-
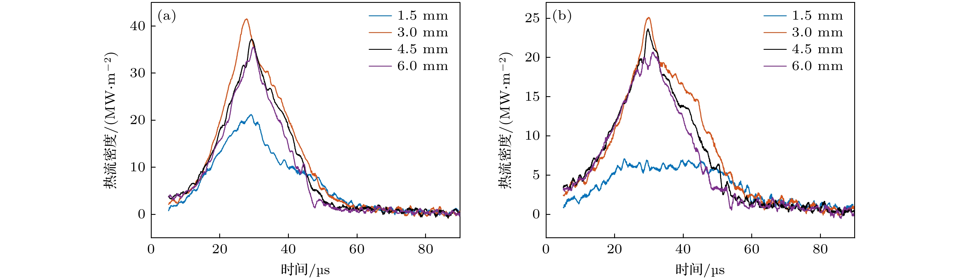
毛细管放电等离子体射流点火装置结构简单可靠, 点火效能强, 是当前工业和学术领域的研究热点. 射流瞬态辐射热流特性是表征射流点火能力的重要手段, 本文搭建了基于薄膜量热计的瞬态辐射热流测量系统, 针对薄膜探头的测量范围、响应时间和灵敏度提出设计与优化方法; 研究了聚乙烯和聚四氟乙烯不同工质情况下, 储能电容电压和毛细管直径对输出辐射热流特性的影响. 结果表明, 毛细管放电辐射热流密度相较于主放电电流具有滞后性, 增大系统储能有助于提升主放电沉积能量效率与等离子体温度, 进而提升输出辐射热流密度与热流持续时间; 增大毛细管直径会减小放电时间常数进而缩短热流持续时间, 当毛细管直径从1.5 mm增至3 mm时, 辐射热流密度显著提升, 而当毛细管直径从3 mm增至6 mm时, 辐射热流密度随之下降. 此外, 主放电能量沉积效率、等离子体射流扩展特性以及工质烧蚀特性均会影响辐射热流密度; 聚乙烯工质毛细管放电较聚四氟乙烯工质辐射热流密度峰值更高, 峰值时间提前且持续时间更短.The capillary discharge plasma ignition device features a simple and reliable structure with a high ignition efficiency, and has become a research focus in both industrial applications and academic studies. The transient radiative heat flux characteristics of the plasma jet is a critical indicator for characterizing its ignition capability. In this work, a transient radiative heat flux measurement system based on a thin-film heatflux gauge is established. Design and optimization methods are proposed to address the measurement range, response time, and sensitivity of the thin-film probe. The results indicate that reducing the thickness of the film can enhance measurement sensitivity effectively, whereas changing the film material yields relatively limited improvement. Additionally, the effects of energy storage capacitor voltage and capillary diameter on the output radiative heat flux characteristics are investigated using polyethylene and polytetrafluoroethylene as capillary propellant. The results indicate that the radiative heat flux of capillary discharge exhibits a temporal delay compared with the main discharge current. Increasing the voltage of the energy storage capacitor enhances the energy deposition efficiency of the main discharge and the plasma temperature, thereby improving both the output radiative heat flux and the duration of the heat flux. Moreover, the growth rate of the heat flux exceeds that of the stored energy. Enlarging the capillary diameter reduces the discharge time constant, thereby shortening the heat flux duration. At the same time, the ablation of the propellant becomes more sufficient, resulting in fewer jet deposits and a weaker absorption of the heat flux. When the capillary diameter increases from 1.5 mm to 3 mm, the jet expansion velocity and the energy deposition efficiency are significantly enhanced, leading to a remarkable increase in the radiative heat flux density. However, when the diameter further increases from 3 mm to 6 mm, the jet expansion velocity changes marginally, while the decrease of energy deposition efficiencycan result in a reduction in radiative heat flux. The capillary discharge with polyethylene propellant exhibits a higher peak radiative heat flux, an earlier peak time, and a shorter duration than that with the polytetrafluoroethylene propellant.
-
Keywords:
- capillary discharge /
- thin-film heatflux gauge /
- radiative heat flux /
- transient characteristics
[1] Taylor M J 2001 IEEE Transactions on Magnetics 37 194
Google Scholar
[2] Gebhart T E, Martinez-Rodriguez R A, Baylor L R, Rapp J, Winfrey A L 2017 J. Appl. Phys. 122 063302
Google Scholar
[3] Gebhart T E, Baylor L R, Rapp J, Winfrey A L 2018 J. Appl. Phys. 123 033301
Google Scholar
[4] 王亚楠, 葛崇剑, 程乐, 丁卫东, 耿金越 2020 推进技术 41 149
Google Scholar
Wang Y N, Ge C J, Cheng L, Ding W D, Geng J Y 2020 J. Propul. Techn. 41 149
Google Scholar
[5] Winfrey A L, Bourham M A 2013 2013 IEEE Pulsed Power and Plasma Science Conference (PPPS 2013) San Francisco, CA, USA, June 16−21, 2013 p1
[6] Yang W H, Hang Y H, Fan H, Chen L, Li X W, Murphy A B 2019 J. Phys. D: Appl. Phys. 53 075204
Google Scholar
[7] Jiang S, Chen L, Shi H T, He Y Z, Li X W 2023 IEEE Trans. Plasma Sci. 51 1117
Google Scholar
[8] Li J, Litzinger T A, Thynell S T 2005 J. Propul. Power 21 44
Google Scholar
[9] Li J, Litzinger T A, Thynell S T 2004 J. Propul. Power 20 675
Google Scholar
[10] Wang Q, Yang W H, Hang Y H, Fan H, Li X W 2019 J. Phys. D-Appl. Phys. 52 334002
Google Scholar
[11] Wang Q, Hang Y H, Li X W, Jia S L 2019 IEEE Trans. Plasma Sci. 47 1950
Google Scholar
[12] Morgan T W, De Kruif T M, Van Der Meiden H J, Van Den Berg M A, Scholten J, Melissen W, Krijger B J M, Bardin S, De Temmerman G 2014 Plasma Phys. Control. Fusion 56 095004
Google Scholar
[13] Porwitzky A J, Keidar M, Boyd I D 2007 Propell. Explos. Pyrot. 32 385
Google Scholar
[14] Porwitzky A J, Keidar M, Boyd I D 2007 IEEE Trans. Magnet. 43 313
Google Scholar
[15] Yang W H, Jiang S, Chen L, Li X W, Gu K Q, He Y Z, Li W H 2021 Phys. Plasmas 28 113503
Google Scholar
[16] Liu S, Xu T, Shi Y H, Zhan W, Liu C Y, Lu Z J, Yang L J 2022 Rev. Sci. Instrum. 93 103544
Google Scholar
[17] Spielman R B, Deeney C, Fehl D L, Hanson D L, Keltner N R, McGurn J S, McKenney J L 1999 Rev. Sci. Instrum. 70 651
Google Scholar
[18] Das M K, Thynell S T 2006 J. Thermophys. Heat Tr. 20 903
Google Scholar
[19] Das M, Thynell S T, Li J, Litzinger T A 2005 J. Thermophys. Heat Tr. 19 572
Google Scholar
[20] 蒋仕, 杨伟鸿, 陈立, 李伟昊, 李兴文, 石桓通 2022 中国电机工程学报 42 415
Google Scholar
Jiang S, Yang W H, Chen L, Li W H, Li X W, Shi H T 2022 Proc. CSEE 42 415
Google Scholar
[21] Starner K 1968 ISA Trans. 7 181
[22] Haynes W M 2016 CRC Handbook of Chemistry and Physics (97th ed. ) (Boca Raton: CRC Press) pp 2097−2289
[23] Liu T X, Cheng R Z, Wang R D, Zhao Z, Wang Y N, Sun A B 2024 Rev. Sci. Instrum. 95 093540
Google Scholar
[24] 王亚楠, 任林渊, 丁卫东, 孙安邦, 耿金越 2021 物理学报 70 235204
Google Scholar
Wang Y N, Ren L Y, Ding W D, Sun A B, Geng J Y 2021 Acta Phys. Sin. 70 235204
Google Scholar
[25] Zhang J B, Li X W, Yang W H, Yan W R, Wei D, Liu Y, Yan G H 2018 Phys. Plasmas 25 103501
Google Scholar
[26] Keidar M, Boyd I D, Beilis I I 2001 J. Phys. D: Appl. Phys. 34 1675
Google Scholar
[27] Li R, Li X W, Jia S L, Murphy A B, Shi Z Q 2010 IEEE Trans. Plasma Sci. 38 1033
Google Scholar
-
表 1 常见金属薄膜物性参数与灵敏度(d = 10–6 m)
Table 1. Physical properties and sensitivity of common metal films (d = 10–6 m).
材料 ρm
/(g·cm–3)cp
/(J·kg–1·K–1)α
/(10–3 K–1)s
/(10–3 m2·J–1)Ni 8.91 440 7.32 1.58 Au 19.3 128 4.04 1.47 Ag 10.5 235 4.13 1.52 Cu 8.92 385 4.40 1.16 Fe 7.87 449 7.09 1.70 Al 2.70 897 4.60 1.74 Pt 21.1 133 3.88 1.26 Pd 12.0 240 3.76 1.12 Mg 1.74 1023 4.14 2.07 表 2 薄膜量热计热流测量系统参数
Table 2. Parameters of the film heatflux gauge measurement system.
参数 数值 ρm/(kg·m–3) 8.91×103 cp/(J·kg–1·K–1) 440 l/mm 13 w/mm 1.14 d/μm 3 R1/Ω 0.5 R2/Ω 4 Vs/V 50 ΔT/ΔR/(K·Ω–1) 653.4 -
[1] Taylor M J 2001 IEEE Transactions on Magnetics 37 194
Google Scholar
[2] Gebhart T E, Martinez-Rodriguez R A, Baylor L R, Rapp J, Winfrey A L 2017 J. Appl. Phys. 122 063302
Google Scholar
[3] Gebhart T E, Baylor L R, Rapp J, Winfrey A L 2018 J. Appl. Phys. 123 033301
Google Scholar
[4] 王亚楠, 葛崇剑, 程乐, 丁卫东, 耿金越 2020 推进技术 41 149
Google Scholar
Wang Y N, Ge C J, Cheng L, Ding W D, Geng J Y 2020 J. Propul. Techn. 41 149
Google Scholar
[5] Winfrey A L, Bourham M A 2013 2013 IEEE Pulsed Power and Plasma Science Conference (PPPS 2013) San Francisco, CA, USA, June 16−21, 2013 p1
[6] Yang W H, Hang Y H, Fan H, Chen L, Li X W, Murphy A B 2019 J. Phys. D: Appl. Phys. 53 075204
Google Scholar
[7] Jiang S, Chen L, Shi H T, He Y Z, Li X W 2023 IEEE Trans. Plasma Sci. 51 1117
Google Scholar
[8] Li J, Litzinger T A, Thynell S T 2005 J. Propul. Power 21 44
Google Scholar
[9] Li J, Litzinger T A, Thynell S T 2004 J. Propul. Power 20 675
Google Scholar
[10] Wang Q, Yang W H, Hang Y H, Fan H, Li X W 2019 J. Phys. D-Appl. Phys. 52 334002
Google Scholar
[11] Wang Q, Hang Y H, Li X W, Jia S L 2019 IEEE Trans. Plasma Sci. 47 1950
Google Scholar
[12] Morgan T W, De Kruif T M, Van Der Meiden H J, Van Den Berg M A, Scholten J, Melissen W, Krijger B J M, Bardin S, De Temmerman G 2014 Plasma Phys. Control. Fusion 56 095004
Google Scholar
[13] Porwitzky A J, Keidar M, Boyd I D 2007 Propell. Explos. Pyrot. 32 385
Google Scholar
[14] Porwitzky A J, Keidar M, Boyd I D 2007 IEEE Trans. Magnet. 43 313
Google Scholar
[15] Yang W H, Jiang S, Chen L, Li X W, Gu K Q, He Y Z, Li W H 2021 Phys. Plasmas 28 113503
Google Scholar
[16] Liu S, Xu T, Shi Y H, Zhan W, Liu C Y, Lu Z J, Yang L J 2022 Rev. Sci. Instrum. 93 103544
Google Scholar
[17] Spielman R B, Deeney C, Fehl D L, Hanson D L, Keltner N R, McGurn J S, McKenney J L 1999 Rev. Sci. Instrum. 70 651
Google Scholar
[18] Das M K, Thynell S T 2006 J. Thermophys. Heat Tr. 20 903
Google Scholar
[19] Das M, Thynell S T, Li J, Litzinger T A 2005 J. Thermophys. Heat Tr. 19 572
Google Scholar
[20] 蒋仕, 杨伟鸿, 陈立, 李伟昊, 李兴文, 石桓通 2022 中国电机工程学报 42 415
Google Scholar
Jiang S, Yang W H, Chen L, Li W H, Li X W, Shi H T 2022 Proc. CSEE 42 415
Google Scholar
[21] Starner K 1968 ISA Trans. 7 181
[22] Haynes W M 2016 CRC Handbook of Chemistry and Physics (97th ed. ) (Boca Raton: CRC Press) pp 2097−2289
[23] Liu T X, Cheng R Z, Wang R D, Zhao Z, Wang Y N, Sun A B 2024 Rev. Sci. Instrum. 95 093540
Google Scholar
[24] 王亚楠, 任林渊, 丁卫东, 孙安邦, 耿金越 2021 物理学报 70 235204
Google Scholar
Wang Y N, Ren L Y, Ding W D, Sun A B, Geng J Y 2021 Acta Phys. Sin. 70 235204
Google Scholar
[25] Zhang J B, Li X W, Yang W H, Yan W R, Wei D, Liu Y, Yan G H 2018 Phys. Plasmas 25 103501
Google Scholar
[26] Keidar M, Boyd I D, Beilis I I 2001 J. Phys. D: Appl. Phys. 34 1675
Google Scholar
[27] Li R, Li X W, Jia S L, Murphy A B, Shi Z Q 2010 IEEE Trans. Plasma Sci. 38 1033
Google Scholar
计量
- 文章访问数: 1046
- PDF下载量: 40
- 被引次数: 0








下载: