2019 Vol. 68, No. 4
Display Method:
2019, 68(4): 040201.
doi: 10.7498/aps.68.20181525
Abstract:
Based on a hybrid model of a single-mode microcavity system plus an ensemble of two-level atoms (TLAs), we investigate the effect of quantum correlated coherence (QCC) [Tan K C, et al. 2016 Phys. Rev. A 94, 022329] of bath on the dynamic behaviors of system. The dynamic equations of system for a general bath with QCC have been derived. With the help of the GHZ-like state with QCC and its reference state, the role of QCC as a thermodynamic resource has been clearly shown where QCC could be used to enhance the system's energy. Meanwhile, combining with the analytical and numerical simulation methods, the influences of effective temperature of\begin{document}$ GHZ $\end{document} ![]()
![]()
-like bath and the coupling strength between the system and the bath on the energy effect of QCC have been studied. We find that the energy contribution of QCC to the cavity field relies not only on the effective temperature of bath but also on the coupling strength. That is completely different from the case of traditional thermal bath where the energy captured by the cavity from the bath only depends on the bath temperature, i.e., the thermal distribution of TLAs. Moreover, several interesting phenomena, in the paper, have been shown: 1) the higher of the effective temperature of bath, the larger of the cavity's energy extracted from the QCC of bath; 2) under the fixed effective temperature of bath, the smaller of the coupling strength the larger of the maximal extractable energy from QCC of bath; 3) there exists the trade-off between the cavity's energy and the capability of cavity capturing the energy of TLAs entering the cavity, i.e., the cavity's energy extracted from each TLA crossing the cavity always decreases as the energy of cavity increases; 4) the energy contribution of QCC of bath to cavity is beyond the one of the thermal distribution of TLAs in bath, and it could become more prominent when the coupling strength is taken the smaller value, which also means that in the case of weak coupling strength it is the QCC of bath not the thermal distribution of bath dominating the cavity's energy. Thus, the QCC of bath could be viewed as a kind of high quality thermodynamic resource. It has the potential applications in the design of a quantum engine with high output power or efficiency, and the enhancement of charging speed of quantum battery. Our investigation is beneficial to the further understanding of quantum coherence in quantum thermodynamic regime.
Based on a hybrid model of a single-mode microcavity system plus an ensemble of two-level atoms (TLAs), we investigate the effect of quantum correlated coherence (QCC) [Tan K C, et al. 2016 Phys. Rev. A 94, 022329] of bath on the dynamic behaviors of system. The dynamic equations of system for a general bath with QCC have been derived. With the help of the GHZ-like state with QCC and its reference state, the role of QCC as a thermodynamic resource has been clearly shown where QCC could be used to enhance the system's energy. Meanwhile, combining with the analytical and numerical simulation methods, the influences of effective temperature of
2019, 68(4): 040401.
doi: 10.7498/aps.68.20181973
Abstract:
When a supersonic spacecraft enters into the atmosphere of earth, part of the spacecraft's kinetic energy changes into thermal energy, thus causing the air surrounding the craft to be heated and compressed. As a result, the temperature near the surface may reach several thousands of kelvins, which leads the surface materials to be ionized and form a plasma sheath around the vehicle. This plasma layer has an electron density ranging from 1015m-3 to 1020m-3, and may interrupt the radio communication signal between the re-entry vehicle and ground-based stations, which is known as ‘communication blackout’. According to the radio attenuation measurement (RAM) experiments carried out by NASA(National Aeronautics and Space Administration) in the 1970s, the duration time of communication blackout ranges from 4 to 10 minutes in an altitude range from 40 km to 100 km. Communication blackout has puzzled aerospace industry for several decades, and has not yet been completely resolved. Due to this, it becomes necessary to understand the causes of communication blackout and the methods for its mitigation. Compared with other communication methods, x-ray communication(XCOM) has the advantages of short carrier wavelength and high photon energy, as well as strong ability to resist anti-interference, thus being able to open a novel way to solve this long-lasting unresolved problem. In this paper, to begin with, we analyze the transmission coefficiencies under different plasma electron densities and collision frequencies based on Wentzel Kramers Brillouin (WKB) approximation method. The simulation results indicate that the x-ray carrier is not influenced by the reentry plasma sheath. After that, a plasma source based on glow discharge is used to verify the mathematical model. The non-magnetized unobstructed plasma region is\begin{document}$\varPhi $\end{document} ![]()
![]()
200 mm × 180 mm, which can be used for simulating plasma sheath near the reenter spacecraft. Then the transmission coefficiency, energy spectrum similarity and energy spectrum peak offset under different x-ray energy, x-ray flow and plasma electron density are firstly analyzed. Experimental results indicate that plasma can lead the x-ray signal to be attenuated to a certain extent, the increase of plasma electron density will cause higher attenuation. However, with a higher signal x-ray energy and x-ray flow, the XCOM could achieve less attenuation in the re-enter plasma layer. When the plasma electron density ranges from 6 × 1016/m3 to 1.2 × 1017/m3, 1.34 Mcps signal x-ray photons’ flow with 20 kV anode voltage would achieve more than a 95% transmission efficiency. Also, the spectrum of x-ray signal can obtain more than 95.5% similarity and the peak offset is less than 1.3% after passing the plasma sheath. Subsequently, based on the original mathematic model and experimental results, considering the free-free absorption, free-bound absorption, bound-bound absorption and scattering effect of x-ray photons in plasma, the x-ray transmission characteristics are optimized to make simulation results well consistent with the experiment results. Finally, an MCNP (Monte Carlo N Particle) transport simulation is used to analyze the feasibility of XCOM in blackout region, which indicates that the energy range 15—25 keV is the suitable to achieve the XCOM in adjacent space, and the relation of potential transmitting speed with bit error is calculated. Theoretically, the XCOM can achieve about 1.3 Mbps communication speed in blackout region. In summary, these theoretical and experimental results indicate that the XCOM is a potential and novel method to solve the blackout communication problems.
When a supersonic spacecraft enters into the atmosphere of earth, part of the spacecraft's kinetic energy changes into thermal energy, thus causing the air surrounding the craft to be heated and compressed. As a result, the temperature near the surface may reach several thousands of kelvins, which leads the surface materials to be ionized and form a plasma sheath around the vehicle. This plasma layer has an electron density ranging from 1015m-3 to 1020m-3, and may interrupt the radio communication signal between the re-entry vehicle and ground-based stations, which is known as ‘communication blackout’. According to the radio attenuation measurement (RAM) experiments carried out by NASA(National Aeronautics and Space Administration) in the 1970s, the duration time of communication blackout ranges from 4 to 10 minutes in an altitude range from 40 km to 100 km. Communication blackout has puzzled aerospace industry for several decades, and has not yet been completely resolved. Due to this, it becomes necessary to understand the causes of communication blackout and the methods for its mitigation. Compared with other communication methods, x-ray communication(XCOM) has the advantages of short carrier wavelength and high photon energy, as well as strong ability to resist anti-interference, thus being able to open a novel way to solve this long-lasting unresolved problem. In this paper, to begin with, we analyze the transmission coefficiencies under different plasma electron densities and collision frequencies based on Wentzel Kramers Brillouin (WKB) approximation method. The simulation results indicate that the x-ray carrier is not influenced by the reentry plasma sheath. After that, a plasma source based on glow discharge is used to verify the mathematical model. The non-magnetized unobstructed plasma region is
2019, 68(4): 040701.
doi: 10.7498/aps.68.20181682
Abstract:
Data from the directional polarimetric camera (DPC) instrument onboard Chinese Gaofen-5 satellite dedicated to aerosol monitoring have been available recently. By measuring the spectral, angular and polarization properties of the radiance at the top of atmosphere (TOA), a DPC provides the aerosol optical depths (AODs) as well as partial microphysical aerosol properties. In order to evaluate the capability and the retrieval uncertainty of DPC sensor systematically, the information content and a posteriori error analysis are applied to the synthetic data of DPC multi-angle observation in this paper, which inherits from the optimal estimate theoretical framework. The forward simulation is conducted by the unified linearized vector radiative transfer model (UNL-VRTM), and the Jacobians of four Stokes elements with respect to aerosol and surface model parameters can be obtained simultaneously. Firstly, the error influences of surface parameter on the TOA measurements are simulated. The results indicate that a 10% relative error of parameter k1 in the improved BRDF model results in about 4.65% error of the TOA reflectance, while the error of TOA polarized reflectance caused by the same error of parameter C in BPDF model is negligibly small. Secondly, the multi-angle dependence of total information content in DPC measurements is investigated. It is shown that the information content increases significantly with the number of viewing angles, especially for the measurements of the first 9 angles. The DPC multi-angle observation can provide extra 5 degrees of freedom for signal (DFS) for the retrieval of aerosol and surface parameters, in which the retrieval of aerosol parameters is more sensitive to observation geometries than the retrieval of surface parameters in most cases. In addition, the total aerosol DFS increases with the range extension of scattering angle under the same number of viewing angles. After that, the DFS of each retrieved aerosol and surface parameter are given. For the aerosols, the volume concentration, real-part refractive index and effective radius show a high DFS (greater than 0.8). For the surfaces, the mean DFS of each parameter is greater than 0.5, which indicates the well capability of DPC in the surface retrieval. Finally, the a posteriori error of each aerosol, surface parameter and corresponding vary with the number of viewing angles, and the observation error and aerosol model error are discussed. The a posteriori error decrease significantly with the number of viewing angles, and the influence of the aerosol model error on the a posteriori error is not remarkable. In general, the observation error is the main influence factor on the uncertainty of the inversion results.
Data from the directional polarimetric camera (DPC) instrument onboard Chinese Gaofen-5 satellite dedicated to aerosol monitoring have been available recently. By measuring the spectral, angular and polarization properties of the radiance at the top of atmosphere (TOA), a DPC provides the aerosol optical depths (AODs) as well as partial microphysical aerosol properties. In order to evaluate the capability and the retrieval uncertainty of DPC sensor systematically, the information content and a posteriori error analysis are applied to the synthetic data of DPC multi-angle observation in this paper, which inherits from the optimal estimate theoretical framework. The forward simulation is conducted by the unified linearized vector radiative transfer model (UNL-VRTM), and the Jacobians of four Stokes elements with respect to aerosol and surface model parameters can be obtained simultaneously. Firstly, the error influences of surface parameter on the TOA measurements are simulated. The results indicate that a 10% relative error of parameter k1 in the improved BRDF model results in about 4.65% error of the TOA reflectance, while the error of TOA polarized reflectance caused by the same error of parameter C in BPDF model is negligibly small. Secondly, the multi-angle dependence of total information content in DPC measurements is investigated. It is shown that the information content increases significantly with the number of viewing angles, especially for the measurements of the first 9 angles. The DPC multi-angle observation can provide extra 5 degrees of freedom for signal (DFS) for the retrieval of aerosol and surface parameters, in which the retrieval of aerosol parameters is more sensitive to observation geometries than the retrieval of surface parameters in most cases. In addition, the total aerosol DFS increases with the range extension of scattering angle under the same number of viewing angles. After that, the DFS of each retrieved aerosol and surface parameter are given. For the aerosols, the volume concentration, real-part refractive index and effective radius show a high DFS (greater than 0.8). For the surfaces, the mean DFS of each parameter is greater than 0.5, which indicates the well capability of DPC in the surface retrieval. Finally, the a posteriori error of each aerosol, surface parameter and corresponding vary with the number of viewing angles, and the observation error and aerosol model error are discussed. The a posteriori error decrease significantly with the number of viewing angles, and the influence of the aerosol model error on the a posteriori error is not remarkable. In general, the observation error is the main influence factor on the uncertainty of the inversion results.
2019, 68(4): 040702.
doi: 10.7498/aps.68.20181864
Abstract:
Nuclear fusion energy is a clean and safe energy resource with huge potential. Tungsten is the primary candidate for plasma facing materials (PFMs) in future nuclear reactors because of its high melting point, high thermal conductivity and high resistance to sputtering and erosion. However, the interaction between tungsten and helium plasma generated by deuterium-tritium nuclear reactions will result in the degeneration of tungsten through helium blistering in tungsten. The solubility of helium in tungsten is low, and it tends to aggregate at grain boundary, phase boundary, vacancies and dislocations, thus forming helium bubbles. These bubbles will lead to microstructure changes of surface and bulk phases, as well as a decrease in mechanical properties, which seriously affects the service life of material. Limited by experimental techniques, some basic problems for the growth of helium bubbles in tungsten are not clear, for instance, how the helium clusters migrate, and nucleation mechanisms. The study of complex helium bubble formation, evolution and its underlying mechanism in tungsten PFM necessitates advanced experimental techniques. Traditional methods such as ion implantation, scanning electron microscope and transmission electron microscope are inadequate for this task. Therefore, we propose the helium ion microscope method to investigate the aforementioned several aspects of helium in tungsten in situ and real-time. Here, a helium irradiation experiment is performed by helium ion microscope (HIM), featuring nanostructure fabrication, ion implantation and microscopic imaging. The HIM can generate an ion beam with energy in a range of 0.5−35 keV and an flux upto 1025 ions/m2/s. In the process of helium ion implantation, we observe in situ and real time the helium blistering and the morphological evolution on tungsten surface, in order to capture the helium implantation-induced microscopic damage evolution on tungsten surface and subsurface. From the results of in situ HIM experiments, it is believed that a strong orientation dependence of blistering is observed with the blister occurring preferentially on the surface of grains with normal direction close to (111), and surface blistering of tungsten is directly related to cracks immediately below the surface. The present study demonstrates that the HIM is a powerful tool for investigating the helium blistering behavior in tungsten and provides valuable experimental data and reference for designing PFMs.
Nuclear fusion energy is a clean and safe energy resource with huge potential. Tungsten is the primary candidate for plasma facing materials (PFMs) in future nuclear reactors because of its high melting point, high thermal conductivity and high resistance to sputtering and erosion. However, the interaction between tungsten and helium plasma generated by deuterium-tritium nuclear reactions will result in the degeneration of tungsten through helium blistering in tungsten. The solubility of helium in tungsten is low, and it tends to aggregate at grain boundary, phase boundary, vacancies and dislocations, thus forming helium bubbles. These bubbles will lead to microstructure changes of surface and bulk phases, as well as a decrease in mechanical properties, which seriously affects the service life of material. Limited by experimental techniques, some basic problems for the growth of helium bubbles in tungsten are not clear, for instance, how the helium clusters migrate, and nucleation mechanisms. The study of complex helium bubble formation, evolution and its underlying mechanism in tungsten PFM necessitates advanced experimental techniques. Traditional methods such as ion implantation, scanning electron microscope and transmission electron microscope are inadequate for this task. Therefore, we propose the helium ion microscope method to investigate the aforementioned several aspects of helium in tungsten in situ and real-time. Here, a helium irradiation experiment is performed by helium ion microscope (HIM), featuring nanostructure fabrication, ion implantation and microscopic imaging. The HIM can generate an ion beam with energy in a range of 0.5−35 keV and an flux upto 1025 ions/m2/s. In the process of helium ion implantation, we observe in situ and real time the helium blistering and the morphological evolution on tungsten surface, in order to capture the helium implantation-induced microscopic damage evolution on tungsten surface and subsurface. From the results of in situ HIM experiments, it is believed that a strong orientation dependence of blistering is observed with the blister occurring preferentially on the surface of grains with normal direction close to (111), and surface blistering of tungsten is directly related to cracks immediately below the surface. The present study demonstrates that the HIM is a powerful tool for investigating the helium blistering behavior in tungsten and provides valuable experimental data and reference for designing PFMs.
2019, 68(4): 043101.
doi: 10.7498/aps.68.20182136
Abstract:
The Dirac-Hartree-Fock approximation is adopted to calculate the mass shift and the field shift for the 5d106s 2S1/2→5d96s2 2D5/2 clock transition in Hg+. It is found that the field shift is much larger than the mass shift so that the latter can be neglected in the isotope shift. In addition, we estimate that the isotope shifts of the levels related to the 5d106s 2S1/2→5d96s2 2D5/2 clock transition of Hg+ is on the order of about 104 GHz, while the hyperfine structure splitting is in a range of 1−10 GHz. However, the isotope shift of the 5d106s 2S1/2→5d96s2 2D5/2 clock transition is on the same order of magnitude as the hyperfine structure splitting. Therefore, the hyperfine structure splitting must be taken into account for predicting the frequency shifts of the clock transition between different isotopes. On the basis of these results, we perform a multi-configuration Dirac-Hartree-Fock calculation on the field shift of the 5d106s 2S1/2→5d96s2 2D5/2 clock transition in Hg+ and the hyperfine interaction constants of the upper and the lower levels involved. In order to give accurate theoretical results of these physical quantities, we systematically consider the main electron correlations in the atomic system by using the active space method. The restricted single and double (SrD) excitation method is used to capture the correlation between the 5d and the 6s valence electrons, and the correlation between the 3s, 3p, 3d, 4s, 4p, 4d, 5s, 5p, and 5d core and the valence electrons. The isotope shifts and hyperfine structure splitting for this transition of several stable mercury isotopes are given. In particular, the uncertainty of the calculated isotope shift between 199Hg+ and 198Hg+ is about 2%, compared with the experimental measurement available. Using these results, we predict the absolute frequency values of this transition for seven mercury isotopes, which provides theoretical reference data for experiments. Moreover, the calculated isotope shifts and hyperfine structures are also useful for studying the structure, property and nucleon interaction of mercury nucleus.
The Dirac-Hartree-Fock approximation is adopted to calculate the mass shift and the field shift for the 5d106s 2S1/2→5d96s2 2D5/2 clock transition in Hg+. It is found that the field shift is much larger than the mass shift so that the latter can be neglected in the isotope shift. In addition, we estimate that the isotope shifts of the levels related to the 5d106s 2S1/2→5d96s2 2D5/2 clock transition of Hg+ is on the order of about 104 GHz, while the hyperfine structure splitting is in a range of 1−10 GHz. However, the isotope shift of the 5d106s 2S1/2→5d96s2 2D5/2 clock transition is on the same order of magnitude as the hyperfine structure splitting. Therefore, the hyperfine structure splitting must be taken into account for predicting the frequency shifts of the clock transition between different isotopes. On the basis of these results, we perform a multi-configuration Dirac-Hartree-Fock calculation on the field shift of the 5d106s 2S1/2→5d96s2 2D5/2 clock transition in Hg+ and the hyperfine interaction constants of the upper and the lower levels involved. In order to give accurate theoretical results of these physical quantities, we systematically consider the main electron correlations in the atomic system by using the active space method. The restricted single and double (SrD) excitation method is used to capture the correlation between the 5d and the 6s valence electrons, and the correlation between the 3s, 3p, 3d, 4s, 4p, 4d, 5s, 5p, and 5d core and the valence electrons. The isotope shifts and hyperfine structure splitting for this transition of several stable mercury isotopes are given. In particular, the uncertainty of the calculated isotope shift between 199Hg+ and 198Hg+ is about 2%, compared with the experimental measurement available. Using these results, we predict the absolute frequency values of this transition for seven mercury isotopes, which provides theoretical reference data for experiments. Moreover, the calculated isotope shifts and hyperfine structures are also useful for studying the structure, property and nucleon interaction of mercury nucleus.
2019, 68(4): 043201.
doi: 10.7498/aps.68.20181980
Abstract:
We analyze ionic spectrum of lanthanum via intermediate state (Xe)\begin{document}$ 5d6d \; ^3F_2 $\end{document} ![]()
![]()
in the energy region 89872-91783 cm–1, and the spectrum is obtained using five-laser resonance excitation in combination with a method of sequential ionization by a pulsed electric field and a constant electric field, and has been recalibrate in this work. Both of one strong and one weak autoionization Rydberg series converging to the La2+ state are determined. Meanwhile, the two autoionization Rydberg series are assigned by relativistic multichannel theory (RMCT) within the framework of multi-channel quantum defect theory (MQDT). More specifically, the strong autoionization Rydberg series is assigned to \begin{document}$ 5dnp\left(\dfrac{5}{2},\dfrac{1}{2}\right)_3 $\end{document} ![]()
![]()
and/or \begin{document}$ 5dnp\left(\dfrac{5}{2},\dfrac{1}{2}\right)_2 $\end{document} ![]()
![]()
, and the weak autoionization Rydberg series is assigned to \begin{document}$ 5dnf\left(\dfrac{5}{2},\dfrac{5}{2}\right)_3 $\end{document} ![]()
![]()
and/or \begin{document}$ 5dnf\left(\dfrac{5}{2},\dfrac{5}{2}\right)_2 $\end{document} ![]()
![]()
. We focus on the behavior of quantum defect with excitation energy for high \begin{document}$ n $\end{document} ![]()
![]()
Rydberg states, which are sensitive to the existence of a external field. We find the breakdown of quantum defect regular behavior for a specific Rydberg series and autoionization Rydberg series of La+ as the effective quantum number \begin{document}$ n^\star>67 $\end{document} ![]()
![]()
. Due to that our calculations, which are obtained by relativistic multichannel theory and included configuration interactions, are in basically agreement with that for experimental low \begin{document}$ n $\end{document} ![]()
![]()
(\begin{document}$ n^\star<67 $\end{document} ![]()
![]()
) Rydberg states as well as small stray electric fields, we suggest that plasma formed by photoionization of La atoms in the second excitation step may be responsible for the breakdown of quantum defect regular behavior.
We analyze ionic spectrum of lanthanum via intermediate state (Xe)
2019, 68(4): 044201.
doi: 10.7498/aps.68.20181548
Abstract:
Stimulated Brillouin scattering (SBS) and stimulated Raman scattering (SRS) are two kinds of emblematic inelastic scattering processes resulting from the interaction of high-intensity laser with matter. Generally, competition between SBS and SRS is a common phenomenon in many substances. In liquid or high-pressure gas, if a single longitudinal mode laser is used as a pump source, both SBS and SRS can be excited, but the SBS will become very strong due to higher gain and optical phase conjugation. In comparison, the SRS gain is typically 2 orders of magnitude smaller than the SBS gain so that most of the pump laser energy is spent on the SBS and the SRS is greatly suppressed. To improve the output energy of SRS in liquid medium, a method of suppressing the SBS process by controlling temperature of medium is proposed. The SRS generation system using broadband pulse laser of 532 nm in wavelength as a pumping source is designed, the output energy of forward SRS (FSRS) and backward SBS (BSBS) in water with different temperatures are measured, and the physical mechanisms of the influences of water temperature, pumping linewidth and thermal defocusing on the output energy of SRS are analyzed. The experimental results indicate that by reducing the water temperature, the SBS process can be significantly suppressed, and the beam distortion caused by thermal defocusing effect can be reduced, thus effectively improving the output energy of SRS. Unlike the single longitudinal mode laser, when the pump source is handled in multiple longitudinal modes with a wide linewidth, the gain of FSRS is higher than that of the backward SRS (BSRS). Meanwhile, since the SBS gain coefficient is restricted by the linewidth of the pump laser, the FSRS process is dominant and both backward SBS and BSRS are significantly suppressed. It is necessary to state that none of the influence of backward SRS, self-focusing, optical breakdown and other non-linear effects on the output energy of SRS is considered in this paper, and only the effectiveness of reducing temperature to improve the energy output of forward SRS is verified from the perspective of temperature change. The results are of great significance for the multi-wavelength conversion of SRS in liquid medium.
Stimulated Brillouin scattering (SBS) and stimulated Raman scattering (SRS) are two kinds of emblematic inelastic scattering processes resulting from the interaction of high-intensity laser with matter. Generally, competition between SBS and SRS is a common phenomenon in many substances. In liquid or high-pressure gas, if a single longitudinal mode laser is used as a pump source, both SBS and SRS can be excited, but the SBS will become very strong due to higher gain and optical phase conjugation. In comparison, the SRS gain is typically 2 orders of magnitude smaller than the SBS gain so that most of the pump laser energy is spent on the SBS and the SRS is greatly suppressed. To improve the output energy of SRS in liquid medium, a method of suppressing the SBS process by controlling temperature of medium is proposed. The SRS generation system using broadband pulse laser of 532 nm in wavelength as a pumping source is designed, the output energy of forward SRS (FSRS) and backward SBS (BSBS) in water with different temperatures are measured, and the physical mechanisms of the influences of water temperature, pumping linewidth and thermal defocusing on the output energy of SRS are analyzed. The experimental results indicate that by reducing the water temperature, the SBS process can be significantly suppressed, and the beam distortion caused by thermal defocusing effect can be reduced, thus effectively improving the output energy of SRS. Unlike the single longitudinal mode laser, when the pump source is handled in multiple longitudinal modes with a wide linewidth, the gain of FSRS is higher than that of the backward SRS (BSRS). Meanwhile, since the SBS gain coefficient is restricted by the linewidth of the pump laser, the FSRS process is dominant and both backward SBS and BSRS are significantly suppressed. It is necessary to state that none of the influence of backward SRS, self-focusing, optical breakdown and other non-linear effects on the output energy of SRS is considered in this paper, and only the effectiveness of reducing temperature to improve the energy output of forward SRS is verified from the perspective of temperature change. The results are of great significance for the multi-wavelength conversion of SRS in liquid medium.
2019, 68(4): 044301.
doi: 10.7498/aps.68.20181475
Abstract:
Bottom backscattering due to roughness seafloor is the main source of shallow water reverberation, especially in the waveguide with downward reflection profile or a calm sea-surface. Empirical backscattering models with a simple form has an important limitation to analyzing other characteristics of reverberation except for the intensity characteristics, which originates from optics and describes the relationship between the bottom backscattering strength and scattering grazing angle of plane-wave in half-infinite space. In the shallow water, such a plane-wave backscattering model cannot be used due to frequency dispersion. The model of bottom backscattering based on physical scattering principle is made to relieve such a limitation, but thereby bringing about another restraint by a geoacoustics model. The bottom backscattering model, which is formulated during modeling the full-wave reverberation theory at small grazing angle in range-independent shallow water waveguide, is simplified by combining with bottom reflection coefficient model which is independent of the geoacoustics model. The bottom reflection coefficient model as referred to the proposed phase parameter P in this paper is equivalent to velocity and density of sediment to describe sound field interacted with sea-bottom. Therefore simplification of bottom backscattering model can be handled by the phase parameter without any knowledge of bottom geoacoustic parameters. The angular dependency and intensity dependency of bottom backscattering due to roughness seafloor at small grazing angle are studied more in depth through such a simplified model. Marking 2/P as the cut-off point, the grazing angle is divided into two stages. Near the critical angle, as grazing angle is greater than 2/P and less than critical grazing angle, the angular dependency of bottom backscattering due to roughness seafloor is weighted by phase parameter of bottom reflection coefficient, while the intensity dependency is independent of phase parameter. At each small grazing angle, as grazing angle is less than 2/P, the angular dependency of bottom backscattering due to roughness seafloor is proportional to incident and scattering grazing angle squared and irrespective of phase parameter of bottom reflection coefficient which is like the empirical bottom backscattering model, while the intensity dependency is proportional to the fourth power of phase parameter. So the bottom has different influences on the angular dependency and intensity dependency of bottom backscattering in different stages of grazing angle.
Bottom backscattering due to roughness seafloor is the main source of shallow water reverberation, especially in the waveguide with downward reflection profile or a calm sea-surface. Empirical backscattering models with a simple form has an important limitation to analyzing other characteristics of reverberation except for the intensity characteristics, which originates from optics and describes the relationship between the bottom backscattering strength and scattering grazing angle of plane-wave in half-infinite space. In the shallow water, such a plane-wave backscattering model cannot be used due to frequency dispersion. The model of bottom backscattering based on physical scattering principle is made to relieve such a limitation, but thereby bringing about another restraint by a geoacoustics model. The bottom backscattering model, which is formulated during modeling the full-wave reverberation theory at small grazing angle in range-independent shallow water waveguide, is simplified by combining with bottom reflection coefficient model which is independent of the geoacoustics model. The bottom reflection coefficient model as referred to the proposed phase parameter P in this paper is equivalent to velocity and density of sediment to describe sound field interacted with sea-bottom. Therefore simplification of bottom backscattering model can be handled by the phase parameter without any knowledge of bottom geoacoustic parameters. The angular dependency and intensity dependency of bottom backscattering due to roughness seafloor at small grazing angle are studied more in depth through such a simplified model. Marking 2/P as the cut-off point, the grazing angle is divided into two stages. Near the critical angle, as grazing angle is greater than 2/P and less than critical grazing angle, the angular dependency of bottom backscattering due to roughness seafloor is weighted by phase parameter of bottom reflection coefficient, while the intensity dependency is independent of phase parameter. At each small grazing angle, as grazing angle is less than 2/P, the angular dependency of bottom backscattering due to roughness seafloor is proportional to incident and scattering grazing angle squared and irrespective of phase parameter of bottom reflection coefficient which is like the empirical bottom backscattering model, while the intensity dependency is proportional to the fourth power of phase parameter. So the bottom has different influences on the angular dependency and intensity dependency of bottom backscattering in different stages of grazing angle.
2019, 68(4): 046101.
doi: 10.7498/aps.68.20181641
Abstract:
In the recent decades, the half-metallic materials have become a research hotspot because of their unique electronic structure. The 100% spin polarization at the Fermi level makes them widely used in spintronic devices. The Co-based Heusler alloys belong to an important class of magnetic material, and Co2FeAl and Co2FeSi have been experimentally confirmed to be half-metallic materials with 100% spin polarization at the Fermi level, and the Co2FeSi has a high Curie temperature of 1100 K and a large magnetic moment of 6.0\begin{document}${{\text{μ}}{\rm{B}}}$\end{document} ![]()
![]()
, which is a good candidate for spintronic devices. We here choose and substitute Al atoms in Co2FeAl with Si atoms, and then carry out the theoretical predictions of Co2FeAl1–xSix (x = 0.25, 0.5, 0.75) for both bulk and film . In this paper, using the first principles calculations based on the density functional theory (DFT) we study the electronic structure, tetragonal distortion, elastic constants, phonon spectrum and thermoelectric properties of Co2FeAl1–xSix (x = 0.25, 0.5, 0.75) series alloys. The calculation results show that the electronic structure of Co2FeAl1–xSix (x = 0.25, 0.5, 0.75) series alloys are all half-metallic with 100% spin polarization, and the down spin states (semiconducting character) all exhibit good thermoelectric properties, and the power factor increases with the substitution concentration of Si atoms increasing. The calculated phonon spectrum does not have virtual frequency, indicating its dynamic stability, and all cubic phases fulfill the mechanical stability criteria, i.e. Born criteria: C11 > 0, C44 > 0, C11–C12 > 0, C11 + 2C12 > 0, and C12 < B < C11. With the variation of lattice constant ratio c/a, the lowest energy point of the structure for Co2FeAl1–xSix (x = 0.25, 0.5, 0.75) series alloys are all at c/a = 1, showing that the stability of the structure does not change with the variation of distortion c/a, and further the martensitic transformation cannot occur. For the Co2FeAl1–xSix (x = 0.25, 0.5, 0.75) series alloy thin films, the calculated electronic structures all show a high spin polarization, and it reaches 100% at x = 0.75, and for x = 0.75, the lowest energy point of the structure is at c/a = 1.2, suggesting the martensitic transformation in this structure. With the variation of the tetragonal distortion, the total magnetic moment also changes and it is mainly determined by the changes of atomic magnetic moment of transition-metals Fe and Co.
In the recent decades, the half-metallic materials have become a research hotspot because of their unique electronic structure. The 100% spin polarization at the Fermi level makes them widely used in spintronic devices. The Co-based Heusler alloys belong to an important class of magnetic material, and Co2FeAl and Co2FeSi have been experimentally confirmed to be half-metallic materials with 100% spin polarization at the Fermi level, and the Co2FeSi has a high Curie temperature of 1100 K and a large magnetic moment of 6.0
2019, 68(4): 047201.
doi: 10.7498/aps.68.20181889
Abstract:
In microelectronic and photovoltaic industry, semiconductors are the base materials in which impurities or defects have a serious influence on the properties of semiconductor-based devices. The determination of the electronic transport properties, i.e., the carrier bulk lifetime (\begin{document}$\tau $\end{document} ![]()
![]()
), diffusion coefficient (D) and front surface recombination velocity (S1), is important in the evaluation of semiconductor materials. In this paper, the influence of reabsorption of spontaneously emitted photons within silicon wafers on conventional frequency domain photocarrier radiometric (PCR) is theoretically analyzed. The model with photon reabsorption, proposed by our previous paper, in which both band-to-band absorption and free carrier absorption are taken into account, is used. It is shown that the influence strongly depends on not only the doping level, but also the excess carrier density and its distribution, which are sensitive to the electronic transport properties. The influences of photon reabsorption on PCR amplitude and phase increase with doping level and carrier lifetime increasing. While, as the diffusion coefficient and the front surface recombination velocity increase, the influence of photon reabsorption on PCR amplitude decreases but on PCR phase increases. If photon reabsorption is ignored in the determination of the electronic transport parameters for high-doping silicon wafers via multi-parameter fitting, there are large errors for the fitted results. For a sample with \begin{document}$\tau $\end{document} ![]()
![]()
= 50 μs, D = 20 cm2/s, and S1 = 10 m/s, if the effect of photon reabsorption is ignored, the fitting results with conventional PCR model are 55.66 μs, 19.98 cm2/s, and 11.94 m/s, and the corresponding deviations from the true value are 11.33%, 0.10%, and 19.40%, respectively. In addition, simulation results show the effect of photon reabsorption can be greatly reduced with a suitable filter in front of the detector, while still enabling the majority of the emitted signal to be captured. For example, with a 1100 nm long-pass filter, the fitted results for the same sample above are 51.43 μs, 20.19 cm2/s, and 9.88 m/s with the relative errors of 2.86%, 0.95%, and 1.23%, respectively. It should be pointed out that an infinitely steep cut-on edge of the long-pass filter is assumed in our simulations, while in fact the influences of the filter on PCR signal and the fitted results should be further considered.
In microelectronic and photovoltaic industry, semiconductors are the base materials in which impurities or defects have a serious influence on the properties of semiconductor-based devices. The determination of the electronic transport properties, i.e., the carrier bulk lifetime (
2019, 68(4): 048101.
doi: 10.7498/aps.68.20181923
Abstract:
The quantitative calculation of mechanical wave propagation in the solidification of metal is difficult because of the complicated structure of melt in the solidification process. In this study, the Kelvin model is used to describe the viscoelastic characteristics of alloy melt, and the thermoviscoelastic wave equations are established in conjunction with continuity equation, momentum equation, energy equation considering thermo-mechanical effect and constitutive equation considering thermal stress. The difference equation of thermoviscoelastic wave in the variable non-uniform temperature field is built by using the implicit finite difference method of second order in space and first order in time, and taking into account the variable temperature and non-uniformity of melt. The difference equation is solved numerically by taking the thermodynamic parameters of ZL203A alloy in solid-liquid region varying with temperature as calculation parameters, and the propagation law of thermoviscoelastic wave in the inhomogeneous alloy melt with varying temperature is obtained. By comparing the propagation law of the wave with same wavelength in elastic medium with that in viscoelastic medium, it is found that the thermoviscoelastic wave attenuates seriously, and the thermoelastic wave has no attenuation. The step of displacement of thermoviscoelastic wave will be smoothed rapidly during propagation. The comparison among propagations of thermoviscoelastic wave in homogeneous medium at different temperatures shows that the wavelength of thermoviscoelastic wave in high temperature melt is smaller and the attenuation is more serious than in low temperature melt. The propagation of thermoviscoelastic wave in inhomogeneous medium is equivalent to the propagation in layered medium with different impedance, which makes the attenuation more serious than in homogeneous medium. When the thermoviscoelastic wave propagates from the low temperature region to the high one, the distribution of inhomogeneous temperature field has a great influence on the propagation of wave. The smaller the slope of the temperature field at the incidence of the wave, the smaller the attenuation of the wave is, and the farther the propagation distance is, conversely, when the wave propagates from the high temperature region to the low one, the distribution of the inhomogeneous temperature field has little influence on the propagation of wave. The calculation results of attenuation coefficients of thermoviscoelastic wave with different frequencies at different temperatures show that the attenuation coefficients of thermoviscoelastic waves in alloy melt are bigger in the high temperature medium than in the low temperature medium, and it increases linearly with the frequency increasing. The attenuation coefficient first increases and then decreases with temperature increasing, and reaches a maximum value at the coherency temperature.
The quantitative calculation of mechanical wave propagation in the solidification of metal is difficult because of the complicated structure of melt in the solidification process. In this study, the Kelvin model is used to describe the viscoelastic characteristics of alloy melt, and the thermoviscoelastic wave equations are established in conjunction with continuity equation, momentum equation, energy equation considering thermo-mechanical effect and constitutive equation considering thermal stress. The difference equation of thermoviscoelastic wave in the variable non-uniform temperature field is built by using the implicit finite difference method of second order in space and first order in time, and taking into account the variable temperature and non-uniformity of melt. The difference equation is solved numerically by taking the thermodynamic parameters of ZL203A alloy in solid-liquid region varying with temperature as calculation parameters, and the propagation law of thermoviscoelastic wave in the inhomogeneous alloy melt with varying temperature is obtained. By comparing the propagation law of the wave with same wavelength in elastic medium with that in viscoelastic medium, it is found that the thermoviscoelastic wave attenuates seriously, and the thermoelastic wave has no attenuation. The step of displacement of thermoviscoelastic wave will be smoothed rapidly during propagation. The comparison among propagations of thermoviscoelastic wave in homogeneous medium at different temperatures shows that the wavelength of thermoviscoelastic wave in high temperature melt is smaller and the attenuation is more serious than in low temperature melt. The propagation of thermoviscoelastic wave in inhomogeneous medium is equivalent to the propagation in layered medium with different impedance, which makes the attenuation more serious than in homogeneous medium. When the thermoviscoelastic wave propagates from the low temperature region to the high one, the distribution of inhomogeneous temperature field has a great influence on the propagation of wave. The smaller the slope of the temperature field at the incidence of the wave, the smaller the attenuation of the wave is, and the farther the propagation distance is, conversely, when the wave propagates from the high temperature region to the low one, the distribution of the inhomogeneous temperature field has little influence on the propagation of wave. The calculation results of attenuation coefficients of thermoviscoelastic wave with different frequencies at different temperatures show that the attenuation coefficients of thermoviscoelastic waves in alloy melt are bigger in the high temperature medium than in the low temperature medium, and it increases linearly with the frequency increasing. The attenuation coefficient first increases and then decreases with temperature increasing, and reaches a maximum value at the coherency temperature.
2019, 68(4): 048102.
doi: 10.7498/aps.68.20181587
Abstract:
Directional solidification is a common and important process in both scientific research and industrial practice. Owing to the presence of temperature gradients during directional solidification, local remelting and solidification in the mushy zone occurs, resulting in some typical phenomena such as temperature gradient zone melting (TGZM). The TGZM influences the solidifying microstructure and microsegregation significantly. In the present work, a two-dimensional (2D) cellular automaton (CA) model involving the mechanism of both solidification and melting is adopted to investigate the migration phenomena of molten liquid pools in the mushy zone due to the TGZM. The effect of pulling velocity, initial liquid pool position, temperature gradient, and alloy composition on the TGZM kinetics are studied. The simulation results are compared with the analytical predictions, and good agreement between two models is obtained. It is found that under a temperature gradient, the liquid pool always migrates towards the high temperature direction. When the pulling velocity is lower than the critical velocity, the liquid pool migrates through the liquidus into the bulk liquid and the time required for a liquid pool to reach the liquidus increases with pulling velocity increasing. On the other hand, when a pulling velocity higher than the critical value is adopted, the liquid pool moves towards the solidus and the time required for migrating liquid pool to reach the solidus decreases with pulling velocity increasing. For a given pulling velocity, the liquid pools located above the critical position move towards the liquidus, while the others gradually approach to the solidus. When a molten liquid pool migrates towards the liquidus, the migration velocity and liquid pool thickness are found to gradually increase, while the liquid pool composition decreases with time. Inversely, for the molten liquid pool that moves towards the solidus, the migration velocity and liquid pool thickness gradually decrease, while the liquid pool composition increases with time going by. The average migration velocity of liquid pool caused by the TGZM effect increases with temperature gradient increasing and alloy composition decreasing. The CA simulations provide an insight into the complicated interactions among the local temperature, solute distribution and diffusion, and the kinetics of local remelting and solidification in the TGZM process.
Directional solidification is a common and important process in both scientific research and industrial practice. Owing to the presence of temperature gradients during directional solidification, local remelting and solidification in the mushy zone occurs, resulting in some typical phenomena such as temperature gradient zone melting (TGZM). The TGZM influences the solidifying microstructure and microsegregation significantly. In the present work, a two-dimensional (2D) cellular automaton (CA) model involving the mechanism of both solidification and melting is adopted to investigate the migration phenomena of molten liquid pools in the mushy zone due to the TGZM. The effect of pulling velocity, initial liquid pool position, temperature gradient, and alloy composition on the TGZM kinetics are studied. The simulation results are compared with the analytical predictions, and good agreement between two models is obtained. It is found that under a temperature gradient, the liquid pool always migrates towards the high temperature direction. When the pulling velocity is lower than the critical velocity, the liquid pool migrates through the liquidus into the bulk liquid and the time required for a liquid pool to reach the liquidus increases with pulling velocity increasing. On the other hand, when a pulling velocity higher than the critical value is adopted, the liquid pool moves towards the solidus and the time required for migrating liquid pool to reach the solidus decreases with pulling velocity increasing. For a given pulling velocity, the liquid pools located above the critical position move towards the liquidus, while the others gradually approach to the solidus. When a molten liquid pool migrates towards the liquidus, the migration velocity and liquid pool thickness are found to gradually increase, while the liquid pool composition decreases with time. Inversely, for the molten liquid pool that moves towards the solidus, the migration velocity and liquid pool thickness gradually decrease, while the liquid pool composition increases with time going by. The average migration velocity of liquid pool caused by the TGZM effect increases with temperature gradient increasing and alloy composition decreasing. The CA simulations provide an insight into the complicated interactions among the local temperature, solute distribution and diffusion, and the kinetics of local remelting and solidification in the TGZM process.
2019, 68(4): 048201.
doi: 10.7498/aps.68.20181986
Abstract:
Conjugated polymers have been widely used in optical sensors, light-emitting diodes and solar cells, due to their attractive optical and semiconducting properties. It is widely accepted that the optical and electrical properties of conjugated polymer molecules depend on the conjugated segments, i.e., chromophores in conjugated polymer molecule. The study of the evolution of the absorption and emission properties of single conjugated polymer molecules is essential to provide complementary information for the influence of conformation of conjugated polymer on its energy transfer process, as well as on the performance of optoelectronic devices based on conjugated polymers. Although the extensive studies have been reported to elucidate the optical properties of conjugated polymers with single molecule spectroscopy, simultaneous revealing their absorption and emission properties and their real-time evolution are rarely reported. In this paper, we simultaneously measure the absorption and emission properties of chromophores in single Poly[2,7-(9,9-dioctylfluorene)-alt-4,7-bis(thiophen-2-yl)benzo-2,1,3-thiadiazole](PFO-DBT) conjugated polymer molecules and their real-time evolution by frequency-domain reconstructed defocused wide-field imaging. The emission dipole orientation of chromophore is achieved by applying defocused wide-field fluorescence imaging. The change of defocused patterns of individual polymer chain describes the angular distribution of emitted light and thus the emitting dipole orientation. Meanwhile, the absorption dipole orientation of chromophore in single conjugated PFO-DBT polymer molecule can be clarified in reconstructed frequency-domain imaging by modulating the relative phase of the pulse pairs and performing Fourier transform to the photoluminescence response. The population density of excited state of absorbing chromophore depends both on the relative phase between the ultrashort pulse pairs and on the orientation of absorption transition dipole moment of the chromophore. By extracting the frequency-domain information of fluorescence that is proportional to the population density of excited state, the evolution of absorption dipole orientation of chromophore can be derived. We distinguish three cases for the evolution of chromophores of single PFO-DBT conjugated polymer molecules: the absorption and emission chromophores both keep constant in single PFO-DBT conjugated polymer molecules; one of the dipole orientations of absorption and emission changes, while the other remains unchanged; both of them change simultaneously. The results may pave the way for the further understanding of the role of conformation in the energy transfer pathway in both natural and artificial light harvesting systems at nano- and micro-level.
Conjugated polymers have been widely used in optical sensors, light-emitting diodes and solar cells, due to their attractive optical and semiconducting properties. It is widely accepted that the optical and electrical properties of conjugated polymer molecules depend on the conjugated segments, i.e., chromophores in conjugated polymer molecule. The study of the evolution of the absorption and emission properties of single conjugated polymer molecules is essential to provide complementary information for the influence of conformation of conjugated polymer on its energy transfer process, as well as on the performance of optoelectronic devices based on conjugated polymers. Although the extensive studies have been reported to elucidate the optical properties of conjugated polymers with single molecule spectroscopy, simultaneous revealing their absorption and emission properties and their real-time evolution are rarely reported. In this paper, we simultaneously measure the absorption and emission properties of chromophores in single Poly[2,7-(9,9-dioctylfluorene)-alt-4,7-bis(thiophen-2-yl)benzo-2,1,3-thiadiazole](PFO-DBT) conjugated polymer molecules and their real-time evolution by frequency-domain reconstructed defocused wide-field imaging. The emission dipole orientation of chromophore is achieved by applying defocused wide-field fluorescence imaging. The change of defocused patterns of individual polymer chain describes the angular distribution of emitted light and thus the emitting dipole orientation. Meanwhile, the absorption dipole orientation of chromophore in single conjugated PFO-DBT polymer molecule can be clarified in reconstructed frequency-domain imaging by modulating the relative phase of the pulse pairs and performing Fourier transform to the photoluminescence response. The population density of excited state of absorbing chromophore depends both on the relative phase between the ultrashort pulse pairs and on the orientation of absorption transition dipole moment of the chromophore. By extracting the frequency-domain information of fluorescence that is proportional to the population density of excited state, the evolution of absorption dipole orientation of chromophore can be derived. We distinguish three cases for the evolution of chromophores of single PFO-DBT conjugated polymer molecules: the absorption and emission chromophores both keep constant in single PFO-DBT conjugated polymer molecules; one of the dipole orientations of absorption and emission changes, while the other remains unchanged; both of them change simultaneously. The results may pave the way for the further understanding of the role of conformation in the energy transfer pathway in both natural and artificial light harvesting systems at nano- and micro-level.
2019, 68(4): 048501.
doi: 10.7498/aps.68.20191932
Abstract:
The silicon-on-insulator (SOI) device has been found to possess low leakage current and high operation speed due to reduced internal capacitances. The sensitive volume for charge collection in SOI device is smaller than that in bulk-silicon device, which improves the ability of SOI devices to resist single-event effect (SEE). In spite of these benefits, the SOI device has certain undesirable effects such as the kink effect. To mitigate the kink effect, selective-buried-oxide (SELBOX) SOI structure has been introduced. Space-borne electronic circuits based on SOI technology recently have been used in high radiation and extreme temperature environments. However, temperature affects internal carrier transport process and impact ionization process, which makes single-event transient (SET) pulse widths increased. Most of previous researches regarding temperature dependence of SEE were for SOI floating-body devices. But the influence of operating temperature on SEE of SELBOX SOI devices are yet unclear. In this paper, an SOI floating-body device and a SELBOX SOI device under 90 nm process are established by three-dimensional device simulation, and then temperature dependence of SET response in partially depleted SOI inverter chains is studied by a mixed-mode approach over a temperature range from 200 K to 450 K. Simulation results show that the N-type SELBOX SOI device has a better ability to resist SEE than the floating-body device, while the P-type SELBOX SOI device has the same ability to resist SEE at high linear energy transfer value as the floating-body device. And temperature dependence analysis of charge collection indicates that there is only drift-diffusion process in the N-type SELBOX SOI device. The amount of charge collection in the N-type SELBOX SOI device almost does not change with the increase of temperature. In addition, both the P-type SELBOX SOI device and the P-type floating-body device have a bipolar amplification process. With the increase of temperature, the bipolar amplification process in the substrate turns more serious. However, it suppresses the bipolar amplification process of the source because of SELBOX structure, so that the amount of charge collection is reduced in the drain significantly. According to our simulation results, compared with the floating-body device, the SELBOX SOI device can very well suppress the influence of temperature on SET pulse.
The silicon-on-insulator (SOI) device has been found to possess low leakage current and high operation speed due to reduced internal capacitances. The sensitive volume for charge collection in SOI device is smaller than that in bulk-silicon device, which improves the ability of SOI devices to resist single-event effect (SEE). In spite of these benefits, the SOI device has certain undesirable effects such as the kink effect. To mitigate the kink effect, selective-buried-oxide (SELBOX) SOI structure has been introduced. Space-borne electronic circuits based on SOI technology recently have been used in high radiation and extreme temperature environments. However, temperature affects internal carrier transport process and impact ionization process, which makes single-event transient (SET) pulse widths increased. Most of previous researches regarding temperature dependence of SEE were for SOI floating-body devices. But the influence of operating temperature on SEE of SELBOX SOI devices are yet unclear. In this paper, an SOI floating-body device and a SELBOX SOI device under 90 nm process are established by three-dimensional device simulation, and then temperature dependence of SET response in partially depleted SOI inverter chains is studied by a mixed-mode approach over a temperature range from 200 K to 450 K. Simulation results show that the N-type SELBOX SOI device has a better ability to resist SEE than the floating-body device, while the P-type SELBOX SOI device has the same ability to resist SEE at high linear energy transfer value as the floating-body device. And temperature dependence analysis of charge collection indicates that there is only drift-diffusion process in the N-type SELBOX SOI device. The amount of charge collection in the N-type SELBOX SOI device almost does not change with the increase of temperature. In addition, both the P-type SELBOX SOI device and the P-type floating-body device have a bipolar amplification process. With the increase of temperature, the bipolar amplification process in the substrate turns more serious. However, it suppresses the bipolar amplification process of the source because of SELBOX structure, so that the amount of charge collection is reduced in the drain significantly. According to our simulation results, compared with the floating-body device, the SELBOX SOI device can very well suppress the influence of temperature on SET pulse.
2019, 68(4): 048801.
doi: 10.7498/aps.68.20181991
Abstract:
Due to the rapid development of dopant free asymmetric heterogeneous contacts in recent years, the theoretical conversion efficiency can reach 28%, which has large room for development and has attracted one’s attention. With the expectation of low cost and green pollution-free solar cell, the traditional crystalline silicon solar cell has many limitations due to its high equipment cost and flammable and explosive raw materials. It greatly increases the necessity of research and development of new solar cells with no doping and asymmetric heterogeneous contacts. The new solar cell is safe and environmental friendly due to the multi-faceted advantages of dopant-free asymmetric heterogeneous contact (DASH) solar cells constructed by transition metal oxide (TMO): the TMO has been widely studied as an alternative option, because of its wide band gap, little parasitic absorption, as well as repressed auger recombination, and conducing to the increase of the short-circuit current density of the solar cells; the DASH solar cell has high efficiency potential, its theoretical efficiency has reached 28%, and it can be produced by low-cost technology such as thermal evaporation or solution method; it always avoids using flammable, explosive and toxic gases in the manufacturing process. Our group proposed using MoOx as a hole selective contact and ZnO as an electron selective contact to construct a new and efficient DASH solar cell. It has achieved a conversion efficiency of 16.6%. Another device, in which MoOx is used as the hole selective contact and n-nc-Si:H as the electron selective, was fabricated, and its efficiency has reached 14.4%. In order to further speed up the research progress of the dopant-free asymmetric heterogeneous contact crystalline silicon solar cell, the development status is reviewed, and the basic principle and preparation technology of selective transport of transition metal oxide (TMO) carriers are discussed. And the effect of the hole transport layer, the electron transport layer and the passivation layer on the performance of the TMO dopant-free asymmetric heterogeneous contact (DASH) solar cells are discussed in order to have an in-depth understanding of the working mechanism and material selection of the battery, thereby providing guidance in preparing new and efficient DASH solar cells.
Due to the rapid development of dopant free asymmetric heterogeneous contacts in recent years, the theoretical conversion efficiency can reach 28%, which has large room for development and has attracted one’s attention. With the expectation of low cost and green pollution-free solar cell, the traditional crystalline silicon solar cell has many limitations due to its high equipment cost and flammable and explosive raw materials. It greatly increases the necessity of research and development of new solar cells with no doping and asymmetric heterogeneous contacts. The new solar cell is safe and environmental friendly due to the multi-faceted advantages of dopant-free asymmetric heterogeneous contact (DASH) solar cells constructed by transition metal oxide (TMO): the TMO has been widely studied as an alternative option, because of its wide band gap, little parasitic absorption, as well as repressed auger recombination, and conducing to the increase of the short-circuit current density of the solar cells; the DASH solar cell has high efficiency potential, its theoretical efficiency has reached 28%, and it can be produced by low-cost technology such as thermal evaporation or solution method; it always avoids using flammable, explosive and toxic gases in the manufacturing process. Our group proposed using MoOx as a hole selective contact and ZnO as an electron selective contact to construct a new and efficient DASH solar cell. It has achieved a conversion efficiency of 16.6%. Another device, in which MoOx is used as the hole selective contact and n-nc-Si:H as the electron selective, was fabricated, and its efficiency has reached 14.4%. In order to further speed up the research progress of the dopant-free asymmetric heterogeneous contact crystalline silicon solar cell, the development status is reviewed, and the basic principle and preparation technology of selective transport of transition metal oxide (TMO) carriers are discussed. And the effect of the hole transport layer, the electron transport layer and the passivation layer on the performance of the TMO dopant-free asymmetric heterogeneous contact (DASH) solar cells are discussed in order to have an in-depth understanding of the working mechanism and material selection of the battery, thereby providing guidance in preparing new and efficient DASH solar cells.
2019, 68(4): 040301.
doi: 10.7498/aps.68.20181927
Abstract:
Quasiperiodic lattices have been widely studied in cold atoms, which make one study extended-Anderson localization transition in one-dimensional (1D) or two-dimensional (2D) systems. In 2008, Inguscio's group prepared one-dimensional quasiperiodic lattice in cold atomic system and observed Anderson localization, which promoted the theoretical and experimental studies of quasiperiodic systems. Later, Bloch's group observed the many body localization in their prepared 1D and 2D quasiperiodic lattices. Recently, they also successfully observed the mobility edge and many body localization in a system with mobility edge in quasiperiodic lattices. These cold atom experiments have promoted the researches of many body localization and mobility edge. Quasiperiodic lattices have become a platform and its effects on many physical phenomena are being extensively studied, which can be expectantly observed in cold atomic experiments. This paper is based on the authors' some related work and briefly review some recent studies on the 1D quasiperiodic lattices, including some important cold atom experiments, some important properties of the quasiperiodic lattices and their effects on some physical phenomena, such as topological states.
Quasiperiodic lattices have been widely studied in cold atoms, which make one study extended-Anderson localization transition in one-dimensional (1D) or two-dimensional (2D) systems. In 2008, Inguscio's group prepared one-dimensional quasiperiodic lattice in cold atomic system and observed Anderson localization, which promoted the theoretical and experimental studies of quasiperiodic systems. Later, Bloch's group observed the many body localization in their prepared 1D and 2D quasiperiodic lattices. Recently, they also successfully observed the mobility edge and many body localization in a system with mobility edge in quasiperiodic lattices. These cold atom experiments have promoted the researches of many body localization and mobility edge. Quasiperiodic lattices have become a platform and its effects on many physical phenomena are being extensively studied, which can be expectantly observed in cold atomic experiments. This paper is based on the authors' some related work and briefly review some recent studies on the 1D quasiperiodic lattices, including some important cold atom experiments, some important properties of the quasiperiodic lattices and their effects on some physical phenomena, such as topological states.
2019, 68(4): 040302.
doi: 10.7498/aps.68.20181966
Abstract:
Transport measurement is one of the most important ways to study the properties of matter. In this article, we discuss recent experiments in ultracold atomic gases where the analog of Landauer transport in mesoscopic devices is realized and spin dynamics in a strongly interacting Fermi gas is probed. In the latter case, we pay special attention to the peculiarity of spin dynamics due to identical spin rotation effect which leads to a novel form of spin diffusion current. This modifies the usual diffusion equation into a more complicated form and leads to important consequence for, in particular, transverse spin diffusion in ultracold Fermi gases.
Transport measurement is one of the most important ways to study the properties of matter. In this article, we discuss recent experiments in ultracold atomic gases where the analog of Landauer transport in mesoscopic devices is realized and spin dynamics in a strongly interacting Fermi gas is probed. In the latter case, we pay special attention to the peculiarity of spin dynamics due to identical spin rotation effect which leads to a novel form of spin diffusion current. This modifies the usual diffusion equation into a more complicated form and leads to important consequence for, in particular, transverse spin diffusion in ultracold Fermi gases.
2019, 68(4): 040303.
doi: 10.7498/aps.68.20181928
Abstract:
In this review, we discuss the recent progress on the study of dynamic topological phenomena in quench dynamics. In particular, we focus on dynamic quantum phase transition and dynamic topological invariant, both of which are hinged upon the existence of fixed points in the dynamics. Further, the existence of these fixed points are topologically protected, in the sense that their existence are closely related to static topological invariants of pre- and post-quench Hamiltonians. We also discuss under what condition these dynamic topological phenomena are robust in non-unitary quench dynamics governed by non-Hermitian Hamiltonians. So far, dynamic topological phenomena have been experimentally observed in synthetic systems such as cold atomic gases, superconducting qubits, and linear optics. These studies extend our understanding of topological matter to the non-equilibrium regime.
In this review, we discuss the recent progress on the study of dynamic topological phenomena in quench dynamics. In particular, we focus on dynamic quantum phase transition and dynamic topological invariant, both of which are hinged upon the existence of fixed points in the dynamics. Further, the existence of these fixed points are topologically protected, in the sense that their existence are closely related to static topological invariants of pre- and post-quench Hamiltonians. We also discuss under what condition these dynamic topological phenomena are robust in non-unitary quench dynamics governed by non-Hermitian Hamiltonians. So far, dynamic topological phenomena have been experimentally observed in synthetic systems such as cold atomic gases, superconducting qubits, and linear optics. These studies extend our understanding of topological matter to the non-equilibrium regime.
2019, 68(4): 040304.
doi: 10.7498/aps.68.20181993
Abstract:
We review some recent theoretical and experimental developments of one-dimensional few-body problems in ultracold atomic system. The experiments have so far realized the deterministic loading of few atoms in the ground state of a potential well, the observation of tunneling dynamics out of the metastable trap controlled by a magnetic gradient for a repulsively or attractively interacting system, the preparation of two fermionic atoms in an isolated double-well potential with a full control over the quantum state of the system, the formation of a Fermi sea by studying quasi-one-dimensional systems of ultracold atoms consisting of a single impurity interacting with an increasing number of identical fermions, and the deterministic preparation of antiferromagnetic Heisenberg spin chains consisting of up to four fermionic atoms in a one-dimensional trap. These achievements make the ultracold atoms an ideal platform to study many-body physics in a bottom-up approach, i.e., one starts from the fundamental building block of the system and observes the emergence of many-body effects by adding atoms one by one into the system. Corresponding theoretical models have been developed to explain the experimental data, to tackle the crossover boundary between few and many particles, and even explore the solvability and integrability of the models, especially the energy spectrum of interacting few atoms such as two atoms in a harmonic trap, two heteronuclear atoms of unequal mass in a ring trap, and two atoms in a\begin{document}$\delta$\end{document} ![]()
![]()
-barrier split double well potential. After a brief review of Bethe-Ansatz method, a theory for the tunneling of one atom out of a trap containing two interacting cold atoms is developed based on the calculation of the quasiparticle wave function, and the tunneling dynamics of two atoms starting from the NOON state is explored from the exactly solved model of \begin{document}$\delta$\end{document} ![]()
![]()
-barrier split double well based on a Bethe ansatz type hypothesis of the wave functions. It was shown that the spectroscopy and spin dynamics for strongly interacting few atoms of spin-1/2 and spin-1 can be described by effective spin chain Hamiltonians, which serves as a useful and efficient tool to study the quantum magnetism with clod atoms.
We review some recent theoretical and experimental developments of one-dimensional few-body problems in ultracold atomic system. The experiments have so far realized the deterministic loading of few atoms in the ground state of a potential well, the observation of tunneling dynamics out of the metastable trap controlled by a magnetic gradient for a repulsively or attractively interacting system, the preparation of two fermionic atoms in an isolated double-well potential with a full control over the quantum state of the system, the formation of a Fermi sea by studying quasi-one-dimensional systems of ultracold atoms consisting of a single impurity interacting with an increasing number of identical fermions, and the deterministic preparation of antiferromagnetic Heisenberg spin chains consisting of up to four fermionic atoms in a one-dimensional trap. These achievements make the ultracold atoms an ideal platform to study many-body physics in a bottom-up approach, i.e., one starts from the fundamental building block of the system and observes the emergence of many-body effects by adding atoms one by one into the system. Corresponding theoretical models have been developed to explain the experimental data, to tackle the crossover boundary between few and many particles, and even explore the solvability and integrability of the models, especially the energy spectrum of interacting few atoms such as two atoms in a harmonic trap, two heteronuclear atoms of unequal mass in a ring trap, and two atoms in a
2019, 68(4): 040305.
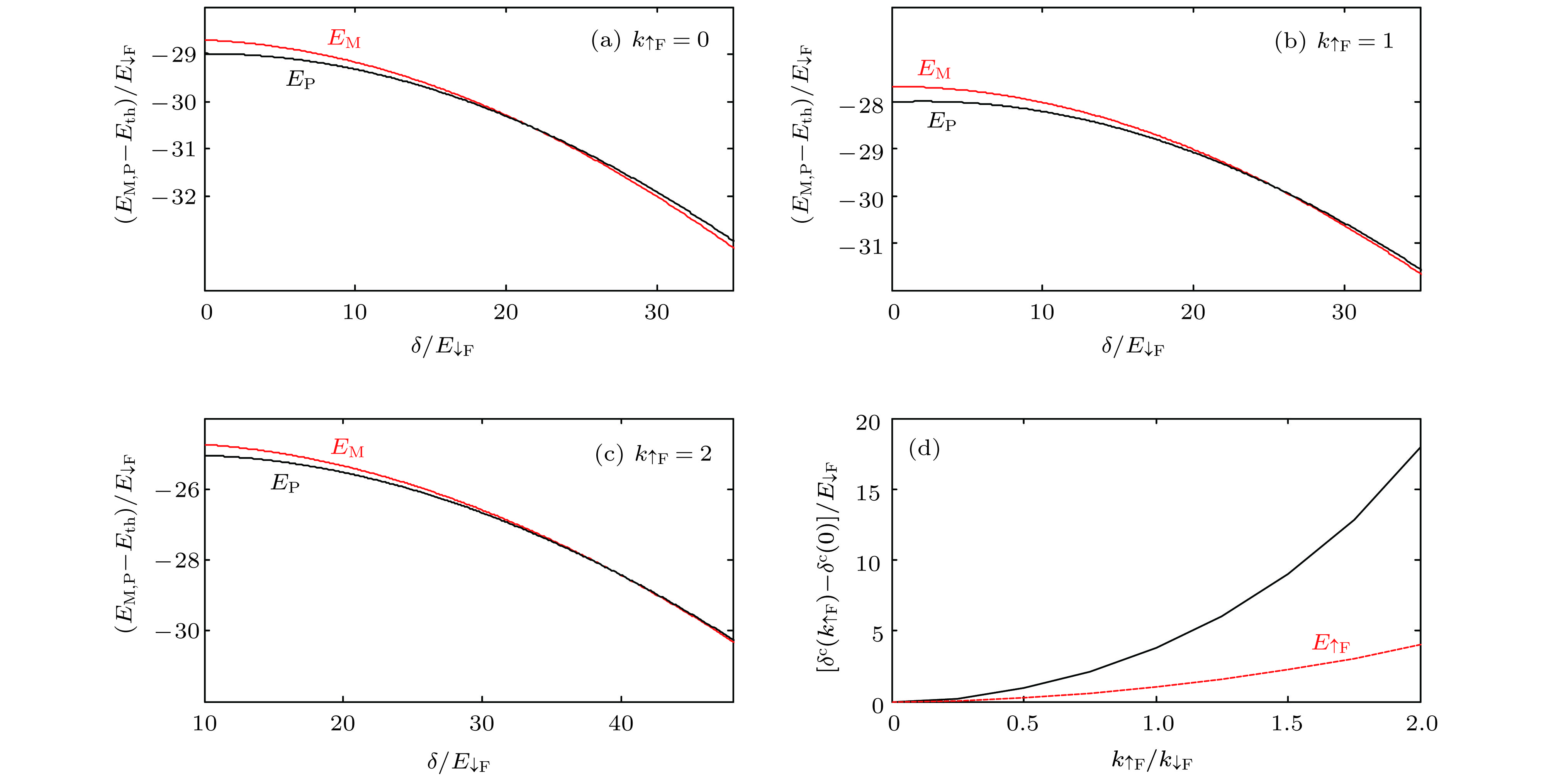
doi: 10.7498/aps.68.20181937
Abstract:
In recent years, alkaline-earth and alkaline-earth-like atoms have attracted much research interest in the field of ultracold atom. Especially, the recently discovered orbital Feshbach resonance makes it possible to investigate a strongly interacting gas of alkaline-earth or alkaline-earth-like atoms, which has greatly enriched the scope of quantum simulation in these systems. This paper focuses on the impurity problem in a Fermi gas of 173Yb atoms near orbital Feshbach resonance. In this problem, the impurity atom in 3P0 state will interact with the background Fermi sea in the ground state and the molecule or polaron state will be produced out of the Fermi sea. By using the Chevy-like ansatz, we investigate the properties of the molecule and attractive polaron states firstly and a transition between these two states will be found. Then, some properties of the repulsive polaron state will be introduced, such as the effective mass and the decay rate. Furthermore, the effect of an additional Fermi sea will be considered in this system. Finally, we will discuss the impurity problem in a two-dimensional system.
In recent years, alkaline-earth and alkaline-earth-like atoms have attracted much research interest in the field of ultracold atom. Especially, the recently discovered orbital Feshbach resonance makes it possible to investigate a strongly interacting gas of alkaline-earth or alkaline-earth-like atoms, which has greatly enriched the scope of quantum simulation in these systems. This paper focuses on the impurity problem in a Fermi gas of 173Yb atoms near orbital Feshbach resonance. In this problem, the impurity atom in 3P0 state will interact with the background Fermi sea in the ground state and the molecule or polaron state will be produced out of the Fermi sea. By using the Chevy-like ansatz, we investigate the properties of the molecule and attractive polaron states firstly and a transition between these two states will be found. Then, some properties of the repulsive polaron state will be introduced, such as the effective mass and the decay rate. Furthermore, the effect of an additional Fermi sea will be considered in this system. Finally, we will discuss the impurity problem in a two-dimensional system.
2019, 68(4): 040306.
doi: 10.7498/aps.68.20190147
Abstract:
Quantum metrology is the interdisciplinary of investigating how to utilize the principles of quantum mechanics to perform parameter estimation and improve the measurement precision by quantum effects. With the experimental developments of ultracold atoms, ultracold atomic ensemble provides an excellent platform for implementing quantum metrology. Attributed to well-developed techniques of quantum control, one can prepare several exotic non-Gaussian multi-particle entangled states in the ensembles of ultracold atoms. Based on many-body quanum interferometry, and using these non-Gaussian entangled states as probe, the high-precision measurement beyond the standard quantum limit can be realized. This article introduces the background and advancement of this field.
Quantum metrology is the interdisciplinary of investigating how to utilize the principles of quantum mechanics to perform parameter estimation and improve the measurement precision by quantum effects. With the experimental developments of ultracold atoms, ultracold atomic ensemble provides an excellent platform for implementing quantum metrology. Attributed to well-developed techniques of quantum control, one can prepare several exotic non-Gaussian multi-particle entangled states in the ensembles of ultracold atoms. Based on many-body quanum interferometry, and using these non-Gaussian entangled states as probe, the high-precision measurement beyond the standard quantum limit can be realized. This article introduces the background and advancement of this field.
2019, 68(4): 040601.
doi: 10.7498/aps.68.20181965
Abstract:
Quantum metrology is one of the hot topics in ultra-cold atoms physics. It is now well established that with the help of entanglement, the measurement sensitivity can be greatly improved with respect to the current generation of interferometers that are using classical sources of particles. Recently, Quantum Fisher information plays an important role in this field. In this paper, a brief introduction on Quantum metrology is presented highlighting the role of the Quantum Fisher information. And then a brief review on the recent developments for i) criteria of multi-particle entanglement and its experimental generation; ii) linear and non-linear atomic interferometers; iii) the effective statistical methods for the analysis of the experimental data.
Quantum metrology is one of the hot topics in ultra-cold atoms physics. It is now well established that with the help of entanglement, the measurement sensitivity can be greatly improved with respect to the current generation of interferometers that are using classical sources of particles. Recently, Quantum Fisher information plays an important role in this field. In this paper, a brief introduction on Quantum metrology is presented highlighting the role of the Quantum Fisher information. And then a brief review on the recent developments for i) criteria of multi-particle entanglement and its experimental generation; ii) linear and non-linear atomic interferometers; iii) the effective statistical methods for the analysis of the experimental data.
2019, 68(4): 043301.
doi: 10.7498/aps.68.20182274
Abstract:
The research field of ultracold atoms has expanded from atomic and molecular physics to a variety of fields. Ultracold polar molecules have long range and anisotropic dipole-dipole interactions, and similar to atoms, can also be conveniently manipulated by laser and other electromagnetic fields. Thus, ultracold molecules offer promising applications such as ultracold chemistry, quantum simulation, and quantum information. However, due to the difficulty in creating ultracold ground state molecules, expanding the horizon of ultracold physics from atoms to molecules is still under development. In the past decade, many research groups have successfully created bi-alkali rovibrational ground state polar molecules using magneto association and stimulated Raman adiabatic passage (STIRAP). This paper presents a review of the recent progress including creating and manipulating ultracold molecules with this method, and the collision property of molecules at ultracold temperature.
The research field of ultracold atoms has expanded from atomic and molecular physics to a variety of fields. Ultracold polar molecules have long range and anisotropic dipole-dipole interactions, and similar to atoms, can also be conveniently manipulated by laser and other electromagnetic fields. Thus, ultracold molecules offer promising applications such as ultracold chemistry, quantum simulation, and quantum information. However, due to the difficulty in creating ultracold ground state molecules, expanding the horizon of ultracold physics from atoms to molecules is still under development. In the past decade, many research groups have successfully created bi-alkali rovibrational ground state polar molecules using magneto association and stimulated Raman adiabatic passage (STIRAP). This paper presents a review of the recent progress including creating and manipulating ultracold molecules with this method, and the collision property of molecules at ultracold temperature.
2019, 68(4): 043701.
doi: 10.7498/aps.68.20181655
Abstract:
Different from atoms, molecules have unique properties, and play an important role in the research of atomic, molecular and optical physics. Cold molecules have important applications in science and have been studied for more than 20 years. But traditional methods, such as the Stark decelerator, have hit a bottleneck: it is hard to increase the phase space density of molecules. Extending the direct laser-cooling technique to new molecular species has recently been a hot topic and also a big challenge. In this review paper, on one hand, we make a brief review to recent progresses on the direct laser cooling of polar molecules. On the other hand, a demonstration on the feasibility of laser cooling BaF molecule has been experimentally illustrated, including the analysis on the molecular energy levels, measurements of the high-resolution spectroscopy, efficient pre-cooling and state preparation via buffer-gas cooling and detailed investigations on the molcule-light interactions. All these results not only pave the way for future laser-cooling and -trapping experiments, but also serve as a reference for the laser-cooling explorations on new molecular species.
Different from atoms, molecules have unique properties, and play an important role in the research of atomic, molecular and optical physics. Cold molecules have important applications in science and have been studied for more than 20 years. But traditional methods, such as the Stark decelerator, have hit a bottleneck: it is hard to increase the phase space density of molecules. Extending the direct laser-cooling technique to new molecular species has recently been a hot topic and also a big challenge. In this review paper, on one hand, we make a brief review to recent progresses on the direct laser cooling of polar molecules. On the other hand, a demonstration on the feasibility of laser cooling BaF molecule has been experimentally illustrated, including the analysis on the molecular energy levels, measurements of the high-resolution spectroscopy, efficient pre-cooling and state preparation via buffer-gas cooling and detailed investigations on the molcule-light interactions. All these results not only pave the way for future laser-cooling and -trapping experiments, but also serve as a reference for the laser-cooling explorations on new molecular species.
2019, 68(4): 043702.
doi: 10.7498/aps.68.20181954
Abstract:
In this work we show that the superradiance of the cavity photons can give rise to a magnetic transformation for the atomic system when the quasi one-dimensional Fermi gases are coupled to an optical cavity. This magnetic transformation has a close relationship with the atomic detuning and the filling number. When the interaction between the atoms is neglected, the mean-field approximation may be used in the superradiant phase. In this approximation, we analyze the static spin structure factors of the system with different filling numbers and atomic detuning. Then we characterize the cavity photons-assisted magnetic transformation and obtain the phase diagrams which are dependent on the cavity parameters. Finally, the feasible experimental parameters of our results are also discussed.
In this work we show that the superradiance of the cavity photons can give rise to a magnetic transformation for the atomic system when the quasi one-dimensional Fermi gases are coupled to an optical cavity. This magnetic transformation has a close relationship with the atomic detuning and the filling number. When the interaction between the atoms is neglected, the mean-field approximation may be used in the superradiant phase. In this approximation, we analyze the static spin structure factors of the system with different filling numbers and atomic detuning. Then we characterize the cavity photons-assisted magnetic transformation and obtain the phase diagrams which are dependent on the cavity parameters. Finally, the feasible experimental parameters of our results are also discussed.
2019, 68(4): 043703.
doi: 10.7498/aps.68.20190153
Abstract:
Spinor condensates trapped in optical lattices have become potential candidates for multi-bit quantum computation due to their long coherence and controllability. But first, we need to understand the generation and regulation of spin and magnetism in the system. This paper reviews the origin and manipulation of the magnetism of atomic spin chains in optical lattices. The theoretical study of the whole process is described in this paper, including laser cooling, the spinor Bose-Einstein condensate preparations, the optical lattice, and the atomic spin chain. Then, the generation and manipulation of magnetic excitations are discussed, including the preparation of magnetic solitons. Finally, we discuss how to apply atomic spin chains to quantum simulation. The theoretical study of magnetic excitations in optical lattices will play a guiding role when the optical lattice is used in cold atomic physics, condensed matter physics and quantum information.
Spinor condensates trapped in optical lattices have become potential candidates for multi-bit quantum computation due to their long coherence and controllability. But first, we need to understand the generation and regulation of spin and magnetism in the system. This paper reviews the origin and manipulation of the magnetism of atomic spin chains in optical lattices. The theoretical study of the whole process is described in this paper, including laser cooling, the spinor Bose-Einstein condensate preparations, the optical lattice, and the atomic spin chain. Then, the generation and manipulation of magnetic excitations are discussed, including the preparation of magnetic solitons. Finally, we discuss how to apply atomic spin chains to quantum simulation. The theoretical study of magnetic excitations in optical lattices will play a guiding role when the optical lattice is used in cold atomic physics, condensed matter physics and quantum information.
2019, 68(4): 046701.
doi: 10.7498/aps.68.20181929
Abstract:
Relativistic wave equations, such as Dirac, Weyl or Maxwell equations, are fundamental equations which we use to describe the dynamics of the microscopic particles. On the other hand, recent experimental and theoretical studies have shown that almost all parameters in cold atomic systems are precisely tunable, so the cold atom systems are considered as an ideal platform to perform quantum simulations. It can be used to study some topics in high energy and condensed matter physics. In this article, we will first introduce the ideas and methods for engineering the Hamiltonian of atoms, mainly related to the theories of laser-assisted tunneling. Based on these methods, one can simulate the equations of motion of relativistic particles and observe some interesting behaviors which are hard to be observed in other systems. The article reviews these recent advances.
Relativistic wave equations, such as Dirac, Weyl or Maxwell equations, are fundamental equations which we use to describe the dynamics of the microscopic particles. On the other hand, recent experimental and theoretical studies have shown that almost all parameters in cold atomic systems are precisely tunable, so the cold atom systems are considered as an ideal platform to perform quantum simulations. It can be used to study some topics in high energy and condensed matter physics. In this article, we will first introduce the ideas and methods for engineering the Hamiltonian of atoms, mainly related to the theories of laser-assisted tunneling. Based on these methods, one can simulate the equations of motion of relativistic particles and observe some interesting behaviors which are hard to be observed in other systems. The article reviews these recent advances.
2019, 68(4): 046702.
doi: 10.7498/aps.68.20182293
Abstract:
The evolution of non-equilibrium dynamic for many-body systems is one of the most challenging problems in physics. Ultra-cold quantum atomic Fermi gas provide an test-bed for studying many-body non-equilibrium dynamics due to its high freedom of controllability, which can be used to simulate and understand the dynamics of the early universe after the Big Bang, quark-gluon produced in heavy ion collisions and nuclear physics. Generally, the evolution of many-body systems is very complex, and usually needs to be studied by symmetry. Feshbach resonance can be used to prepare scale invariant atomic Fermi gases: non-interacting and unitary Fermi gases. When far away from equilibrium state, universal exponents and functions can be used to characterize the dynamics of the system, which can be identified by scaling the temporal and spatial evolution of the system. In this review, the recent developments in the expansion dynamics of strongly interacting ultracold Fermi gases are introduced, including the anisotropic expansion of atomic gases, scaling dynamics and Efimovian expansion dynamics.
The evolution of non-equilibrium dynamic for many-body systems is one of the most challenging problems in physics. Ultra-cold quantum atomic Fermi gas provide an test-bed for studying many-body non-equilibrium dynamics due to its high freedom of controllability, which can be used to simulate and understand the dynamics of the early universe after the Big Bang, quark-gluon produced in heavy ion collisions and nuclear physics. Generally, the evolution of many-body systems is very complex, and usually needs to be studied by symmetry. Feshbach resonance can be used to prepare scale invariant atomic Fermi gases: non-interacting and unitary Fermi gases. When far away from equilibrium state, universal exponents and functions can be used to characterize the dynamics of the system, which can be identified by scaling the temporal and spatial evolution of the system. In this review, the recent developments in the expansion dynamics of strongly interacting ultracold Fermi gases are introduced, including the anisotropic expansion of atomic gases, scaling dynamics and Efimovian expansion dynamics.









