2019 Vol. 68, No. 5
Display Method:
2019, 68(5): 050201.
doi: 10.7498/aps.68.20181942
Abstract:
Quantum speed limit (QSL) in a quantum system originates from the essential principle of the quantum mechanics. It gives a maximum speed of evolution or a minimum evolution time of the quantum system, which has potential applications in the fields of quantum information, quantum communication and quantum control and so on. In the last decades, the QSL bounds have been explored from the isolated quantum systems to the open quantum systems, several different geometric measures have been adopted to investigate the distinguishability between the initial and the evolved state. The QSL bounds in many systems have been discussed, indicating that the tightness of the QSL metric is related to the researched dynamical system. However, the QSL problem for the molecular system has rarely been reported. The study of the quantum speed limits in the different molecular systems is helpful for realizing the quantum information technology based on the molecules. In this paper, the generalized quantum speed limit metric for linear molecular dynamics is studied by the algebraic approach. The quantum Fisher information metric and the Wigner-Yanase information metric are both used to study the QSLs in the dynamical evolution of the two linear molecules. Here the dynamical evolutions begin with the two kinds of vibrational states, Fock initial state and coherent initial state. The results show that the quantum Fisher information metric is more appropriate than the Wigner-Yanase information metric for HCN and DCN molecules. The relative differences between the generalized geometric QSL and the two geodesic QSL metrics become bigger gradually with the increase of the initial vibrational quantum number. However, the relative difference for the DCN molecule is smaller than for the HCN molecule. The relative difference between the strong coherent states is smaller, which indicates that the generalized geometric quantum speed limit is suitable to describing high-coherent case. In conclusion, the different QSL metrics reveal the discrepancy in the evolution of the molecular system, and the relative difference is related to the initial state of the molecules and molecular parameters. More molecular systems need to be investigated in order to obtain the criteria between the QSL metrics and the molecular parameters.
Quantum speed limit (QSL) in a quantum system originates from the essential principle of the quantum mechanics. It gives a maximum speed of evolution or a minimum evolution time of the quantum system, which has potential applications in the fields of quantum information, quantum communication and quantum control and so on. In the last decades, the QSL bounds have been explored from the isolated quantum systems to the open quantum systems, several different geometric measures have been adopted to investigate the distinguishability between the initial and the evolved state. The QSL bounds in many systems have been discussed, indicating that the tightness of the QSL metric is related to the researched dynamical system. However, the QSL problem for the molecular system has rarely been reported. The study of the quantum speed limits in the different molecular systems is helpful for realizing the quantum information technology based on the molecules. In this paper, the generalized quantum speed limit metric for linear molecular dynamics is studied by the algebraic approach. The quantum Fisher information metric and the Wigner-Yanase information metric are both used to study the QSLs in the dynamical evolution of the two linear molecules. Here the dynamical evolutions begin with the two kinds of vibrational states, Fock initial state and coherent initial state. The results show that the quantum Fisher information metric is more appropriate than the Wigner-Yanase information metric for HCN and DCN molecules. The relative differences between the generalized geometric QSL and the two geodesic QSL metrics become bigger gradually with the increase of the initial vibrational quantum number. However, the relative difference for the DCN molecule is smaller than for the HCN molecule. The relative difference between the strong coherent states is smaller, which indicates that the generalized geometric quantum speed limit is suitable to describing high-coherent case. In conclusion, the different QSL metrics reveal the discrepancy in the evolution of the molecular system, and the relative difference is related to the initial state of the molecules and molecular parameters. More molecular systems need to be investigated in order to obtain the criteria between the QSL metrics and the molecular parameters.
2019, 68(5): 050301.
doi: 10.7498/aps.68.20181774
Abstract:
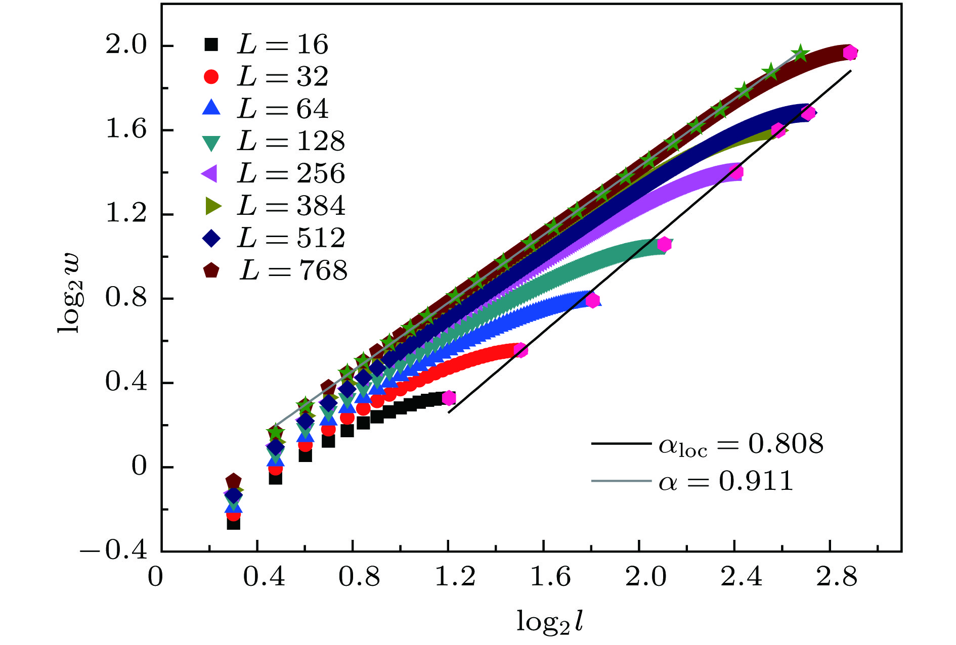
Graphene and other materials have a typical two-dimensional (2D) honeycomb structure. The random fuse model is a statistical physics model that is very effective in studying the fracture dynamics of heterogeneous materials. In order to study the current fusing process and the properties of the fractured surface of 2D honeycomb structure materials such as graphene, in this paper we attempt to numerically simulate and analyze the fusing process and melting profile properties of the 2D honeycomb structure random fuse network. The results indicate that the surface width exhibits a good scaling behavior and has a linear relationship with the system size, and that the out-of-plane roughness exponent displays a global value of\begin{document}$\alpha = 0.911 \pm 0.005$\end{document} ![]()
![]()
and a local value of \begin{document}${\alpha _{{\rm{loc}}}} = 0.808 \pm 0.003$\end{document} ![]()
![]()
, approximate to those of the materials studied. The global and local roughness and their difference indicate that the fusing process and the fracture profile exhibit significant scale properties and have a strange scale. On the other hand, by analyzing the extreme values of the fused surface with different system sizes, the extreme heights can be collapsed very well, after a lot of trials and analysis, it is found that the extreme statistical distribution of the height of the fused surface can well satisfy the Asym2sig type distribution. The extreme height distributions of fracture surfaces can be fitted by Asym2Sig distribution, rather than the three kinds of usual extreme statistical distributions, i.e. Weibull, Gumbel, and Frechet distributions. The relative maximal and minimum height distribution of the fused surface at the same substrate size have a good symmetry. In the simulation calculation process of this paper, the coefficient matrix is constructed by using the node analysis method, and the Cholesky decomposition is performed on the coefficient matrix, and then the Sherman-Morrison-Woodbury algorithm is used to quickly invert the coefficient matrix, which greatly optimizes the calculation process and calculation. The efficiency makes the numerical simulation calculation and analysis performed smoothly. The research in this paper indicates that the random fuse model is a very effective theoretical model in the numerical analysis of the scaling properties of rough fracture surfaces, and it is also applicable to the current fusing process of the inhomogeneous material and the scaling surface analysis of the fusing surface. In this paper, it is found that materials with anisotropic structure can also find their fracture mode by energization, and the properties of fracture surface can provide reference for the study of mechanical properties of honeycomb structural materials. It is a very effective statistical physical model, and this will expand the field of applications of random fuse models.
Graphene and other materials have a typical two-dimensional (2D) honeycomb structure. The random fuse model is a statistical physics model that is very effective in studying the fracture dynamics of heterogeneous materials. In order to study the current fusing process and the properties of the fractured surface of 2D honeycomb structure materials such as graphene, in this paper we attempt to numerically simulate and analyze the fusing process and melting profile properties of the 2D honeycomb structure random fuse network. The results indicate that the surface width exhibits a good scaling behavior and has a linear relationship with the system size, and that the out-of-plane roughness exponent displays a global value of
2019, 68(5): 051101.
doi: 10.7498/aps.68.20182108
Abstract:
We explore the coherent perfect absorption of light in a nonlocal metal-dielectric composite film in which metallic nanoparticles (gold) are randomly embedded in the dielectric host medium (silica). The two coherent light beams illuminate the gold-silica composite slab respectively from the left and right sides at the same angle of incidence and the conditions required for coherent perfect absorption are investigated each as a function of different system parameters. Under different system parameters, we study the coherent perfect absorption of a nonlocal particle composite medium. A nonlocal effective medium theory is proposed to approximately describe the metal-dielectric composite film. The effective permittivity and effective permeability of the composite medium are approximated by using the effective medium theory under the model of coated sphere with core and shell. According to the effective dielectric parameters of the composite medium, we can obtain the transmission coefficient and reflection coefficient of the plane wave incident on the slab. By comparing and analyzing the coherent perfect absorptions of the composite medium under nonlocal and local conditions, we find that under the influence of nonlocal effect when the size of particle is very small, the frequency range of incident light that produces the coherent perfect absorption of the composite medium increases and the small size can also cause the coherent perfect absorption to occur in wider frequency range. Especially, we pay attention to the choosing of physical parameters in the design of coherent perfect absorption with macroscopic composite slab when we take the nonlocal effect (or spatial dispersion) into account. In the further calculation, the coherent perfect absorption of the composite medium can be realized by changing the system parameters such as the thickness of composite slab, the wavelength of incident light, the volume fraction of metal particles, etc. We also bring about the coherent perfect absorption at a small volume fraction which satisfies all the conditions. Finally, according to these results, we can realize the control of the coherent perfect absorption with nonlocal effect. Our study may be helpful in designing the optical nanoabsorbers.
We explore the coherent perfect absorption of light in a nonlocal metal-dielectric composite film in which metallic nanoparticles (gold) are randomly embedded in the dielectric host medium (silica). The two coherent light beams illuminate the gold-silica composite slab respectively from the left and right sides at the same angle of incidence and the conditions required for coherent perfect absorption are investigated each as a function of different system parameters. Under different system parameters, we study the coherent perfect absorption of a nonlocal particle composite medium. A nonlocal effective medium theory is proposed to approximately describe the metal-dielectric composite film. The effective permittivity and effective permeability of the composite medium are approximated by using the effective medium theory under the model of coated sphere with core and shell. According to the effective dielectric parameters of the composite medium, we can obtain the transmission coefficient and reflection coefficient of the plane wave incident on the slab. By comparing and analyzing the coherent perfect absorptions of the composite medium under nonlocal and local conditions, we find that under the influence of nonlocal effect when the size of particle is very small, the frequency range of incident light that produces the coherent perfect absorption of the composite medium increases and the small size can also cause the coherent perfect absorption to occur in wider frequency range. Especially, we pay attention to the choosing of physical parameters in the design of coherent perfect absorption with macroscopic composite slab when we take the nonlocal effect (or spatial dispersion) into account. In the further calculation, the coherent perfect absorption of the composite medium can be realized by changing the system parameters such as the thickness of composite slab, the wavelength of incident light, the volume fraction of metal particles, etc. We also bring about the coherent perfect absorption at a small volume fraction which satisfies all the conditions. Finally, according to these results, we can realize the control of the coherent perfect absorption with nonlocal effect. Our study may be helpful in designing the optical nanoabsorbers.
2019, 68(5): 052901.
doi: 10.7498/aps.68.20181843
Abstract:
Due to the lack of available spallation neutron source, the atmospheric neutron single event effect (SEE) in China were studied mainly by means of simulation and single energy neutron test. Since the Chinese spallation neutron source (CSNS) passed the national acceptance, it has become possible to carry out the research on atmospheric neutron SEE by using the CSNS. In this paper, the neutron SEE experiments of 3 kinds of SRAMs with different feature sizes are carried out for the first time by using the CSNS back-n. The application of CSNS back-n in the study of atmospheric neutron SEE is evaluated by comparing with the results of the earlier plateau experiment. The results show that the cross section of the single event upset is smaller than that of the plateau test, and the cross sections of different devices have no obvious monotonic relationship with feature size. The reason for the former result is that the energy spectrum of CSNS back-n is slightly softer than that of the atmospheric neutron. The reason for the second result is that small feature size means small critical charge and small sensitive volume, and these two factors compete with each other when they make the contribution to the cross section. According to the difference in energy spectrum and cross section among the SRAM devices, a correction factor is proposed to correct the test results based on CSNS back-n. For the difference in energy spectrum, different energy thresholds will produce different ratios between the cross sections by using CSNS back-n and atmospheric neutron. The neutrons of CSNS back-n are mainly concentrated around 1 MeV, which is close to the energy threshold of general SRAM devices. Thus, inaccurate energy threshold estimation will introduce a large error into the cross section of SEU. Thus, the relation between the correction factor and the energy threshold is analyzed. If 12 MeV is selected as the energy threshold to calculate the cross section, more consistent results could be obtained for our DUT in CSNS back-n and atmospheric neutron environment. In a word, the results show that the CSNS back-n can be used to speed up the atmospheric neutron SEE test, but the result should be corrected to evaluate the threat from atmospheric neutron. Fortunately, with the continuous increase of CSNS operating power, the neutron flux and the accelerated factor of CSNS will increase synchronously. Besides, other 3 white light neutron beams are planned in the CSNS project, the planned energy spectra are closer to those of atmospheric neutron. It is expected that the CSNS will be better applied to the study of atmospheric neutron SEE.
Due to the lack of available spallation neutron source, the atmospheric neutron single event effect (SEE) in China were studied mainly by means of simulation and single energy neutron test. Since the Chinese spallation neutron source (CSNS) passed the national acceptance, it has become possible to carry out the research on atmospheric neutron SEE by using the CSNS. In this paper, the neutron SEE experiments of 3 kinds of SRAMs with different feature sizes are carried out for the first time by using the CSNS back-n. The application of CSNS back-n in the study of atmospheric neutron SEE is evaluated by comparing with the results of the earlier plateau experiment. The results show that the cross section of the single event upset is smaller than that of the plateau test, and the cross sections of different devices have no obvious monotonic relationship with feature size. The reason for the former result is that the energy spectrum of CSNS back-n is slightly softer than that of the atmospheric neutron. The reason for the second result is that small feature size means small critical charge and small sensitive volume, and these two factors compete with each other when they make the contribution to the cross section. According to the difference in energy spectrum and cross section among the SRAM devices, a correction factor is proposed to correct the test results based on CSNS back-n. For the difference in energy spectrum, different energy thresholds will produce different ratios between the cross sections by using CSNS back-n and atmospheric neutron. The neutrons of CSNS back-n are mainly concentrated around 1 MeV, which is close to the energy threshold of general SRAM devices. Thus, inaccurate energy threshold estimation will introduce a large error into the cross section of SEU. Thus, the relation between the correction factor and the energy threshold is analyzed. If 12 MeV is selected as the energy threshold to calculate the cross section, more consistent results could be obtained for our DUT in CSNS back-n and atmospheric neutron environment. In a word, the results show that the CSNS back-n can be used to speed up the atmospheric neutron SEE test, but the result should be corrected to evaluate the threat from atmospheric neutron. Fortunately, with the continuous increase of CSNS operating power, the neutron flux and the accelerated factor of CSNS will increase synchronously. Besides, other 3 white light neutron beams are planned in the CSNS project, the planned energy spectra are closer to those of atmospheric neutron. It is expected that the CSNS will be better applied to the study of atmospheric neutron SEE.
2019, 68(5): 053101.
doi: 10.7498/aps.68.20181944
Abstract:
NiTi shape memory alloy has been widely used in industrial and biological fields due to its excellent mechanical properties, unique shape memory effect and superelasticity. In this paper, the atomic relaxation, thermodynamic energy, structural stability, electronic structures and other properties of all low-index surfaces of B2- and B19'-NiTi alloys are systematically studied by using the first principles calculations based on density functional theory. The calculated results show that the atomic relaxations on all low-index surfaces of both B2- and B19'-NiTi alloys are mainly concentrated in 2−3 atomic layers on the surface, which means that the surface effect is mainly confined in two or three layers on the surface configuration. In addition, the atomic relaxation of Ti-terminated surface is most remarkable, and followed by Ni-terminated surface, while the atomic relaxation of Ni&Ti-terminated surface is insignificant. Furthermore, the valence charge density decays rapidly from the surface configuration to the vacuum layer. The calculation results of surface energy show that surface energy is inversely related to the coordinate number, and surface stability increases with the coordination number increasing. For B2- and B19'-NiTi, the surface energy of non-dense and non-stoichiometric surface depend on the chemical potential of Ti, and the surface energy is high. Therefore, the stabilities of these surfaces change with the chemical potential of Ti increasing. However, the surface energy values of dense surface configurations with stoichiometric ratio for B2-NiTi (101) and B19'-NiTi (010) are 1.81 J/m2 and 1.93 J/m2, respectively, which are both lower than those for other non-dense surfaces in the most Ti chemical potentials range, showing excellent structural stability. Moreover, the electron density analysis indicates that the dominant bonding for B2-NiTi (101) surface is the chained Ni-Ti-Ni metallic bond, the distribution of electrons and the distance between Ni and Ti atoms on the B2-NiTi (101) surface are more uniform and smaller, respectively, than those for B19'-NiTi (010) surface. In summary, the B2-NiTi (101) surface shows the high stability.
NiTi shape memory alloy has been widely used in industrial and biological fields due to its excellent mechanical properties, unique shape memory effect and superelasticity. In this paper, the atomic relaxation, thermodynamic energy, structural stability, electronic structures and other properties of all low-index surfaces of B2- and B19'-NiTi alloys are systematically studied by using the first principles calculations based on density functional theory. The calculated results show that the atomic relaxations on all low-index surfaces of both B2- and B19'-NiTi alloys are mainly concentrated in 2−3 atomic layers on the surface, which means that the surface effect is mainly confined in two or three layers on the surface configuration. In addition, the atomic relaxation of Ti-terminated surface is most remarkable, and followed by Ni-terminated surface, while the atomic relaxation of Ni&Ti-terminated surface is insignificant. Furthermore, the valence charge density decays rapidly from the surface configuration to the vacuum layer. The calculation results of surface energy show that surface energy is inversely related to the coordinate number, and surface stability increases with the coordination number increasing. For B2- and B19'-NiTi, the surface energy of non-dense and non-stoichiometric surface depend on the chemical potential of Ti, and the surface energy is high. Therefore, the stabilities of these surfaces change with the chemical potential of Ti increasing. However, the surface energy values of dense surface configurations with stoichiometric ratio for B2-NiTi (101) and B19'-NiTi (010) are 1.81 J/m2 and 1.93 J/m2, respectively, which are both lower than those for other non-dense surfaces in the most Ti chemical potentials range, showing excellent structural stability. Moreover, the electron density analysis indicates that the dominant bonding for B2-NiTi (101) surface is the chained Ni-Ti-Ni metallic bond, the distribution of electrons and the distance between Ni and Ti atoms on the B2-NiTi (101) surface are more uniform and smaller, respectively, than those for B19'-NiTi (010) surface. In summary, the B2-NiTi (101) surface shows the high stability.
2019, 68(5): 053102.
doi: 10.7498/aps.68.20181695
Abstract:
Diatomic molecule BeC has a complex electronic structure with a large number of low-lying excited states that are all strongly bound electronic states. Thus, the BeC molecule has the abundant spectral information. In this work, the potential energy curves and wavefunctions of\begin{document}$ {{\rm{X}}^3} {{\text{Σ}} ^ - } $\end{document} ![]()
![]()
, \begin{document}${\rm{A}}^3 {\text{Π}}$\end{document} ![]()
![]()
, \begin{document}$ {{\rm{b}}^1} {{\text{Δ}} } $\end{document} ![]()
![]()
, \begin{document}${{\rm{c}}^1} {\text{Π}}$\end{document} ![]()
![]()
and \begin{document}$ {{\rm{d}}^1}{{\text{Σ}} ^ + } $\end{document} ![]()
![]()
states of the BeC molecule are calculated by using the internally contracted multi-reference configuration interaction (MRCI) approach, which is based on the use of a dynamically weighted complete active space self-consistent field (DW-CASSCF) procedure. To improve the reliability and accuracy of calculation, the scalar relativistic corrections and the extrapolation of potential energy to the complete basis set limit are taken into account. On the basis of the calculated potential energy curves and wavefunctions, the spectroscopic constants (Te, Re, \begin{document}${\omega _{\rm{e}}}$\end{document} ![]()
![]()
, \begin{document}${\omega _{\rm{e}}}{x_{\rm{e}}}$\end{document} ![]()
![]()
, \begin{document}${\omega _{\rm{e}}}{y_{\rm{e}}}$\end{document} ![]()
![]()
, Be, \begin{document}${\alpha _{\rm{e}}}$\end{document} ![]()
![]()
, and De) and permanent dipole moments of those states are determined, the results of which are in good agreement with the existing available experimental and theoretical values. The obtained permanent dipole moments indicate that the electrons transfer from Be to C and the polarity for molecule is \begin{document}$ {\rm{B}}{{\rm{e}}^{{\text{δ}} + }}{{\rm{C}}^{{\text{δ}} - }}$\end{document} ![]()
![]()
. The transition properties of the spin-allowed \begin{document}${\rm{A}}^3 {\text{Π}}$\end{document} ![]()
![]()
−\begin{document}$ {{\rm{X}}^3} {{\text{Σ}} ^ - } $\end{document} ![]()
![]()
, \begin{document}${{\rm{c}}^1} {\text{Π}}$\end{document} ![]()
![]()
−\begin{document}$ {{\rm{b}}^1} {{\text{Δ}} } $\end{document} ![]()
![]()
, \begin{document}${{\rm{c}}^1} {\text{Π}}$\end{document} ![]()
![]()
−\begin{document}$ {{\rm{d}}^1}{{\text{Σ}} ^ + } $\end{document} ![]()
![]()
transitions are predicted, including the transition dipole moments, Franck-Condon factors, and radiative lifetimes. The radiative lifetimes for the \begin{document}${\rm{A}}^3 {\text{Π}}$\end{document} ![]()
![]()
−\begin{document}$ {{\rm{X}}^3} {{\text{Σ}} ^ - } $\end{document} ![]()
![]()
transitions are predicated to be at a \begin{document}$ {{\text{µ}}\rm{ s}}$\end{document} ![]()
![]()
level, and the good agreement with previous theoretical values is found. Radiative lifetimes for \begin{document}${{\rm{c}}^1} {\text{Π}}$\end{document} ![]()
![]()
−\begin{document}$ {{\rm{b}}^1} {{\text{Δ}} } $\end{document} ![]()
![]()
and \begin{document}${{\rm{c}}^1} {\text{Π}}$\end{document} ![]()
![]()
−\begin{document}$ {{\rm{d}}^1}{{\text{Σ}} ^ + } $\end{document} ![]()
![]()
transitions are also evaluated at the levels of \begin{document}$ {{\text{µ}}\rm{ s}}$\end{document} ![]()
![]()
and ms, respectively. The PEC for the ground state is fitted into accurate analytical potential energy functions by using the extended-Rydberg potential function.
Diatomic molecule BeC has a complex electronic structure with a large number of low-lying excited states that are all strongly bound electronic states. Thus, the BeC molecule has the abundant spectral information. In this work, the potential energy curves and wavefunctions of
2019, 68(5): 053601.
doi: 10.7498/aps.68.20181497
Abstract:
The growth of population and the limited supply of fossil fuels have forced the world to seek for new kinds of alternative energy sources which are abundant, renewable, efficient, secure and pollution-free. In this regard, hydrogen is generally considered as a potential candidate. However, it is a great challenge to find hydrogen storage materials with large hydrogen gravimetric density under ambient thermodynamic conditions. The most effective way to improve the hydrogen storage capacity is to decorate the pure nanomaterials with transition metals, alkaline metals, and alkaline earth metals. The generalized gradient approximation based on density functional theory is used to study the hydrogen storage capacity of the expanded sandwich structure graphene-2Li-graphene. It is calculated that the structure with the Li atom located above the face site of the hexagonal ring of the graphene has the maximum binding energy (1.19 eV), which is less than the experimental cohesive energy of bulk Li (1.63 eV). However, the calculated binding energy values of the Li atom to the upper and lower graphene layer are both 3.43 eV, which is much larger than the experimental cohesive energy value of bulk Li, so it can prevent the Li atoms from clustering between graphene layers. Each Li atom in the graphene-2Li-graphene structure can adsorb 3 H2 molecules at most. Thus, the hydrogen gravimetric density of graphene-2(Li-3H2)-graphene is 10.20 wt.%, which had far exceeded the gravimetric density of the target value of 5.5 wt.% by the year 2017 specified by the US Department of Energy. The average adsorption energy values of H2 adsorbed per Li are 0.37, 0.17, and 0.12 eV respectively for 1−3 H2 molecules, which are between the physical adsorption and chemical adsorption(0.1−0.8 eV), therefore, it can realize the reversible adsorption of hydrogen. Each Li atom can adsorb 3 H2 molecules at most by the electronic polarization interaction. The dynamic calculations and GFRF calculations show that the interlayer Li atom doped double-layer graphene has good reversible adsorption performance for hydrogen. This research can provide a good research idea for developing good hydrogen storage materials and theoretical basis for experimental worker. These findings can suggest a way to design hydrogen storage materials under the near-ambient conditions.
The growth of population and the limited supply of fossil fuels have forced the world to seek for new kinds of alternative energy sources which are abundant, renewable, efficient, secure and pollution-free. In this regard, hydrogen is generally considered as a potential candidate. However, it is a great challenge to find hydrogen storage materials with large hydrogen gravimetric density under ambient thermodynamic conditions. The most effective way to improve the hydrogen storage capacity is to decorate the pure nanomaterials with transition metals, alkaline metals, and alkaline earth metals. The generalized gradient approximation based on density functional theory is used to study the hydrogen storage capacity of the expanded sandwich structure graphene-2Li-graphene. It is calculated that the structure with the Li atom located above the face site of the hexagonal ring of the graphene has the maximum binding energy (1.19 eV), which is less than the experimental cohesive energy of bulk Li (1.63 eV). However, the calculated binding energy values of the Li atom to the upper and lower graphene layer are both 3.43 eV, which is much larger than the experimental cohesive energy value of bulk Li, so it can prevent the Li atoms from clustering between graphene layers. Each Li atom in the graphene-2Li-graphene structure can adsorb 3 H2 molecules at most. Thus, the hydrogen gravimetric density of graphene-2(Li-3H2)-graphene is 10.20 wt.%, which had far exceeded the gravimetric density of the target value of 5.5 wt.% by the year 2017 specified by the US Department of Energy. The average adsorption energy values of H2 adsorbed per Li are 0.37, 0.17, and 0.12 eV respectively for 1−3 H2 molecules, which are between the physical adsorption and chemical adsorption(0.1−0.8 eV), therefore, it can realize the reversible adsorption of hydrogen. Each Li atom can adsorb 3 H2 molecules at most by the electronic polarization interaction. The dynamic calculations and GFRF calculations show that the interlayer Li atom doped double-layer graphene has good reversible adsorption performance for hydrogen. This research can provide a good research idea for developing good hydrogen storage materials and theoretical basis for experimental worker. These findings can suggest a way to design hydrogen storage materials under the near-ambient conditions.
2019, 68(5): 054102.
doi: 10.7498/aps.68.20181677
Abstract:
Phase is an important characteristic of electromagnetic waves. It is well known that a beam with a helical wave front characterized by a phase of\begin{document}$\exp({\rm{i}}l\theta )$\end{document} ![]()
![]()
(which depends on azimuthal angle \begin{document}$\theta$\end{document} ![]()
![]()
and topological charge l), has a momentum component along the azimuthal direction, resulting in an orbital angular momentum of per photon along the beam axis. Owing to its fascinating properties, the beam has received a great deal of attention and has provided novel applications in manipulation of particles or atoms, optical communication, optical data storage. In order to meet the needs of various applications, techniques for efficiently generating optical beams carrying orbital angular momentum are always required. Current schemes for generating the beams carrying orbital angular momentum include computer-generated holograms, spiral phase plates, spatial light modulators, and silicon integrated optical vortex emitters. Among the usual methods to produce helical beams, the traditional spiral phase plate is an optical device that utilizes the progressive increasing of height of a dielectric material along an azimuthal direction to produce a vortex beam for beam phase modulation with a high conversion efficiency. However, it is difficult to regulate the topological charge l of the outgoing beam through the superposition of the phase plates due to the special geometric feature. In this paper, the flat spiral phase plate is designed by compressing the height of traditional spiral phase plate, and inducing the refractive index to increase in the azimuthal direction based on coordinate transformation. By means of theoretical analysis and numerical simulation, it is found that the flat spiral phase plate can produce high quality vortex beams just as the traditional spiral phase plate can do. Particularly, the height of the flat spiral phase plate and the topological charge l carried by the vortex beams can be arbitrarily adjusted according to the refractive index selection of the dielectric material. In order to meet the needs of practical applications, the vortex beams with different topological charges can be obtained by stacking multiple layers of flat spiral phase plates. The flat spiral phase plate has broad potential applications in the fields of optical transmission and optical communication.
Phase is an important characteristic of electromagnetic waves. It is well known that a beam with a helical wave front characterized by a phase of
2019, 68(5): 054103.
doi: 10.7498/aps.68.20181897
Abstract:
Internal field emission breakdown in the electro-dynamic structures of high-power microwave devices can seriously limit the devices’ output power and pulse duration. So an over-sized backward wave oscillator (BWO) is developed to increase the diameter of the electro-dynamic structure beyond the cut-off radius, and reduce these internal fields to levels, which are below critical breakdown levels. As a typical high power microwave (HPM) device, the oversized BWO is widely used and investigated. But some interaction phenomena between the beam and the microwave field in the device are not clearly understood because the beam-loaded effect is so obvious. And the physical process for the interaction is also considered to be complicated. Here as an oscillator, the feedback process is very important in the microwave device, which includes the oversized BWO. So the interaction process between the beam and the oversized BWO is explored from the feed back process instead of the field in the device. Then the physical mechanism for the feedback process in the oversized BWO is explored both in theoretical investigation and in particle-in-cell simulation. And the equivalent circuit is established for such a purpose. The mode control mechanism is explored based on the equivalent circuit. Finally an over-sized backward wave oscillator with rectangular profile corrugations is designed to produce TM01 high power microwave radiation without mode-competition. An RF power of 7.9 GW at a frequency of 8.68 GHz is obtained in the particle in cell simulation driven by the beam with a beam voltage of 1 MW and a current of 20 kA, and the corresponding efficiency is 39.5%.
Internal field emission breakdown in the electro-dynamic structures of high-power microwave devices can seriously limit the devices’ output power and pulse duration. So an over-sized backward wave oscillator (BWO) is developed to increase the diameter of the electro-dynamic structure beyond the cut-off radius, and reduce these internal fields to levels, which are below critical breakdown levels. As a typical high power microwave (HPM) device, the oversized BWO is widely used and investigated. But some interaction phenomena between the beam and the microwave field in the device are not clearly understood because the beam-loaded effect is so obvious. And the physical process for the interaction is also considered to be complicated. Here as an oscillator, the feedback process is very important in the microwave device, which includes the oversized BWO. So the interaction process between the beam and the oversized BWO is explored from the feed back process instead of the field in the device. Then the physical mechanism for the feedback process in the oversized BWO is explored both in theoretical investigation and in particle-in-cell simulation. And the equivalent circuit is established for such a purpose. The mode control mechanism is explored based on the equivalent circuit. Finally an over-sized backward wave oscillator with rectangular profile corrugations is designed to produce TM01 high power microwave radiation without mode-competition. An RF power of 7.9 GW at a frequency of 8.68 GHz is obtained in the particle in cell simulation driven by the beam with a beam voltage of 1 MW and a current of 20 kA, and the corresponding efficiency is 39.5%.
2019, 68(5): 054104.
doi: 10.7498/aps.68.20181787
Abstract:
To obtain a large uniform beam field for proton single event effect (SEE) experiments, the double-ring double scattering method (DDSM) is employed for spreading the 100 MeV proton beam provided by the 100 MeV proton cyclotron at China Institute of Atomic Energy. With the Geant 4 simulations, the fundamentals of the DDSM are further explored, the achieved effect of our DDSM scheme design is presented, and the influences of some possible factors in practice on the produced beam field are discussed. We find that the the outer part of the second scatter plays an important role in enlarging the area of the uniform field and improving its uniformity. We also find that the first scatter and the inner part of the second scatter play a decisive role in determining the proton flux of the uniform area. The scattering between the spread proton beam and the accelerator tube behind the second scatter damages the uniformity and leads the energy of the produced beam field to straggle. Therefore, the tube should be made as short as possible. The size of the initial beam spot on the first scatter affects the produced beam field to some extent. The spot should be focused as much as possible in a circle with a radius of 0.5 cm. At a larger distance, a larger uniform field can be produced due to the spreading of the proton beam along the space. The decrease in the incident proton energy causes the flux and uniformity to decrease, and also leads the energy loss to increase and the energy of the produced proton beam field to straggle. Using our DDSM schematic design, the simulations show that an 8-cm-diameter beam field with a uniformity of ±1.89% can be produced at a distance of 2.4 m, thereby meeting the need for an SEE experiment of a device-level sample, and that a 20-cm-radius beam field with a uniformity of ±5.32% can be created at a distance of 5.0 m, thereby meeting the need for an SEE experiment of a system-level sample of comparable size. By taking into consideration the uniformity and energy straggling, our design is basically applicable to the protons in the 70−100 MeV energy region that the accelerator can provide directly.
To obtain a large uniform beam field for proton single event effect (SEE) experiments, the double-ring double scattering method (DDSM) is employed for spreading the 100 MeV proton beam provided by the 100 MeV proton cyclotron at China Institute of Atomic Energy. With the Geant 4 simulations, the fundamentals of the DDSM are further explored, the achieved effect of our DDSM scheme design is presented, and the influences of some possible factors in practice on the produced beam field are discussed. We find that the the outer part of the second scatter plays an important role in enlarging the area of the uniform field and improving its uniformity. We also find that the first scatter and the inner part of the second scatter play a decisive role in determining the proton flux of the uniform area. The scattering between the spread proton beam and the accelerator tube behind the second scatter damages the uniformity and leads the energy of the produced beam field to straggle. Therefore, the tube should be made as short as possible. The size of the initial beam spot on the first scatter affects the produced beam field to some extent. The spot should be focused as much as possible in a circle with a radius of 0.5 cm. At a larger distance, a larger uniform field can be produced due to the spreading of the proton beam along the space. The decrease in the incident proton energy causes the flux and uniformity to decrease, and also leads the energy loss to increase and the energy of the produced proton beam field to straggle. Using our DDSM schematic design, the simulations show that an 8-cm-diameter beam field with a uniformity of ±1.89% can be produced at a distance of 2.4 m, thereby meeting the need for an SEE experiment of a device-level sample, and that a 20-cm-radius beam field with a uniformity of ±5.32% can be created at a distance of 5.0 m, thereby meeting the need for an SEE experiment of a system-level sample of comparable size. By taking into consideration the uniformity and energy straggling, our design is basically applicable to the protons in the 70−100 MeV energy region that the accelerator can provide directly.
2019, 68(5): 054201.
doi: 10.7498/aps.68.20181424
Abstract:
In recent years, due to the rapid development of nano science and advanced semiconductor technology, one is able to observe more significant quantum optomechanical effects as optomechanical system turns smaller in size. Optomechanically induced transparency, fast and slow light, optical storage as well as other quantum optical and nonlinear optical effects have become the focus of research. On the other hand, the optomechanical systems coupled to other small subsystems (such as atoms, quantum dots, single electron transistors, etc.) also attract great attention in research. This is because the coupling system has not only provided more degrees of freedom for quantum manipulation, but also opened up more channels for classical and quantum information transfer. In this paper we study the optomechanically induced transparency and fast/slow light phase control in atom-assisted optomechanical cavity. Unlike the traditional systems, in this model the mechanical resonator is directly driven by a weak auxiliary driving field. We therefore find that with the change of amplitude ratio and phase difference between the auxiliary driving field and the probe field, the absorption and dispersion properties of the whole system and the group delay time vary accordingly. In the absence of auxiliary field, we observe the spectral features of the hybrid electromagnetically induced transparency and optomechanically induced transparency (OMIT) in an atom-cavity-oscillator tripartite optomechanical system. When there exists no phase difference between the auxiliary field and the probe field, we find that the membrane resonance absorption is enhanced with the increase of auxiliary field strength at resonance, causing the the optomechanically induced transparency to be suppressed, and therefore we can modify the amplitude of auxiliary field to control the depth of the OMIT window. When keeping amplitude ratio between the auxiliary field and the probe field unchanged, the modification of the phase difference between the auxiliary field and the probe field directly affects the we can not only realize the manipulation of OMIT window depth, but also control the transformation of tunable optical switch among "absorption", "transparent" and "gain" of the system. Therefore, through changing the phase of auxiliary field and probe field, we can not only realize the manipulation of OMIT window depth, but also control the transformation of tunable optical switch among "absorption" , "transparent" and "gain". In the meantime, we find that the system’s group delay time varies periodically with the change of phase difference. It is worth noting that by adjusting the phase difference and the atomic number, we can not only change the magnitude of the group delay, but also realize the conversion between slow light and fast light effect.
In recent years, due to the rapid development of nano science and advanced semiconductor technology, one is able to observe more significant quantum optomechanical effects as optomechanical system turns smaller in size. Optomechanically induced transparency, fast and slow light, optical storage as well as other quantum optical and nonlinear optical effects have become the focus of research. On the other hand, the optomechanical systems coupled to other small subsystems (such as atoms, quantum dots, single electron transistors, etc.) also attract great attention in research. This is because the coupling system has not only provided more degrees of freedom for quantum manipulation, but also opened up more channels for classical and quantum information transfer. In this paper we study the optomechanically induced transparency and fast/slow light phase control in atom-assisted optomechanical cavity. Unlike the traditional systems, in this model the mechanical resonator is directly driven by a weak auxiliary driving field. We therefore find that with the change of amplitude ratio and phase difference between the auxiliary driving field and the probe field, the absorption and dispersion properties of the whole system and the group delay time vary accordingly. In the absence of auxiliary field, we observe the spectral features of the hybrid electromagnetically induced transparency and optomechanically induced transparency (OMIT) in an atom-cavity-oscillator tripartite optomechanical system. When there exists no phase difference between the auxiliary field and the probe field, we find that the membrane resonance absorption is enhanced with the increase of auxiliary field strength at resonance, causing the the optomechanically induced transparency to be suppressed, and therefore we can modify the amplitude of auxiliary field to control the depth of the OMIT window. When keeping amplitude ratio between the auxiliary field and the probe field unchanged, the modification of the phase difference between the auxiliary field and the probe field directly affects the we can not only realize the manipulation of OMIT window depth, but also control the transformation of tunable optical switch among "absorption", "transparent" and "gain" of the system. Therefore, through changing the phase of auxiliary field and probe field, we can not only realize the manipulation of OMIT window depth, but also control the transformation of tunable optical switch among "absorption" , "transparent" and "gain". In the meantime, we find that the system’s group delay time varies periodically with the change of phase difference. It is worth noting that by adjusting the phase difference and the atomic number, we can not only change the magnitude of the group delay, but also realize the conversion between slow light and fast light effect.
2019, 68(5): 054202.
doi: 10.7498/aps.68.20182018
Abstract:
In recent years, all-solid-state ultraviolet lasers have had widely potential applications in the fields of spectroscopy, biological analysis, precision manufacturing, optical data storage, high-resolution printing, medicine and lithography. The good monochrome of all-solid-state ultraviolet laser can improve the accuracy of spectral absorption measurement when used to detect specific proteins and reduce the laser spot diameter when used for high density data storage or acousto-optic deflector. In this paper, a combined dual-wavelength laser diode (LD) beam end-pumped single longitudinal mode Pr3+:LiYF4 all-solid-state UV laser at 360 nm is presented. A V-folded cavity structure is used in the laser, which consists of a reflective volume Bragg grating (RBG) and a Fabry-Perot (F-P) etalon. The RBG is used as a wavelength selection and resonator reflector to narrow the width of spectral line. The F-P etalon is hybrid in the cavity, serving as a narrow-band filter, to achieve the single longitudinal mode. The lithium triborate crystal with critical type-I phase matching at room temperature is used for implementing the second-harmonic generation of the fundamental 720 nm laser and obtaining an efficient and compact ultraviolet laser at 360 nm. The optical resonator is simulated and analyzed by MATLAB software. Two experiments are conducted to compare the accuracy of central wavelength tuning by changing the temperature of F-P etalon and the angle of F-P etalon. The result shows that the change temperature of F-P etalon can achieve 0.165 pm/℃, showing that it is a better method. The structure of the laser is simplified and the anti-interference capability is improved in this way. It is different from mode competition method and the stability of single longitudinal mode laser output is increased. When the output power of LD at 444 nm is 1200 mW and that of LD at 469 nm is 1400 mW, a single longitudinal mode CW UV laser at 360 nm with output power as high as 112 mW is achieved. The optical-to-optical conversion efficiency is 4.3%, and the longitudinal linewidth of laser is 30 MHz. The measurements show that the edge suppression ratio is greater than 60 dB, the stability of root mean square (RMS) of output power in 4 h is better than 0.5%, the frequency shift in 1h is better than 220 MHz, and amplitude noise is less than 0.5%.
In recent years, all-solid-state ultraviolet lasers have had widely potential applications in the fields of spectroscopy, biological analysis, precision manufacturing, optical data storage, high-resolution printing, medicine and lithography. The good monochrome of all-solid-state ultraviolet laser can improve the accuracy of spectral absorption measurement when used to detect specific proteins and reduce the laser spot diameter when used for high density data storage or acousto-optic deflector. In this paper, a combined dual-wavelength laser diode (LD) beam end-pumped single longitudinal mode Pr3+:LiYF4 all-solid-state UV laser at 360 nm is presented. A V-folded cavity structure is used in the laser, which consists of a reflective volume Bragg grating (RBG) and a Fabry-Perot (F-P) etalon. The RBG is used as a wavelength selection and resonator reflector to narrow the width of spectral line. The F-P etalon is hybrid in the cavity, serving as a narrow-band filter, to achieve the single longitudinal mode. The lithium triborate crystal with critical type-I phase matching at room temperature is used for implementing the second-harmonic generation of the fundamental 720 nm laser and obtaining an efficient and compact ultraviolet laser at 360 nm. The optical resonator is simulated and analyzed by MATLAB software. Two experiments are conducted to compare the accuracy of central wavelength tuning by changing the temperature of F-P etalon and the angle of F-P etalon. The result shows that the change temperature of F-P etalon can achieve 0.165 pm/℃, showing that it is a better method. The structure of the laser is simplified and the anti-interference capability is improved in this way. It is different from mode competition method and the stability of single longitudinal mode laser output is increased. When the output power of LD at 444 nm is 1200 mW and that of LD at 469 nm is 1400 mW, a single longitudinal mode CW UV laser at 360 nm with output power as high as 112 mW is achieved. The optical-to-optical conversion efficiency is 4.3%, and the longitudinal linewidth of laser is 30 MHz. The measurements show that the edge suppression ratio is greater than 60 dB, the stability of root mean square (RMS) of output power in 4 h is better than 0.5%, the frequency shift in 1h is better than 220 MHz, and amplitude noise is less than 0.5%.
2019, 68(5): 054203.
doi: 10.7498/aps.68.20181696
Abstract:
A bare quartz fiber with single refractive index is implanted into a polydimethylsiloxane (PDMS) microfluidic channel. The lasing gain medium consists of fluorescence resonance energy transfer (FRET) donor-acceptor dye pair Rhodamine B (RhB)-LDS821 mixture solution, which has a lower refractive index than that of the optical fiber and flows in the PDMS microfluidic channel. The circular cross section of the optical fiber forms a ring resonator and hosts high-quality (Q) whispering gallery modes (WGMs). Pumping along the optical fiber axis, the FRET characteristic parameters, i.e., the FRET efficiency\begin{document}$\eta $\end{document} ![]()
![]()
and the Förster distance R0 of donor-acceptor dye pair, are firstly studied by using a continuous wave laser as a pump light source with a wavelength of 532 nm. The excited states are thencreated in the donor (RhB) by using a pulse laser with a wavelength of 532 nm and whose energy is transferred into the adjacent acceptor (LDS821) through the non-radiative FRET mechanism. Finaly, the emission of LDS821 iscoupled into the WGM of the ring resonator to lase. Due to the high energy transfer efficiency and high Q-factor, the acceptor shows a lasing threshold as low as 1.26 \begin{document}${\text{μ}}{\rm J}$\end{document} ![]()
![]()
/mm2.
A bare quartz fiber with single refractive index is implanted into a polydimethylsiloxane (PDMS) microfluidic channel. The lasing gain medium consists of fluorescence resonance energy transfer (FRET) donor-acceptor dye pair Rhodamine B (RhB)-LDS821 mixture solution, which has a lower refractive index than that of the optical fiber and flows in the PDMS microfluidic channel. The circular cross section of the optical fiber forms a ring resonator and hosts high-quality (Q) whispering gallery modes (WGMs). Pumping along the optical fiber axis, the FRET characteristic parameters, i.e., the FRET efficiency
2019, 68(5): 054204.
doi: 10.7498/aps.68.20181674
Abstract:
Mode-division multiplexing (MDM), as one of the promising techniques for overcoming current limitation of transmission capacity in single-mode fibers (SMFs), has attracted considerable attention. A key component in the MDM system is a mode converter, which makes conversion between the fundamental mode and the higher-order mode. Many mode converters have been demonstrated, such as spatial light modulators, phase plates, silicon-based asymmetrical directional couplers, fiber-based photonic lantern, and long period fiber grating (LPFG). Compared with other methods, mode converter used LPFG is a very feasible technique, which has the advantages of small size, low loss, low backward noise, high coupling efficiency and easy fabrication. However, the limitation of the mode converter is relatively narrow bandwidth. In this paper, a novel broadband all-fiber mode converter is proposed, in which two long period fiber gratings (LPFGs) with different periods are fabricated in the same spatial domain of few-mode fiber to achieve coupling from LP01 to LP11, thus forming superimposed long period fiber gratings (SLPFGs). The influences of grating parameters, such as the interval between two periods, the length of grating and the coupling coefficient on the mode converter, are analyzed by numerical simulation. It is found that the gap between the two resonant wavelengths becomes smaller with the periodic interval decreasing, which can form one rejection band when the gap is small enough, thus a broadband mode converter can be realized. The corresponding bandwidth at a conversion efficiency of 10 dB is about twice that of traditional LPFG. Moreover, with the increase of grating length, the conversion efficiency first increases and then decreases, because coupling efficiency experiences deficient coupling, full coupling and over coupling. The effect of coupling coefficient on converter is similar to that of grating length. According to the numerical results, grating I is fabricated with\begin{document}${\varLambda _1} = 673\;{\text{μ}}{\rm m} $\end{document} ![]()
![]()
, 35-period. After that, the platform is rotated 180° and grating II is fabricated with \begin{document}${\varLambda _2} = 688\; {\text{μ}}{\rm m}$\end{document} ![]()
![]()
, 35-period by CO2 laser in tow mode fiber (TMF steped-index fiber). The bandwidths of both LPFGs at a conversion efficiency of 10 dB are about 57 nm and 67 nm respectively, while the bandwidth of SLPFG is about 153 nm. The experimental results are in pretty good agreement with the theoretical analyses. In addition, the proposed superimposed structure can also be extended to the conversion of fundamental mode into other high-order core modes. By designing the period of two sub-gratings reasonably, a wide band rejection filter with arbitrary wavelength can be realized. Compared with the traditional mode converter, the converter has the advantages of broad bandwidth, high conversion efficiency and small size, which can be widely used in the mode division multiplexing system and optical communication.
Mode-division multiplexing (MDM), as one of the promising techniques for overcoming current limitation of transmission capacity in single-mode fibers (SMFs), has attracted considerable attention. A key component in the MDM system is a mode converter, which makes conversion between the fundamental mode and the higher-order mode. Many mode converters have been demonstrated, such as spatial light modulators, phase plates, silicon-based asymmetrical directional couplers, fiber-based photonic lantern, and long period fiber grating (LPFG). Compared with other methods, mode converter used LPFG is a very feasible technique, which has the advantages of small size, low loss, low backward noise, high coupling efficiency and easy fabrication. However, the limitation of the mode converter is relatively narrow bandwidth. In this paper, a novel broadband all-fiber mode converter is proposed, in which two long period fiber gratings (LPFGs) with different periods are fabricated in the same spatial domain of few-mode fiber to achieve coupling from LP01 to LP11, thus forming superimposed long period fiber gratings (SLPFGs). The influences of grating parameters, such as the interval between two periods, the length of grating and the coupling coefficient on the mode converter, are analyzed by numerical simulation. It is found that the gap between the two resonant wavelengths becomes smaller with the periodic interval decreasing, which can form one rejection band when the gap is small enough, thus a broadband mode converter can be realized. The corresponding bandwidth at a conversion efficiency of 10 dB is about twice that of traditional LPFG. Moreover, with the increase of grating length, the conversion efficiency first increases and then decreases, because coupling efficiency experiences deficient coupling, full coupling and over coupling. The effect of coupling coefficient on converter is similar to that of grating length. According to the numerical results, grating I is fabricated with
2019, 68(5): 054205.
doi: 10.7498/aps.68.20181838
Abstract:
Intrinsic thermal noise in optical fibers is an ultimate factor limiting the performances of fiber-based sensors and measurement systems. Therefore, it is important to have a thorough understanding of this kind of noise. However, the mechanism of the intrinsic thermal noise which has a 1/f spectral density remains unclear so far. There are two theoretical models to explain the mechanism of this kind of noise: thermoconductive noise model and thermomechanical noise model. The thermoconductive noise model states that the noise is caused by diffusion of local entropy fluctuations associated with random spontaneous emission events, while the thermomechanical noise model says that the noise is caused by spontaneous fluctuations of fiber length induced by mechanical dissipation. Which theoretical model is correct is still an open question. In this paper, we experimentally investigate the intrinsic thermal noise in optical fibers by using a balanced fiber Michelson interferometer with heterodyne detection technique. When a fiber-stabilized laser with ultralow frequency noise is used as a laser source and other noise sources are carefully controlled, the 1/f spectral intrinsic thermal noise can be observed down to infrasonic frequency. According to these measurements, in order to verify which theoretical model is the mechanism of generating the intrinsic thermal noise with 1/f spectral density, we study the relationship between the level of the intrinsic thermal noise and the concentration of the dopant in fibers and the applied tension of fibers. We observe that the level of the 1/f spectral intrinsic thermal noise is independent of the concentration of the dopant in fibers. This means that the thermoconductive noise model is not suitable to this case. We also observe that the level of the 1/f spectral intrinsic thermal noise can be reduced by increasing the tension exerted on the optical fibers. Because the mechanical loss of a fiber can be lower than the loss of the material which the fiber is made of when the fiber is subjected to a certain tension, this observation proves the fact that the 1/f spectral intrinsic thermal noise in optical fibers originates from the mechanical dissipation process inside optical fibers. This is consistent with the predictions of the thermomechanical noise model. Finally, the inconsistency between the experimental data and the theoretical results for thermomechanical noise is discussed.
Intrinsic thermal noise in optical fibers is an ultimate factor limiting the performances of fiber-based sensors and measurement systems. Therefore, it is important to have a thorough understanding of this kind of noise. However, the mechanism of the intrinsic thermal noise which has a 1/f spectral density remains unclear so far. There are two theoretical models to explain the mechanism of this kind of noise: thermoconductive noise model and thermomechanical noise model. The thermoconductive noise model states that the noise is caused by diffusion of local entropy fluctuations associated with random spontaneous emission events, while the thermomechanical noise model says that the noise is caused by spontaneous fluctuations of fiber length induced by mechanical dissipation. Which theoretical model is correct is still an open question. In this paper, we experimentally investigate the intrinsic thermal noise in optical fibers by using a balanced fiber Michelson interferometer with heterodyne detection technique. When a fiber-stabilized laser with ultralow frequency noise is used as a laser source and other noise sources are carefully controlled, the 1/f spectral intrinsic thermal noise can be observed down to infrasonic frequency. According to these measurements, in order to verify which theoretical model is the mechanism of generating the intrinsic thermal noise with 1/f spectral density, we study the relationship between the level of the intrinsic thermal noise and the concentration of the dopant in fibers and the applied tension of fibers. We observe that the level of the 1/f spectral intrinsic thermal noise is independent of the concentration of the dopant in fibers. This means that the thermoconductive noise model is not suitable to this case. We also observe that the level of the 1/f spectral intrinsic thermal noise can be reduced by increasing the tension exerted on the optical fibers. Because the mechanical loss of a fiber can be lower than the loss of the material which the fiber is made of when the fiber is subjected to a certain tension, this observation proves the fact that the 1/f spectral intrinsic thermal noise in optical fibers originates from the mechanical dissipation process inside optical fibers. This is consistent with the predictions of the thermomechanical noise model. Finally, the inconsistency between the experimental data and the theoretical results for thermomechanical noise is discussed.
2019, 68(5): 054206.
doi: 10.7498/aps.68.20181578
Abstract:
Noise is an important factor affecting the image quality of laser coherent field high resolution imaging system. And there exists not only background light additive noise but also laser multiplicative speckle noise in a laser coherent field imaging system. Both of the above noise affect the imaging quality of laser coherent field system. In order to improve the imaging quality from the perspective of noise suppression and settle the imaging quality degradation problem of laser multiplicative speckle noise and background additive noise in the laser coherent field imaging system, the model for the influence of multiplicative speckle noise and background additive noise on laser echo field demodulated signal is established in atmospheric downlink. Then, based on the model, a novel homomorphic filter and sparse matrix trace cascade compound de-noising algorithm is put forward. Firstly, based on the homomorphic filtering theory, the laser multiplicative speckle noise in the laser echo demodulated signal is converted into the additive noise by logarithmic transformation. Then the low-frequency laser multiplicative speckle noise is filtered by the high-pass filter, and the high-frequency demodulated signal is retained. The logarithmic inverse transform is used to obtain the laser echo demodulation signal after the multiplicative speckle noise has been filtered out. Next, the phase random disturbance of atmosphere in laser echo demodulated signal is suppressed by phase closure technology and the imaging spectrum component is reconstructed by the spectrum iterative reconstruction method. Then the high resolution image is obtained by spectrum component inverse Fourier transform. Finally, the effect of background additive noise on the image quality is suppressed by the sparse base tracking theory. The simulated and outdoor experiment result are used to verify the denoising effect and image quality enhancement effect of the composite de-noising method. Compared with the existing single denoising method, the composite denoising method is shown to be able to effectively eliminate laser multiplicative speckle noise and background additive noise at one time. The proposed method can improve image contrast and promote the Strehl ratio of imaging quality in a coherent imaging system. It provides a theoretical basis for improving imaging quality and denosing laser multiplicative speckle noise and background additive noise in coherent field imaging system.
Noise is an important factor affecting the image quality of laser coherent field high resolution imaging system. And there exists not only background light additive noise but also laser multiplicative speckle noise in a laser coherent field imaging system. Both of the above noise affect the imaging quality of laser coherent field system. In order to improve the imaging quality from the perspective of noise suppression and settle the imaging quality degradation problem of laser multiplicative speckle noise and background additive noise in the laser coherent field imaging system, the model for the influence of multiplicative speckle noise and background additive noise on laser echo field demodulated signal is established in atmospheric downlink. Then, based on the model, a novel homomorphic filter and sparse matrix trace cascade compound de-noising algorithm is put forward. Firstly, based on the homomorphic filtering theory, the laser multiplicative speckle noise in the laser echo demodulated signal is converted into the additive noise by logarithmic transformation. Then the low-frequency laser multiplicative speckle noise is filtered by the high-pass filter, and the high-frequency demodulated signal is retained. The logarithmic inverse transform is used to obtain the laser echo demodulation signal after the multiplicative speckle noise has been filtered out. Next, the phase random disturbance of atmosphere in laser echo demodulated signal is suppressed by phase closure technology and the imaging spectrum component is reconstructed by the spectrum iterative reconstruction method. Then the high resolution image is obtained by spectrum component inverse Fourier transform. Finally, the effect of background additive noise on the image quality is suppressed by the sparse base tracking theory. The simulated and outdoor experiment result are used to verify the denoising effect and image quality enhancement effect of the composite de-noising method. Compared with the existing single denoising method, the composite denoising method is shown to be able to effectively eliminate laser multiplicative speckle noise and background additive noise at one time. The proposed method can improve image contrast and promote the Strehl ratio of imaging quality in a coherent imaging system. It provides a theoretical basis for improving imaging quality and denosing laser multiplicative speckle noise and background additive noise in coherent field imaging system.
2019, 68(5): 054401.
doi: 10.7498/aps.68.20181740
Abstract:
The great interest of many researchers has been aroused in recent two decades due to the great heat transfer enhancement of nanofluid as a heat transfer medium. The reason why the nanofluid can enhance heat transfer is that a number of nanoparticles are suspended in the carry fluid. Most of researchers believe that the microconvection induced by Brownian motion of nanoparticle, the nanolayer around the nanoparticle, the aggregation of nanoparticles and near-field radiation are the underlying mechanisms for heat transfer enhancement by nanofluid. However, contradictories and inconsistencies among experimental results, theoretical results and numerical results are existent commonly because the mechanism of heat transportation by nanoparticles remains unclear so far. Quite a few researches have proven that the aggregation of nanoparticles is one of the important mechanisms for elevating the effective thermal conductivity (ETC) of nanofluid. However, the aggregation morphology (AM) of nanoparticles evaluated by fractal dimension (FD) will greatly influence the thermal conductivity of nanofluid. Unfortunately, all of the existing ETC models are based on the effective medium theory under the assumption of " static state” and " homo-dispersion”. In the present work, equilibrium molecular dynamics (EMD) simulations are carried out to calculate the thermal conductivity of Cu-Ar nanofluid via Green-Kubo formula. In existing researches, fractal dimensions of the aggregations with various morphologies are obtained by Schmidt-Ott equation. Comparisons between the ETC and FD of the nanofluid with same volume fraction show that lower FD can possess greater ETC. It is the first time that the quantitative relationship between ETC and FD has been analyzed. In addition, the difference between loose and compact aggregation can be read out of the pair correlation function near nanoparticles. And the solvent atoms in nanolayer are mobilized and dynamically balanced. The results obtained in the present research are conducible to understanding the influence of AM of nanoparticles on the ETC of nanofluid.
The great interest of many researchers has been aroused in recent two decades due to the great heat transfer enhancement of nanofluid as a heat transfer medium. The reason why the nanofluid can enhance heat transfer is that a number of nanoparticles are suspended in the carry fluid. Most of researchers believe that the microconvection induced by Brownian motion of nanoparticle, the nanolayer around the nanoparticle, the aggregation of nanoparticles and near-field radiation are the underlying mechanisms for heat transfer enhancement by nanofluid. However, contradictories and inconsistencies among experimental results, theoretical results and numerical results are existent commonly because the mechanism of heat transportation by nanoparticles remains unclear so far. Quite a few researches have proven that the aggregation of nanoparticles is one of the important mechanisms for elevating the effective thermal conductivity (ETC) of nanofluid. However, the aggregation morphology (AM) of nanoparticles evaluated by fractal dimension (FD) will greatly influence the thermal conductivity of nanofluid. Unfortunately, all of the existing ETC models are based on the effective medium theory under the assumption of " static state” and " homo-dispersion”. In the present work, equilibrium molecular dynamics (EMD) simulations are carried out to calculate the thermal conductivity of Cu-Ar nanofluid via Green-Kubo formula. In existing researches, fractal dimensions of the aggregations with various morphologies are obtained by Schmidt-Ott equation. Comparisons between the ETC and FD of the nanofluid with same volume fraction show that lower FD can possess greater ETC. It is the first time that the quantitative relationship between ETC and FD has been analyzed. In addition, the difference between loose and compact aggregation can be read out of the pair correlation function near nanoparticles. And the solvent atoms in nanolayer are mobilized and dynamically balanced. The results obtained in the present research are conducible to understanding the influence of AM of nanoparticles on the ETC of nanofluid.
2019, 68(5): 054701.
doi: 10.7498/aps.68.20181877
Abstract:
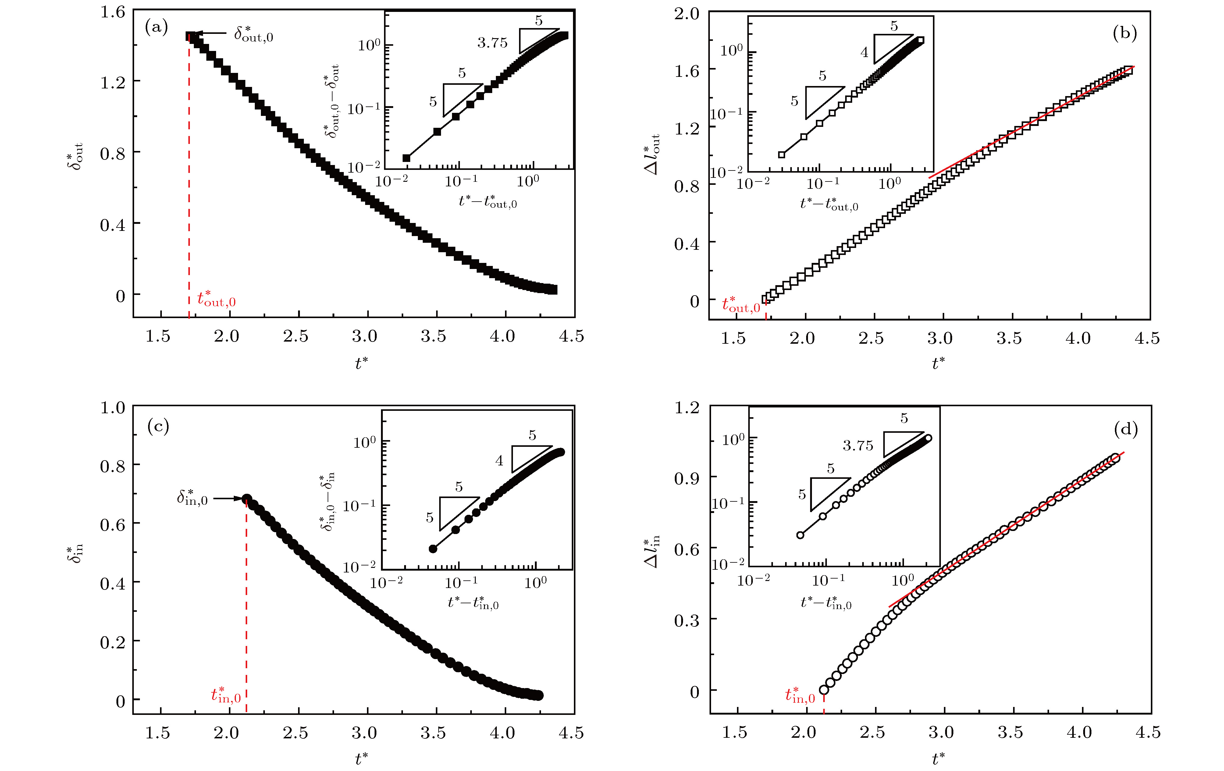
A scheme of passive breakup of generated droplet into two daughter droplets in a microfluidic Y-junction is characterized by the precisely controlling the droplet size distribution. Compared with the T-junction, the microfluidic Y-junction is very convenient for droplet breakup and successfully applied to double emulsion breakup. Therefore, it is of theoretical significance and engineering value for fully understanding the double emulsion breakup in a Y-junction. However, current research mainly focuses on the breakup of single phase droplet in the Y-junction. In addition, due to structural complexity, especially the existence of the inner droplet, more complicated hydrodynamics and interface topologies are involved in the double emulsion breakup in a Y-junction than the scenario of the common single phase droplet. For these reasons, an unsteady model of a double emulsion passing through microfluidic Y-junction is developed based on the volume of fluid method and numerically analyzed to investigate the dynamic behavior of double emulsion passing through a microfluidic Y-junction. The detailed hydrodynamic information about the breakup and non-breakup is presented, together with the quantitative evolutions of driving and resistance force as well as the droplet deformation characteristics, which reveals the hydrodynamics underlying the double emulsion breakup. The results indicate that the three flow regimes are observed when double emulsion passes through a microfluidic Y-junction: obstructed breakup, tunnel breakup and non-breakup; as the capillary number or initial length of the double emulsion decreases, the flow regime transforms from tunnel breakup to non-breakup; the upstream pressure and the Laplace pressure difference between the forefront and rear droplet interfaces, which exhibit a correspondence relationship, are regarded as the main driving force and the resistance to double emulsion breakup through a microfluidic Y-junction; the appearance of tunnels affects the double emulsion deformation, resulting in the slower squeezing speed and elongation speed of outer droplet as well as the slower squeezing speed of inner droplet; the critical threshold between breakup and non-breakup is approximately expressed as a power-law formula\begin{document}${l^*} = \beta C{a^b}$\end{document} ![]()
![]()
, while the threshold between tunnel breakup and obstructed breakup is approximately expressed as a linear formula \begin{document}${l^*} = \alpha $\end{document} ![]()
![]()
; comparing with the phase diagram for single phase droplet, the coefficients \begin{document}$\alpha $\end{document} ![]()
![]()
and \begin{document}$\beta $\end{document} ![]()
![]()
of the boundary lines between the different regimes in phase diagram for double emulsion are both increased.
A scheme of passive breakup of generated droplet into two daughter droplets in a microfluidic Y-junction is characterized by the precisely controlling the droplet size distribution. Compared with the T-junction, the microfluidic Y-junction is very convenient for droplet breakup and successfully applied to double emulsion breakup. Therefore, it is of theoretical significance and engineering value for fully understanding the double emulsion breakup in a Y-junction. However, current research mainly focuses on the breakup of single phase droplet in the Y-junction. In addition, due to structural complexity, especially the existence of the inner droplet, more complicated hydrodynamics and interface topologies are involved in the double emulsion breakup in a Y-junction than the scenario of the common single phase droplet. For these reasons, an unsteady model of a double emulsion passing through microfluidic Y-junction is developed based on the volume of fluid method and numerically analyzed to investigate the dynamic behavior of double emulsion passing through a microfluidic Y-junction. The detailed hydrodynamic information about the breakup and non-breakup is presented, together with the quantitative evolutions of driving and resistance force as well as the droplet deformation characteristics, which reveals the hydrodynamics underlying the double emulsion breakup. The results indicate that the three flow regimes are observed when double emulsion passes through a microfluidic Y-junction: obstructed breakup, tunnel breakup and non-breakup; as the capillary number or initial length of the double emulsion decreases, the flow regime transforms from tunnel breakup to non-breakup; the upstream pressure and the Laplace pressure difference between the forefront and rear droplet interfaces, which exhibit a correspondence relationship, are regarded as the main driving force and the resistance to double emulsion breakup through a microfluidic Y-junction; the appearance of tunnels affects the double emulsion deformation, resulting in the slower squeezing speed and elongation speed of outer droplet as well as the slower squeezing speed of inner droplet; the critical threshold between breakup and non-breakup is approximately expressed as a power-law formula
2019, 68(5): 057101.
doi: 10.7498/aps.68.20181962
Abstract:
According to the pseudopotential plane-wave method of first-principles calculation based on the spin density functional theory, the electronic structure, magnetic and optical properties of laminated molybdenum oxides (orthonormal and monoclinic MoO3) are studied theoretically. The interlaminar dissociation energy, band-structure, spin polarization, dielectric function, and the optical absorption/reflectivity in a charged state are systematically calculated to explore the potential technology applications of laminated MoO3 as electrochromic or electromagnetic materials in optoelectronic devices. The semilocal GGA-PW91 and nonlocal HSE06 exchange-correlation functional are employed to obtain the more accurate crystal structure and band gap respectively. The cleavage energy results indicate that the single layers can easily flake off from the bulk material of these molybdenum oxides. The band structure and atomic-projected density of states prove that the conduction band minimum and valence band maximum are mainly derived from the atom-orbitals bonding oriented in layer-plane, representing characteristic two-dimensional electronic structure. The spin polarized calculations imply that the evident magnetic-moment will engender in MoO6 octahedron layers of the perfect MoO3 due to the substantial spin polarization of Mo and vertex O atoms which are ferromagnetic-coupling to produce significant net magnetic moments, essentially accounting for the magnetic source of bulk MoO3. The Mo vacancy reduces the electronic density of states derived from the spin polarized d-orbitals, leading the net magnetic moment to decrease, while the OI vacancy can reduce the density of spin-down states in the MoO3, resulting in the significant improvement of net magnetic moment. The existence of OII vacancy leads to the energetic spin-splitting of O-2p and Mo-4d orbital states, and thus increasing net magnetic moment by raising the electronic density of polarized spin-up states. The electron spin polarization of Mo-4d orbital component dominantly contributes to the bulk magnetism. The laminated MoO3 presents a significant optical response in the visible region with obvious anisotropy of optical absorption spectra, which will represent a considerable blue shift or new low-frequency absorption peaks for visible light when loading charges. The calculation results demonstrate that the laminated molybdenum oxides have evident electrochromic property with controllable magnetic moment, which provides theoretical basis and technical data for developing novel functional materials with high performance to be used in electromagnetic or optoelectronic devices.
According to the pseudopotential plane-wave method of first-principles calculation based on the spin density functional theory, the electronic structure, magnetic and optical properties of laminated molybdenum oxides (orthonormal and monoclinic MoO3) are studied theoretically. The interlaminar dissociation energy, band-structure, spin polarization, dielectric function, and the optical absorption/reflectivity in a charged state are systematically calculated to explore the potential technology applications of laminated MoO3 as electrochromic or electromagnetic materials in optoelectronic devices. The semilocal GGA-PW91 and nonlocal HSE06 exchange-correlation functional are employed to obtain the more accurate crystal structure and band gap respectively. The cleavage energy results indicate that the single layers can easily flake off from the bulk material of these molybdenum oxides. The band structure and atomic-projected density of states prove that the conduction band minimum and valence band maximum are mainly derived from the atom-orbitals bonding oriented in layer-plane, representing characteristic two-dimensional electronic structure. The spin polarized calculations imply that the evident magnetic-moment will engender in MoO6 octahedron layers of the perfect MoO3 due to the substantial spin polarization of Mo and vertex O atoms which are ferromagnetic-coupling to produce significant net magnetic moments, essentially accounting for the magnetic source of bulk MoO3. The Mo vacancy reduces the electronic density of states derived from the spin polarized d-orbitals, leading the net magnetic moment to decrease, while the OI vacancy can reduce the density of spin-down states in the MoO3, resulting in the significant improvement of net magnetic moment. The existence of OII vacancy leads to the energetic spin-splitting of O-2p and Mo-4d orbital states, and thus increasing net magnetic moment by raising the electronic density of polarized spin-up states. The electron spin polarization of Mo-4d orbital component dominantly contributes to the bulk magnetism. The laminated MoO3 presents a significant optical response in the visible region with obvious anisotropy of optical absorption spectra, which will represent a considerable blue shift or new low-frequency absorption peaks for visible light when loading charges. The calculation results demonstrate that the laminated molybdenum oxides have evident electrochromic property with controllable magnetic moment, which provides theoretical basis and technical data for developing novel functional materials with high performance to be used in electromagnetic or optoelectronic devices.
2019, 68(5): 057301.
doi: 10.7498/aps.68.20181968
Abstract:
The spin caloritronics device, because of the characteristics of spintronics and thermoelectronics, plays an important role in human sustainable development. A lot of spin caloritronic devices based carbon materials (such as graphene nanoribbons, carbon nanotubes) have been reported. However, there are few studies of the thermal spin transport properties in a hybrid structure of single-walled carbon nanotubes and zigzag-edge BN nanoribbons, and the thermal spin transport mechanism of this structure is still unclear. In this paper, using the nonequilibrium Green’s function (NEGF) combined with the first principle calculations, the electronic structures and the thermal spin transport properties of the zigzag edge BN nanoribbons functionalized single-walled carbon nanotubes are studied. It is shown that the ZBNRs-N-(6, 6)SWCNT is a half-metal, while the nZBNRs-N-(6, 6)SWCNT are magnetic metals (n = 2−8), and the nZBNRs-B-(6, 6)SWCNT are bipolar magnetic semiconductors (n = 1−8). The 4ZBNRs-N-(4, 4)SWCNT and 4ZBNRs-B-(4, 4)SWCNT are half-metals, while the 4ZBNRs-B-(m, m)SWCNT (m = 5−9)are magnetic metals, and the 4ZBNRs-N-(m, m)SWCNT (m = 5−9) are bipolar magnetic semiconductors. Then, some novel spin caloritronicdevices are designed based on nZBNRs-N-(6, 6)SWCNT and nZBNRs-B-(6, 6)SWCNT (n = 1, 8). For the ZBNRs-B-(6, 6)SWCNT, when the temperature of the left electrode is increased above a critical value, the thermal spin-up current then increases remarkably from zero. Meanwhile the thermal spin-down current remains approximately equal to zero in the entire temperature region, thus indicating the formation of a thermal spin filter. For the 8ZBNRs-N-(6, 6)SWCNT and nZBNRs-B-(6, 6)SWCNT (n = 1, 8), when a temperature gradient is produced between two electrodes, the spin-up and spin-down currents are driven in the opposite directions, which indicates that the spin-dependent Seebeck effect (SDSE) appears. In order to obtain the fundamental mechanism of thermal spin filter effect and SDSE, the Landauer-Büttiker formalism is adopted. It is found that the currents (Iup and Idn) mainly depend on two factors: 1)the transport coefficient; 2) the difference between the Fermi-Dirac distributions of the left and right electrode. Additionally, the electron current Ie and the hole current Ih will be generated when a temperature gradient is produced between the left and right lead. Furthermore, the Iup and Idn have the opposite directions for the spin up transmission peaksbelow the Fermi level while they have the opposite directions for the spin down transmission peaks above the Fermi level in the transmission spectrum, which demonstrates the presence of the SDSE in the 8ZBNRs-B-(6, 6)SWCNT and nZBNRs-N-(6, 6)SWCNT (n = 1, 8). Finally, the results indicate that nZBNR-N-(m, m)SWCNT and nZBNR-B-(m, m)SWCNT can have potential applications in thermospin electronic devices.
The spin caloritronics device, because of the characteristics of spintronics and thermoelectronics, plays an important role in human sustainable development. A lot of spin caloritronic devices based carbon materials (such as graphene nanoribbons, carbon nanotubes) have been reported. However, there are few studies of the thermal spin transport properties in a hybrid structure of single-walled carbon nanotubes and zigzag-edge BN nanoribbons, and the thermal spin transport mechanism of this structure is still unclear. In this paper, using the nonequilibrium Green’s function (NEGF) combined with the first principle calculations, the electronic structures and the thermal spin transport properties of the zigzag edge BN nanoribbons functionalized single-walled carbon nanotubes are studied. It is shown that the ZBNRs-N-(6, 6)SWCNT is a half-metal, while the nZBNRs-N-(6, 6)SWCNT are magnetic metals (n = 2−8), and the nZBNRs-B-(6, 6)SWCNT are bipolar magnetic semiconductors (n = 1−8). The 4ZBNRs-N-(4, 4)SWCNT and 4ZBNRs-B-(4, 4)SWCNT are half-metals, while the 4ZBNRs-B-(m, m)SWCNT (m = 5−9)are magnetic metals, and the 4ZBNRs-N-(m, m)SWCNT (m = 5−9) are bipolar magnetic semiconductors. Then, some novel spin caloritronicdevices are designed based on nZBNRs-N-(6, 6)SWCNT and nZBNRs-B-(6, 6)SWCNT (n = 1, 8). For the ZBNRs-B-(6, 6)SWCNT, when the temperature of the left electrode is increased above a critical value, the thermal spin-up current then increases remarkably from zero. Meanwhile the thermal spin-down current remains approximately equal to zero in the entire temperature region, thus indicating the formation of a thermal spin filter. For the 8ZBNRs-N-(6, 6)SWCNT and nZBNRs-B-(6, 6)SWCNT (n = 1, 8), when a temperature gradient is produced between two electrodes, the spin-up and spin-down currents are driven in the opposite directions, which indicates that the spin-dependent Seebeck effect (SDSE) appears. In order to obtain the fundamental mechanism of thermal spin filter effect and SDSE, the Landauer-Büttiker formalism is adopted. It is found that the currents (Iup and Idn) mainly depend on two factors: 1)the transport coefficient; 2) the difference between the Fermi-Dirac distributions of the left and right electrode. Additionally, the electron current Ie and the hole current Ih will be generated when a temperature gradient is produced between the left and right lead. Furthermore, the Iup and Idn have the opposite directions for the spin up transmission peaksbelow the Fermi level while they have the opposite directions for the spin down transmission peaks above the Fermi level in the transmission spectrum, which demonstrates the presence of the SDSE in the 8ZBNRs-B-(6, 6)SWCNT and nZBNRs-N-(6, 6)SWCNT (n = 1, 8). Finally, the results indicate that nZBNR-N-(m, m)SWCNT and nZBNR-B-(m, m)SWCNT can have potential applications in thermospin electronic devices.
2019, 68(5): 057302.
doi: 10.7498/aps.68.20182088
Abstract:
In recent years, amorphous InGaZnO thin-film transistor (InGaZnO TFT) has attracted intensive attention. Due to its high mobility, low off-state current, and excellent uniformity over large fabrication area, the InGaZnO TFTs promise to replace silicon-based TFTs in flat panel displays, optical image sensors, touch sensing and fingerprint sensing area. The on-state performances of InGaZnO TFT are used in thin film transistor liquid crystal display, active-matrix organic light emitting display, etc. Consequently, numerous on-current models have been proposed previously. However, for lots of the emerging sensing applications such as optical image sensors, the leakage current of InGaZnO TFTs is critical. Previous literature has shown that the leakage current generation mechanisms in TFTs include trap-assisted thermal emission, trap-assisted field emission, inter-band tunneling, and auxiliary thermal electron field emission containing Poole-Frenkel effect. However, up to now, there has been few reports on the leakage current model of InGaZnO TFT, which hinders further the development of emerging applications in InGaZnO TFTs for sensor and imagers integrated in display panels. In this paper, the leakage current model of InGaZnO TFT is established on the basis of carrier generation recombination rate. The feasibility of the proposed model is proved by comparing the TCAD simulations with the measured results. In addition, the influences of geometrical parameters on the leakage current of InGaZnO TFT, i.e. the channel width, the active layer thickness, and the gate dielectric thickness, are analyzed in detail. This research gives insightful results for designing the sensors and circuits by using the InGaZnO TFTs.
2019, 68(5): 057701.
doi: 10.7498/aps.68.20181790
Abstract:
Porous piezoelectric ceramic shows some advantages, such as high hydrostatic figure of merit, low acoustic impedance, and excellent piezoelectric sensitivity, compared with its compact counterpart. These merits make it used widely in various electronic devices, such as underwater acoustic transducer, ultrasonic transducer, and sensor. Currently, the researches of porous piezoelectric ceramics mainly focus on the Pb(Zr, Ti)O3 ceramic, which is harmful to environment and human health. In this paper, the lead-free porous barium titanate (BaTiO3) ceramic doped with dextrin is prepared by using the conventional solid-state method. The effects of sintered temperature and dextrin content on the structure, porosity, and morphology of the pores are studied experimentally and theoretically. Also, the relationship between porosity and dielectric, piezoelectricity, electro-mechanical coupling factor, acoustic impedance, and hydrostatic figure of merit are explored. The X-ray diffraction pattern shows that the lattice constants of ceramic are not affected by dextrin. The BaTiO3 ceramic demonstrates single perovskite structure with P4mm space group. The SEM micrograph reveals that the porous ceramic has three-dimensional open pores with the size of 1−7\begin{document}${\text{μ}}{\rm m}$\end{document} ![]()
![]()
. Sintering temperature plays a key role in porosity in the BaTiO3 ceramic. The porosity of ceramic gradually declines with sintered temperature increasing from 1250 to 1300 °C. The max porosity of up to 58% is obtained in 10% dextrin-doped BaTiO3 ceramic sintered at 1250 °C. The porosity of 5% dextrin-doped ceramic is smaller than that of the undoped one when the sintering temperature is 1250 °C or 1280 °C, indicating that a small amount of dextrin is beneficial to the densification of BaTiO3 ceramic. Both the dielectric and piezoelectric property gradually decrease with dextrin content increasing. For the BaTiO3 ceramic, high sintering temperature contributes to better dielectric and piezoelectric property than low temperature. Here, the ceramic with 10% of dextrin sintered at 1250 °C exhibits the highest hydrostatic figure of merit (8376 × 10–15 Pa–1) and the lowest acoustic impedance (~ 2.84 Mrayls). The binding force between grains is also obviously enhanced in the ceramic sintered at 1280 °C, which is very helpful for their mechanical strength improvement. The excellent properties of the BaTiO3 ceramic doped with dextrin indicate its potential applications in sensor and hydrophone.
Porous piezoelectric ceramic shows some advantages, such as high hydrostatic figure of merit, low acoustic impedance, and excellent piezoelectric sensitivity, compared with its compact counterpart. These merits make it used widely in various electronic devices, such as underwater acoustic transducer, ultrasonic transducer, and sensor. Currently, the researches of porous piezoelectric ceramics mainly focus on the Pb(Zr, Ti)O3 ceramic, which is harmful to environment and human health. In this paper, the lead-free porous barium titanate (BaTiO3) ceramic doped with dextrin is prepared by using the conventional solid-state method. The effects of sintered temperature and dextrin content on the structure, porosity, and morphology of the pores are studied experimentally and theoretically. Also, the relationship between porosity and dielectric, piezoelectricity, electro-mechanical coupling factor, acoustic impedance, and hydrostatic figure of merit are explored. The X-ray diffraction pattern shows that the lattice constants of ceramic are not affected by dextrin. The BaTiO3 ceramic demonstrates single perovskite structure with P4mm space group. The SEM micrograph reveals that the porous ceramic has three-dimensional open pores with the size of 1−7
2019, 68(5): 057901.
doi: 10.7498/aps.68.20182099
Abstract:
Femtosecond laser ablation possesses a variety of applications due to its better control, high power density, smaller heat-affected zone, minimal collateral material damage, lower ablation thresholds, and excellent mechanical properties. The non-Fourier effect in heat conduction becomes significant when the heating time becomes extremely small. In order to analyze the femtosecond laser ablation process, a hyperbolic heat conduction model is established based on the dual-phase-lag model. Taken into account in the model are the effect of heat source, laser heating of the target, the evaporation and phase explosion of the target material, the formation and expansion of the plasma plume, and interaction of the plasma plume with the incoming laser. Temperature-dependent optical and thermophysical properties are also considered in the model due to the fact that the properties of the target will change over a wide range in the femtosecond laser ablation process. The effects of the plasma shielding, the ratio of the two delay times, and laser fluence are discussed and the effectiveness of the model is verified by comparing the simulation results with the experimental results. The results show that the plasma shielding has a great influence on the femtosecond laser ablation process, especially when the laser fluence is high. The ratio between the two delay times (the ratio B) has a great influence on the temperature characteristic and ablation characteristic in the femtosecond laser ablation process. The augment of the ratio B will increase the degree of thermal diffusion, which will lower down the surface temperature and accelerate the ablation rate after the ablation has begun. The ablation mechanism of femtosecond laser ablation is dominated by phase explosion. The heat affected zone of femtosecond laser ablation is small, and the heat affected zone is less affected by laser fluence. The comparison between the simulation results and the experimental results in the literature shows that the model based on the dual-phase-lag model can effectively simulate the femtosecond laser ablation process.
Femtosecond laser ablation possesses a variety of applications due to its better control, high power density, smaller heat-affected zone, minimal collateral material damage, lower ablation thresholds, and excellent mechanical properties. The non-Fourier effect in heat conduction becomes significant when the heating time becomes extremely small. In order to analyze the femtosecond laser ablation process, a hyperbolic heat conduction model is established based on the dual-phase-lag model. Taken into account in the model are the effect of heat source, laser heating of the target, the evaporation and phase explosion of the target material, the formation and expansion of the plasma plume, and interaction of the plasma plume with the incoming laser. Temperature-dependent optical and thermophysical properties are also considered in the model due to the fact that the properties of the target will change over a wide range in the femtosecond laser ablation process. The effects of the plasma shielding, the ratio of the two delay times, and laser fluence are discussed and the effectiveness of the model is verified by comparing the simulation results with the experimental results. The results show that the plasma shielding has a great influence on the femtosecond laser ablation process, especially when the laser fluence is high. The ratio between the two delay times (the ratio B) has a great influence on the temperature characteristic and ablation characteristic in the femtosecond laser ablation process. The augment of the ratio B will increase the degree of thermal diffusion, which will lower down the surface temperature and accelerate the ablation rate after the ablation has begun. The ablation mechanism of femtosecond laser ablation is dominated by phase explosion. The heat affected zone of femtosecond laser ablation is small, and the heat affected zone is less affected by laser fluence. The comparison between the simulation results and the experimental results in the literature shows that the model based on the dual-phase-lag model can effectively simulate the femtosecond laser ablation process.
2019, 68(5): 058101.
doi: 10.7498/aps.68.20182090
Abstract:
In this paper, an elliptical dielectric graphene-coated nanowire optical waveguide is designed. In the elliptical cylinder coordinate system, the dispersion equation is obtained by using the separation variable method with the Mathieu functions. The effective refractive indexes and the field distributions are obtained from the dispersion equation by using the numerical method, then the propagation lengths are obtained. The influence of the operating wavelength, structure parameters and the Fermi energy of graphene on the mode characteristics are investigated. What is more, the figure of merit of the first five modes are calculated too. The influence of the operating wavelength and the graphene Fermi energy on the mode characteristics of circular nanowires and that of elliptical nanowires are compared. The results show that as the operating wavelength increases from 4.3\begin{document}${\text{μ}}{\rm{m}}$\end{document} ![]()
![]()
to 8.8 \begin{document}${\text{μ}}{\rm{m}}$\end{document} ![]()
![]()
, the real part of the effective refractive index decreases monotonically, the propagation lengths of the fundamental mode and the 1st order modes increase, and the 2nd order modes first increase and then decrease. When changing the elliptical nanowire structure parameters—the length of semi-major axis and semi-minor axis, there are slight influence on the mode characteristics of the fundamental mode and the 1st order modes, but greater influence on those of the 2nd order modes. As the Fermi energy of graphene increases from 0.45 eV to 0.72 eV, in the first five modes, the real part of the effective refractive index decreases, the propagation lengths of the fundamental mode and the 1st order modes increase, the propagation lengths of the 2nd order modes decrease. In addition, the propagation length approaches to 2 \begin{document}${\text{μ}}{\rm{m}}$\end{document} ![]()
![]()
approximately. When the semi-minor axis b = 100 nm and \begin{document}${E_{\rm F}} \;{\rm{ = 0}}{\rm{.5}}\;{\rm{eV}}$\end{document} ![]()
![]()
, the curves of the circular nanowire (a = 100 nm) and the elliptical nanowire (a = 140 nm), the real part of the effective refractive index and propagation length with the operating wavelength and the Fermi energy of graphene are compared. Then, the advantages of elliptical nanowire over the circular nanowire are verified. The results of the separation variable method are in good agreement with the results of the finite element method. This work can provide a theoretical basis for the design, fabrication and application of optical waveguides based on graphene-coated elliptical dielectric nanowires.
In this paper, an elliptical dielectric graphene-coated nanowire optical waveguide is designed. In the elliptical cylinder coordinate system, the dispersion equation is obtained by using the separation variable method with the Mathieu functions. The effective refractive indexes and the field distributions are obtained from the dispersion equation by using the numerical method, then the propagation lengths are obtained. The influence of the operating wavelength, structure parameters and the Fermi energy of graphene on the mode characteristics are investigated. What is more, the figure of merit of the first five modes are calculated too. The influence of the operating wavelength and the graphene Fermi energy on the mode characteristics of circular nanowires and that of elliptical nanowires are compared. The results show that as the operating wavelength increases from 4.3
2019, 68(5): 059401.
doi: 10.7498/aps.68.20181925
Abstract:
The charging characteristics and microscopic mechanism of space electrons irradiated polymers are the basis for the study and protection of spacecraft polymer charging and discharging characteristics. Monte Carlo method is used to simulate the scattering process of space electrons, and the fast secondary electron model simulates the generation of secondary electrons. The finite difference method is used to solve the charge transport process of charge continuity equation, current density equation and Poisson equation. The capture process realizes the transmission process of space electrons through the equation based on the Poole-French effect. Based on the electronic scattering/transport synchronization model and combined with the geostationary earth orbit electronic spectrum distribution theoretical formula of the French National Aeronautics and Space Research Agency (ONERA) and the ground experimental method of the agency (SIRNE), a scattering model based on the electron spectrum distribution in geosynchronous orbit is established. The numerical simulation of the charging process of space electrons irradiated polymers is carried out. The space charge density, space potential, electric field distribution and the space potential of polymer sample under the irradiation of single- and multi-energy electrons in space environment are obtained. The relationship among charging characteristics, microscopic parameters and surface potential of the sample is clarified. The surface potential characteristics of space electrons irradiated polymer are consistent with the experimental results. The single energy charge potential and strength are higher than those of multi-energy electrons. When the charging reaches a steady state, the electron mobility is smaller (less than 10–11 cm2·V–1·s–1), and the absolute value of the space potential is significantly enhanced with the decrease of the electron mobility. When the composite rate is large (greater than 10–14 cm3·s–1), the absolute value of the spatial potential increases with recombination rate increasing. The study of the charging characteristics of space electrons is not comprehensive because only the mode of single-energy electron irradiation is taken into consideration. The research results are of great scientific significance and practical value for revealing the charging characteristics and microscopic mechanism of space electrons irradiated polymer and improving the research level of spacecraft charge and discharge fault mechanism.
The charging characteristics and microscopic mechanism of space electrons irradiated polymers are the basis for the study and protection of spacecraft polymer charging and discharging characteristics. Monte Carlo method is used to simulate the scattering process of space electrons, and the fast secondary electron model simulates the generation of secondary electrons. The finite difference method is used to solve the charge transport process of charge continuity equation, current density equation and Poisson equation. The capture process realizes the transmission process of space electrons through the equation based on the Poole-French effect. Based on the electronic scattering/transport synchronization model and combined with the geostationary earth orbit electronic spectrum distribution theoretical formula of the French National Aeronautics and Space Research Agency (ONERA) and the ground experimental method of the agency (SIRNE), a scattering model based on the electron spectrum distribution in geosynchronous orbit is established. The numerical simulation of the charging process of space electrons irradiated polymers is carried out. The space charge density, space potential, electric field distribution and the space potential of polymer sample under the irradiation of single- and multi-energy electrons in space environment are obtained. The relationship among charging characteristics, microscopic parameters and surface potential of the sample is clarified. The surface potential characteristics of space electrons irradiated polymer are consistent with the experimental results. The single energy charge potential and strength are higher than those of multi-energy electrons. When the charging reaches a steady state, the electron mobility is smaller (less than 10–11 cm2·V–1·s–1), and the absolute value of the space potential is significantly enhanced with the decrease of the electron mobility. When the composite rate is large (greater than 10–14 cm3·s–1), the absolute value of the spatial potential increases with recombination rate increasing. The study of the charging characteristics of space electrons is not comprehensive because only the mode of single-energy electron irradiation is taken into consideration. The research results are of great scientific significance and practical value for revealing the charging characteristics and microscopic mechanism of space electrons irradiated polymer and improving the research level of spacecraft charge and discharge fault mechanism.
2019, 68(5): 059501.
doi: 10.7498/aps.68.20181933
Abstract:
Satellite infrared spectra based on ground-based detector are affected by complex factors such as satellite surface temperature, solar radiation, observation angle, etc, whose change cannot be detected in external field experiment. Therefore, it is impossible to analyze what are the main factors that affect the satellite infrared spectra. At the same time, due to the lack of physical information about the satellites through the external field experiment, the validity and physical significance of retrieving features from satellite infrared spectrum cannot be explained. In view of the above problem, a method to model and analyze satellite thermal infrared spectra based on ground-based detector is proposed. It is a feasible research method to accurately establish satellite thermal infrared spectrum model based on the ground detection, then to analyze the simulated infrared spectrum data. Firstly, considering the solar radiation, earth radiation, detectable range of the satellite on the detector, observation angle, atmospheric attenuation, etc., the satellite thermal infrared spectrum model can be established more accurately. Then, taking FY-3 satellite for example, the physical and orbital parameters of the satellite are set up, and the 3−14\begin{document}${\text{μ}}{\rm m}$\end{document} ![]()
![]()
infrared irradiance of the satellite on the pupil of the detector is calculated by using the model. Meanwhile, the main factors affecting the infrared spectrum of the satellite are analyzed. Finally, the equivalent temperature and equivalent area are extracted by fitting the satellite infrared spectrum with the Planck formula. And they are compared with the physical properties of the satellite. The results show that among the various factors, with the satellite’ movement, the change of the visible state of the satellite induced by the satellite’s movement is the main factor that affects the satellite infrared spectrum. The physical meanings of the equivalent temperature and equivalent area can also be explained effectively. The equivalent temperature is close to the temperatures of the solar panels, and their temperature difference is only about 15 K. The change of equivalent area is consistent with that of the satellite projected area. Moreover, it is also found that there is a large temperature difference between the solar panels and the body, which makes their infrared spectra obviously different. Therefore, it is hopeful to obtain the areas and temperatures of the solar panels and the body respectively. This research can make up for the shortcomings of the external field experiments and promote the monitoring and recognizing of satellites by ground-based infrared detectors.
Satellite infrared spectra based on ground-based detector are affected by complex factors such as satellite surface temperature, solar radiation, observation angle, etc, whose change cannot be detected in external field experiment. Therefore, it is impossible to analyze what are the main factors that affect the satellite infrared spectra. At the same time, due to the lack of physical information about the satellites through the external field experiment, the validity and physical significance of retrieving features from satellite infrared spectrum cannot be explained. In view of the above problem, a method to model and analyze satellite thermal infrared spectra based on ground-based detector is proposed. It is a feasible research method to accurately establish satellite thermal infrared spectrum model based on the ground detection, then to analyze the simulated infrared spectrum data. Firstly, considering the solar radiation, earth radiation, detectable range of the satellite on the detector, observation angle, atmospheric attenuation, etc., the satellite thermal infrared spectrum model can be established more accurately. Then, taking FY-3 satellite for example, the physical and orbital parameters of the satellite are set up, and the 3−14
2019, 68(5): 053301.
doi: 10.7498/aps.68.20182015
Abstract:
An optimization method is used to obtain the longest effective afterglow time in the rare earth ions doped long lasting phosphors. The effective afterglow time is defined as the time for the intensity to decays to 10% of the initial intensity. In this paper, we choose the Eu2+ and Dy3+ coped Sr2MgSi2O7 as the experimental objects. In order to obtain the longest effective afterglow time of Sr2MgSi2O7:Eu2+, Dy3+ phosphor, the experiment is optimized by quadratic general rotation combination design. The Sr2MgSi2O7:Eu2+, Dy3+ phosphor are synthesized via a solid-state reaction. The effective afterglow time is obtained by the afterglow decay curve. A binary quadratic regression equation model relating the rare earth ions Eu2+/Dy3+ doping concentrations to the effective afterglow time is established. The genetic algorithm is used to solve the equation. The optimal doping concentration of Eu2+ and Dy3+ are 0.5 mol% and 1.0 mol%, respectively. The theoretical maximum value of effective afterglow time is calculated to be 321 s. The phosphor with the optimal doping concentration Sr2MgSi2O7:0.5 mol% Eu2+, 1.0 mol% Dy3+ are synthesized by the same method as that of synthesizing the frontal samples. The X-ray diffraction shows that the optimal sample prepared is of pure phase, and the doping ions have no effect on the lattice structure of the matrix. A characteristic emission at 465 nm due to the 4f65d1−4f7 transition of Eu2+is observed under the 370 nm excitation. The afterglow curve of the optimal sample is measured and the effective afterglow time is 333 s which has a good match with the theoretically calculated value of 321 s. The thermoluminescence spectrum of the optimal phosphor is measured, and the trap depth is calculated to be 0.688 eV according to the Chen’s model. Moreover, the long-lasting luminescence process of Eu2+ as the luminescence center of Sr2MgSi2O7 matrix is discussed in the energy level diagram.
An optimization method is used to obtain the longest effective afterglow time in the rare earth ions doped long lasting phosphors. The effective afterglow time is defined as the time for the intensity to decays to 10% of the initial intensity. In this paper, we choose the Eu2+ and Dy3+ coped Sr2MgSi2O7 as the experimental objects. In order to obtain the longest effective afterglow time of Sr2MgSi2O7:Eu2+, Dy3+ phosphor, the experiment is optimized by quadratic general rotation combination design. The Sr2MgSi2O7:Eu2+, Dy3+ phosphor are synthesized via a solid-state reaction. The effective afterglow time is obtained by the afterglow decay curve. A binary quadratic regression equation model relating the rare earth ions Eu2+/Dy3+ doping concentrations to the effective afterglow time is established. The genetic algorithm is used to solve the equation. The optimal doping concentration of Eu2+ and Dy3+ are 0.5 mol% and 1.0 mol%, respectively. The theoretical maximum value of effective afterglow time is calculated to be 321 s. The phosphor with the optimal doping concentration Sr2MgSi2O7:0.5 mol% Eu2+, 1.0 mol% Dy3+ are synthesized by the same method as that of synthesizing the frontal samples. The X-ray diffraction shows that the optimal sample prepared is of pure phase, and the doping ions have no effect on the lattice structure of the matrix. A characteristic emission at 465 nm due to the 4f65d1−4f7 transition of Eu2+is observed under the 370 nm excitation. The afterglow curve of the optimal sample is measured and the effective afterglow time is 333 s which has a good match with the theoretically calculated value of 321 s. The thermoluminescence spectrum of the optimal phosphor is measured, and the trap depth is calculated to be 0.688 eV according to the Chen’s model. Moreover, the long-lasting luminescence process of Eu2+ as the luminescence center of Sr2MgSi2O7 matrix is discussed in the energy level diagram.
2019, 68(5): 055201.
doi: 10.7498/aps.68.20182122
Abstract:
In the recent years, the theory and technologies of electromagnetic computational imaging have been well developed and several novel imaging methods have been proposed, one of which is known as the microwave imaging under random field illumination. In order to solve the matrix equation of imaging model, the key of such an imaging system is to generate the random electromagnetic radiation field distribution, implementing the independent measurements under random field illuminations. In this work, an optimal microwave imaging system for the desired imaging region and resolution is theoretically analyzed and experimentally implemented. In the randomness analysis, the correlation between different measurements is evaluated by the singular value decomposition, which is also adopted as a criterion for choosing the optimal parameters of the imaging system. Based on random field illuminations generated by the least number of antenna elements, a full-rank matrix equation can be used to reconstruct the object by direct matrix inversion, which can be completed in nearly real-time once the system calibration is implemented in advance. The numerical simulation and experimental investigation are performed, and the results prove the effectiveness of the proposed optimal imaging system. By using the traditional array theory, it is found that for an N-element phase array, N illuminations with each element excited by a single frequency, equal amplitude and randomized 0 or\begin{document}${\text{π}}$\end{document} ![]()
![]()
phase signal will result in N independent measurements. Theoretically, any additional measurement under random illumination will be correlated with the previous N measurements. Since the random field illumination is obtained by array antennas with 1-bit random phase modulation, the power radiated by each transmitting element is not sacrificed, resulting in an optimal power efficiency of the imaging system compared with those of earlier metasurface-based imaging systems. Besides, a single frequency signal source is used in the system, which also realizes the optimal spectrum efficiency. In conclusion, there are two major innovations of the proposed imaging system: 1) the completely random field illuminations based on 1-bit phase modulation; 2) the approach to optimizing the system on desired demand. The compact and low-cost imaging system promises to have various imaging applications, such as public security and indoor localization.
In the recent years, the theory and technologies of electromagnetic computational imaging have been well developed and several novel imaging methods have been proposed, one of which is known as the microwave imaging under random field illumination. In order to solve the matrix equation of imaging model, the key of such an imaging system is to generate the random electromagnetic radiation field distribution, implementing the independent measurements under random field illuminations. In this work, an optimal microwave imaging system for the desired imaging region and resolution is theoretically analyzed and experimentally implemented. In the randomness analysis, the correlation between different measurements is evaluated by the singular value decomposition, which is also adopted as a criterion for choosing the optimal parameters of the imaging system. Based on random field illuminations generated by the least number of antenna elements, a full-rank matrix equation can be used to reconstruct the object by direct matrix inversion, which can be completed in nearly real-time once the system calibration is implemented in advance. The numerical simulation and experimental investigation are performed, and the results prove the effectiveness of the proposed optimal imaging system. By using the traditional array theory, it is found that for an N-element phase array, N illuminations with each element excited by a single frequency, equal amplitude and randomized 0 or
2019, 68(5): 054101.
doi: 10.7498/aps.68.20181615
Abstract:
In order to design a tunable linear-to-circular polarization converter in microwave band, an ultra-broadband linear-to-circular polarization converter (LCPC) based on multiphysics regulation is proposed and studied by combining solid state plasma and vanadium dioxide (VO2) in this article. By using the electric control way to control the states of the solid plasma resonator, the solid state plasma can generate excitation and non-excitation state. By using the temperature (T) control way to regulate the phase transition state of the VO2 resonator, the VO2 can generate insulating and metallic state. The purpose of dynamic shift of the proposed LCPC′s operating band can be realized. The polarization conversion rate curve, reflection phase curve, the axial ratio curve and the surface current diagram of the proposed LCPC are analyzed and simulated by the full-wave simulation software HFSS and the effects of parameters r1 and r3 on the axial ratio are also discussed. When none of all the solid plasma regions are excited and T < 68 ℃ , the presented LCPC is in No. 1 state. On the basis of No. 1 state, if all the solid state plasma are excited, the presented LCPC is in No. 2 state. Similarly, on the basis of No. 1 state, the presented LCPC will be transformed to No. 3 state when T ≥ 68 ℃. The axial ratio band which is less than 3 dB (3 dB AR band) is 14.3−29.7 GHz (the relative bandwidth is 70%) in No. 2 state. The 3 dB AR bands which are 14.4−23.4 GHz and 28.6−35.9 GHz (the relative bandwidths are 47.61% and 22.64%) show that the proposed LCPC has the ability to shift the working band to high frequency range. When switching the LCPC to No. 3 state, the 3 dB AR bands which are 8.4−11.2 GHz and 18.7−29.5 GHz (the relative bandwidths are 28.57% and 44.81%) are shifted to low frequency region. Compared with traditional LCPC, our design has the advantages of diverse control means, wide bandwidth, flexible design and strong functionality. At the same time, this LCPC presents a new design method and idea for multiphysical field regulated devices.
In order to design a tunable linear-to-circular polarization converter in microwave band, an ultra-broadband linear-to-circular polarization converter (LCPC) based on multiphysics regulation is proposed and studied by combining solid state plasma and vanadium dioxide (VO2) in this article. By using the electric control way to control the states of the solid plasma resonator, the solid state plasma can generate excitation and non-excitation state. By using the temperature (T) control way to regulate the phase transition state of the VO2 resonator, the VO2 can generate insulating and metallic state. The purpose of dynamic shift of the proposed LCPC′s operating band can be realized. The polarization conversion rate curve, reflection phase curve, the axial ratio curve and the surface current diagram of the proposed LCPC are analyzed and simulated by the full-wave simulation software HFSS and the effects of parameters r1 and r3 on the axial ratio are also discussed. When none of all the solid plasma regions are excited and T < 68 ℃ , the presented LCPC is in No. 1 state. On the basis of No. 1 state, if all the solid state plasma are excited, the presented LCPC is in No. 2 state. Similarly, on the basis of No. 1 state, the presented LCPC will be transformed to No. 3 state when T ≥ 68 ℃. The axial ratio band which is less than 3 dB (3 dB AR band) is 14.3−29.7 GHz (the relative bandwidth is 70%) in No. 2 state. The 3 dB AR bands which are 14.4−23.4 GHz and 28.6−35.9 GHz (the relative bandwidths are 47.61% and 22.64%) show that the proposed LCPC has the ability to shift the working band to high frequency range. When switching the LCPC to No. 3 state, the 3 dB AR bands which are 8.4−11.2 GHz and 18.7−29.5 GHz (the relative bandwidths are 28.57% and 44.81%) are shifted to low frequency region. Compared with traditional LCPC, our design has the advantages of diverse control means, wide bandwidth, flexible design and strong functionality. At the same time, this LCPC presents a new design method and idea for multiphysical field regulated devices.
2019, 68(5): 054301.
doi: 10.7498/aps.68.20182123
Abstract:
Local control of sound around human ears in complex acoustic environments is important for both active noise control and sound reproduction. Two typical active noise control approaches for this objective are active headrest systems and virtual sound barrier systems. In this paper, the history and the present status for the active headrest systems and virtual sound barrier systems are briefed first, then the theoretical principles, the design methods and the applications of these approaches are reviewed. Their advantages and limitations are discussed, and finally, the currently existing problems and future research directions are presented. The feasibility of these approaches to generating a quiet zone near a human ear has been verified by the theoretical research, numerical simulations and experiments. The active headrest systems require less control sources and are simpler for implementation; however, they suffer the problem of small-sized quiet zones. This results in the restrictions on the head movement since the error sensor needs to be close to the human ear to obtain better noise reduction performance. Based on the virtual sensor technology, a physical error sensor can be placed farther away from the human head, and create the quiet zone at the virtual sensor position near the human ear. Moreover, combined with the virtual sensor technology and the head-tracking technology, an active headrest system can generate a moving zone of quiet following the head movement, and the noise reduction can be achieved in a middle-to-high frequency range. A virtual sound barrier system reduces the sound pressure inside a volume, through controlling the sound pressure and normal gradient on the boundary of the volume. Two main design methods are the expansion method of the primary sound field which is suitable for steady primary sound fields, and the least mean square method which is applicable to time-varying primary sound fields. It can generate larger quiet zone at the cost of more control sources, more complexity and high cost. Optimizing cost functions and control sources and using hybrid active and passive control techniques can increase the effective frequency range and reduce the number of control sources. Although the feasibility of these two systems has been verified, more research work is needed to develop practical systems. An active-passive hybrid structure for specific application scenarios, which combines these two approaches together as well as the virtual sensor technology and sound field estimation technology, may most likely be practical methods to achieve effective noise reduction near the human ear in a complex sound field in the near future.
Local control of sound around human ears in complex acoustic environments is important for both active noise control and sound reproduction. Two typical active noise control approaches for this objective are active headrest systems and virtual sound barrier systems. In this paper, the history and the present status for the active headrest systems and virtual sound barrier systems are briefed first, then the theoretical principles, the design methods and the applications of these approaches are reviewed. Their advantages and limitations are discussed, and finally, the currently existing problems and future research directions are presented. The feasibility of these approaches to generating a quiet zone near a human ear has been verified by the theoretical research, numerical simulations and experiments. The active headrest systems require less control sources and are simpler for implementation; however, they suffer the problem of small-sized quiet zones. This results in the restrictions on the head movement since the error sensor needs to be close to the human ear to obtain better noise reduction performance. Based on the virtual sensor technology, a physical error sensor can be placed farther away from the human head, and create the quiet zone at the virtual sensor position near the human ear. Moreover, combined with the virtual sensor technology and the head-tracking technology, an active headrest system can generate a moving zone of quiet following the head movement, and the noise reduction can be achieved in a middle-to-high frequency range. A virtual sound barrier system reduces the sound pressure inside a volume, through controlling the sound pressure and normal gradient on the boundary of the volume. Two main design methods are the expansion method of the primary sound field which is suitable for steady primary sound fields, and the least mean square method which is applicable to time-varying primary sound fields. It can generate larger quiet zone at the cost of more control sources, more complexity and high cost. Optimizing cost functions and control sources and using hybrid active and passive control techniques can increase the effective frequency range and reduce the number of control sources. Although the feasibility of these two systems has been verified, more research work is needed to develop practical systems. An active-passive hybrid structure for specific application scenarios, which combines these two approaches together as well as the virtual sensor technology and sound field estimation technology, may most likely be practical methods to achieve effective noise reduction near the human ear in a complex sound field in the near future.









