-
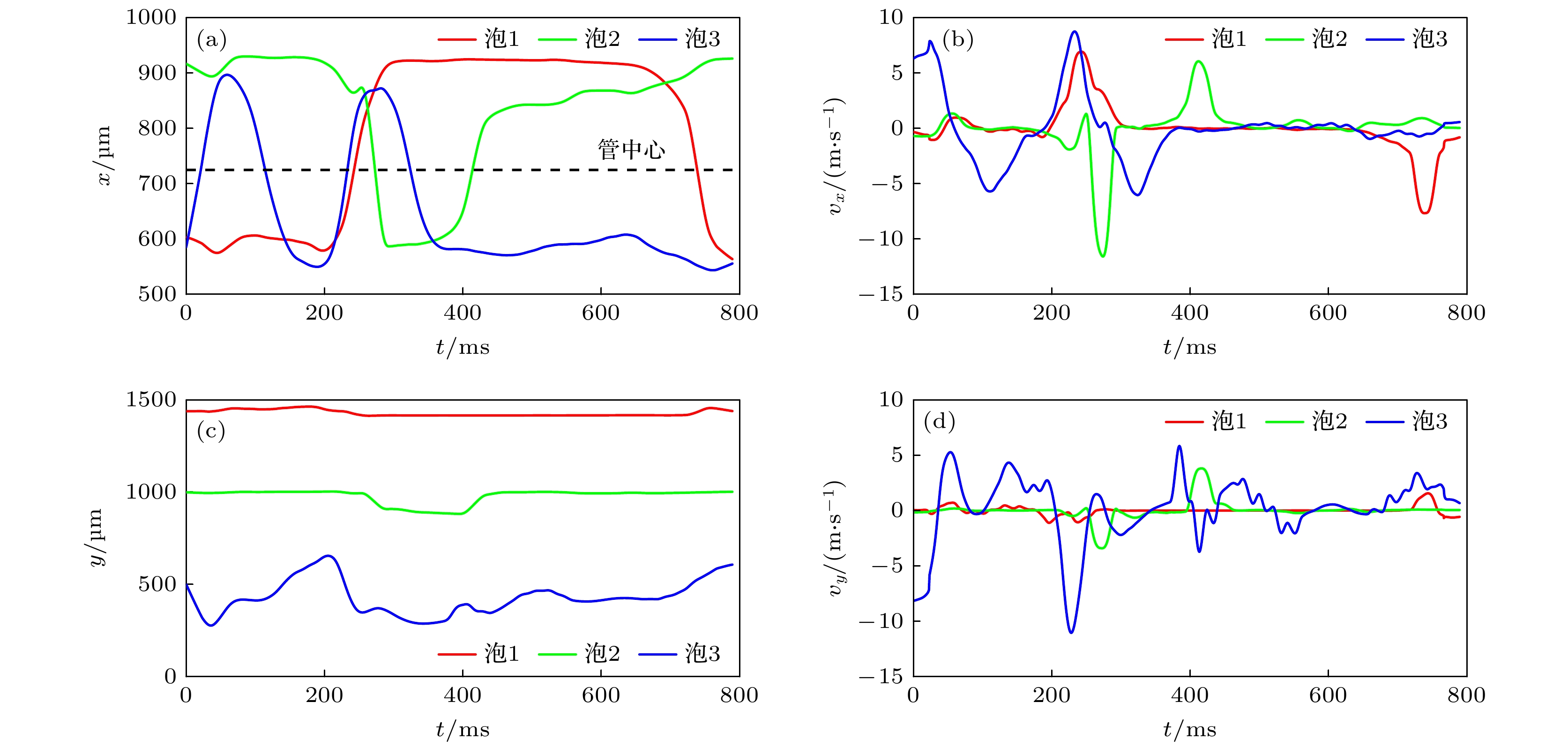
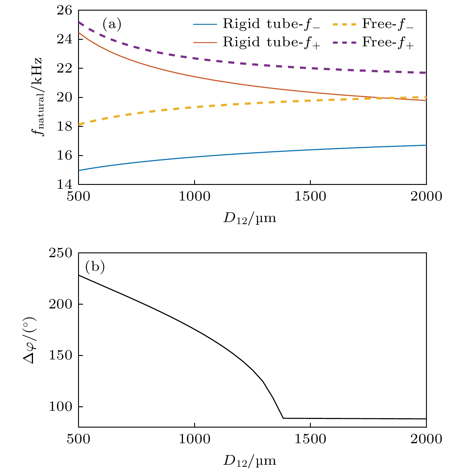
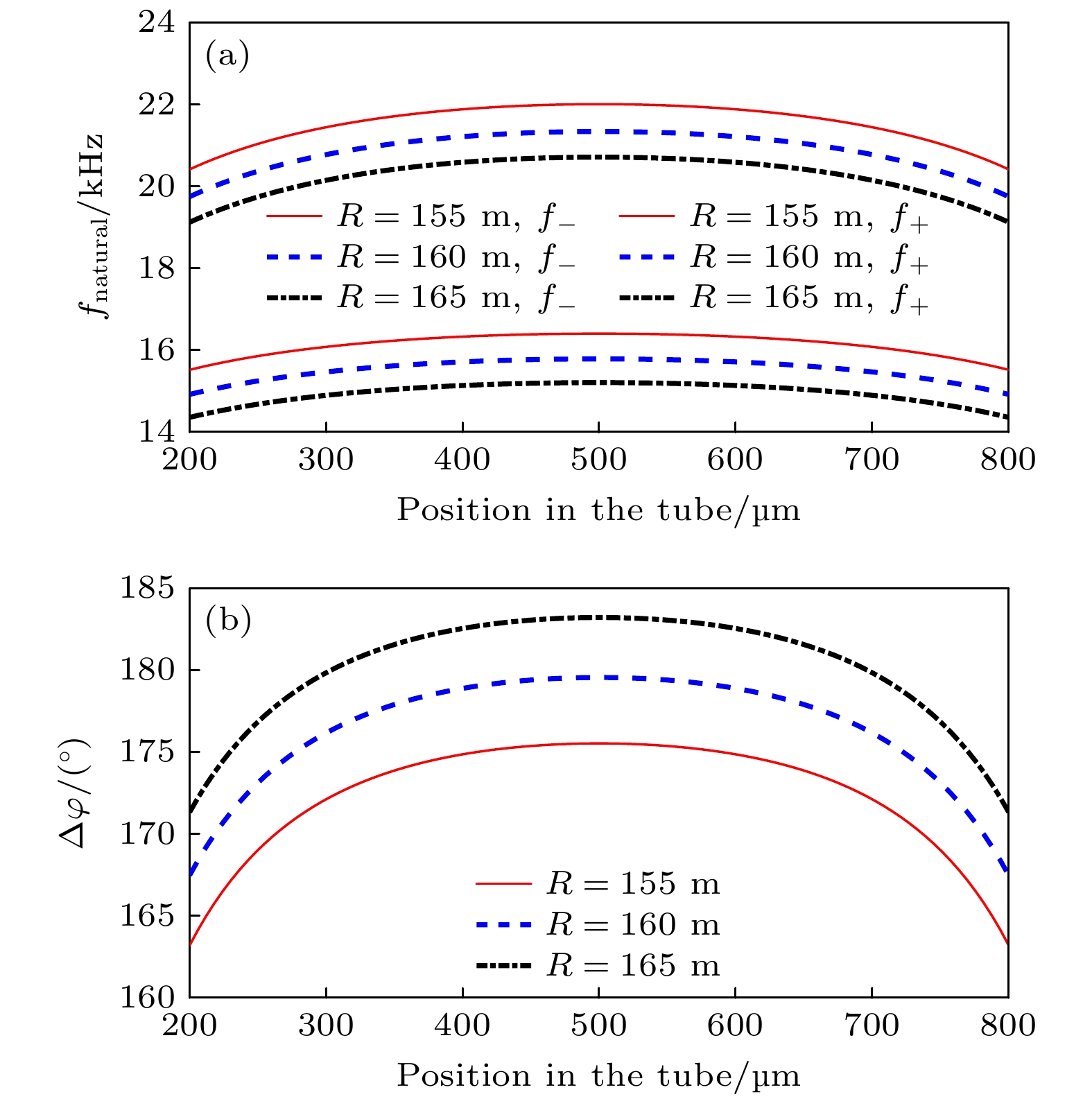
系统探究了刚性毛细管约束下微气泡在超声场中的弹跳行为及其动力学特性. 实验采用高速摄像技术捕捉了单泡、双泡及三泡系统在黏弹性介质中的运动轨迹, 并结合频谱分析揭示了气泡的振荡频率、迁移规律及多泡相互作用机制. 结果表明: 气泡的弹跳行为受超声驱动频率、管壁约束、流体黏性及气泡间耦合作用的协同调控; 单泡呈现周期性左右迁移, 其振荡频率略低于超声基频, 频谱表现出非对称边带分布; 双泡系统经历抑制、加速迁移、位置交换等5个阶段, 两个泡振荡存在相位差; 三泡系统则表现出更复杂的三角构型演化与时序性迁移, 多泡协同效应增强了非线性频域特征. 管径与流体黏度分别通过改变附加质量效应和黏性能量耗散影响气泡弹跳周期. 基于改进的耦合Keller-Miksis方程, 理论模型引入镜像气泡效应, 定量解析了管壁约束下气泡的共振频率偏移及非线性声响应特性. 数值分析进一步量化了泡间距、管壁位置及介质黏性对系统非线性共振频率与相位差的调控规律. 本研究为受限环境中气泡-声场-流固耦合机制提供了新见解, 对微流控器件优化与超声医学应用具有重要指导意义.This study systematically investigates the bouncing behavior and dynamics of microbubbles under ultrasound excitation within a rigid capillary in order to offer quantitative insights into their oscillation characteristics, migration trajectories, and phase modulation mechanisms for applications in microfluidics, contrast-enhanced ultrasound imaging, and controlled drug delivery. A high-speed imaging system is employed to track the motion of single-, double-, and triple-bubble systems in a viscoelastic medium inside a capillary with a 0.5-mm inner diameter. Under a 28-kHz ultrasound field, bubble dynamics are captured at 100000 frames per second. Image processing techniques, including dynamic threshold segmentation and morphological operations, are employed to extract bubble contours and centroid trajectories. Spectral analysis via fast Fourier transform (FFT) is performed to identify oscillation frequencies and modulation characteristics. Experimental results show that a single bubble undergoes periodic lateral migration, with oscillation frequency slightly below the driving frequency, and that sideband distribution in its spectrum is asymmetric. In the two-bubble system, five different dynamic stages are identified: initial suppression, accelerated migration, interaction dominance, position exchange, and a secondary approach to the wall. The bubbles oscillate at a common dominant frequency of 27.32 kHz but maintain phase difference. Modulation sidebands of approximately 0.3 kHz are observed, indicating nonlinear coupling. The three-bubble system exhibits more complex spatiotemporal evolution, including sequential migration and transitions between triangular and mirror-symmetric configurations. A notable sideband at 0.1 kHz suggests that multi-bubble synergy enhances nonlinear behavior. The tube diameter and fluid viscosity are found to influence the bouncing period through added mass effects and viscous energy dissipation, respectively. The period increases significantly with tube diameter decreasing, and decreases with fluid viscosity lessening. Theoretical modeling incorporates the mirror bubble effect into the coupled Keller-Miksis equations to account for wall confinement, thus successfully simulating the oscillation and translation of confined microbubbles. Numerical analysis further indicates that inter-bubble distance, wall proximity, and medium viscosity modulate the dynamic behavior of the system. Specifically, the bubble resonance frequency is regulated by inter-bubble distance and wall confinement. The two-bubble system exhibits both in-phase and out-of-phase modes, with the latter being more sensitive to distance variation. Near the wall, the oscillation frequency decreases, and the phase difference attenuation accelerates. Increasing medium viscosity will weaken the phase coupling between bubbles, an effect which is particularly evident for smaller bubbles. This study not only enhances the understanding of multi-bubble synergistic effects in confined spaces but also provides a theoretical foundation and technical reference for optimizing ultrasound contrast agents, designing microfluidic devices, and developing targeted therapies in biomedicine.
-
Keywords:
- microbubbles /
- bouncing behavior /
- wall confinement /
- multibubble interaction
[1] Jiang L L, Xue Z Q, Park H 2019 Int. J. Heat Mass Transf. 138 1211
Google Scholar
[2] Zhai H Y, Xue Z Q, Park H, Aizawa Y, Baba Y, Zhang Y 2020 J. Nat. Gas Sci. Eng. 77 103233
Google Scholar
[3] Chen H, Kreider W, Brayman A A, Bailey M R, Matula T J 2011 Phys. Rev. Lett. 106 034301
Google Scholar
[4] Miller D L, Quddus J 2000 Proc. Natl. Acad. Sci. U. S. A. 97 10179
Google Scholar
[5] Marmottant P, Hilgenfeldt S 2004 Proc. Natl. Acad. Sci. U. S. A. 101 9523
Google Scholar
[6] Liu Y, Zhou Y, Zhang W, Chen S, Liang S 2024 J. Biomed. Eng. 41 919
Google Scholar
[7] Sambo C, Liu N, Shaibu R, Ahmed A, Hashish R 2023 Geoenergy Sci. Eng. 221 111185
Google Scholar
[8] Mamba S S, Magniez J C, Zoueshtiagh F, Baudoin M 2018 J. Fluid Mech. 838 165
Google Scholar
[9] Averkiou M A, Bruce M F, Powers J E, Sheeran P S, Burn P N 2020 Ultrasound Med. Biol. 46 498
Google Scholar
[10] Battat S, Weitz D A, Whitesides G M 2022 Chem. Rev. 122 6921
Google Scholar
[11] Rasouli M R, Tabrizian M 2019 Lab Chip 19 3316
Google Scholar
[12] Liao A H, Ho H C, Lin Y C, Chen H K, Wang C H 2015 PLoS One. 10 e0138500
Google Scholar
[13] Minnaert M 1933 Philos. Mag. 16 235
Google Scholar
[14] Plesset M S 1949 J. Appl. Mech. 16 277
Google Scholar
[15] Keller J B, Miksis M 1980 J. Acoust. Soc. Am. 68 628
Google Scholar
[16] Qin S, Ferrara K W 2006 Phys. Med. Biol. 51 5065
Google Scholar
[17] Zhong P, Zhou Y F, Zhu S L 2001 Ultrasound Med. Biol. 27 119
Google Scholar
[18] Caskey C F, Stieger S M, Qin S, Dayton P A, Ferrara K W 2007 J. Acoust. Soc. Am. 122 1191
Google Scholar
[19] Zhang L L, Chen W Z 2024 Ultrason. Sonochem. 110 107050
Google Scholar
[20] An Y 2011 Phys. Rev. E 83 066313
Google Scholar
[21] 王成会, 林书玉 2011 声学学报 36 325
Google Scholar
Wang C, Lin S 2011 Acta Acust. 36 325
Google Scholar
[22] Zilonova E, Solovchuk M, Sheu T W H 2019 Phys. Rev. E 99 023109
Google Scholar
[23] Zou Q Q, Zhong X H, Zhang B Y, Gao A Y, Wang X, Li Z Y, Qin D 2023 Ultrasonics 134 107089
Google Scholar
[24] Fei Y J, Zhu C Y, Fu T T, Gao X Q, Ma Y G 2022 Chin. J. Chem. Eng. 50 66
Google Scholar
[25] Hu M, Wang F, Li Y, Chen L, Wu W, Huo P, Deng D 2025 Phys. Rev. Lett. 134 104004
Google Scholar
[26] Magnaudet J, Legendre D 1998 Phys. Fluids 10 550
Google Scholar
[27] Legendre D, Magnaudet J, Mougin G 2003 J. Fluid Mech. 497 133
Google Scholar
[28] Qi H Y, Liu J T, Sun X Y, Deng P, Zhang D M, Song Y X 2024 Phys. Fluids 36 113301
Google Scholar
[29] Alt E, Banyai S, Banyai M, Koppensteiner R 2002 Thromb. Res. 107 101
Google Scholar
[30] Lei Z K, Dong X R, Zuo X Y, Wang C H, Wu Y R, Lin S Y, Guo J Z 2024 J. Acoust. Soc. Am. 156 3373
Google Scholar
[31] Guo C, Wang J, Li X H, Yang S Q, Li W H 2024 Chem. Eng. Process. 199 109765
Google Scholar
[32] Doinikov A A 2001 Phys. Rev. E 64 026301
Google Scholar
[33] Ida M 2009 Phys. Rev. E 79 016307
Google Scholar
[34] Sugita N, Sugiura T 2017 Ultrasonics 74 174
Google Scholar
[35] Regnault G, Doinikov A A, Laloy-Borgna G, Mauger C, Blanc-Benon P, Catheline S, Inserra C 2024 Phys. Fluids 36 047134
Google Scholar
-
图 4 不同时段单泡振荡行为 (a) 0—14 ms半径时域变化; (b) 0—14 ms频谱分析; (c) 30—44 ms半径时域变化; (d) 30—44 ms频谱分析
Fig. 4. Oscillation behavior of single bubble at different time intervals: (a) Radius temporal variation during 0–14 ms; (b) spectral analysis during 0–14 ms; (c) radius temporal variation during 30–44 ms; (d) spectral analysis during 30–44 ms.
图 5 不同时段单泡平动行为 (a) 0—14 ms时段x方向位移; (b) 0—14 ms时段x方向速度; (c) 30—44 ms时段y方向位移; (d) 30—44 ms时段y方向速度
Fig. 5. Translational behavior of single bubble at different time intervals: (a) x-direction displacement during 0–14 ms; (b) x-direction velocity during 0–14 ms; (c) y-direction displacement during 30–44 ms; (d) y-direction velocity during 30–44 ms.
图 13 理论模型与实验对照 (a) 单泡模型图($ {R_{10}} = 142.7 \;{\text{μm}} $, $ {l_{{1 \text{a}}}} = 575.8 \;{\text{μm}} $, $ {l_{{1 \text{b}}}} = 424.2 \;{\text{μm}} $, $ \left( {{x_1}, {y_1}} \right) =\left( 893.9 \;{\text{μm}}, $$ 833.3 \;{\text{μm}} \right) $); (b) 双泡模型图($ {R_{10}} = 157.5 \;{\text{μm}} $, $ {R_{20}} = 159.6 \;{\text{μm}} $, $ {l_{{1 \text{a}}}} = 575.8 \;{\text{μm}}$, $ {l_{{1 \text{b}}}} = 424.2 \;{\text{μm}} $, $ {l_{2{\text{a}}}} = 393.9 \;{\text{μm}} $, $ {l_{{2 \text{b}}}} = $$ 606.1 \;{\text{μm}} $, $ {D_{12}} = 1136.4 \;{\text{μm}} $, $ \left( {{x_1}, {y_1}} \right) = \left( {814.7 \;{\text{μm}}, 1363.6 \;{\text{μm}}} \right) $, $ \left( {{x_2}, {y_2}} \right) = \left( {1009.9 \;{\text{μm}}, 242.4 \;{\text{μm}}} \right) $); (c) 单泡振荡特性; (d) 单泡平动特性; (e) 双泡振荡特性; (f) 双泡平动特性
Fig. 13. Comparison between theoretical model and experimental results: (a) Single-bubble model ($ {R_{10}} = 142.7 \;{\text{μm}} $, $ {l_{{1 \text{a}}}} = 575.8 \;{\text{μm}} $, $ {l_{{1 \text{b}}}} = 424.2 \;{\text{μm}} $, $ \left( {{x_1}, {y_1}} \right) = \left( {893.9 \;{\text{μm}}, 833.3 \;{\text{μm}}} \right) $); (b) dual-bubble model ($ {R_{10}} = 157.5 \;{\text{μm}} $, $ {R_{20}} = 159.6 \;{\text{μm}} $, $ {l_{{1 \text{a}}}} = 575.8 \;{\text{μm}} $, $ {l_{{1 \text{b}}}} = 424.2 \;{\text{μm}} $, $ {l_{2{\text{a}}}} = 393.9 \;{\text{μm}} $, $ {l_{{2 \text{b}}}} = 606.1 \;{\text{μm}} $, $ {D_{12}} = 1136.4 \;{\text{μm}} $, $ \left( {{x_1}, {y_1}} \right) = \left( {814.7 \;{\text{μm}}, 1363.6 \;{\text{μm}}} \right) $, $ \left( {{x_2}, {y_2}} \right) = \left( {1009.9 \;{\text{μm}}, 242.4 \;{\text{μm}}} \right) $); (c) single-bubble oscillation characteristics; (d) single-bubble translational behavior; (e) dual-bubble oscillation characteristics; (f) dual-bubble translational behavior.
-
[1] Jiang L L, Xue Z Q, Park H 2019 Int. J. Heat Mass Transf. 138 1211
Google Scholar
[2] Zhai H Y, Xue Z Q, Park H, Aizawa Y, Baba Y, Zhang Y 2020 J. Nat. Gas Sci. Eng. 77 103233
Google Scholar
[3] Chen H, Kreider W, Brayman A A, Bailey M R, Matula T J 2011 Phys. Rev. Lett. 106 034301
Google Scholar
[4] Miller D L, Quddus J 2000 Proc. Natl. Acad. Sci. U. S. A. 97 10179
Google Scholar
[5] Marmottant P, Hilgenfeldt S 2004 Proc. Natl. Acad. Sci. U. S. A. 101 9523
Google Scholar
[6] Liu Y, Zhou Y, Zhang W, Chen S, Liang S 2024 J. Biomed. Eng. 41 919
Google Scholar
[7] Sambo C, Liu N, Shaibu R, Ahmed A, Hashish R 2023 Geoenergy Sci. Eng. 221 111185
Google Scholar
[8] Mamba S S, Magniez J C, Zoueshtiagh F, Baudoin M 2018 J. Fluid Mech. 838 165
Google Scholar
[9] Averkiou M A, Bruce M F, Powers J E, Sheeran P S, Burn P N 2020 Ultrasound Med. Biol. 46 498
Google Scholar
[10] Battat S, Weitz D A, Whitesides G M 2022 Chem. Rev. 122 6921
Google Scholar
[11] Rasouli M R, Tabrizian M 2019 Lab Chip 19 3316
Google Scholar
[12] Liao A H, Ho H C, Lin Y C, Chen H K, Wang C H 2015 PLoS One. 10 e0138500
Google Scholar
[13] Minnaert M 1933 Philos. Mag. 16 235
Google Scholar
[14] Plesset M S 1949 J. Appl. Mech. 16 277
Google Scholar
[15] Keller J B, Miksis M 1980 J. Acoust. Soc. Am. 68 628
Google Scholar
[16] Qin S, Ferrara K W 2006 Phys. Med. Biol. 51 5065
Google Scholar
[17] Zhong P, Zhou Y F, Zhu S L 2001 Ultrasound Med. Biol. 27 119
Google Scholar
[18] Caskey C F, Stieger S M, Qin S, Dayton P A, Ferrara K W 2007 J. Acoust. Soc. Am. 122 1191
Google Scholar
[19] Zhang L L, Chen W Z 2024 Ultrason. Sonochem. 110 107050
Google Scholar
[20] An Y 2011 Phys. Rev. E 83 066313
Google Scholar
[21] 王成会, 林书玉 2011 声学学报 36 325
Google Scholar
Wang C, Lin S 2011 Acta Acust. 36 325
Google Scholar
[22] Zilonova E, Solovchuk M, Sheu T W H 2019 Phys. Rev. E 99 023109
Google Scholar
[23] Zou Q Q, Zhong X H, Zhang B Y, Gao A Y, Wang X, Li Z Y, Qin D 2023 Ultrasonics 134 107089
Google Scholar
[24] Fei Y J, Zhu C Y, Fu T T, Gao X Q, Ma Y G 2022 Chin. J. Chem. Eng. 50 66
Google Scholar
[25] Hu M, Wang F, Li Y, Chen L, Wu W, Huo P, Deng D 2025 Phys. Rev. Lett. 134 104004
Google Scholar
[26] Magnaudet J, Legendre D 1998 Phys. Fluids 10 550
Google Scholar
[27] Legendre D, Magnaudet J, Mougin G 2003 J. Fluid Mech. 497 133
Google Scholar
[28] Qi H Y, Liu J T, Sun X Y, Deng P, Zhang D M, Song Y X 2024 Phys. Fluids 36 113301
Google Scholar
[29] Alt E, Banyai S, Banyai M, Koppensteiner R 2002 Thromb. Res. 107 101
Google Scholar
[30] Lei Z K, Dong X R, Zuo X Y, Wang C H, Wu Y R, Lin S Y, Guo J Z 2024 J. Acoust. Soc. Am. 156 3373
Google Scholar
[31] Guo C, Wang J, Li X H, Yang S Q, Li W H 2024 Chem. Eng. Process. 199 109765
Google Scholar
[32] Doinikov A A 2001 Phys. Rev. E 64 026301
Google Scholar
[33] Ida M 2009 Phys. Rev. E 79 016307
Google Scholar
[34] Sugita N, Sugiura T 2017 Ultrasonics 74 174
Google Scholar
[35] Regnault G, Doinikov A A, Laloy-Borgna G, Mauger C, Blanc-Benon P, Catheline S, Inserra C 2024 Phys. Fluids 36 047134
Google Scholar
计量
- 文章访问数: 1352
- PDF下载量: 36
- 被引次数: 0








下载: