-
弛豫铁电体钛酸铋钠(Na0.5Bi0.5TiO3, NBT)具有优异的铁电性能, 被广泛认为是极具应用前景的无铅铁电材料. 深入阐明其在高压下的结构演化规律与相变机理, 对于推动这类环境友好型铁电材料的应用至关重要. 本研究结合原位高压中子衍射实验与第一性原理计算, 研究了NBT在高压下的结构演化规律. 高压中子衍射实验结果表明, NBT的常压相R3c相和高压相Pnma相的共存压力区间为1.1—4.6 GPa, 其体积模量分别为89.3 GPa和108.6 GPa. 通过分析压力诱导的微观结构演变, 本研究阐明了NBT高压相与常压相在微观结构特征上的差异及对体积模量的影响, 建立了高压下NBT的微观结构响应与宏观物理性能的内在联系. 获得的相关结论为无铅压电材料的高压性能调控提供了重要的实验依据与参考.Relaxor ferroelectric sodium bismuth titanate (Na0.5Bi0.5TiO3, NBT) exhibits outstanding ferroelectric characteristics and is widely recognized as a highly promising lead-free ferroelectric material. In order to further promote the application of this environmentally friendly ferroelectric material, it is crucial to gain a comprehensive understanding of its structural evolution and phase transition mechanism under high pressure. This study investigates the structural evolution of NBT under hydrostatic pressure up to 6.8 GPa by integrating in situ high-pressure neutron diffraction experiments with first-principles calculations. Based on high-pressure neutron diffraction experiments conducted at the China Mianyang Research Reactor (CMRR), Rietveld refinement analysis identifies a phase transition from the ambient-pressure R3c phase to the high-pressure Pnma phase in NBT, with a coexistence pressure range of 1.1–4.6 GPa. The bulk modulus of the high-pressure phase Pnma is experimentally determined to be 108.6 GPa for the first time. First-principles calculations further support the thermodynamic tendency for the pressure-induced phase transition from R3c to Pnma and produce a bulk modulus that is in close agreement with the experimental value. By correlating with the experimentally obtained trends of the internal [TiO6] oxygen octahedral structural changes under high pressure in both phases, this study demonstrates that the difference in their macroscopic compressibility originates from the significantly higher pressure sensitivity of the oxygen octahedral distortion degree in the R3c phase than that of the Pnma phase. This relatively softer internal microstructure results in a lower bulk modulus than that of the Pnma phase. By providing a detailed analysis of the pressure-induced phase transition and microstructural evolution, this study clarifies the relationship between the microscopic structural features of the high-pressure and ambient-pressure phases of NBT and their influence on macroscopic mechanical properties, thereby establishing a fundamental connection between microscopic structural responses and bulk physical behavior under high-pressure conditions. These findings provide crucial experimental data and theoretical support for further improving the high-pressure performance and applications of lead-free ferroelectric materials.
-
Keywords:
- sodium bismuth titanate /
- high-pressure neutron diffraction /
- first-principles calculation /
- phase transition
[1] Leijtens T, Hoke E T, Grancini G, et al. 2015 Adv. Energy Mater. 5 1500962
Google Scholar
[2] Takenaka T, Nagata H 2005 J. Eur. Ceram. Soc. 25 2693
Google Scholar
[3] Mesrar M, Lamcharfi T, Echatoui N, Abdi F, Harrach A, Ahjyaje F Z 2019 Moroc. J. Quant. Qual. Res. 1 14
[4] Whittle K R, de los Reyes M, Aughterson R D, et al. 2018 Materialia 3 186
Google Scholar
[5] Shkuratov S I, Baird J, Antipov V G, et al. 2017 Sci. Rep. 7 46758
Google Scholar
[6] Shkuratov S I, Baird J, Antipov V G, et al. 2018 Appl. Phys. Lett. 112 122903
Google Scholar
[7] Suchanicz J, Jankowska-Sumara I, Kruzina T V 2011 J. Electroceram. 27 45
Google Scholar
[8] Mesrar M, Lamcharfi T, Echatoui N S, Abdi F 2022 Materialia 22 101404
Google Scholar
[9] Panda P K 2009 J. Mater. Sci. 44 5049
Google Scholar
[10] Kunnath N, Philip J 2019 New J. Glass Ceram. 9 1
Google Scholar
[11] Suchanicz J, Poleder K, Kania A, Handerek J 1988 Ferroelectrics 77 107
Google Scholar
[12] Fleddermann C B, Nation J A 1997 IEEE Trans. Plasma Sci. 25 212
Google Scholar
[13] Jiang Y, Wang X, Zhang F, He H 2014 Smart Mater. Struct. 23 085020
Google Scholar
[14] Shkuratov S I, Baird J, Talantsev E F 2013 Appl. Phys. Lett. 102 052906
Google Scholar
[15] Shkuratov S I, Talantsev E F, Baird J 2011 J. Appl. Phys. 110 024113
Google Scholar
[16] Shkuratov S I, Baird J, Antipov V G, Lynch C S, Zhang S J, Chase J B, Jo H R 2021 J. Mater. Chem. A 9 12307
Google Scholar
[17] Zhao D, Lenz T, Gelinck G H, Groen P, Damjanovic D, de Leeuw D M, Katsouras I 2019 Nat. Commun. 10 2547
Google Scholar
[18] Gao Z P, Peng W, Chen B, et al. 2019 Phys. Rev. Mater. 3 035401
Google Scholar
[19] Orayech B, Faik A, López G A, Fabelo O, Igartua J M 2015 J. Appl. Crystallogr. 48 318
Google Scholar
[20] Chang R C, Chu S Y, Lin Y F, Hong C S, Wong Y P 2007 J. Eur. Ceram. Soc. 27 4453
Google Scholar
[21] Dwivedi S, Pareek T, Kumar S 2018 RSC Adv. 8 24286
Google Scholar
[22] Ge W, Li J, Viehland D, Chang Y F, Messing G L 2011 Phys. Rev. B 83 224110
Google Scholar
[23] Liu Y, Liu H, Sun S D, Wang L, Chen J 2022 Scr. Mater. 207 114283
Google Scholar
[24] Wang X L, Luo Y H, Huang H L, et al. 2018 Phys. Rev. Lett. 120 260502
Google Scholar
[25] Borges Z V, Poffo C M, de Lima J C, Souza S M, Trichês D M, de Biasi R S 2018 J. Appl. Phys. 124 215901
Google Scholar
[26] Jones G O, Thomas P A 2002 Acta Crystallogr. B 58 168
Google Scholar
[27] Kreisel J, Bouvier P, Dkhil B, et al. 2003 Phys. Rev. B 68 014113
Google Scholar
[28] Kreisel J, Glazer A M, Bouvier P, Lucazeau G 2001 Phys. Rev. B 63 174106
Google Scholar
[29] Bujakiewicz-Korońska R, Natanzon Y 2008 Phase Transit. 81 1117
Google Scholar
[30] Suchanicz J 2002 J. Mater. Sci. 37 489.
Google Scholar
[31] 杨功章, 谢雷, 陈喜平, 何瑞琦, 韩铁鑫, 牛国梁, 房雷鸣, 贺端威 2022 物理学报 71 156101
Google Scholar
Yang G Z, Xie L, Chen X P, He R Q, Han T X, Niu G L, Fang L M, He D W 2022 Acta Phys. Sin. 71 156101
Google Scholar
[32] 史钰, 陈喜平, 谢雷, 孙光爱, 房雷鸣 2019 物理学报 68 116101
Google Scholar
Shi Y, Chen X P, Xie L, Sun G A, Fang L M 2019 Acta Phys. Sin. 68 116101
Google Scholar
[33] 孙嘉程, 陈喜平, 谢雷, 房雷鸣 2024 高压物理学报 38 030111
Google Scholar
Sun J C, Chen X P, Xie L, Fang L M 2024 Chin. J. High Pressure Phys. 38 030111
Google Scholar
[34] 房雷鸣, 陈喜平, 谢雷, 贺端威, 胡启威, 李欣, 江明全, 孙光爱, 陈波, 彭述明, 李昊, 韩铁鑫 2020 高压物理学报 34 050104
Google Scholar
Fang L M, Chen X P, Xie L, He D W, Hu Q W, Li X, Jiang M Q, Sun G A, Chen B, Peng S M, Li H, Han T X 2020 Chin. J. High Pressure Phys. 34 050104
Google Scholar
[35] Kandemir T, Wallacher D, Hansen T, et al. 2012 Nucl. Instrum. Methods Phys. Res. A 673 51
Google Scholar
[36] Jacobsen M K, Ridley C J, Bocian A, et al. 2014 Rev. Sci. Instrum. 85 043904
Google Scholar
[37] Xu H W, Zhao Y S, Zhang J Z, Hickmott D D, Daemen L L 2007 Phys. Chem. Miner. 34 223
Google Scholar
[38] Zhou Z Y, Gao Z P, Xiong Z W, et al. 2022 Appl. Phys. Lett. 121 113903
Google Scholar
[39] Perdew J P, Burke K, Ernzerhof M 1996 Phys. Rev. Lett. 77 3865
Google Scholar
[40] Kresse G, Furthmüller J 1996 Phys. Rev. B 54 11169
Google Scholar
[41] Kresse G, Hafner J 1993 Phys. Rev. B 47 558
Google Scholar
[42] Zhou Z Y, Xiong Z W, Liu X R, Zeng T, Liu W B, Wu J G, Gao Z P 2024 Phys. Rev. B 109 104108
Google Scholar
[43] Chen H H, Peng F, Mao H K, Shen G Y, Liermann H P, Li Z, Shu J F 2010 J. Appl. Phys. 107 113503
Google Scholar
[44] Gerward L, Olsen J S, Petit L, Vaitheeswaran G, Kanchana V, Svane A 2005 J. Alloys Compd. 400 56
Google Scholar
[45] Singh P P, Kumar M 2004 Phys. B Condens. Matter 344 41
Google Scholar
[46] 陈美娟, 郭佳芯, 吴浩, 郑潇然, 闵楠, 田辉, 李全军, 都时禹, 沈龙海 2025 物理学报 74 177102
Google Scholar
Chen M J, Guo J X, Wu H, Zheng X R, Min N, Tian H, Li Q J, Dou S Y, Shen L H 2025 Acta Phys. Sin. 74 177102
Google Scholar
[47] Voigt W 1889 Ann. Phys. Chem 274 573
Google Scholar
[48] Reuss A 1929 Zeit. Angew. Math. Mech 9 49
Google Scholar
[49] Hill R 1952 Proc. Phys. Soc. A 65 349
Google Scholar
[50] Yamanaka T, Nagai T, Okada T, Fukuda T 2005 Z. Kristallogr. Cryst. Mater. 220 938.
Google Scholar
[51] Robinson K, Gibbs G V, Ribbe P H 1971 Science 172 567
Google Scholar
[52] Zhou Z Y, Fang L M, Xiong Z W, et al. 2023 Appl. Phys. Lett. 123 012904
Google Scholar
-
图 1 NBT的原位高压中子衍射谱 (a) NBT衍射图谱在压力下的演化; (b) 高压下对Pnma相的精修图; (c) 常压下对R3c相的精修图
Fig. 1. In-situ high-pressure neutron diffraction patterns of NBT: (a) Evolution of the NBT diffraction patterns under pressure; (b) rietveld refinement plot for the Pnma phase at high pressure; (c) rietveld refinement plot for the R3c phase at ambient pressure.
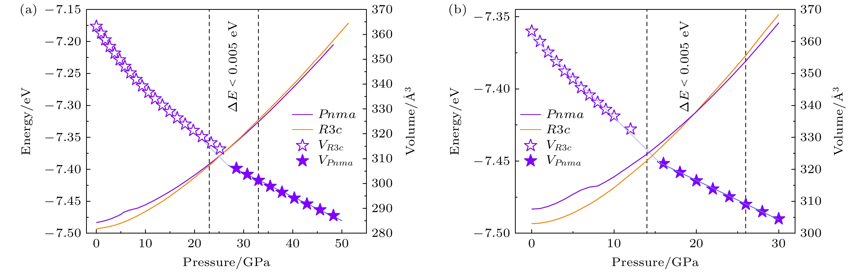
图 3 第一性原理计算获得的NBT两相归一化晶胞体积和平均原子能量随压力变化图 (a) 在设定压缩率各向同性下的计算结果; (b) 在设定压力各向同性下的计算结果
Fig. 3. Normalized unit cell volume and average atomic energy versus pressure for the two-phase NBT obtained from first-principles calculations: (a) Results under the condition of isotropic compressibility; (b) results under the condition of isotropic pressure.
图 4 NBT体积压力曲线拟合结果 (a)—(c) 中子衍射实验、Cal-1和Cal-2计算获得的R3c相体积压力曲线; (d)—(f) 中子衍射实验、Cal-1和Cal-2计算获得的Pnma相体积压力曲线
Fig. 4. Fitting results of the volume versus pressure curves for NBT: (a)–(c) Volume versus pressure curves for the R3c phase obtained from neutron diffraction experiments, Cal-1, and Cal-2 calculations, respectively; (d)–(f) volume versus pressure curves for the Pnma phase obtained from neutron diffraction experiments, Cal-1, and Cal-2 calculations, respectively.
表 1 NBT晶胞参数精修结果
Table 1. Unit cell parameters of NBT from rietveld refinement.
P/GPa Rhombohedral-R3c (Z = 6) Orthorhobmic-Pnma (Z = 4) Rwp/% a/Å c/Å a/Å b/Å c/Å 0 5.51769 13.53806 — — — 4.96 0.1 5.51658 13.52609 — — — 4.30 0.2 5.51054 13.51019 — — — 4.35 0.8 5.49948 13.52777 Phase appears 4.78 1.8 5.48487 13.43632 5.48603 5.48620 7.74757 6.39 2.5 5.47163 13.40546 5.47582 5.46863 7.72857 6.39 3.6 5.45653 13.36911 5.46078 5.45307 7.70844 4.95 4.2 5.44308 13.33665 5.44823 5.43878 7.6879 6.04 5.5 Phase disappears 5.43504 5.42606 7.67246 6.26 6.2 — — 5.41434 5.41443 7.64334 5.75 6.8 — — 5.41406 5.40337 7.63613 6.52 -
[1] Leijtens T, Hoke E T, Grancini G, et al. 2015 Adv. Energy Mater. 5 1500962
Google Scholar
[2] Takenaka T, Nagata H 2005 J. Eur. Ceram. Soc. 25 2693
Google Scholar
[3] Mesrar M, Lamcharfi T, Echatoui N, Abdi F, Harrach A, Ahjyaje F Z 2019 Moroc. J. Quant. Qual. Res. 1 14
[4] Whittle K R, de los Reyes M, Aughterson R D, et al. 2018 Materialia 3 186
Google Scholar
[5] Shkuratov S I, Baird J, Antipov V G, et al. 2017 Sci. Rep. 7 46758
Google Scholar
[6] Shkuratov S I, Baird J, Antipov V G, et al. 2018 Appl. Phys. Lett. 112 122903
Google Scholar
[7] Suchanicz J, Jankowska-Sumara I, Kruzina T V 2011 J. Electroceram. 27 45
Google Scholar
[8] Mesrar M, Lamcharfi T, Echatoui N S, Abdi F 2022 Materialia 22 101404
Google Scholar
[9] Panda P K 2009 J. Mater. Sci. 44 5049
Google Scholar
[10] Kunnath N, Philip J 2019 New J. Glass Ceram. 9 1
Google Scholar
[11] Suchanicz J, Poleder K, Kania A, Handerek J 1988 Ferroelectrics 77 107
Google Scholar
[12] Fleddermann C B, Nation J A 1997 IEEE Trans. Plasma Sci. 25 212
Google Scholar
[13] Jiang Y, Wang X, Zhang F, He H 2014 Smart Mater. Struct. 23 085020
Google Scholar
[14] Shkuratov S I, Baird J, Talantsev E F 2013 Appl. Phys. Lett. 102 052906
Google Scholar
[15] Shkuratov S I, Talantsev E F, Baird J 2011 J. Appl. Phys. 110 024113
Google Scholar
[16] Shkuratov S I, Baird J, Antipov V G, Lynch C S, Zhang S J, Chase J B, Jo H R 2021 J. Mater. Chem. A 9 12307
Google Scholar
[17] Zhao D, Lenz T, Gelinck G H, Groen P, Damjanovic D, de Leeuw D M, Katsouras I 2019 Nat. Commun. 10 2547
Google Scholar
[18] Gao Z P, Peng W, Chen B, et al. 2019 Phys. Rev. Mater. 3 035401
Google Scholar
[19] Orayech B, Faik A, López G A, Fabelo O, Igartua J M 2015 J. Appl. Crystallogr. 48 318
Google Scholar
[20] Chang R C, Chu S Y, Lin Y F, Hong C S, Wong Y P 2007 J. Eur. Ceram. Soc. 27 4453
Google Scholar
[21] Dwivedi S, Pareek T, Kumar S 2018 RSC Adv. 8 24286
Google Scholar
[22] Ge W, Li J, Viehland D, Chang Y F, Messing G L 2011 Phys. Rev. B 83 224110
Google Scholar
[23] Liu Y, Liu H, Sun S D, Wang L, Chen J 2022 Scr. Mater. 207 114283
Google Scholar
[24] Wang X L, Luo Y H, Huang H L, et al. 2018 Phys. Rev. Lett. 120 260502
Google Scholar
[25] Borges Z V, Poffo C M, de Lima J C, Souza S M, Trichês D M, de Biasi R S 2018 J. Appl. Phys. 124 215901
Google Scholar
[26] Jones G O, Thomas P A 2002 Acta Crystallogr. B 58 168
Google Scholar
[27] Kreisel J, Bouvier P, Dkhil B, et al. 2003 Phys. Rev. B 68 014113
Google Scholar
[28] Kreisel J, Glazer A M, Bouvier P, Lucazeau G 2001 Phys. Rev. B 63 174106
Google Scholar
[29] Bujakiewicz-Korońska R, Natanzon Y 2008 Phase Transit. 81 1117
Google Scholar
[30] Suchanicz J 2002 J. Mater. Sci. 37 489.
Google Scholar
[31] 杨功章, 谢雷, 陈喜平, 何瑞琦, 韩铁鑫, 牛国梁, 房雷鸣, 贺端威 2022 物理学报 71 156101
Google Scholar
Yang G Z, Xie L, Chen X P, He R Q, Han T X, Niu G L, Fang L M, He D W 2022 Acta Phys. Sin. 71 156101
Google Scholar
[32] 史钰, 陈喜平, 谢雷, 孙光爱, 房雷鸣 2019 物理学报 68 116101
Google Scholar
Shi Y, Chen X P, Xie L, Sun G A, Fang L M 2019 Acta Phys. Sin. 68 116101
Google Scholar
[33] 孙嘉程, 陈喜平, 谢雷, 房雷鸣 2024 高压物理学报 38 030111
Google Scholar
Sun J C, Chen X P, Xie L, Fang L M 2024 Chin. J. High Pressure Phys. 38 030111
Google Scholar
[34] 房雷鸣, 陈喜平, 谢雷, 贺端威, 胡启威, 李欣, 江明全, 孙光爱, 陈波, 彭述明, 李昊, 韩铁鑫 2020 高压物理学报 34 050104
Google Scholar
Fang L M, Chen X P, Xie L, He D W, Hu Q W, Li X, Jiang M Q, Sun G A, Chen B, Peng S M, Li H, Han T X 2020 Chin. J. High Pressure Phys. 34 050104
Google Scholar
[35] Kandemir T, Wallacher D, Hansen T, et al. 2012 Nucl. Instrum. Methods Phys. Res. A 673 51
Google Scholar
[36] Jacobsen M K, Ridley C J, Bocian A, et al. 2014 Rev. Sci. Instrum. 85 043904
Google Scholar
[37] Xu H W, Zhao Y S, Zhang J Z, Hickmott D D, Daemen L L 2007 Phys. Chem. Miner. 34 223
Google Scholar
[38] Zhou Z Y, Gao Z P, Xiong Z W, et al. 2022 Appl. Phys. Lett. 121 113903
Google Scholar
[39] Perdew J P, Burke K, Ernzerhof M 1996 Phys. Rev. Lett. 77 3865
Google Scholar
[40] Kresse G, Furthmüller J 1996 Phys. Rev. B 54 11169
Google Scholar
[41] Kresse G, Hafner J 1993 Phys. Rev. B 47 558
Google Scholar
[42] Zhou Z Y, Xiong Z W, Liu X R, Zeng T, Liu W B, Wu J G, Gao Z P 2024 Phys. Rev. B 109 104108
Google Scholar
[43] Chen H H, Peng F, Mao H K, Shen G Y, Liermann H P, Li Z, Shu J F 2010 J. Appl. Phys. 107 113503
Google Scholar
[44] Gerward L, Olsen J S, Petit L, Vaitheeswaran G, Kanchana V, Svane A 2005 J. Alloys Compd. 400 56
Google Scholar
[45] Singh P P, Kumar M 2004 Phys. B Condens. Matter 344 41
Google Scholar
[46] 陈美娟, 郭佳芯, 吴浩, 郑潇然, 闵楠, 田辉, 李全军, 都时禹, 沈龙海 2025 物理学报 74 177102
Google Scholar
Chen M J, Guo J X, Wu H, Zheng X R, Min N, Tian H, Li Q J, Dou S Y, Shen L H 2025 Acta Phys. Sin. 74 177102
Google Scholar
[47] Voigt W 1889 Ann. Phys. Chem 274 573
Google Scholar
[48] Reuss A 1929 Zeit. Angew. Math. Mech 9 49
Google Scholar
[49] Hill R 1952 Proc. Phys. Soc. A 65 349
Google Scholar
[50] Yamanaka T, Nagai T, Okada T, Fukuda T 2005 Z. Kristallogr. Cryst. Mater. 220 938.
Google Scholar
[51] Robinson K, Gibbs G V, Ribbe P H 1971 Science 172 567
Google Scholar
[52] Zhou Z Y, Fang L M, Xiong Z W, et al. 2023 Appl. Phys. Lett. 123 012904
Google Scholar
计量
- 文章访问数: 666
- PDF下载量: 30
- 被引次数: 0








下载: