupling positively contributes to the superconductivity of the system. Then, we explore how the twist angle affects the superconducting state. The flat-band structure caused by hopping anisotropy reflects the different twist angles of the system. Our results show that as the twist angle deviates downward from 1.08°, the effective pairing correlation function of the chiral NN-${\mathrm{d}}+{\mathrm{id}} $ wave increases substantially. Conversely, as the twist angle exceeds 1.08°, the effective correlation function of the chiral NN-${\mathrm{d}}+{\mathrm{id}} $ wave exhibits a tendency of decline. These results suggest that further reduction of the twist angle may lead to higher superconducting transition temperature in twisted bilayer graphene system. Finally, we analyze how nearest-neighbor attractive Coulomb interactions and flat-band structures influence superconductivity from the standpoint of magnetic properties. The observed enhancement of the spin structure factor near the Γ point in the Brillouin zone indicates that enhanced antiferromagnetic correlations are essential for enhancing the superconducting transition temperature and for stabilizing chiral NN-${\mathrm{d}}+{\mathrm{id}} $ wave. Through these investigations, our numerical findings not only contribute to a more comprehensive understanding of strongly correlated systems such as twisted bilayer graphene, but also provide guidance for identifying twist-angle systems with potentially higher superconducting transition temperatures. -
Keywords:
- chiral $\mathrm{d}+\mathrm{id} $ superconducting state /
- constrained path quantum Monte Carlo method /
- twisted bilayer graphene /
- magnetism
[1] Cao Y, Fatemi V, Fang S, Watanabe K, Taniguchi T, Kaxiras E, Jarillo-Herrero P 2018 Nature 556 43
Google Scholar
[2] Cao Y, Fatemi V, Demir A, Fang S, Tomarken S L, Luo J Y, Sanchez-Yamagishi J D, Watanabe K, Taniguchi T, Kaxiras E, Ashoori R C, Jarillo-Herrero P 2018 Nature 556 80
Google Scholar
[3] Oh M, Nuckolls K P, Wong D, Lee R L, Liu X, Watanabe K, Taniguchi T, Yazdani A 2021 Nature 600 240
Google Scholar
[4] Lu X B, Stepanov P, Yang W, Xie M, Aamir M A, Das I, Urgell C, Watanabe K, Taniguchi T, Zhang G, Bachtold A, MacDonald A H, Efetov D K 2019 Nature 574 653
Google Scholar
[5] Cao Y, Chowdhury D, Rodan-Legrain D, Rubies-Bigorda O, Watanabe K, Taniguchi T, Senthil T, Jarillo-Herrero P 2020 Phys. Rev. Lett. 124 076801
Google Scholar
[6] Jaoui A, Das I, Di Battista G, Díez-Mérida J, Lu X, Watanabe K, Taniguchi T, Ishizuka H, Levitov L, Efetov D K 2022 Nat. Phys. 18 633
Google Scholar
[7] Serlin M, Tschirhart C L, Polshyn H, Zhang Y, Zhu J, Watanabe K, Taniguchi T, Balents L, Young A F 2020 Science 367 900
Google Scholar
[8] Tilak N, Lai X, Wu S, Zhang Z, Xu M, de Almeida Ribeiro R, Canfield P C, Andrei E Y 2021 Nat. Commun. 12 4180
Google Scholar
[9] Lisi S, Lu X, Benschop T, de Jong T A, Stepanov P, Duran J R, Margot F, Cucchi I, Cappelli E, Hunter A, Tamai A, Kandyba V, Giampietri A, Barinov A, Jobst J, Stalman V, Leeuwenhoek M, Watanabe K, Taniguchi T, Rademaker L, van der Molen S J, Allan M P, Efetov D K, Baumberger F 2021 Nat. Phys. 17 189
Google Scholar
[10] Haddadi F, Wu Q, Kruchkov A J, Yazyev O V 2020 Nano Lett. 20 2410
Google Scholar
[11] Cao Y, Rodan-Legrain D, Park J M, Yuan N F Q, Watanabe K, Taniguchi T, Fernandes R M, Fu L, Jarillo-Herrero P 2021 Science 372 264
Google Scholar
[12] Hasegawa Y, Kohmoto M 2013 Phys. Rev. B 88 125426
Google Scholar
[13] 刘健鹏, 戴希 2020 物理学报 69 147301
Google Scholar
Liu J P, Dai X 2020 Acta Phys. Sin. 69 147301
Google Scholar
[14] Lucignano P, Alfè D, Cataudella V, Ninno D, Cantele G 2019 Phys. Rev. B 99 195419
Google Scholar
[15] Yuan N F Q, Fu L 2018 Phys. Rev. B 98 045103
Google Scholar
[16] Yuan N F Q, Fu L 2018 Phys. Rev. B 98 079901
Google Scholar
[17] Po H C, Zou L, Vishwanath A, Senthil T 2018 Phys. Rev. X 8 031089
Google Scholar
[18] Kennes D M, Lischner J, Karrasch C 2018 Phys. Rev. B 98 241407
Google Scholar
[19] Huang T, Zhang L, Ma T 2019 Sci. Bull. 64 310
Google Scholar
[20] Guo H, Zhu X, Feng S, Scalettar R T 2018 Phys. Rev. B 97 235453
Google Scholar
[21] Gu X, Chen C, Leaw J N, Laksono E, Pereira V M, Vignale G, Adam S 2020 Phys. Rev. B 101 180506
Google Scholar
[22] Van Loon S, Sá de Melo C A R 2025 Phys. Rev. B 111 064515
Google Scholar
[23] Ray S, Jung J, Das T 2019 Phys. Rev. B 99 134515
Google Scholar
[24] Roy B, Juričić V 2019 Phys. Rev. B 99 121407
Google Scholar
[25] Peltonen T J, Ojajärvi R, Heikkilä T T 2018 Phys. Rev. B 98 220504
Google Scholar
[26] Pahlevanzadeh B, Sahebsara P, Sénéchal D 2021 SciPost Phys. 11 017
Google Scholar
[27] Pangburn E, Alvarado M, Awoga O A, Pépin C, Bena C 2024 Phys. Rev. B 110 184515
Google Scholar
[28] Wagner G, Kwan Y H, Bultinck N, Simon S H, Parameswaran S A 2024 Phys. Rev. B 110 214517
Google Scholar
[29] Wang Y, Kang J, Fernandes R M 2021 Phys. Rev. B 103 024506
Google Scholar
[30] Liu C C, Zhang L D, Chen W Q, Yang F 2018 Phys. Rev. Lett. 121 217001
Google Scholar
[31] Chen C, Nuckolls K P, Ding S, Miao W, Wong D, Oh M, Lee R L, He S, Peng C, Pei D, Li Y, Hao C, Yan H, Xiao H, Gao H, Li Q, Zhang S, Liu J, He L, Watanabe K, Taniguchi T, Jozwiak C, Bostwick A, Rotenberg E, Li C, Han X, Pan D, Liu Z, Dai X, Liu C, Bernevig B A, Wang Y, Yazdani A, Chen Y 2024 Nature 636 342
Google Scholar
[32] Lian B, Wang Z, Bernevig B A 2019 Phys. Rev. Lett. 122 257002
Google Scholar
[33] Wu F, MacDonald A H, Martin I 2018 Phys. Rev. Lett. 121 257001
Google Scholar
[34] Liu C X, Chen Y, Yazdani A, Bernevig B A 2024 Phys. Rev. B 110 045133
Google Scholar
[35] Girotto N, Linhart L, Libisch F 2023 Phys. Rev. B 108 155415
Google Scholar
[36] Choi Y W, Choi H J 2018 Phys. Rev. B 98 241412
Google Scholar
[37] Das Sarma S, Wu F 2020 Ann. Phys. 417 168193
Google Scholar
[38] Gao S, Zhou J J, Luo Y, Bernardi M 2024 Phys. Rev. Mater. 8 L051001
Google Scholar
[39] Nam N N T, Koshino M 2017 Phys. Rev. B 96 075311
Google Scholar
[40] Trotter H F 1959 Proceedings of the American Mathematical Society 10 545
Google Scholar
[41] Suzuki M 1976 Commun. Math. Phys. 51 183
Google Scholar
[42] Hirsch J E 1983 Phys. Rev. B 28 4059
Google Scholar
[43] Zhang S, Carlson J, Gubernatis J E 1997 Phys. Rev. B 55 7464
Google Scholar
[44] Shi H, Zhang S 2013 Phys. Rev. B 88 125132
Google Scholar
[45] Shi H, Jiménez-Hoyos C A, Rodríguez-Guzmán R, Scuseria G E, Zhang S 2014 Phys. Rev. B 89 125129
Google Scholar
[46] Vitali E, Shi H, Qin M, Zhang S 2016 Phys. Rev. B 94 085140
Google Scholar
[47] Xu X Y, Wessel S, Meng Z Y 2016 Phys. Rev. B 94 115105
Google Scholar
[48] Ying T, Wessel S 2018 Phys. Rev. B 97 075127
Google Scholar
[49] Fang S C, Liu G K, Lin H Q, Huang Z B 2019 Phys. Rev. B 100 115135
Google Scholar
[50] Fang S C, Zheng X J, Lin H Q, Huang Z B 2020 J. Phys. Condens. Matter 33 025601
Google Scholar
[51] Chen Z, Wang Y, Rebec S N, Jia T, Hashimoto M, Lu D, Moritz B, Moore R G, Devereaux T P, Shen Z X 2021 Science 373 1235
Google Scholar
[52] Wang Y, Chen Z, Shi T, Moritz B, Shen Z X, Devereaux T P 2021 Phys. Rev. Lett. 127 197003
Google Scholar
[53] Cheng K, Fang S C, Huang Z B 2024 Phys. Rev. B 109 014519
Google Scholar
[54] Damascelli A, Hussain Z, Shen Z X 2003 Rev. Mod. Phys. 75 473
Google Scholar
[55] Halboth C J, Metzner W 2000 Phys. Rev. Lett. 85 5162
Google Scholar
[56] Headings N S, Hayden S M, Coldea R, Perring T G 2010 Phys. Rev. Lett. 105 247001
Google Scholar
[57] Sun Z, Lin H Q 2024 Phys. Rev. B 109 035107
Google Scholar
[58] Dai P 2015 Rev. Mod. Phys. 87 855
Google Scholar
[59] Johnston D C 2010 Adv. Phys. 59 803
Google Scholar
[60] Mebratie G, Abera B, Mekuye B, Bekele T 2024 Results in Physics 57 107446
Google Scholar
[61] Gong Z, Zou J, Xu G 2024 Phys. Rev. B 110 085128
Google Scholar
[62] Li Q, Zhang H, Wang Y, Chen W, Bao C, Liu Q, Lin T, Zhang S, Zhang H, Watanabe K, Taniguchi T, Avila J, Dudin P, Li Q, Yu P, Duan W, Song Z, Zhou S 2024 Nat. Mater. 23 1070
Google Scholar
[63] Tarnopolsky G, Kruchkov A J, Vishwanath A 2019 Phys. Rev. Lett. 122 106405
Google Scholar
[64] Chou Y Z, Tan Y, Wu F, Das Sarma S 2024 Phys. Rev. B 110 L041108
Google Scholar
[65] Yu G, Wang Y, Katsnelson M I, Yuan S 2023 Phys. Rev. B 108 045138
Google Scholar
-
图 1 (a)扭角双层石墨烯有效两轨道哈伯德模型电子跳跃项示意图. 黑色(红色)点代表子格子A (B), 每个晶格点包含两个轨道. $ t_{1}, t_{1}' $表示最近邻电子跳跃积分, $ t_{2}, t_{2}' $代表第五近邻电子跳跃积分. (b)扭转角度为1.08°、晶格尺寸$ L = 5 $的晶格结构示意图. 黑色和红色子格点表示第一层不等价的碳原子A和碳原子B, 绿色和蓝色表示第二层不等价的碳原子$ A_{1} $和碳原子$ B_{1} $. 三条黑色的曲线表示周期性结构边长
Fig. 1. (a) Schematic diagram illustrating the electron hopping terms of effective two-orbital Hubbard model on the twisted bilayer graphene. The black (red) dots represent sublattice A (B), with each lattice point containing two orbitals. The hopping integrals $ t_{1} $ and $ t_{1}' $ correspond to nearest-neighbor interactions, while $ t_{2} $ and $ t_{2}' $ represent the fifth-nearest-neighbor interactions. (b) Schematic of the lattice structure with a twist angle of 1.08° and lattice size $ L = 5 $. Black and red points correspond to the inequivalent carbon atoms A and B in the first layer, while green and blue points represent the inequivalent atoms $ A_{1} $ and $ B_{1} $ in the second layer. The three black curves denote the periodic boundary lengths of the structure.
图 2 各种轨道内电子配对形式的示意图 (a) NN-s对称性; (b) NN-$ {\mathrm{d}}+{\mathrm{id}} $对称性; (c) NN-$ {\mathrm{p}}+{\mathrm{ip}} $对称性; (d) NNN-$ {\mathrm{d}}+{\mathrm{id}} $对称性; (e) NNN-$ {\mathrm{p}}+{\mathrm{ip}} $对称性; (f) NNN-f对称性
Fig. 2. Schematic diagrams of various intra-orbital electron pairing symmetry: (a) NN-s-wave symmetry; (b) NN-$ {\mathrm{d}}+{\mathrm{id}} $-wave symmetry; (c) NN-$ {\mathrm{p}}+{\mathrm{ip}} $-wave symmetry; (d) NNN-$ {\mathrm{d}}+{\mathrm{id}} $-wave symmetry; (e) NNN-${\mathrm{p}}+{\mathrm{ip}} $-wave symmetry; (f) NNN-f-wave symmetry.
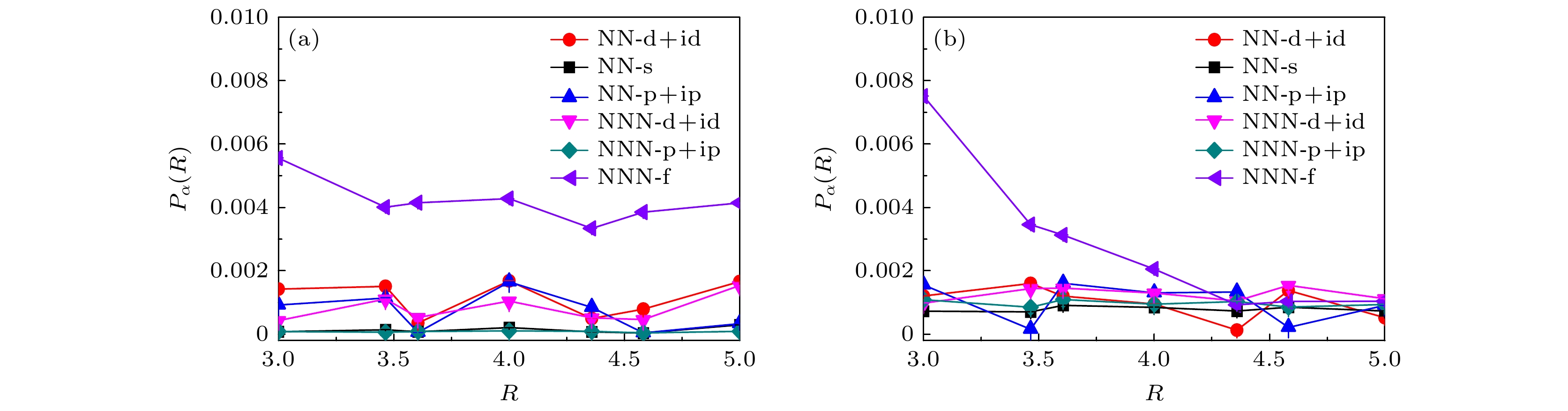
图 3 晶格大小为$ L = 5 $的各种电子配对对称性的配对关联函数$ P_{\alpha}(R) $随配对距离R的变化 (a) $ U = 2.0,V =0.0, $$ \langle n \rangle = 0.933 $; (b) $ U = 0.0, V = -0.3, \langle n \rangle = 0.933 $; (c) $ U = 2.0, V = 0.0, \langle n \rangle = 0.893 $; (d) $ U = 0.0,V = -0.3,\langle n \rangle =0.893 $
Fig. 3. Pairing correlation functions $ P_{\alpha}(R) $ as a function of pairing distance R for various electron pairing symmetries in a lattice of size $ L = 5 $: (a) $ U = 2.0 $, $ V = 0.0 $, $ \langle n \rangle = 0.933 $; (b) $ U = 0.0 $, $ V = -0.3 $, $ \langle n \rangle = 0.933 $; (c) $ U = 2.0 $, $ V = 0.0 $, $ \langle n \rangle = 0.893 $; (d) $ U = 0.0 $, $ V = -0.3 $, $ \langle n \rangle = 0.893 $.
图 4 无相互作用项时晶格大小为$ L = 5 $的各种电子配对对称性的配对关联函数$ P_{\alpha}(R) $随配对距离R的变化 (a) $ \langle n \rangle = $$ 0.933 $; (b) $ \langle n \rangle = 0.893 $
Fig. 4. Pairing correlation functions $ P_{\alpha}(R) $ as a function of pairing distance R for various electron pairing symmetries in a non-interacting system with lattice size $ L = 5 $: (a) $ \langle n \rangle = 0.933 $; (b) $ \langle n \rangle = 0.893 $.
图 5 在位库仑相互作用强度$ U = 2.0 $时, 晶格大小为$ L = 5 $的各种电子配对对称性的平均有效配对关联函数$ \overline{V}_{\alpha}(R\geqslant3) $随近邻库仑相互作用强度V的变化 (a) $ \langle n \rangle = 0.933 $; (b) $ \langle n \rangle = 0.893 $
Fig. 5. Average effective pairing correlation functions $ \overline{V}_{\alpha}(R\geqslant3) $ as a function of nearest-neighbor Coulomb interaction V for various electron pairing symmetries in a system with on-site Coulomb interaction strength $ U = 2.0 $ and lattice size $ L = 5 $: (a) $ \langle n \rangle = 0.933 $; (b) $ \langle n \rangle = 0.893 $.
图 6 在位库仑相互作用强度$ U = 2.0 $时, 晶格大小为$ L = 6 $的手性NN-$ {\mathrm{d}}+{\mathrm{id}} $波配对对称性的有效配对关联函数$ {V}_{{\mathrm{d}}+{\mathrm{id}}} $随长程配对距离R的变化 (a) $ \langle n \rangle = 0.954 $; (b) $ \langle n \rangle = 0.926 $
Fig. 6. Effective pairing correlation functions $ {V}_{{\mathrm{d}}+{\mathrm{id}}} $ as a function of long-range pairing distance R for the chiral NN-$ {\mathrm{d}}+{\mathrm{id}} $-wave pairing symmetry in a system with on-site Coulomb interaction strength $ U = 2.0 $ and lattice size $ L = 6 $: (a) $ \langle n \rangle = 0.954 $; (b) $ \langle n \rangle = 0.926 $.
图 7 在位库仑相互作用强度$ U = 2.0 $时, 晶格大小为$ L = 5 $的自旋结构因子$ S(q) $沿着第一布里渊区高对称线$ \varGamma \to M \to $$ K \to \varGamma $方向的变化曲线 (a) $ \langle n \rangle = 0.933 $; (b) $ \langle n \rangle = 0.893 $. 插图中的紫色线代表第一布里渊区的高对称线, 这里Γ, M, K的坐标分别为$ (0, 0) $, $ \Big(\dfrac{2\pi}{3}, 0\Big) $, $ \Big(\dfrac{2\pi}{3\sqrt{3}}, 0\Big) $
Fig. 7. Spin structure factor $ S(q) $ along the high-symmetry lines $ \varGamma \to M \to K \to \varGamma $ in the first Brillouin zone for a system with on-site Coulomb interaction strength $ U = 2.0 $ and lattice size $ L = 5 $: (a) $ \langle n \rangle = 0.933 $; (b) $ \langle n \rangle = 0.893 $. The inset shows the high-symmetry lines in the first Brillouin zone, with the coordinates of Γ, M, and K given by $ (0, 0) $, $\Big(\dfrac{2\pi}{3}, 0\Big) $, and $ \Big(\dfrac{2\pi}{3\sqrt{3}}, 0\Big) $, respectively. The purple lines in the inset represent the high-symmetry lines.
图 8 无相互作用的哈伯德模型对应的能带结构和态密度 (a), (c), (e)分别为$ t_{1}' = t_{2}' = 0.15 $, $ t_{1}' = t_{2}' = 0.10 $, $ t_{1}' = t_{2}' = 0.05 $的情况下能带沿着第一布里渊区高对称线方向的演化曲线; (b), (d), (f)分别为$ t_{1}' = t_{2}' = 0.15 $, $ t_{1}' = t_{2}' = 0.10 $, $ t_{1}' = t_{2}' = 0.05 $的情况下状态数关于能量的函数关系, 红色虚线和蓝色虚线分别对应电子填充浓度为$ \langle n \rangle = 0.933 $和$ \langle n \rangle = 0.893 $的费米能级位置
Fig. 8. Band structure and density of states (DOS) for the non-interacting Hubbard model. Panels (a), (c), and (e) display the band dispersion along the high-symmetry lines in the first Brillouin zone for $ t_{1}' = t_{2}' = 0.15 $, $ t_{1}' = t_{2}' = 0.10 $, and $ t_{1}' = t_{2}' = 0.05 $, respectively. Panels (b), (d), and (f) show the density of states as a function of energy for the same values of $ t_{1}' = t_{2}' $. The red and blue dashed lines represent the Fermi level positions corresponding to electron fillings of $ \langle n \rangle = 0.933 $ and $ \langle n \rangle = 0.893 $, respectively.
图 9 在位库仑相互作用强度$ U = 2.0 $及近邻库仑相互作用强度$ V = 0.0 $时, 晶格大小为$ L = 5 $的各种电子配对对称性的平均有效配对关联函数$ \overline{V}_{\alpha}(R\geqslant3) $随电子跳跃破缺项$ t_{1, 2}' $的变化 (a) $ \langle n \rangle = 0.933 $; (b) $ \langle n \rangle = 0.893 $
Fig. 9. Average effective pairing correlation functions $ \overline{V}{\alpha}(R \geqslant 3) $ as a function of electron hopping anisotropy terms $ t_{1, 2}' $ for various electron pairing symmetries in a system with on-site Coulomb interaction strength $ U = 2.0 $, nearest-neighbor Coulomb interaction strength $ V = 0.0 $, and lattice size $ L = 5 $: (a) $ \langle n \rangle = 0.933 $; (b) $ \langle n \rangle = 0.893 $.
图 10 平带结构调控下, 在位库仑相互作用强度$ U = 2.0 $及近邻库仑相互作用强度$ V = 0.0 $时, 晶格大小为$ L = 6 $的手性NN-$ {\mathrm{d}}+{\mathrm{id}} $波配对对称性有效配对关联函数$ V_{{\mathrm{d}}+{\mathrm{id}}} $随长程配对距离R的变化 (a) $ \langle n \rangle = 0.954 $; (b) $ \langle n \rangle = 0.926 $
Fig. 10. Effective pairing correlation function $ V_{{\mathrm{d}}+{\mathrm{id}}} $ as a function of the long-range pairing distance R for the chiral NN-$ {\rm d+id} $-wave pairing symmetry with lattice size $ L = 6 $ under flat band structure modulation with an on-site Coulomb interaction strength of $ U = 2.0 $ and nearest-neighbor Coulomb interaction strength of $ V = 0.0 $: (a) $ \langle n \rangle = 0.954 $; (b) $ \langle n \rangle = 0.926 $.
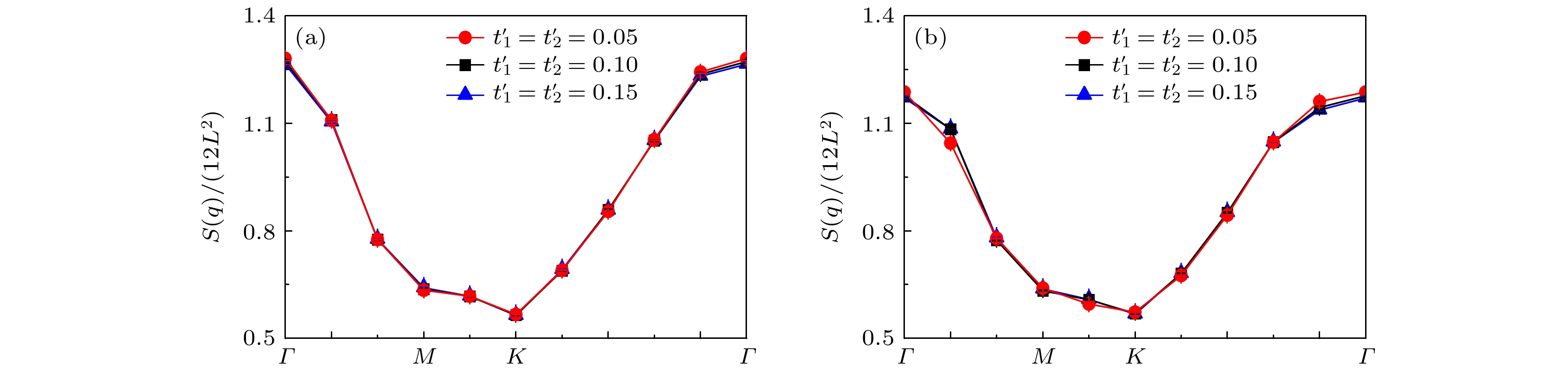
图 11 平带结构调控下, 在位库仑相互作用强度$ U = 2.0 $、近邻库仑相互作用强度$ V = 0.0 $、晶格大小为$ L = 5 $时, 自旋结构因子$ S(q) $沿着第一布里渊区高对称线$ \varGamma \to M \to K \to \varGamma $方向的变化曲线 (a) $ \langle n \rangle = 0.933 $; (b) $ \langle n \rangle = 0.893 $
Fig. 11. Spin structure factor $ S(q) $ along the high-symmetry lines $ \varGamma \to M \to K \to \varGamma $ in the first Brillouin zone for a system with on-site Coulomb interaction strength $ U = 2.0 $, nearest-neighbor Coulomb interaction strength $ V = 0.0 $, and lattice size $ L = 5 $, under flat band structure modulation: (a) $ \langle n \rangle = 0.933 $; (b) $ \langle n \rangle = 0.893 $.
-
[1] Cao Y, Fatemi V, Fang S, Watanabe K, Taniguchi T, Kaxiras E, Jarillo-Herrero P 2018 Nature 556 43
Google Scholar
[2] Cao Y, Fatemi V, Demir A, Fang S, Tomarken S L, Luo J Y, Sanchez-Yamagishi J D, Watanabe K, Taniguchi T, Kaxiras E, Ashoori R C, Jarillo-Herrero P 2018 Nature 556 80
Google Scholar
[3] Oh M, Nuckolls K P, Wong D, Lee R L, Liu X, Watanabe K, Taniguchi T, Yazdani A 2021 Nature 600 240
Google Scholar
[4] Lu X B, Stepanov P, Yang W, Xie M, Aamir M A, Das I, Urgell C, Watanabe K, Taniguchi T, Zhang G, Bachtold A, MacDonald A H, Efetov D K 2019 Nature 574 653
Google Scholar
[5] Cao Y, Chowdhury D, Rodan-Legrain D, Rubies-Bigorda O, Watanabe K, Taniguchi T, Senthil T, Jarillo-Herrero P 2020 Phys. Rev. Lett. 124 076801
Google Scholar
[6] Jaoui A, Das I, Di Battista G, Díez-Mérida J, Lu X, Watanabe K, Taniguchi T, Ishizuka H, Levitov L, Efetov D K 2022 Nat. Phys. 18 633
Google Scholar
[7] Serlin M, Tschirhart C L, Polshyn H, Zhang Y, Zhu J, Watanabe K, Taniguchi T, Balents L, Young A F 2020 Science 367 900
Google Scholar
[8] Tilak N, Lai X, Wu S, Zhang Z, Xu M, de Almeida Ribeiro R, Canfield P C, Andrei E Y 2021 Nat. Commun. 12 4180
Google Scholar
[9] Lisi S, Lu X, Benschop T, de Jong T A, Stepanov P, Duran J R, Margot F, Cucchi I, Cappelli E, Hunter A, Tamai A, Kandyba V, Giampietri A, Barinov A, Jobst J, Stalman V, Leeuwenhoek M, Watanabe K, Taniguchi T, Rademaker L, van der Molen S J, Allan M P, Efetov D K, Baumberger F 2021 Nat. Phys. 17 189
Google Scholar
[10] Haddadi F, Wu Q, Kruchkov A J, Yazyev O V 2020 Nano Lett. 20 2410
Google Scholar
[11] Cao Y, Rodan-Legrain D, Park J M, Yuan N F Q, Watanabe K, Taniguchi T, Fernandes R M, Fu L, Jarillo-Herrero P 2021 Science 372 264
Google Scholar
[12] Hasegawa Y, Kohmoto M 2013 Phys. Rev. B 88 125426
Google Scholar
[13] 刘健鹏, 戴希 2020 物理学报 69 147301
Google Scholar
Liu J P, Dai X 2020 Acta Phys. Sin. 69 147301
Google Scholar
[14] Lucignano P, Alfè D, Cataudella V, Ninno D, Cantele G 2019 Phys. Rev. B 99 195419
Google Scholar
[15] Yuan N F Q, Fu L 2018 Phys. Rev. B 98 045103
Google Scholar
[16] Yuan N F Q, Fu L 2018 Phys. Rev. B 98 079901
Google Scholar
[17] Po H C, Zou L, Vishwanath A, Senthil T 2018 Phys. Rev. X 8 031089
Google Scholar
[18] Kennes D M, Lischner J, Karrasch C 2018 Phys. Rev. B 98 241407
Google Scholar
[19] Huang T, Zhang L, Ma T 2019 Sci. Bull. 64 310
Google Scholar
[20] Guo H, Zhu X, Feng S, Scalettar R T 2018 Phys. Rev. B 97 235453
Google Scholar
[21] Gu X, Chen C, Leaw J N, Laksono E, Pereira V M, Vignale G, Adam S 2020 Phys. Rev. B 101 180506
Google Scholar
[22] Van Loon S, Sá de Melo C A R 2025 Phys. Rev. B 111 064515
Google Scholar
[23] Ray S, Jung J, Das T 2019 Phys. Rev. B 99 134515
Google Scholar
[24] Roy B, Juričić V 2019 Phys. Rev. B 99 121407
Google Scholar
[25] Peltonen T J, Ojajärvi R, Heikkilä T T 2018 Phys. Rev. B 98 220504
Google Scholar
[26] Pahlevanzadeh B, Sahebsara P, Sénéchal D 2021 SciPost Phys. 11 017
Google Scholar
[27] Pangburn E, Alvarado M, Awoga O A, Pépin C, Bena C 2024 Phys. Rev. B 110 184515
Google Scholar
[28] Wagner G, Kwan Y H, Bultinck N, Simon S H, Parameswaran S A 2024 Phys. Rev. B 110 214517
Google Scholar
[29] Wang Y, Kang J, Fernandes R M 2021 Phys. Rev. B 103 024506
Google Scholar
[30] Liu C C, Zhang L D, Chen W Q, Yang F 2018 Phys. Rev. Lett. 121 217001
Google Scholar
[31] Chen C, Nuckolls K P, Ding S, Miao W, Wong D, Oh M, Lee R L, He S, Peng C, Pei D, Li Y, Hao C, Yan H, Xiao H, Gao H, Li Q, Zhang S, Liu J, He L, Watanabe K, Taniguchi T, Jozwiak C, Bostwick A, Rotenberg E, Li C, Han X, Pan D, Liu Z, Dai X, Liu C, Bernevig B A, Wang Y, Yazdani A, Chen Y 2024 Nature 636 342
Google Scholar
[32] Lian B, Wang Z, Bernevig B A 2019 Phys. Rev. Lett. 122 257002
Google Scholar
[33] Wu F, MacDonald A H, Martin I 2018 Phys. Rev. Lett. 121 257001
Google Scholar
[34] Liu C X, Chen Y, Yazdani A, Bernevig B A 2024 Phys. Rev. B 110 045133
Google Scholar
[35] Girotto N, Linhart L, Libisch F 2023 Phys. Rev. B 108 155415
Google Scholar
[36] Choi Y W, Choi H J 2018 Phys. Rev. B 98 241412
Google Scholar
[37] Das Sarma S, Wu F 2020 Ann. Phys. 417 168193
Google Scholar
[38] Gao S, Zhou J J, Luo Y, Bernardi M 2024 Phys. Rev. Mater. 8 L051001
Google Scholar
[39] Nam N N T, Koshino M 2017 Phys. Rev. B 96 075311
Google Scholar
[40] Trotter H F 1959 Proceedings of the American Mathematical Society 10 545
Google Scholar
[41] Suzuki M 1976 Commun. Math. Phys. 51 183
Google Scholar
[42] Hirsch J E 1983 Phys. Rev. B 28 4059
Google Scholar
[43] Zhang S, Carlson J, Gubernatis J E 1997 Phys. Rev. B 55 7464
Google Scholar
[44] Shi H, Zhang S 2013 Phys. Rev. B 88 125132
Google Scholar
[45] Shi H, Jiménez-Hoyos C A, Rodríguez-Guzmán R, Scuseria G E, Zhang S 2014 Phys. Rev. B 89 125129
Google Scholar
[46] Vitali E, Shi H, Qin M, Zhang S 2016 Phys. Rev. B 94 085140
Google Scholar
[47] Xu X Y, Wessel S, Meng Z Y 2016 Phys. Rev. B 94 115105
Google Scholar
[48] Ying T, Wessel S 2018 Phys. Rev. B 97 075127
Google Scholar
[49] Fang S C, Liu G K, Lin H Q, Huang Z B 2019 Phys. Rev. B 100 115135
Google Scholar
[50] Fang S C, Zheng X J, Lin H Q, Huang Z B 2020 J. Phys. Condens. Matter 33 025601
Google Scholar
[51] Chen Z, Wang Y, Rebec S N, Jia T, Hashimoto M, Lu D, Moritz B, Moore R G, Devereaux T P, Shen Z X 2021 Science 373 1235
Google Scholar
[52] Wang Y, Chen Z, Shi T, Moritz B, Shen Z X, Devereaux T P 2021 Phys. Rev. Lett. 127 197003
Google Scholar
[53] Cheng K, Fang S C, Huang Z B 2024 Phys. Rev. B 109 014519
Google Scholar
[54] Damascelli A, Hussain Z, Shen Z X 2003 Rev. Mod. Phys. 75 473
Google Scholar
[55] Halboth C J, Metzner W 2000 Phys. Rev. Lett. 85 5162
Google Scholar
[56] Headings N S, Hayden S M, Coldea R, Perring T G 2010 Phys. Rev. Lett. 105 247001
Google Scholar
[57] Sun Z, Lin H Q 2024 Phys. Rev. B 109 035107
Google Scholar
[58] Dai P 2015 Rev. Mod. Phys. 87 855
Google Scholar
[59] Johnston D C 2010 Adv. Phys. 59 803
Google Scholar
[60] Mebratie G, Abera B, Mekuye B, Bekele T 2024 Results in Physics 57 107446
Google Scholar
[61] Gong Z, Zou J, Xu G 2024 Phys. Rev. B 110 085128
Google Scholar
[62] Li Q, Zhang H, Wang Y, Chen W, Bao C, Liu Q, Lin T, Zhang S, Zhang H, Watanabe K, Taniguchi T, Avila J, Dudin P, Li Q, Yu P, Duan W, Song Z, Zhou S 2024 Nat. Mater. 23 1070
Google Scholar
[63] Tarnopolsky G, Kruchkov A J, Vishwanath A 2019 Phys. Rev. Lett. 122 106405
Google Scholar
[64] Chou Y Z, Tan Y, Wu F, Das Sarma S 2024 Phys. Rev. B 110 L041108
Google Scholar
[65] Yu G, Wang Y, Katsnelson M I, Yuan S 2023 Phys. Rev. B 108 045138
Google Scholar
计量
- 文章访问数: 2381
- PDF下载量: 52
- 被引次数: 0








下载: