2023 Vol. 72, No. 7
column
- VIEWS AND PERSPECTIVES
- INVITED REVIEW
- SPECIAL TOPIC—Spin and chiral effects in high energy heavy ion collisions
- SPECIAL TOPIC—Spin and chiral effects in high energy heavy ion collisions • COVER ARTICLE
- DATA PAPERS
- GENERAL
- ATOMIC AND MOLECULAR PHYSICS
- ELECTROMAGNETISM, OPTICS, ACOUSTICS, HEAT TRANSFER, CLASSICAL MECHANICS, AND FLUID DYNAMICS
- PHYSICS OF GASES, PLASMAS, AND ELECTRIC DISCHARGES
- CONDENSED MATTER: STRUCTURAL, MECHANICAL, AND THERMAL PROPERTIES
- CONDENSED MATTER: ELECTRONIC STRUCTURE, ELECTRICAL, MAGNETIC, AND OPTICAL PROPERTIES
- INTERDISCIPLINARY PHYSICS AND RELATED AREAS OF SCIENCE AND TECHNOLOGY
- GEOPHYSICS, ASTRONOMY, AND ASTROPHYSICS
Display Method:
2023, 72(7): 070303.
doi: 10.7498/aps.72.20230330
Abstract:
By using a superconducting processor, Google Quantum AI group demonstrated that a logic qubit realized by surface code of quantum error correction performs better when the number of physical qubits increases. Two surface codes to encode logic qubits for scaling are realized experimentally, with multiple cycles of quantum error correcting assisted by ancillary qubits. This result can be considered as an important step toward fault-tolerant quantum computers. In this review paper, we introduce briefly the mechanism of quantum error correction. As an example, Shor’s nine-qubit error correction code is explained. Then, the new experiments of Google quantum AI group are introduced to show their significance in scaling. The advances in other quantum error correction experiments are also reviewed. Finally, the development of quantum computers is discussed.
By using a superconducting processor, Google Quantum AI group demonstrated that a logic qubit realized by surface code of quantum error correction performs better when the number of physical qubits increases. Two surface codes to encode logic qubits for scaling are realized experimentally, with multiple cycles of quantum error correcting assisted by ancillary qubits. This result can be considered as an important step toward fault-tolerant quantum computers. In this review paper, we introduce briefly the mechanism of quantum error correction. As an example, Shor’s nine-qubit error correction code is explained. Then, the new experiments of Google quantum AI group are introduced to show their significance in scaling. The advances in other quantum error correction experiments are also reviewed. Finally, the development of quantum computers is discussed.
2023, 72(7): 070702.
doi: 10.7498/aps.72.20230024
Abstract:
Aqueous alkali-metal-ion batteries are a popular frontier research area, expected to apply for large-scale energy storage due to their high safety, low cost, and environmental friendliness. Depending on diversified social development, batteries ought to function in various ambient, including polar regions and high-altitude locales. Delivering excellent electrochemical performance at low temperatures is crucial to develop aqueous alkali-metal-ion batteries. This review summarizes the representative research progress in the field of aqueous low-temperature alkali-metal-ion batteries in recent years, based on the subjects of electrolyte, electrode, and interface. Firstly, we discussed the challenges of aqueous alkali-metal-ion batteries operated at low temperatures and the corresponding failure mechanisms. At subzero temperatures, aqueous alkali-metal-ion batteries couldn't work or exhibit little capacity, arising from the frozen electrolytes, electrode materials with slow kinetics, and huge interface impedances, which seriously limits their wide application in low-temperature conditions. Then, combined with the latest research work, various strategies have been investigated to improve the electrochemical performance of batteries at low temperatures. To date, the strategies for reducing the freezing point of electrolytes have primarily focused on breaking H-bonds between free water molecules by increasing salt concentration, adding organic/inorganic additives, and using hydrogel as electrolytes. In terms of electrodes, the related studies have concentrated on regulating the structure and morphology of electrodes, introducing the dual ion battery mechanism, and using organic materials and Zn electrodes to alleviate the slow ion dynamics of electrodes. In addition, adding appropriate organic solvents that can generate protective layers with low interface impedance on the electrode surface in the electrolyte can also improve the low-temperature performance of aqueous alkali-metal-ion batteries. Finally, we evaluated multi-dimensionally all strategies, expected to provide a comprehensive reference and point out the direction for the further improvement and practical application of the aqueous alkali-metal-ion batteries at low temperatures.
Aqueous alkali-metal-ion batteries are a popular frontier research area, expected to apply for large-scale energy storage due to their high safety, low cost, and environmental friendliness. Depending on diversified social development, batteries ought to function in various ambient, including polar regions and high-altitude locales. Delivering excellent electrochemical performance at low temperatures is crucial to develop aqueous alkali-metal-ion batteries. This review summarizes the representative research progress in the field of aqueous low-temperature alkali-metal-ion batteries in recent years, based on the subjects of electrolyte, electrode, and interface. Firstly, we discussed the challenges of aqueous alkali-metal-ion batteries operated at low temperatures and the corresponding failure mechanisms. At subzero temperatures, aqueous alkali-metal-ion batteries couldn't work or exhibit little capacity, arising from the frozen electrolytes, electrode materials with slow kinetics, and huge interface impedances, which seriously limits their wide application in low-temperature conditions. Then, combined with the latest research work, various strategies have been investigated to improve the electrochemical performance of batteries at low temperatures. To date, the strategies for reducing the freezing point of electrolytes have primarily focused on breaking H-bonds between free water molecules by increasing salt concentration, adding organic/inorganic additives, and using hydrogel as electrolytes. In terms of electrodes, the related studies have concentrated on regulating the structure and morphology of electrodes, introducing the dual ion battery mechanism, and using organic materials and Zn electrodes to alleviate the slow ion dynamics of electrodes. In addition, adding appropriate organic solvents that can generate protective layers with low interface impedance on the electrode surface in the electrolyte can also improve the low-temperature performance of aqueous alkali-metal-ion batteries. Finally, we evaluated multi-dimensionally all strategies, expected to provide a comprehensive reference and point out the direction for the further improvement and practical application of the aqueous alkali-metal-ion batteries at low temperatures.
2023, 72(7): 071202.
doi: 10.7498/aps.72.20230036
Abstract:
In recent years, due to the discoveries of hyperon spin polarization and vector meson spin alignment in relativistic heavy-ion collision experiments, the spin transports in quark-gluon matter has received intensive studies. The relativistic spin hydrodynamics is one of the important theoretical frameworks to describe the spin transports, which encodes the spin degree of freedom into a hydrodynamic theory. The relativistic spin hydrodynamics have the conservation equations for energy-momentum tensor, currents and total angular momentum. In this article, we give an overview of the recent progresses of the relativistic spin hydrodynamics. We focus on the following topics: 1) The derivation of the relativistic spin hydrodynamic equations, including the phenomenological approach, the effective theory method, and the kinetic approach, 2) Some special properties of spin hydrodynamics, especially the asymmetric energy-momentum tensor and the pseudogauge transformation, and 3) The analytical solutions to the relativistic spin hydrodynamics for systems under Bjorken and Gubser expansion.
In recent years, due to the discoveries of hyperon spin polarization and vector meson spin alignment in relativistic heavy-ion collision experiments, the spin transports in quark-gluon matter has received intensive studies. The relativistic spin hydrodynamics is one of the important theoretical frameworks to describe the spin transports, which encodes the spin degree of freedom into a hydrodynamic theory. The relativistic spin hydrodynamics have the conservation equations for energy-momentum tensor, currents and total angular momentum. In this article, we give an overview of the recent progresses of the relativistic spin hydrodynamics. We focus on the following topics: 1) The derivation of the relativistic spin hydrodynamic equations, including the phenomenological approach, the effective theory method, and the kinetic approach, 2) Some special properties of spin hydrodynamics, especially the asymmetric energy-momentum tensor and the pseudogauge transformation, and 3) The analytical solutions to the relativistic spin hydrodynamics for systems under Bjorken and Gubser expansion.
2023, 72(7): 072401.
doi: 10.7498/aps.72.20222452
Abstract:
The experimental data of the global polarization of Λ hyperon, ϕ and K*0 vector mesons in high-energy heavy ion collision confirm the new phenomenon of global polarization of hot-dense QCD matter, which has attracted extensive attention from researchers and has become a new hot research direction in the frontier of high-energy nuclear physics. This paper reviews the recent global polarization measurements. We focus on the global polarization measurements of Λ hyperon and ϕ, K*0 mesons, carried out by the solenoidal tracker detector (STAR) collaboration group at the Relativistic Heavy Ion Collider (RHIC) at its Phase I of Beam Energy Scan program, and extend to the global polarization measurements containing multiple strange quark particles, such as Ξ, Ω and the local polarization studies of Λ along the beam direction. In the paper, we also briefly comment on the measurements at higher energy from the large hadron collider (LHC) and at very low energy in HADES experiment. In the end of the paper, the physical information given by these experimental results is also briefly discussed.
The experimental data of the global polarization of Λ hyperon, ϕ and K*0 vector mesons in high-energy heavy ion collision confirm the new phenomenon of global polarization of hot-dense QCD matter, which has attracted extensive attention from researchers and has become a new hot research direction in the frontier of high-energy nuclear physics. This paper reviews the recent global polarization measurements. We focus on the global polarization measurements of Λ hyperon and ϕ, K*0 mesons, carried out by the solenoidal tracker detector (STAR) collaboration group at the Relativistic Heavy Ion Collider (RHIC) at its Phase I of Beam Energy Scan program, and extend to the global polarization measurements containing multiple strange quark particles, such as Ξ, Ω and the local polarization studies of Λ along the beam direction. In the paper, we also briefly comment on the measurements at higher energy from the large hadron collider (LHC) and at very low energy in HADES experiment. In the end of the paper, the physical information given by these experimental results is also briefly discussed.
2023, 72(7): 072501.
doi: 10.7498/aps.72.20230102
Abstract:
In non-central relativistic heavy ion collisions, the colliding nuclear system possesses a huge global orbital angular momentum in the direction opposite to the normal of the reaction plane. Due to the spin-orbit coupling in strong interaction, such a huge orbital angular momentum leads to a global spin polarization of the quark matter system produced in the collision process. The global polarization effect in high energy heavy ion collisions was first predicted theoretically and confirmed by STAR experiments at the Relativistic Heavy Ion Collider in Brookhaven National Laboratory. The discovery has attracted much attention to the study of spin effects in heavy ion collision and leads to a new direction in high energy heavy ion physics—Spin Physics in Heavy Ion Collisions. In this paper, we briefly review the original ideas, the calculation methods, the main results and recent theoretical developments in last years. First, we present a short discussion of the spin-orbit coupling which is an intrinsic property for a relativistic fermionic quantum system. Then we review how the global orbital angular momentum can be generated in non-central heavy ion collisions and how the global orbital angular momentum can be transferred to the local orbital angular momentum distribution in two limit model---Landan fireball model and Bjorken scaling model. After that, we review how we can describe the scattering process with initial local orbital angular momentum in the formalism of scattering cross section in impact parameter space and how we calculate the polarization of the quarks and antiquarks in quark gluon plasma produced in non-central heavy ion collisions after single or multiple scattering. We also give a brief review on how the global polarization can be predicted from the formalism of relativistic hydrodynamics with the generalized Cooper-Frye formula with spin. Finally, we discuss how the quark's polarization can be transferred to the final hadron's polarization. We focus on the hyperon's polarization and vector meson's spin alignment produced in heavy-ion collisions.
In non-central relativistic heavy ion collisions, the colliding nuclear system possesses a huge global orbital angular momentum in the direction opposite to the normal of the reaction plane. Due to the spin-orbit coupling in strong interaction, such a huge orbital angular momentum leads to a global spin polarization of the quark matter system produced in the collision process. The global polarization effect in high energy heavy ion collisions was first predicted theoretically and confirmed by STAR experiments at the Relativistic Heavy Ion Collider in Brookhaven National Laboratory. The discovery has attracted much attention to the study of spin effects in heavy ion collision and leads to a new direction in high energy heavy ion physics—Spin Physics in Heavy Ion Collisions. In this paper, we briefly review the original ideas, the calculation methods, the main results and recent theoretical developments in last years. First, we present a short discussion of the spin-orbit coupling which is an intrinsic property for a relativistic fermionic quantum system. Then we review how the global orbital angular momentum can be generated in non-central heavy ion collisions and how the global orbital angular momentum can be transferred to the local orbital angular momentum distribution in two limit model---Landan fireball model and Bjorken scaling model. After that, we review how we can describe the scattering process with initial local orbital angular momentum in the formalism of scattering cross section in impact parameter space and how we calculate the polarization of the quarks and antiquarks in quark gluon plasma produced in non-central heavy ion collisions after single or multiple scattering. We also give a brief review on how the global polarization can be predicted from the formalism of relativistic hydrodynamics with the generalized Cooper-Frye formula with spin. Finally, we discuss how the quark's polarization can be transferred to the final hadron's polarization. We focus on the hyperon's polarization and vector meson's spin alignment produced in heavy-ion collisions.
2023, 72(7): 072502.
doi: 10.7498/aps.72.20230071
Abstract:
In non-central relativistic heavy-ion collisions, the large initial orbital angular momentum results in strong vorticity fields in the quark-gluon plasma, which polarize partons through the spin-orbit coupling. The global polarization of quark matter will be converted to the global polarization of baryons and the global spin alignment of vector mesons. The spin alignment refers to the\begin{document}$\rho_{00}$\end{document} ![]()
![]()
element of the spin density matrix for vector mesons. When a vector meson decays to two pseudoscalar mesons, the polar angle distribution for the decay product depends on \begin{document}$\rho_{00}$\end{document} ![]()
![]()
, through which the spin alignment can be measured. Theoretical studies show that the global spin polarization of baryons reflects the space-time average of the quark polarization, while the spin alignment of vector mesons reflects the local phase space correlation between the polarization of quark and antiquark. In this article, we review recent theoretical works about the spin alignment of vector mesons. We consider a non-relativistic quark coalescence model in spin and phase space. Within this model, the spin alignment of the vector meson can be described through the phase space correlation of quark's and antiquark's polarization. The contributions to the spin alignment of ϕ mesons from vorticity fields, electromagnetic fields, and effective ϕ meson fields are discussed. The spin alignment of vector mesons opens a new window for the properties of strong interaction fields in heavy-ion collisions.
In non-central relativistic heavy-ion collisions, the large initial orbital angular momentum results in strong vorticity fields in the quark-gluon plasma, which polarize partons through the spin-orbit coupling. The global polarization of quark matter will be converted to the global polarization of baryons and the global spin alignment of vector mesons. The spin alignment refers to the
2023, 72(7): 072503.
doi: 10.7498/aps.72.20230074
Abstract:
We review the recent progress in the studies of coherent photons induced high energy reactions in ultraperipheral heavy ion collisions. The strong electromagnetic field created by a fast moving charged heavy ion can be effectively viewed as a flux of quasi-real coherent photons. In this paper, we mainly discuss two different type processes that coherent photons take part in: lepton pair production via photon fusion and diffractive vector meson production in UPCs. We focus on investigating the impact parameter dependent effect and the final state soft radiation effect. On the other hand, a series of recent work have revealed that coherent photons are highly linearly polarized with its polarization vector being parallel to its transverse momentum. It has been shown that the linearly polarized photons can lead to\begin{document}$\cos 4\phi$\end{document} ![]()
![]()
azimuthal asymmetries in di-lepton production. This theoretical predication soon has been confirmed by the STAR measurement. With this new development from both theory and experiment sides, the linearly polarized photons provide a new experimental avenue to explore novel QCD phenomenology. For example, the linearly polarized photons can give rise to various different azimuthal asymmetries in diffractive vector meson production. These observables provide us unique chance to study two source interference effect in high energy scatterings, Coulomb-Nuclear interference effect as well as extracting gluon Wigner distribution. We will discuss these novel phenomenology studies and the possible future developments.
We review the recent progress in the studies of coherent photons induced high energy reactions in ultraperipheral heavy ion collisions. The strong electromagnetic field created by a fast moving charged heavy ion can be effectively viewed as a flux of quasi-real coherent photons. In this paper, we mainly discuss two different type processes that coherent photons take part in: lepton pair production via photon fusion and diffractive vector meson production in UPCs. We focus on investigating the impact parameter dependent effect and the final state soft radiation effect. On the other hand, a series of recent work have revealed that coherent photons are highly linearly polarized with its polarization vector being parallel to its transverse momentum. It has been shown that the linearly polarized photons can lead to
2023, 72(7): 071201.
doi: 10.7498/aps.72.20222473
Abstract:
We generalize the gravitational form factor for chiral fermion in vacuum, which reproduces the well-known spin-vorticity coupling. We also calculate radiative correction to the gravitational form factors in quantum electrodynamics plasma. We find two structures in the form factors contributing to the scattering amplitude of fermion in vorticity field, one is from the fermon self-energy correction, pointing to suppression of spin-vorticity coupling in medium; the other strucutre comes from graviton-fermion vertex correction, which does not adopt potential interpretation, but corresponds to transition matrix element between initial and final states. Both structures contribute to chiral vortical effect. The net effect is that radiative correction enhances the chiral vortical effect. Our results claify the relation and difference between spin-vorticity coupling and chiral vortical effect from the perspective of form factors. We also discuss the application of the results in QCD plasma, indicating radiative correction might have an appreciable effect in spin polarization effect in heavy ion collisions.
We generalize the gravitational form factor for chiral fermion in vacuum, which reproduces the well-known spin-vorticity coupling. We also calculate radiative correction to the gravitational form factors in quantum electrodynamics plasma. We find two structures in the form factors contributing to the scattering amplitude of fermion in vorticity field, one is from the fermon self-energy correction, pointing to suppression of spin-vorticity coupling in medium; the other strucutre comes from graviton-fermion vertex correction, which does not adopt potential interpretation, but corresponds to transition matrix element between initial and final states. Both structures contribute to chiral vortical effect. The net effect is that radiative correction enhances the chiral vortical effect. Our results claify the relation and difference between spin-vorticity coupling and chiral vortical effect from the perspective of form factors. We also discuss the application of the results in QCD plasma, indicating radiative correction might have an appreciable effect in spin polarization effect in heavy ion collisions.
2023, 72(7): 072504.
doi: 10.7498/aps.72.20222391
Abstract:
In non-central relativistic heavy-ion collisions, the non-colliding nucleons drag the colliding nucleons along the longitudinal direction asymmetrically, producing a longitudinally tilted quark-gluon plasma (QGP) fireball. Meanwhile, these colliding nuclei deposit a huge initial orbital angular momentum into the system, leading to the polarization of partons inside the QGP along the direction of the total angular momentum. Based on the optical Glauber model, we develop a 3-dimensional initial condition of the tilted QGP. By combining it with the (3+1)-dimensional viscous hydrodynamic model CLVisc, we investigate the directed flow of charged hadrons and the global polarization of\begin{document}$ \Lambda/\bar{\Lambda} $\end{document} ![]()
![]()
hyperons in heavy-ion collisions. Our calculation indicates that the combination of a tilted initial condition of the QGP and the hydrodynamic model can provide a satisfactory description of the directed flow and global polarization observed at RHIC-STAR. This offers a theoretical baseline for using these observables to further constrain the initial geometry and kinematic properties of the nuclear matter created in heavy-ion collisions.
In non-central relativistic heavy-ion collisions, the non-colliding nucleons drag the colliding nucleons along the longitudinal direction asymmetrically, producing a longitudinally tilted quark-gluon plasma (QGP) fireball. Meanwhile, these colliding nuclei deposit a huge initial orbital angular momentum into the system, leading to the polarization of partons inside the QGP along the direction of the total angular momentum. Based on the optical Glauber model, we develop a 3-dimensional initial condition of the tilted QGP. By combining it with the (3+1)-dimensional viscous hydrodynamic model CLVisc, we investigate the directed flow of charged hadrons and the global polarization of
2023, 72(7): 070701.
doi: 10.7498/aps.72.20222316
Abstract:
Numerous data and knowledge generated and stored as text in peer-reviewed scientific literature are important for materials research and development. Although text mining can automatically explore this information, the barriers of acquiring high-quality textual data prevent its general application in materials science. Herein, we systematically analyze the issues of textual DATA QUALITY and related research from the perspectives of data quality and quantity. Following this, we propose a pipeline to construct high-quality datasets for text mining in materials science. In this pipeline, we utilize the traceable automatic acquisition scheme of literature to ensure the traceability of textual data. Then, a data processing method driven by downstream tasks is used to generate high-quality pre-annotated corpora conditioned on the characteristics of material texts. On this basis, we define a general annotation scheme derived from materials science tetrahedron to complete high-quality annotation. Finally, a conditional data augmentation model incorporating material domain knowledge (cDA-DK) is constructed to augment the data quantity. Experimental results on datasets with various material systems demonstrate that our method can effectively improve the accuracy of downstream models and the F1-score towards the named entity recognition task in NASICON-type solid electrolyte material reaches 84%. This study provides an important insight into the general application of text mining in materials science, and is expected to advance the material design and discovery driven by data and knowledge bidirectionally.
Numerous data and knowledge generated and stored as text in peer-reviewed scientific literature are important for materials research and development. Although text mining can automatically explore this information, the barriers of acquiring high-quality textual data prevent its general application in materials science. Herein, we systematically analyze the issues of textual DATA QUALITY and related research from the perspectives of data quality and quantity. Following this, we propose a pipeline to construct high-quality datasets for text mining in materials science. In this pipeline, we utilize the traceable automatic acquisition scheme of literature to ensure the traceability of textual data. Then, a data processing method driven by downstream tasks is used to generate high-quality pre-annotated corpora conditioned on the characteristics of material texts. On this basis, we define a general annotation scheme derived from materials science tetrahedron to complete high-quality annotation. Finally, a conditional data augmentation model incorporating material domain knowledge (cDA-DK) is constructed to augment the data quantity. Experimental results on datasets with various material systems demonstrate that our method can effectively improve the accuracy of downstream models and the F1-score towards the named entity recognition task in NASICON-type solid electrolyte material reaches 84%. This study provides an important insight into the general application of text mining in materials science, and is expected to advance the material design and discovery driven by data and knowledge bidirectionally.
2023, 72(7): 070301.
doi: 10.7498/aps.72.20222039
Abstract:
The problem of sharing quantum correlations is an interesting problem in the study of quantum information theory. Silva et al. proposed the study of sharing quantum nonlocality at first. They studied the fundamental limits on nonlocality, asking whether a single pair of entangled qubits could generate a long sequence of nonlocal correlations. At the same time, the sequential scenario was also introduced first, in which Alice and Bob each have half of a pair of entangled qubit states. The first Bob measures his half and then passes his part to a second Bob who measures again and so on. Obviously, even partial preservation of entanglement in a shared state in spite of a few sequences of local operations performed by the sharing parties can be important for information processing schemes in which entanglement is utilized as a resource. Thus, the problem of sharing quantum entanglement has also been extensively investigated. Recently, Srivastava et al. proved that there exist a class of T-states whose entanglement can be shared by arbitrarily many independent observers in [Phys. Rev. A 2022 105 062413 ]. Here, we want to find whether there are other entangled states that can be shared entanglement arbitrarily many times. In this paper, we consider the problem of sharing quantum entanglement when the initial shared state is a two-qubit entangled Werner state. The goal is to maximize the number of Bobs that can share entanglement with a single Alice. By suitably choosing the entanglement witness operator and the unsharp measurement settings by the Bobs, we prove that there exist two-qubit entangled initial shared Werner states whose entanglement can be detected by arbitrarily many sequential observers Bobs with a single Alice. Then, we also consider the special case of the Werner state, that is, the maximally entangled state as the initial shared state. In this case, its entanglement can also be witnessed arbitrarily many times, and the number of Bobs increases with the decrease of parameter.
The problem of sharing quantum correlations is an interesting problem in the study of quantum information theory. Silva et al. proposed the study of sharing quantum nonlocality at first. They studied the fundamental limits on nonlocality, asking whether a single pair of entangled qubits could generate a long sequence of nonlocal correlations. At the same time, the sequential scenario was also introduced first, in which Alice and Bob each have half of a pair of entangled qubit states. The first Bob measures his half and then passes his part to a second Bob who measures again and so on. Obviously, even partial preservation of entanglement in a shared state in spite of a few sequences of local operations performed by the sharing parties can be important for information processing schemes in which entanglement is utilized as a resource. Thus, the problem of sharing quantum entanglement has also been extensively investigated. Recently, Srivastava et al. proved that there exist a class of T-states whose entanglement can be shared by arbitrarily many independent observers in [
2023, 72(7): 070302.
doi: 10.7498/aps.72.20222003
Abstract:
In order to improve the training efficiency of the support vector machine, a quantum circuit training scheme based on the inner product of the quantum state for the support vector machine is proposed in this work. Firstly, on the basis of the full analysis of the computational complexity of the classical support vector machine, the kernel function which is the main factor affecting the computational complexity of the algorithm is primarily analyzed. Based on quantum mechanics and quantum computing theory, the training sample elements in the kernel function are quantized to generate the corresponding quantum states. Secondly, according to the quantum states of the training sample elements, the types and quantities of the required quantum logic gates are derived and calculated, and the quantum circuit that can generate the corresponding quantum states of the training sample elements through the evolution of the quantum initial ground states and the quantum logic gates is designed. Then, in the light of the relationship between the inner product of the quantum state and the quantum logic gate SWAP, the quantum circuit is designed to complete the exchange operation of the corresponding quantum state amplitude. The inner product of the quantum state is realized by exchanging and evolving the amplitude of the quantum state in the quantum circuit. Finally, by measuring the quantum state of the controlling qubit, the inner product solution of the kernel function is obtained, and the acceleration effect of training support vector machine is realized. The verification results show that the scheme enables the support vector machine not only to complete the correct classification, but also to operate the quantum part of the scheme on the real quantum computer . Compared with the classical algorithm, the scheme reduces the time complexity of the algorithm for the polynomial degree, greatly shortens the training time of the model, and improves the efficiency of the algorithm. The scheme has certain feasibility, effectiveness and innovation, and expands the training idea of the support vector machine.
In order to improve the training efficiency of the support vector machine, a quantum circuit training scheme based on the inner product of the quantum state for the support vector machine is proposed in this work. Firstly, on the basis of the full analysis of the computational complexity of the classical support vector machine, the kernel function which is the main factor affecting the computational complexity of the algorithm is primarily analyzed. Based on quantum mechanics and quantum computing theory, the training sample elements in the kernel function are quantized to generate the corresponding quantum states. Secondly, according to the quantum states of the training sample elements, the types and quantities of the required quantum logic gates are derived and calculated, and the quantum circuit that can generate the corresponding quantum states of the training sample elements through the evolution of the quantum initial ground states and the quantum logic gates is designed. Then, in the light of the relationship between the inner product of the quantum state and the quantum logic gate SWAP, the quantum circuit is designed to complete the exchange operation of the corresponding quantum state amplitude. The inner product of the quantum state is realized by exchanging and evolving the amplitude of the quantum state in the quantum circuit. Finally, by measuring the quantum state of the controlling qubit, the inner product solution of the kernel function is obtained, and the acceleration effect of training support vector machine is realized. The verification results show that the scheme enables the support vector machine not only to complete the correct classification, but also to operate the quantum part of the scheme on the real quantum computer . Compared with the classical algorithm, the scheme reduces the time complexity of the algorithm for the polynomial degree, greatly shortens the training time of the model, and improves the efficiency of the algorithm. The scheme has certain feasibility, effectiveness and innovation, and expands the training idea of the support vector machine.
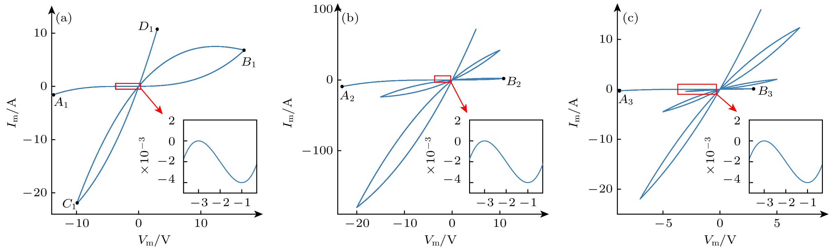
2023, 72(7): 070501.
doi: 10.7498/aps.72.20222013
Abstract:
The Chua corsage memristor (CCM) is a voltage-controlled locally-active memristor, which has complex dynamic behaviors and potential applications in the field of neuromorphic computing. According to the DC V-I plot, the CCM can be classified as two-lobe, four-lobe, and six-lobe type. By analyzing their non-volatility and local activity, it is found that they have the same locally-active region and a common stable equilibrium. The mathematical models of the three CCMs are simplified based on the mechanism of neuromorphic behavior, namely, local activity. After the model simplification, the absolute value operation disappears, but the locally-active domain remains unchanged. For the simplified CCM, its small-signal equivalent circuit at the locally-active operating point is established, which is consistent with CCMs before being simplified. Hence, the model simplification does not change the small-signal characteristics of CCMs. To further investigate the application of voltage-controlled locally-active memristor in modeling the neuromorphic behavior of neurons, the simplified CCM model is used to connect a capacitor and an inductor to construct a third-order neuron circuit. By applying theoretical analysis methods such as local activity, edge of chaos, and Lyapunov exponents, we predict the parameter domains where different neuromorphic behaviors are generated. The distribution of neuromorphic behaviors is described on a dynamic map determined by the parameters of applied voltage VD and external inductance L. When the memristor is biased in the locally-active region, the system response changes among resting state, periodic spiking oscillation, and chaotic behaviors. Finally, according to the simplified CCM mathematical model, the corresponding emulator circuit is designed by using three operational amplifiers, two multipliers, a current conveyor, and several resistors and capacitors. Based on the presented memristor emulator circuit, the hardware implementation of the neuron circuit is given. The experimental results verify the correctness and feasibility of the simplified CCM emulator circuit, and show that the simplified CCM-based neuron circuit can produce a variety of neuromorphic behaviors, including resting state, periodic spiking, chaotic state, bimodal response, periodic oscillation, all-or-nothing phenomenon, and spike clustering phenomenon. We expect that this work is helpful in further studying the mechanism of neuromorphic behaviors of the neuron circuit and its practical applications.
2023, 72(7): 070601.
doi: 10.7498/aps.72.20222224
Abstract:
Complex permittivity is an important parameter to reflect the macroscopic electromagnetic properties of material. The selection, design, and application of related materials and devices in the electromagnetic field must be based on the electromagnetic parameters of materials in the working frequency band. The numerical iterative method is an important method to inverse and calculate the complex permittivity of material. But there always exists a difficult problem that the initial value of iteration is difficult to give accurately. Based on the relationship between the complex permittivity and the reflectivity of absorbing material, an initial value selecting method for iteration to invert permittivity of absorbing material is proposed in this work. For absorbing materials with arbitrary thickness at a certain frequency, the complex permittivity must be near the complex permittivity of perfect matching layer. Therefore, the permittivity of perfect matching layer can be used as the initial value of the iterative algorithm. On this basis, a method of calculating the complex permittivity of monolayer absorbing material by using the reflection parameter is constructed. The experimental results show that the complex permittivity of lossy material can be calculated more accurately at the frequency with absorbing performance. However a great error can be caused at the frequency where the reflectivity is close to zero. Based on the iterative solution of the complex permittivity of single-layer absorbing material, a new method of measuring the complex permittivity of material is constructed by combining multi-layer absorbing materials to enhance full-band reflectivity. Given the electromagnetic parameters of other layer materials , the permittivity of absorbing materials and low-loss materials can be obtained accurately.
Complex permittivity is an important parameter to reflect the macroscopic electromagnetic properties of material. The selection, design, and application of related materials and devices in the electromagnetic field must be based on the electromagnetic parameters of materials in the working frequency band. The numerical iterative method is an important method to inverse and calculate the complex permittivity of material. But there always exists a difficult problem that the initial value of iteration is difficult to give accurately. Based on the relationship between the complex permittivity and the reflectivity of absorbing material, an initial value selecting method for iteration to invert permittivity of absorbing material is proposed in this work. For absorbing materials with arbitrary thickness at a certain frequency, the complex permittivity must be near the complex permittivity of perfect matching layer. Therefore, the permittivity of perfect matching layer can be used as the initial value of the iterative algorithm. On this basis, a method of calculating the complex permittivity of monolayer absorbing material by using the reflection parameter is constructed. The experimental results show that the complex permittivity of lossy material can be calculated more accurately at the frequency with absorbing performance. However a great error can be caused at the frequency where the reflectivity is close to zero. Based on the iterative solution of the complex permittivity of single-layer absorbing material, a new method of measuring the complex permittivity of material is constructed by combining multi-layer absorbing materials to enhance full-band reflectivity. Given the electromagnetic parameters of other layer materials , the permittivity of absorbing materials and low-loss materials can be obtained accurately.
2023, 72(7): 073101.
doi: 10.7498/aps.72.20221953
Abstract:
Halides play an important role in atmospheric chemistry, corrosion of steel, and also in controlling the abundance of O3. Moreover high-precision vibrational energy spectra contain a large amount of quantum information of molecular system and are basic data for people to understand and manipulate molecules. At present, ab-initio methods have achieved many calculation results of the potential energy surfaces and corresponding vibrational energy of molecules, but they still face challenges in terms of accuracy and computational cost. Recently, data-driven machine learning methods have demonstrated very strong capability of extracting high-dimensional functional relationships from massive data and have been widely used in spectrum studies. Therefore, a theoretical approach to combining ab-initio method and machine learning algorithm is presented here to predict the vibrational energy of diatomic systems, which improves the accuracy and simultaneously reduces the computational cost. Firstly, the vibrational energy levels of 42 diatomic molecules are obtained by using different CCSD(T) methods to calculate the configurations from simple to complex and the corresponding experimental results are also collected. A machine learning algorithm is then used to learn the difference between the CCSD(T) method calculated vibrational results and the experimental vibrational results, and a high-dimensional error function is finally constructed to improve the original CCSD(T) computational accuracy. The results for HF, HBr, H35Cl and Na35Cl (they did not appear in the training set) and other halogen molecules show that compared with the CCSD(T)/cc-pV5Z calculation method alone, the present method reduces the prediction error by more than 50% and the computational cost by nearly one order of magnitude. It is worth noting that the method proposed in this paper is not only limited to the energy level prediction of diatomic systems, but also applicable in other fields where data can be obtained by ab initio methods and experimental methods simultaneously, such as the energy spectrum properties of macromolecular systems.
Halides play an important role in atmospheric chemistry, corrosion of steel, and also in controlling the abundance of O3. Moreover high-precision vibrational energy spectra contain a large amount of quantum information of molecular system and are basic data for people to understand and manipulate molecules. At present, ab-initio methods have achieved many calculation results of the potential energy surfaces and corresponding vibrational energy of molecules, but they still face challenges in terms of accuracy and computational cost. Recently, data-driven machine learning methods have demonstrated very strong capability of extracting high-dimensional functional relationships from massive data and have been widely used in spectrum studies. Therefore, a theoretical approach to combining ab-initio method and machine learning algorithm is presented here to predict the vibrational energy of diatomic systems, which improves the accuracy and simultaneously reduces the computational cost. Firstly, the vibrational energy levels of 42 diatomic molecules are obtained by using different CCSD(T) methods to calculate the configurations from simple to complex and the corresponding experimental results are also collected. A machine learning algorithm is then used to learn the difference between the CCSD(T) method calculated vibrational results and the experimental vibrational results, and a high-dimensional error function is finally constructed to improve the original CCSD(T) computational accuracy. The results for HF, HBr, H35Cl and Na35Cl (they did not appear in the training set) and other halogen molecules show that compared with the CCSD(T)/cc-pV5Z calculation method alone, the present method reduces the prediction error by more than 50% and the computational cost by nearly one order of magnitude. It is worth noting that the method proposed in this paper is not only limited to the energy level prediction of diatomic systems, but also applicable in other fields where data can be obtained by ab initio methods and experimental methods simultaneously, such as the energy spectrum properties of macromolecular systems.
2023, 72(7): 073102.
doi: 10.7498/aps.72.20222339
Abstract:
In the calculation of atomic structures within the plasma environment, the plasma screening effect on nuclei - electron interactions is generally considered, but the plasma screening effect on electron - electron interactions is less considered. In this work, the MCDHF method combined with the screening potential is used to study plasma screening effect on the atomic structure parameters versus the electron density, electron temperature, nuclear charge and the number of bound electrons. For the ground states and the first excited states of helium-like ions, the energy shifts, transition energy shifts and transition probability shifts caused by the plasma screening effect on electron-electron interactions increase with the increase of electron densities and decrease with increasing the electron temperatures, respectively. With the increase of nuclear charge, the energy shifts increase gradually and tends to a stable value, while the transition energy shifts and transition probability shifts decrease gradually and tend to 0. The energy shifts increase with the increase of the number of bound electrons. The electron density, electron temperature, nuclear charge and number of bound electrons corresponding to the percentages of transition energy shifts and transition probability shifts caused by plasma screening on electron-electron interactions greater than or equal to 10%, are called as the critical electron density, critical electron temperature, critical nuclear charge and critical number of bound electrons, respectively. When one of the following four conditions is satisfied, the percentages of transition energy shifts and transition probability shifts caused by plasma screening on electron-electron interactions will be greater than or equal to 10%, and the plasma screening effect on electron - electron interactions can not be ignored. 1) The electron density is greater than or equal to the critical electron density, when the electron temperature is a fixed value. 2) The electron temperature is less than or equal to the critical electron temperature, when the electron density is a fixed value. 3) The nuclear charge is less than or equal to the critical nuclear charge, when the electron density and temperature are both fixed. 4) The number of bound electrons is greater than or equal to the critical number of bound electrons, when the electron density and temperature are both fixed.
In the calculation of atomic structures within the plasma environment, the plasma screening effect on nuclei - electron interactions is generally considered, but the plasma screening effect on electron - electron interactions is less considered. In this work, the MCDHF method combined with the screening potential is used to study plasma screening effect on the atomic structure parameters versus the electron density, electron temperature, nuclear charge and the number of bound electrons. For the ground states and the first excited states of helium-like ions, the energy shifts, transition energy shifts and transition probability shifts caused by the plasma screening effect on electron-electron interactions increase with the increase of electron densities and decrease with increasing the electron temperatures, respectively. With the increase of nuclear charge, the energy shifts increase gradually and tends to a stable value, while the transition energy shifts and transition probability shifts decrease gradually and tend to 0. The energy shifts increase with the increase of the number of bound electrons. The electron density, electron temperature, nuclear charge and number of bound electrons corresponding to the percentages of transition energy shifts and transition probability shifts caused by plasma screening on electron-electron interactions greater than or equal to 10%, are called as the critical electron density, critical electron temperature, critical nuclear charge and critical number of bound electrons, respectively. When one of the following four conditions is satisfied, the percentages of transition energy shifts and transition probability shifts caused by plasma screening on electron-electron interactions will be greater than or equal to 10%, and the plasma screening effect on electron - electron interactions can not be ignored. 1) The electron density is greater than or equal to the critical electron density, when the electron temperature is a fixed value. 2) The electron temperature is less than or equal to the critical electron temperature, when the electron density is a fixed value. 3) The nuclear charge is less than or equal to the critical nuclear charge, when the electron density and temperature are both fixed. 4) The number of bound electrons is greater than or equal to the critical number of bound electrons, when the electron density and temperature are both fixed.
2023, 72(7): 074201.
doi: 10.7498/aps.72.20222167
Abstract:
Active tunability of phonon dispersion and spontaneous emission (SE) are still open problems due to their exciting potential applications. In view of the fact that polaritons are very sensitive to the dielectric environment, in this study, with the help of the differences in optical property between the phase change material vanadium dioxide (VO2) during the phase transition from the insulating state to metallic state and the tunable surface plasmon polaritons (SPPs) in graphene, a heterostructure composed of hyperbolic material hexagonal boron nitride (hBN) and graphene and VO2 is proposed to investigate the active tunability of hBN phonon polaritons (PhPs). In order to illustrate the underlying physical mechanism of the above heterostructures, the dispersion distributions of the above heterostructures are calculated and represented by the imaginary part of the p-polarized Fresnel reflection coefficient of the heterostructure, meanwhile the dispersion relation of the hBN/VO2 heterostructure in hyperbolic region is verified by the quasi-static approximation method. Results indicate that the active tunability of hBN PhPs inside type-I and type-II hyperbolic bands can be achieved by controlling VO2 phase transition in hBN/VO2 heterostructure. The PhP dispersion change of the hBN/VO2 heterostructure is mainly caused by the change of the VO2 dielectric function when VO2 substrate changes from the insulating state into metallic state, which affects the total Fresnel reflection coefficient of the heterostructure, finally resulting in the PhP dispersion change of hBN/VO2 heterostructure. When graphene is introduced into the hBN/VO2 heterostructure, coupled hyperbolic plasmon-phonon polaritons (HPPPs) are obtained within type-I and type-II hyperbolic band of hBN, while the surface plasmon-phonon polaritons (SPPPs) are generated outside its hyperbolic bands. Moreover, comparative analysis of SE rates is presented for a quantum emitter positioned with the hBN/VO2 and graphene/hBN/VO2 heterostructure, revealing that the SE rates of these heterostructures can be modulated by the passive means including changing the hBN thickness and distance between the dipole emitter and the proposed heterostructure, and also by the active means including tuning VO2 phase states and graphene chemical potential without changing structural configurations. This study provides a theoretical guidance in realizing active tunability of both phonon dispersion and SE rate of the natural or artificial anisotropic optical materials by using functional materials including phase change materials and graphene.
2023, 72(7): 074202.
doi: 10.7498/aps.72.20222017
Abstract:
Underwater imaging is of great significance in exploring seabed resource , monitoring marine environment, implementing underwater rescue and military reconnaissance, etc. by providing clear vison. Among various underwater imaging techniques, the polarization imaging is considered to be an effective way to improve the quality of underwater imaging. It can realize underwater image restoration by using the difference in polarization characteristic between the target light and backscattered light. A classical underwater active polarization imaging method was presented by Treibitz [Treibitz T, Schechner Y Y 2009 IEEE Trans. Pattern Anal. Mach. Intell. 31 385 ], in which the degrees of linear polarization (DoLPs) of target light and backscattered light are used to recover clear image. A variety of improved methods have been derived from this, but most of them require background areas and human-computer interaction. Then, a new underwater active polarization imaging method without prior knowledge was presented by Zhao [Zhao Y, He W, Ren H, Li Y, Fu Y 2022 Opt. Lasers Eng. 148 106777 ], in which the DoLPs of target light and backscattered light can be automatically obtained without background region. However, sometimes the above two parameters are very close and thus introduce a lot of noise into the restored images, for this method takes only the contrast into account. In this work, an underwater active polarization imaging method based on two-layer multi-index optimization is proposed. First, the mutual information and contrast are taken as the upper objective functions, and the Pareto optimal solution set is obtained by the multi-objective genetic optimization algorithm. Second, the information entropy is taken as the lower objective function to obtain the optimal parameters from this optimal solution set. Based on the optimal parameters, the restored images are obtained. According to the difference between the DoLPs of target light and backscattered light, these restored images are further improved by the digital image processing method. The experimental results indicate that our method can not only enhance image details effectively but also balance various evaluation indexes of the imaging quality to obtain high-quality restored images. The proposed algorithm is suitable for underwater targets with low and high DoLPs, with or without background regions.
2023, 72(7): 074203.
doi: 10.7498/aps.72.20222033
Abstract:
Fluorescent microscopic imaging technology has the characteristics of strong labeling capability, high signal strength, low experimental cost, simple imaging process, and imaging from living to in vitro, which is widely used in biological analysis imaging research such as tumor cell imaging, drug distribution in vivo detection, but how to simultaneously have both a wide field of view and a high resolution is a major difficulty in the current field of fluorescence microscopic imaging. Planar silicon waveguides have been found to be able to achieve a wide range of imaging of ultra-thin samples. However, they require sputtering deposition or ion beam etching and other preparation processes. The related processes are complex and equipment required is expensive. In this work, a planar-waveguide-type fluorescence microscope device based on direct picosecond-laser-writing is designed, in which picosecond laser is used to etch the glass surface to rapidly prepare micron sized grooves, and the low-cost and batch-preparation of glass based planar waveguides is further realized by spinning SU-8 photoresist. The waveguide diameter and depth can be customized by adjusting laser processing power, frequency, scanning speed and other parameters. The microscopic detection experiment with using Rhodamine B fluorescent molecule verifies that the direct laser-writing glass based planar waveguide fully meets the requirements for biological imaging with high resolution and large field of view. This simple and rapid processing method can effectively improve the the fluorescence imaging.
Fluorescent microscopic imaging technology has the characteristics of strong labeling capability, high signal strength, low experimental cost, simple imaging process, and imaging from living to in vitro, which is widely used in biological analysis imaging research such as tumor cell imaging, drug distribution in vivo detection, but how to simultaneously have both a wide field of view and a high resolution is a major difficulty in the current field of fluorescence microscopic imaging. Planar silicon waveguides have been found to be able to achieve a wide range of imaging of ultra-thin samples. However, they require sputtering deposition or ion beam etching and other preparation processes. The related processes are complex and equipment required is expensive. In this work, a planar-waveguide-type fluorescence microscope device based on direct picosecond-laser-writing is designed, in which picosecond laser is used to etch the glass surface to rapidly prepare micron sized grooves, and the low-cost and batch-preparation of glass based planar waveguides is further realized by spinning SU-8 photoresist. The waveguide diameter and depth can be customized by adjusting laser processing power, frequency, scanning speed and other parameters. The microscopic detection experiment with using Rhodamine B fluorescent molecule verifies that the direct laser-writing glass based planar waveguide fully meets the requirements for biological imaging with high resolution and large field of view. This simple and rapid processing method can effectively improve the the fluorescence imaging.
2023, 72(7): 074204.
doi: 10.7498/aps.72.20222088
Abstract:
The saturated nonlocal nonlinearity of positive nematic liquid crystals (NLCs) is discussed in this paper. Based on the nonlinear coupling model satisfied by the beam propagation in a positive NLC, the saturable characteristics of the nonlinear refractive index (NRI) in the cases of\begin{document}$1+1$\end{document} ![]()
![]()
and \begin{document}$1+2$\end{document} ![]()
![]()
dimensions are discussed separately, and the numerical solutions of saturated bistable solitons for different pre-declination angles are obtained. The saturated NRI is smaller for larger pre-deflection angles, and the center of the saturated NRI is almost flat for different pre-deflection angles in \begin{document}$1+2$\end{document} ![]()
![]()
dimension. Solitons in the saturated case are no longer standard circular, whose waveforms in the x and y directions are slightly different. We also find that saturated bistable solitons can exist in NLCs for both \begin{document}$1+1$\end{document} ![]()
![]()
and \begin{document}$1+2$\end{document} ![]()
![]()
dimensions. With the increase of pre-deflection angle, the existing regions of bistable solitons decrease, while their minimum beamwidth increases. Although the beamwidths of bistable solitons are the same, they have different powers and propagation constants, and their normalized soliton waveforms differ in the \begin{document}$1+2$\end{document} ![]()
![]()
dimensional case.
The saturated nonlocal nonlinearity of positive nematic liquid crystals (NLCs) is discussed in this paper. Based on the nonlinear coupling model satisfied by the beam propagation in a positive NLC, the saturable characteristics of the nonlinear refractive index (NRI) in the cases of
2023, 72(7): 074205.
doi: 10.7498/aps.72.20221814
Abstract:
The location and transmission of light is the core of modern photonic integrated device, and the proposal of topological photonics provides a new way of implementing optical manipulation. Topological photonic structures based on the quantum spin hall effect or quantum valley hall effect have the properties of immunity to defects and suppress backscattering, so they play a key role in designing novel low-loss photonic devices. In this work, we design a two-dimensional dielectric photonic crystal with time-reversal symmetry to achieve the coexistence of the quantum spin hall effect and the quantum valley hall effect in a photonic crystal. The design can be likened to an electronic system in which two pairs of Kramers simplex pairs are constructed to achieve a quadruple simplex pair in a photonic crystal. First, based on the method of shrinking and expanding the silicon pillars arranged in the honeycomb structure, the quadruple degeneracy point at the Γ point of the first Brillouin zone is opened, and the corresponding topologically trivial or non-trivial photonic band gap is formed,thereby realizing quantum spin hall effect. The expanded honeycomb lattice evolves into a Kagome structure, and then positive and negative perturbations are added to the Kagome lattice, breaking the spatial inversion symmetry of the Photonic crystal. When mirror symmetry is broken, different chiral photonic crystals can be created,leading the degeneracy point of the non-equivalent valleys K and K' in the Brillouin zone to be opened and a complete band gap to appear, thus realizing the Quantum valley hall effect. In the common band gap, topologically protected edge states are induced by nontrivial valley Chern number at the interface between two photonic crystals with opposite chirality. The numerical calculations show that unidirectional transport and bending-immune topological boundary states can be realized at the interface composed of topologically trivial (non-trivial) and positively (negatively) perturbed photonic crystals. Finally, a four-channel system based on the coexistence of the two effects is designed, The system is a novel electromagnetic wave router that can be selectively controlled by pseudospin degree of freedom or valley degree of freedom. This system provides a potential method for realizing the optical encoding and robust signal transmission, thereby providing greater flexibility for manipulating electromagnetic waves.
The location and transmission of light is the core of modern photonic integrated device, and the proposal of topological photonics provides a new way of implementing optical manipulation. Topological photonic structures based on the quantum spin hall effect or quantum valley hall effect have the properties of immunity to defects and suppress backscattering, so they play a key role in designing novel low-loss photonic devices. In this work, we design a two-dimensional dielectric photonic crystal with time-reversal symmetry to achieve the coexistence of the quantum spin hall effect and the quantum valley hall effect in a photonic crystal. The design can be likened to an electronic system in which two pairs of Kramers simplex pairs are constructed to achieve a quadruple simplex pair in a photonic crystal. First, based on the method of shrinking and expanding the silicon pillars arranged in the honeycomb structure, the quadruple degeneracy point at the Γ point of the first Brillouin zone is opened, and the corresponding topologically trivial or non-trivial photonic band gap is formed,thereby realizing quantum spin hall effect. The expanded honeycomb lattice evolves into a Kagome structure, and then positive and negative perturbations are added to the Kagome lattice, breaking the spatial inversion symmetry of the Photonic crystal. When mirror symmetry is broken, different chiral photonic crystals can be created,leading the degeneracy point of the non-equivalent valleys K and K' in the Brillouin zone to be opened and a complete band gap to appear, thus realizing the Quantum valley hall effect. In the common band gap, topologically protected edge states are induced by nontrivial valley Chern number at the interface between two photonic crystals with opposite chirality. The numerical calculations show that unidirectional transport and bending-immune topological boundary states can be realized at the interface composed of topologically trivial (non-trivial) and positively (negatively) perturbed photonic crystals. Finally, a four-channel system based on the coexistence of the two effects is designed, The system is a novel electromagnetic wave router that can be selectively controlled by pseudospin degree of freedom or valley degree of freedom. This system provides a potential method for realizing the optical encoding and robust signal transmission, thereby providing greater flexibility for manipulating electromagnetic waves.
2023, 72(7): 074301.
doi: 10.7498/aps.72.20221932
Abstract:
To reduce the distortion of acoustic interference fringes caused by internal waves in shallow water, a sparse reconstruction method of acoustic interference fringes is proposed in this paper according to the coupled mode theory. The proposed method consists of two steps: 1) The interference fringes are approximated to the sum of several two-dimension sinusoids, which are sparsely reconstructed by the vector finite rate of innovation method. 2) According to coupled mode theory, two-dimension frequencies related to uncoupled mode pairs do not vary with the location of internal waves. However, two-dimension frequencies related to coupled mode pairs vary with the location of internal waves. So these frequencies are classified into two parts. The uncoupled mode pairs are used to recover the regular interference fringes and estimate the waveguide invariant in the background environment. The coupled mode pairs are used to track the locations of internal waves. The simulation results show that the proposed method can effectively provide interference fringe reconstruction, waveguide invariant estimation, and internal wave tracking in the internal wave environment.
To reduce the distortion of acoustic interference fringes caused by internal waves in shallow water, a sparse reconstruction method of acoustic interference fringes is proposed in this paper according to the coupled mode theory. The proposed method consists of two steps: 1) The interference fringes are approximated to the sum of several two-dimension sinusoids, which are sparsely reconstructed by the vector finite rate of innovation method. 2) According to coupled mode theory, two-dimension frequencies related to uncoupled mode pairs do not vary with the location of internal waves. However, two-dimension frequencies related to coupled mode pairs vary with the location of internal waves. So these frequencies are classified into two parts. The uncoupled mode pairs are used to recover the regular interference fringes and estimate the waveguide invariant in the background environment. The coupled mode pairs are used to track the locations of internal waves. The simulation results show that the proposed method can effectively provide interference fringe reconstruction, waveguide invariant estimation, and internal wave tracking in the internal wave environment.
2023, 72(7): 074302.
doi: 10.7498/aps.72.20222106
Abstract:
Three-dimensional (3D) ultrafast imaging is important for ultrasound technology development. The traditional 3D imaging method based on fully sampled two-dimensional (2D) matrix often requires a large number of electronic channels with high density which limits the aperture size and imaging resolution in application. Recently developed row-column addressing (RCA) matrix effectively reduces the number of electronic channels from N × N to N + N by addressing the row and column elements. The beamforming strategy designed for 3D ultrasound imaging was based on the coherent compounding of orthogonal plane waves (OPW). Such a multi-angle OPW compounding strategy achieves virtual transmit focusing in both directions by transmitting a set of plane waves in one direction and receiving along the orthogonal direction, which finally leads to an isotropic point spread function (PSF). In this paper, multi-angle OPW method was investigated for 3D blood flow imaging using an RCA matrix with 128 rows and 128 columns, centered at 6 MHz. The delay and sum (DAS) beamforming was developed for coherent OPW compounding, and the singular value decomposition (SVD) filtering method was used for separating the dynamic blood flow signals from the static tissue signals and low-amplitude noise. The Doppler velocity was computed by the autocorrelation method, and finally the 3D power Doppler and color Doppler imaging of the blood flow were realized. To evaluate the imaging quality and investigate the effect of different OPW tilting angles, quantitative analysis was carried out using multiple parameters, including –6 dB resolution measurements of the PSF, SNR of the power Doppler images and velocity distribution of the color Doppler. The –6 dB resolution is improved from 0.986 mm to 0.493 mm with the number of angles increasing from 5 to 33. With 17 plane wave angles, the SNR of the power Doppler image reaches 30 dB, and the average deviation between the velocity distribution along the diameter of the blood flow phantom and the actual value is about 26.0%. In conclusion, results show that the ultrafast 3D imaging method based on RCA matrix can obtain 3D B-mode, power Doppler and color Doppler images. Increasing the number of tilting angles and enlarging the angle range can significantly improve the imaging quality. The proposed method can be helpful for developing 3D ultrafast ultrasound Doppler imaging and functional ultrasound imaging based on neuro-vascular coupling.
Three-dimensional (3D) ultrafast imaging is important for ultrasound technology development. The traditional 3D imaging method based on fully sampled two-dimensional (2D) matrix often requires a large number of electronic channels with high density which limits the aperture size and imaging resolution in application. Recently developed row-column addressing (RCA) matrix effectively reduces the number of electronic channels from N × N to N + N by addressing the row and column elements. The beamforming strategy designed for 3D ultrasound imaging was based on the coherent compounding of orthogonal plane waves (OPW). Such a multi-angle OPW compounding strategy achieves virtual transmit focusing in both directions by transmitting a set of plane waves in one direction and receiving along the orthogonal direction, which finally leads to an isotropic point spread function (PSF). In this paper, multi-angle OPW method was investigated for 3D blood flow imaging using an RCA matrix with 128 rows and 128 columns, centered at 6 MHz. The delay and sum (DAS) beamforming was developed for coherent OPW compounding, and the singular value decomposition (SVD) filtering method was used for separating the dynamic blood flow signals from the static tissue signals and low-amplitude noise. The Doppler velocity was computed by the autocorrelation method, and finally the 3D power Doppler and color Doppler imaging of the blood flow were realized. To evaluate the imaging quality and investigate the effect of different OPW tilting angles, quantitative analysis was carried out using multiple parameters, including –6 dB resolution measurements of the PSF, SNR of the power Doppler images and velocity distribution of the color Doppler. The –6 dB resolution is improved from 0.986 mm to 0.493 mm with the number of angles increasing from 5 to 33. With 17 plane wave angles, the SNR of the power Doppler image reaches 30 dB, and the average deviation between the velocity distribution along the diameter of the blood flow phantom and the actual value is about 26.0%. In conclusion, results show that the ultrafast 3D imaging method based on RCA matrix can obtain 3D B-mode, power Doppler and color Doppler images. Increasing the number of tilting angles and enlarging the angle range can significantly improve the imaging quality. The proposed method can be helpful for developing 3D ultrafast ultrasound Doppler imaging and functional ultrasound imaging based on neuro-vascular coupling.
2023, 72(7): 074501.
doi: 10.7498/aps.72.20212272
Abstract:
Based on the analysis of establishing dynamic equations by using Newton's mechanics, Lagrange's, and Hamilton's mechanics, a new idea of establishing elastodynamic equations under the framework of energy conservation is proposed. Firstly, Newton’s second law is used to derive wave equations of motion. Secondly, Lagrange's equation, Hamilton's canonical equations, and the corresponding dynamical equations in a continuum medium are derived by using Hamilton’s variational principle. Thirdly, under the framework of energy conservation, Lagrange's equation, Hamilton's canonical equations, and the acoustic dynamic equations of the continuum are established, and the results are proved to be consistent with those derived from classical mechanics. Some fuzzy understandings when using Hamilton's variational principle to establish Lagrange’s equation and Hamilton’s canonical equation, are clarified. A series of dynamical equations established under the framework of energy conservation provides an alternative way to characterize and represent the propagation characteristics of wave motions in various complex media without involving the variational principle of functional extremum. Finally, as an application example, the differential equation of elastodynamics in a viscoelastic medium is given under the framework of energy conservation.
Based on the analysis of establishing dynamic equations by using Newton's mechanics, Lagrange's, and Hamilton's mechanics, a new idea of establishing elastodynamic equations under the framework of energy conservation is proposed. Firstly, Newton’s second law is used to derive wave equations of motion. Secondly, Lagrange's equation, Hamilton's canonical equations, and the corresponding dynamical equations in a continuum medium are derived by using Hamilton’s variational principle. Thirdly, under the framework of energy conservation, Lagrange's equation, Hamilton's canonical equations, and the acoustic dynamic equations of the continuum are established, and the results are proved to be consistent with those derived from classical mechanics. Some fuzzy understandings when using Hamilton's variational principle to establish Lagrange’s equation and Hamilton’s canonical equation, are clarified. A series of dynamical equations established under the framework of energy conservation provides an alternative way to characterize and represent the propagation characteristics of wave motions in various complex media without involving the variational principle of functional extremum. Finally, as an application example, the differential equation of elastodynamics in a viscoelastic medium is given under the framework of energy conservation.
2023, 72(7): 074701.
doi: 10.7498/aps.72.20221200
Abstract:
The ear is an important sensory organ of the human body. Cochlea has a pivotal role in the hearing system of human. Nearly 300 million people around the world suffer from sensorineural deafness caused by cochlear lesions. Because the mechanism of cochlear sensing is very complex, it has not been understood completely so far, which has become one of the important problems in medicine today. The basilar membrane in the cochlear canal is the supporting structure of all microstructures, the complex coupling motion between basilar membrane and lymph in cochlear canal is the primary condition for generating the cochlear sound sensing function. Therefore, it is essential to study the dynamic behavior of the basement membranes. By dividing the length of the cochlea into a finite number of elements and giving the radial distribution, a set of governing equations is derived for coupling micromechanics with fluid. Then combining these equations with the matrix combination equation, the complete coupling response of basilar membrane and lymph is obtained. The instantaneous responses of the basilar membrane under different excitations, the time domain responses of the resonance position under different frequency excitations, and the effects of the changes of the mass and stiffness of the basilar membrane on its biomechanical properties and hearing function are analyzed. The results showthat the increase of the mass and stiffness of the basilar membrane leads to the weakening of the maximum response, and the increase of the mass causes the maximum response position to move to the bottom of the basilar membrane; the increase of the basilar membrane stiffness causes the maximum response position to move to the top of the basilar membrane; the changing basilar membrane cross-section can rapidly reduce the characteristic frequencies at the middle and top of the cochlea, thus achieving better filtering and amplification of specific frequency excitation, and enabling the cochlea to have a higher resolution in a specific frequency range of 1000–3000 Hz.This computational mathematics model can provide a numerical analysis platform for implementing the clinical evaluation of lesions in the basilar membrane of the inner ear. Compared with the existing finite element models, this method has faster calculation speed and higher efficiency of parameter analysis.
The ear is an important sensory organ of the human body. Cochlea has a pivotal role in the hearing system of human. Nearly 300 million people around the world suffer from sensorineural deafness caused by cochlear lesions. Because the mechanism of cochlear sensing is very complex, it has not been understood completely so far, which has become one of the important problems in medicine today. The basilar membrane in the cochlear canal is the supporting structure of all microstructures, the complex coupling motion between basilar membrane and lymph in cochlear canal is the primary condition for generating the cochlear sound sensing function. Therefore, it is essential to study the dynamic behavior of the basement membranes. By dividing the length of the cochlea into a finite number of elements and giving the radial distribution, a set of governing equations is derived for coupling micromechanics with fluid. Then combining these equations with the matrix combination equation, the complete coupling response of basilar membrane and lymph is obtained. The instantaneous responses of the basilar membrane under different excitations, the time domain responses of the resonance position under different frequency excitations, and the effects of the changes of the mass and stiffness of the basilar membrane on its biomechanical properties and hearing function are analyzed. The results showthat the increase of the mass and stiffness of the basilar membrane leads to the weakening of the maximum response, and the increase of the mass causes the maximum response position to move to the bottom of the basilar membrane; the increase of the basilar membrane stiffness causes the maximum response position to move to the top of the basilar membrane; the changing basilar membrane cross-section can rapidly reduce the characteristic frequencies at the middle and top of the cochlea, thus achieving better filtering and amplification of specific frequency excitation, and enabling the cochlea to have a higher resolution in a specific frequency range of 1000–3000 Hz.This computational mathematics model can provide a numerical analysis platform for implementing the clinical evaluation of lesions in the basilar membrane of the inner ear. Compared with the existing finite element models, this method has faster calculation speed and higher efficiency of parameter analysis.
2023, 72(7): 075201.
doi: 10.7498/aps.72.20230013
Abstract:
Plasma usually consists of multiple ion component. Ion-component separation occurs in various conditions, and profoundly affects the plasma dynamic evolution. In this work, ion-component separation in two-ion-component plasma is investigated in the hydrodynamic condition. Starting from the Landau-Fokker-Planck equations of two-ion-component plasma, the ion transport equations are reduced through the Chapman-Enskog approach. The transport equations are then transformed into a set of linear algebraic equations and solved by expanding the perturbed ion distribution functions into the series of Sonine polynomials. The diffusive ion mass flows with inclusion of baro-diffusion, thermo-diffusion and electro-diffusion are thus obtained. With these efforts, the complete ion fluid equations are presented, which can be used to describe the processes of ion-component separation. We evaluate ion-component separation in the case of a solid CH plate target ablated with a laser pulse, by solving the ion diffusion equation with the hydro states output from the one-dimensional radiative hydro code Multi-1D. The simulation results show that ion-component separation mainly occurs around ablation front and under-dense region, and that the effect of ion-species separation on plasma hydrodynamic evolution is minor and can be neglected. For those physical processes sensitive to ion concentration such as Thomson scattering, however, the effect of ion-component separation is significant, which means that ion-component separation should be included in the study of laser plasma interaction.
Plasma usually consists of multiple ion component. Ion-component separation occurs in various conditions, and profoundly affects the plasma dynamic evolution. In this work, ion-component separation in two-ion-component plasma is investigated in the hydrodynamic condition. Starting from the Landau-Fokker-Planck equations of two-ion-component plasma, the ion transport equations are reduced through the Chapman-Enskog approach. The transport equations are then transformed into a set of linear algebraic equations and solved by expanding the perturbed ion distribution functions into the series of Sonine polynomials. The diffusive ion mass flows with inclusion of baro-diffusion, thermo-diffusion and electro-diffusion are thus obtained. With these efforts, the complete ion fluid equations are presented, which can be used to describe the processes of ion-component separation. We evaluate ion-component separation in the case of a solid CH plate target ablated with a laser pulse, by solving the ion diffusion equation with the hydro states output from the one-dimensional radiative hydro code Multi-1D. The simulation results show that ion-component separation mainly occurs around ablation front and under-dense region, and that the effect of ion-species separation on plasma hydrodynamic evolution is minor and can be neglected. For those physical processes sensitive to ion concentration such as Thomson scattering, however, the effect of ion-component separation is significant, which means that ion-component separation should be included in the study of laser plasma interaction.
2023, 72(7): 075202.
doi: 10.7498/aps.72.20222196
Abstract:
As is well known, large-scale type-I edge localized modes (ELMs) may pose serious risks to machine components in future large fusion devices. The resonant magnetic perturbation (RMP), generated by magnetic coils external to the plasma, can either suppress or mitigate ELMs, as has been shown in recent experiments on several present-day fusion devices. Understanding the ELM control with RMP may involve various physics. This work focuses on the understanding of the roles played by three key physical quantities: the edge safety factor, the RMP coil current, and the particle drift kinetic effects resulting from thermal and fusion-born α-particles. Full toroidal computations are performed by using the MARS-F/K codes. The results show that the plasma response based figures-of-merit i.e. the pitch resonant radial field component near the plasma edge and the plasma displacement near the X-point of the separatrix,consistently yield the same periodic amplification as\begin{document}$ q_{95} $\end{document} ![]()
![]()
varies. The number of peaks, y, is positively correlated with the toroidal number n, i.e. \begin{document}$y \approx n\Delta {q_{95}}$\end{document} ![]()
![]()
with \begin{document}$\Delta {q_{95}} = 3.5$\end{document} ![]()
![]()
. The peak window in \begin{document}$ q_{95} $\end{document} ![]()
![]()
occurs when a new resonant surface passes through a specific region of the plasma edge. Two-dimensional parameter scans, for the edge safety factor and the coil phasing between the upper and lower rows of coils, yield a linear relationship between the optimal/worst current phase difference and \begin{document}$ q_{95} $\end{document} ![]()
![]()
, which can be well fitted by a simple analytic model. The optimal value of coil current amplitude is sensitive to n. Compared with the same current amplitude assumed for the two/three rows of coils, the optimal current amplitude can increase the \begin{document}${\xi _{\text{X}}}$\end{document} ![]()
![]()
but does not change the prediction of the relative toroidal phase difference. More advanced response model, including kinetic resonances between the RMP perturbation and drift motions of thermal particles and fusion-born alphas, shows that the modification of kinetic effects should be considered in order to better describe the plasma response to RMP fields in high-β plasmas. The fluid response model with a strong parallel sound wave damping (\begin{document}${\kappa _\parallel } = 1.5$\end{document} ![]()
![]()
) can well predict the plasma response for the ‘DEMO-like’ equilibria. For low β plasma, the kinetic response is consistent with the fluid response, whether a strong parallel sound wave damping exists or not.
As is well known, large-scale type-I edge localized modes (ELMs) may pose serious risks to machine components in future large fusion devices. The resonant magnetic perturbation (RMP), generated by magnetic coils external to the plasma, can either suppress or mitigate ELMs, as has been shown in recent experiments on several present-day fusion devices. Understanding the ELM control with RMP may involve various physics. This work focuses on the understanding of the roles played by three key physical quantities: the edge safety factor, the RMP coil current, and the particle drift kinetic effects resulting from thermal and fusion-born α-particles. Full toroidal computations are performed by using the MARS-F/K codes. The results show that the plasma response based figures-of-merit i.e. the pitch resonant radial field component near the plasma edge and the plasma displacement near the X-point of the separatrix,consistently yield the same periodic amplification as
2023, 72(7): 076101.
doi: 10.7498/aps.72.20222389
Abstract:
The dynamic relaxation process of amorphous alloys is an important issue to understand the diffusion behavior, plastic deformation as well as glass transition phenomenon. In the current research, (La0.6Ce0.4)65Al10Co25 amorphous alloy with a pronounced β relaxation process was selected as a model system to study the dynamic mechanical relaxation processes. Influence of driving frequency, physical aging and applied strain amplitude on the β relaxation of the La-based metallic glass was probed process using dynamic mechanical analysis. The experimental results demonstrated that the peak of the β relaxation process shifts to high temperature by increasing the driving frequency. Physical aging below the glass transition temperature induces a decrease of the intensity of the β relaxation process. The “defects” of amorphous alloy decreases during the physical aging process, which is ascribed to the glassy system shifts to more stable state induced by physical aging treatment. In parallel, the intensity of the β relaxation process of the amorphous alloy increases by increasing strain amplitude. The research sheds new light on further understanding the physical origin of β relaxation process of the amorphous alloy.
The dynamic relaxation process of amorphous alloys is an important issue to understand the diffusion behavior, plastic deformation as well as glass transition phenomenon. In the current research, (La0.6Ce0.4)65Al10Co25 amorphous alloy with a pronounced β relaxation process was selected as a model system to study the dynamic mechanical relaxation processes. Influence of driving frequency, physical aging and applied strain amplitude on the β relaxation of the La-based metallic glass was probed process using dynamic mechanical analysis. The experimental results demonstrated that the peak of the β relaxation process shifts to high temperature by increasing the driving frequency. Physical aging below the glass transition temperature induces a decrease of the intensity of the β relaxation process. The “defects” of amorphous alloy decreases during the physical aging process, which is ascribed to the glassy system shifts to more stable state induced by physical aging treatment. In parallel, the intensity of the β relaxation process of the amorphous alloy increases by increasing strain amplitude. The research sheds new light on further understanding the physical origin of β relaxation process of the amorphous alloy.
2023, 72(7): 076102.
doi: 10.7498/aps.72.20222439
Abstract:
High-entropy alloys with BCC and FCC coexisting structures usually have excellent comprehensive mechanical properties, and Al element can promote the transformation of Cu-containing high-entropy alloys from FCC structure to BCC structure to obtain the BCC and FCC coexisting structures. In order to illustrate the process of phase separation of high entropy alloys, a low-cost Al-TM transition group element high-entropy alloy is selected in this work. Based on the Chan-Hilliard equation and Allen-Cahn equation, a three-dimensional phase field model of AlxCuMnNiFe high-entropy alloy is established, and the microscopic evolution of the nano-Cu-rich phase of AlxCuMnNiFe high-entropy alloy (x = 0.4, 0.5, 0.6, 0.7) at 823 K isothermal aging is simulated. The results show that the AlxCuMnNiFe high-entropy alloy generates two complex core-shell structures upon aging: Cu-rich core/B2s shell and B2c core/FeMn shell, and it is found through discussion and analysis that the formed B2c plays an inhibitory role in the formation of the nano-Cu-rich phase, and that this inhibitory role becomes larger with the increase of Al element. Combining the empirical formula, the curve of yield strength of the Cu-rich phase varying with the aging time is obtained for the AlxCuMnNiFe high-entropy alloy, and the overall yield strength of the high-entropy alloy has a rising-and-then-falling trend with the change of time, and the aging time of the peak yield strength and the alloy system are obtained from the change of the curve, so that the best alloy system and aging time of the high-entropy alloy can provide a reference for aging process.
High-entropy alloys with BCC and FCC coexisting structures usually have excellent comprehensive mechanical properties, and Al element can promote the transformation of Cu-containing high-entropy alloys from FCC structure to BCC structure to obtain the BCC and FCC coexisting structures. In order to illustrate the process of phase separation of high entropy alloys, a low-cost Al-TM transition group element high-entropy alloy is selected in this work. Based on the Chan-Hilliard equation and Allen-Cahn equation, a three-dimensional phase field model of AlxCuMnNiFe high-entropy alloy is established, and the microscopic evolution of the nano-Cu-rich phase of AlxCuMnNiFe high-entropy alloy (x = 0.4, 0.5, 0.6, 0.7) at 823 K isothermal aging is simulated. The results show that the AlxCuMnNiFe high-entropy alloy generates two complex core-shell structures upon aging: Cu-rich core/B2s shell and B2c core/FeMn shell, and it is found through discussion and analysis that the formed B2c plays an inhibitory role in the formation of the nano-Cu-rich phase, and that this inhibitory role becomes larger with the increase of Al element. Combining the empirical formula, the curve of yield strength of the Cu-rich phase varying with the aging time is obtained for the AlxCuMnNiFe high-entropy alloy, and the overall yield strength of the high-entropy alloy has a rising-and-then-falling trend with the change of time, and the aging time of the peak yield strength and the alloy system are obtained from the change of the curve, so that the best alloy system and aging time of the high-entropy alloy can provide a reference for aging process.
2023, 72(7): 076301.
doi: 10.7498/aps.72.20222250
Abstract:
Stacking two-dimensional materials into heterogeneous structures is an effective strategy to regulate their physical properties and enrich their applications in modern nanoelectronics. The electronic structure and optical properties of a new two-dimensional Janus Ga2SeTe/In2Se3 heterojunction with four stacked configurations are investigated by first principles calculations. The heterojunction of the four configurations is an indirect band-gap semiconductor with a type-II band structure, and the photoelectron donor and acceptor materials are determined by the polarization direction of two-dimensional In2Se3. The light absorption rises to 25% in the visible region, which is conducive to the effective utilization of the solar visible light. The biaxial strain can induce direct-indirect bandgap transition, and the applied electric field can effectively regulate the bandgap of heterogeneous structure. The bandgap of AA2 configuration increases monotonically from 0.195 eV to 0.714 eV, but that of AB2 configuration decreases monotonically from 0.859 eV to 0.058 eV. The band of the heterojunction always maintains the type-II structure under the two kinds of configurations. The heterojunctions under compressive strain show better light absorption capability in the visible region with shorter wavelength. These results reveal the regulatory mechanism of the Janus Ga2SeTe/In2Se3 van der Waals heterojunction electronic structure and provide theoretical guidance in designing novel optoelectronic devices.
Stacking two-dimensional materials into heterogeneous structures is an effective strategy to regulate their physical properties and enrich their applications in modern nanoelectronics. The electronic structure and optical properties of a new two-dimensional Janus Ga2SeTe/In2Se3 heterojunction with four stacked configurations are investigated by first principles calculations. The heterojunction of the four configurations is an indirect band-gap semiconductor with a type-II band structure, and the photoelectron donor and acceptor materials are determined by the polarization direction of two-dimensional In2Se3. The light absorption rises to 25% in the visible region, which is conducive to the effective utilization of the solar visible light. The biaxial strain can induce direct-indirect bandgap transition, and the applied electric field can effectively regulate the bandgap of heterogeneous structure. The bandgap of AA2 configuration increases monotonically from 0.195 eV to 0.714 eV, but that of AB2 configuration decreases monotonically from 0.859 eV to 0.058 eV. The band of the heterojunction always maintains the type-II structure under the two kinds of configurations. The heterojunctions under compressive strain show better light absorption capability in the visible region with shorter wavelength. These results reveal the regulatory mechanism of the Janus Ga2SeTe/In2Se3 van der Waals heterojunction electronic structure and provide theoretical guidance in designing novel optoelectronic devices.
2023, 72(7): 079401.
doi: 10.7498/aps.72.20222207
Abstract:
The self-assembly behavior of diblock copolymer/homopolymer/nanorods hybrid system under oscillation field is performed by using Cell Dynamics Scheme (CDS) and Brownian Dynamics (BD). The effects of the amplitude and frequency of the oscillation field on the formation and evolution of the mixture morphology are investigated systematically. It is found that the oscillation field plays an important role in the formation and transformation of the ordered structure. With the frequency increasing, the orientation of the lamellar structure transforms from parallel to the field direction to random angle and then to perpendicular to the field direction. Compared with the pure rod system, the addition of polymers has a combing effect. Under high amplitude and low frequency (\begin{document}$ {\rm{\omega }}\leqslant 0.01 $\end{document} ![]()
![]()
) of the oscillation field, the arrangement of nanorods transforms from vertical to horizontal. However, under high amplitude and high frequency (\begin{document}$ \omega > 0.01 $\end{document} ![]()
![]()
), the nanorods change from vertical/horizontal hybrid arrangement to vertical arrangement. The evolution of domain size and orientation angle of nanorods under oscillation field are further analysed. The results provide a new method and reference for fabricating and regulating the ordered structure of polymer nanocomposites.
The self-assembly behavior of diblock copolymer/homopolymer/nanorods hybrid system under oscillation field is performed by using Cell Dynamics Scheme (CDS) and Brownian Dynamics (BD). The effects of the amplitude and frequency of the oscillation field on the formation and evolution of the mixture morphology are investigated systematically. It is found that the oscillation field plays an important role in the formation and transformation of the ordered structure. With the frequency increasing, the orientation of the lamellar structure transforms from parallel to the field direction to random angle and then to perpendicular to the field direction. Compared with the pure rod system, the addition of polymers has a combing effect. Under high amplitude and low frequency (
2023, 72(7): 077101.
doi: 10.7498/aps.72.20222144
Abstract:
The natural hyperbolic phonon polariton material-orthorhombic molybdenum trioxide (α-MoO3) has recently attracted much interest , due to the associated ultra-confinement of light and enhanced light-matter interactions. We theoretically propose and study the in-plane anisotropic phonon polaritons (APhPs) in the Kretschmann structure with monolayer and dual layers α-MoO3. The excitation of phonon polaritons and the corresponding dispersion properties in this multilayer system are studied by using a generalized 4×4 transfer matrix method (TMM). The frequency dispersions with geometrical parameters are also discussed in detail. The results confirm that the interlayer coupling can be modulated by stacking the multilayer films and regulating the thickness of each layer. More interestingly, when the distance between double α-MoO3 layers is much smaller than the propagation length of PhPs, a strong coupling phenomenon occurs, and the photon tunneling probability and intensity can be greatly improved. When the incident angle is greater than the total internal reflection angle, the phase matching condition for SPhP excitation can be satisfied. Within the 40° incident angle, the SPhP blue-shifts rapidly with the increase of incident angle. But then the dispersion curve no longer changes with increase of incidence angle. The enlargement of the interstitial layer can also lead the Fabry-Perot (FP) resonance mode to be excited. The APhP in layered heterostructure is an important part of today's nanophotonic technology, our study can help optimize and design tunable optoelectronic devices based on hyperbolic materials.
The natural hyperbolic phonon polariton material-orthorhombic molybdenum trioxide (α-MoO3) has recently attracted much interest , due to the associated ultra-confinement of light and enhanced light-matter interactions. We theoretically propose and study the in-plane anisotropic phonon polaritons (APhPs) in the Kretschmann structure with monolayer and dual layers α-MoO3. The excitation of phonon polaritons and the corresponding dispersion properties in this multilayer system are studied by using a generalized 4×4 transfer matrix method (TMM). The frequency dispersions with geometrical parameters are also discussed in detail. The results confirm that the interlayer coupling can be modulated by stacking the multilayer films and regulating the thickness of each layer. More interestingly, when the distance between double α-MoO3 layers is much smaller than the propagation length of PhPs, a strong coupling phenomenon occurs, and the photon tunneling probability and intensity can be greatly improved. When the incident angle is greater than the total internal reflection angle, the phase matching condition for SPhP excitation can be satisfied. Within the 40° incident angle, the SPhP blue-shifts rapidly with the increase of incident angle. But then the dispersion curve no longer changes with increase of incidence angle. The enlargement of the interstitial layer can also lead the Fabry-Perot (FP) resonance mode to be excited. The APhP in layered heterostructure is an important part of today's nanophotonic technology, our study can help optimize and design tunable optoelectronic devices based on hyperbolic materials.
2023, 72(7): 077201.
doi: 10.7498/aps.72.20222244
Abstract:
Monolayer Ge2X4S2 (X = P, As) are novel two-dimensional (2D) layered materials with suitable optical absorption properties in the visible range and high carrier mobility, so they possess broad application prospects in the photoelectric and thermoelectric fields. In this work, their thermoelectric properties are systematicly evaluated by using the first-principles and Boltzmann transport theory. For monolayer Ge2As4S2 and Ge2P4S2, their smaller phonon group velocities, low relaxation times and the large Grüneisen parameters result in ultra-low lattice thermal conductivities, which are 3.93 W·m–1·K–1 and 3.19 W·m–1·K–1 in the armchair direction, 4.38 W·m–1·K–1 and 3.79 W·m–1·K–1 in the zigzag directions at 300 K. Their electronic band structures reveal that the monolayer Ge2As4S2 is a semiconductor with a direct band gap of 1.21 eV, while the single-layer Ge2P4S2 owns an indirect band gap of 1.13 eV. Meanwhile, the twofold degeneracy of valence band provides a large p-type Seebeck coefficient that is 1800 μV·K–1 for Ge2P4S2 and 2070 μV·K–1 for Ge2As4S2 in the armchair direction. Obviously, monolayer Ge2X4S2 has smaller lattice thermal conductivity and higher power factor, thus it is worth exploring their thermoelectric properties. The results prove that monolayer Ge2As4S2 and Ge2P4S2 have outstanding thermoelectric performances at 500 K when they are treated by optimal n-type doping. The maximum ZT values of monolayer Ge2As4S2 and Ge2P4S2 are 3.06 (armchair direction) and 3.51 (zigzag direction), as well as 3.21 (armchair direction) and 2.54 (zigzag direction), indicating that monolayer Ge2X4S2 can be a potential candidate in the medium-temperature thermoelectric applications.
Monolayer Ge2X4S2 (X = P, As) are novel two-dimensional (2D) layered materials with suitable optical absorption properties in the visible range and high carrier mobility, so they possess broad application prospects in the photoelectric and thermoelectric fields. In this work, their thermoelectric properties are systematicly evaluated by using the first-principles and Boltzmann transport theory. For monolayer Ge2As4S2 and Ge2P4S2, their smaller phonon group velocities, low relaxation times and the large Grüneisen parameters result in ultra-low lattice thermal conductivities, which are 3.93 W·m–1·K–1 and 3.19 W·m–1·K–1 in the armchair direction, 4.38 W·m–1·K–1 and 3.79 W·m–1·K–1 in the zigzag directions at 300 K. Their electronic band structures reveal that the monolayer Ge2As4S2 is a semiconductor with a direct band gap of 1.21 eV, while the single-layer Ge2P4S2 owns an indirect band gap of 1.13 eV. Meanwhile, the twofold degeneracy of valence band provides a large p-type Seebeck coefficient that is 1800 μV·K–1 for Ge2P4S2 and 2070 μV·K–1 for Ge2As4S2 in the armchair direction. Obviously, monolayer Ge2X4S2 has smaller lattice thermal conductivity and higher power factor, thus it is worth exploring their thermoelectric properties. The results prove that monolayer Ge2As4S2 and Ge2P4S2 have outstanding thermoelectric performances at 500 K when they are treated by optimal n-type doping. The maximum ZT values of monolayer Ge2As4S2 and Ge2P4S2 are 3.06 (armchair direction) and 3.51 (zigzag direction), as well as 3.21 (armchair direction) and 2.54 (zigzag direction), indicating that monolayer Ge2X4S2 can be a potential candidate in the medium-temperature thermoelectric applications.
2023, 72(7): 077501.
doi: 10.7498/aps.72.20222239
Abstract:
Amorphous rare earth (RE)-transition metal (TM) ferrimagnetic alloy films have been intensively studied recently in spintronics and ultrafast information storage due to the large perpendicular magnetic anisotropy (PMA), ultrafast magnetization switching, and the presence of magnetization compensation and angular momentum compensation. In this work, we fabricate X/Tbx(Fe0.75Co0.25)1–x/X (0.13 ≤ x ≤ 0.32, X = SiO2, Pt and W) trilayers by magnetron sputtering, and systematically investigate the magnetic properties and thermal stabilities of the ultrathin TbFeCo films encapsulated by heavy metals Pt and W at room temperature. The 5–50-nm-thick TbFeCo films sandwiched by SiO2 exhibit PMA with magnetic compensation occurring in Tb concentration x between 0.21 with 0.24. For 3-nm- and 5- nm-thick TbFeCo ultrathin films encapsulated by Pt, however, there is no magnetic compensation observed throughout the composition range 0.13 ≤ x ≤ 0.32 with the film magnetization dominated by the FeCo moment. Nevertheless, the weakened PMA for the Pt/ultrathin TbFeCo/Pt trilayers is completely destroyed after annealing at 250 ℃. When the buffer layer and capping layer of Pt are replaced by W, the ultrathin TbFeCo films show magnetic compensation at 0.21 < x < 0.24, so do the thick TbFeCo films. The effective PMA field (HK) exceeds 11.5 T for the W/ultrathin TbFeCo/W films near the compensation composition, and remarkably, the HK decreases slowly on annealing, with PMA maintained even after annealing at 350–400℃. We further prepare [Pt/TbFeCo]5/Pt and [W/TbFeCo]5/W multilayers to clarify the origin of the huge difference between Pt/ultrathin TbFeCo/Pt and the W counterpart. It is found that there are partial recrystallization and phase separation for TbFeCo layer around the Pt/TbFeCo interface, leading to the disappearance of magnetic compensation and the deterioration of the PMA in the Pt/ultrathin TbFeCo/Pt films. With large PMA, W/ultrathin TbFeCo/W films show the presence of magnetic compensation, and excellent thermal robustness. The present study provides a promising heavy metal/RE-TM heterostructure for spintronic applications.
Amorphous rare earth (RE)-transition metal (TM) ferrimagnetic alloy films have been intensively studied recently in spintronics and ultrafast information storage due to the large perpendicular magnetic anisotropy (PMA), ultrafast magnetization switching, and the presence of magnetization compensation and angular momentum compensation. In this work, we fabricate X/Tbx(Fe0.75Co0.25)1–x/X (0.13 ≤ x ≤ 0.32, X = SiO2, Pt and W) trilayers by magnetron sputtering, and systematically investigate the magnetic properties and thermal stabilities of the ultrathin TbFeCo films encapsulated by heavy metals Pt and W at room temperature. The 5–50-nm-thick TbFeCo films sandwiched by SiO2 exhibit PMA with magnetic compensation occurring in Tb concentration x between 0.21 with 0.24. For 3-nm- and 5- nm-thick TbFeCo ultrathin films encapsulated by Pt, however, there is no magnetic compensation observed throughout the composition range 0.13 ≤ x ≤ 0.32 with the film magnetization dominated by the FeCo moment. Nevertheless, the weakened PMA for the Pt/ultrathin TbFeCo/Pt trilayers is completely destroyed after annealing at 250 ℃. When the buffer layer and capping layer of Pt are replaced by W, the ultrathin TbFeCo films show magnetic compensation at 0.21 < x < 0.24, so do the thick TbFeCo films. The effective PMA field (HK) exceeds 11.5 T for the W/ultrathin TbFeCo/W films near the compensation composition, and remarkably, the HK decreases slowly on annealing, with PMA maintained even after annealing at 350–400℃. We further prepare [Pt/TbFeCo]5/Pt and [W/TbFeCo]5/W multilayers to clarify the origin of the huge difference between Pt/ultrathin TbFeCo/Pt and the W counterpart. It is found that there are partial recrystallization and phase separation for TbFeCo layer around the Pt/TbFeCo interface, leading to the disappearance of magnetic compensation and the deterioration of the PMA in the Pt/ultrathin TbFeCo/Pt films. With large PMA, W/ultrathin TbFeCo/W films show the presence of magnetic compensation, and excellent thermal robustness. The present study provides a promising heavy metal/RE-TM heterostructure for spintronic applications.
2023, 72(7): 077502.
doi: 10.7498/aps.72.20222045
Abstract:
The sintered Nd25.5Dy6.5Co13FebalM1.05B0.98 magnet (Co13 magnet) and Nd30Dy1.5Co0.5FebalM1.05B0.98 magnet (35SH magnet) are prepared by strip casting, hydrogen decrepitation, jet milling, orienting compression, sintering and annealling. The maximum energy product (BH)max and coercivity Hcj of Co13 magnet at room temperature are 30.88 MGOe and 19.01 kOe, which are lower than those of 35SH magnet. By adding Co and Dy, the remanence temperature coefficient α , curie temperature TC, and max operating temperature TW significantly increase form –0.136%/℃ to –0.065%/℃ (25–180 ℃), 310 ℃ to 454 ℃, and 160 ℃ to 200 ℃ respectively. Mechanical property test and fracture analysis show that owing to the high content of Co in the magnet, the proportion of cleavage fracture in the main phase grains increases, and the bending strength Rbb decreases compared with the Rbb of 35SH magnet, which is nearly twice that of 2∶17 type Sm-Co magnet. The reason for Rbb decreasing might be that Co element preferentially replaces Fe in the 2∶14∶1 main phase, which leads the lattice to be distorted and the grain strength of the main phase to decrease. The microstructure analysis shows that there exists a high Co region in the grain boundary phase of Co13 magnet, and its composition is close to (Nd,Dy)(Fe,Co)3, which might be one of the reasons for coercivity Hcj decreasing.
The sintered Nd25.5Dy6.5Co13FebalM1.05B0.98 magnet (Co13 magnet) and Nd30Dy1.5Co0.5FebalM1.05B0.98 magnet (35SH magnet) are prepared by strip casting, hydrogen decrepitation, jet milling, orienting compression, sintering and annealling. The maximum energy product (BH)max and coercivity Hcj of Co13 magnet at room temperature are 30.88 MGOe and 19.01 kOe, which are lower than those of 35SH magnet. By adding Co and Dy, the remanence temperature coefficient α , curie temperature TC, and max operating temperature TW significantly increase form –0.136%/℃ to –0.065%/℃ (25–180 ℃), 310 ℃ to 454 ℃, and 160 ℃ to 200 ℃ respectively. Mechanical property test and fracture analysis show that owing to the high content of Co in the magnet, the proportion of cleavage fracture in the main phase grains increases, and the bending strength Rbb decreases compared with the Rbb of 35SH magnet, which is nearly twice that of 2∶17 type Sm-Co magnet. The reason for Rbb decreasing might be that Co element preferentially replaces Fe in the 2∶14∶1 main phase, which leads the lattice to be distorted and the grain strength of the main phase to decrease. The microstructure analysis shows that there exists a high Co region in the grain boundary phase of Co13 magnet, and its composition is close to (Nd,Dy)(Fe,Co)3, which might be one of the reasons for coercivity Hcj decreasing.
2023, 72(7): 078101.
doi: 10.7498/aps.72.20222007
Abstract:
Optical nanoantennas support surface plasmon polariton (SPP) with a confinement of light breaking through the diffraction limit, and thereby achieving an enhancement and regulation of electromagnetic field on a deep-subwavelength scale. In this paper, a periodic array of optical nanoantennas on a metallic mirror is proposed, where the antennas are gold nanocubes forming a two-dimensional periodic array, and a single point emission source is located in the nanogap between the antenna of gold nanocube and the gold mirror. The nanogap between the antenna and mirror can support gap surface plasmon, which results in an enhanced spontaneous emission rate. Meanwhile, the periodic array of nanoantennas can support the surface lattice resonance (SLR), which can achieve directional far-field radiation perpendicular to the substrate or in a specified direction by properly designing the array period. To design the antenna that can simultaneously achieve an enhancement of spontaneous emission rate and a directional radiation of far field, the calculation of the radiation field of a single point source in a periodic structure is transformed into the calculation of the radiation fields of a set of pseudoperiodic point-source arrays by combining the array scanning method (ASM) and full-wave rigorous numerical method, thus giving the spontaneous emission rate of the emitter and the near-field distribution of the antenna. Concerning the calculation of the angular distribution of far-field radiation intensity, we start from the Maxwell’s equations and provide a rigorous formulation and proof of the reciprocity-theorem method. This proof is different from those reported in existing literature and has a more rigorous applicability for infinite-extent periodic structures or has a lower amount of computational work. Based on the reciprocity-theorem method, the antenna parameters are designed so that the enhancement factor of far-field radiation intensity reaches a maximum value of 2756 in the direction perpendicular to the substrate, and simultaneously, the enhancement factors of total spontaneous emission rate and far-field spontaneous emission rate of the point source reach 1097 and 55.50, respectively. The proposed antenna has a simple structure that is easy to design and fabricate, and the proposed design method is intuitive and easy to implement, which can be used to guide the design of high-speed, high-brightness and directional-radiation light sources.
Optical nanoantennas support surface plasmon polariton (SPP) with a confinement of light breaking through the diffraction limit, and thereby achieving an enhancement and regulation of electromagnetic field on a deep-subwavelength scale. In this paper, a periodic array of optical nanoantennas on a metallic mirror is proposed, where the antennas are gold nanocubes forming a two-dimensional periodic array, and a single point emission source is located in the nanogap between the antenna of gold nanocube and the gold mirror. The nanogap between the antenna and mirror can support gap surface plasmon, which results in an enhanced spontaneous emission rate. Meanwhile, the periodic array of nanoantennas can support the surface lattice resonance (SLR), which can achieve directional far-field radiation perpendicular to the substrate or in a specified direction by properly designing the array period. To design the antenna that can simultaneously achieve an enhancement of spontaneous emission rate and a directional radiation of far field, the calculation of the radiation field of a single point source in a periodic structure is transformed into the calculation of the radiation fields of a set of pseudoperiodic point-source arrays by combining the array scanning method (ASM) and full-wave rigorous numerical method, thus giving the spontaneous emission rate of the emitter and the near-field distribution of the antenna. Concerning the calculation of the angular distribution of far-field radiation intensity, we start from the Maxwell’s equations and provide a rigorous formulation and proof of the reciprocity-theorem method. This proof is different from those reported in existing literature and has a more rigorous applicability for infinite-extent periodic structures or has a lower amount of computational work. Based on the reciprocity-theorem method, the antenna parameters are designed so that the enhancement factor of far-field radiation intensity reaches a maximum value of 2756 in the direction perpendicular to the substrate, and simultaneously, the enhancement factors of total spontaneous emission rate and far-field spontaneous emission rate of the point source reach 1097 and 55.50, respectively. The proposed antenna has a simple structure that is easy to design and fabricate, and the proposed design method is intuitive and easy to implement, which can be used to guide the design of high-speed, high-brightness and directional-radiation light sources.
2023, 72(7): 078201.
doi: 10.7498/aps.72.20222300
Abstract:
Using the first-principles method, the formation energy values of O-vacancy clusters of two Li-rich Mn-based ternary cathode materials of lithium ion battery with different amounts of nickel , i.e. Li1.2Ni0.32Co0.04Mn0.44O2 (space group\begin{document}$R\bar{3}m)$\end{document} ![]()
![]()
and Li1.167Ni0.167Co0.167Mn0.5O2 (space group C2/m), are calculated. Results show that the formation energy of oxygen vacancy cluster of the material with less nickel content Li1.167Ni0.167Co0.167Mn0.5O2 can be always higher than that of the material Li1.2Ni0.32Co0.04Mn0.44O2 with higher nickel content. This indicates that the oxygen vacancy clusters are more likely to form in cathode material with higher nickel content. The formation energy of the oxygen vacancy cluster near the transition metal is always greater than that near the lithium ion, indicating that the removal of oxygen tends to occur near the Li ion. Lower temperature and higher partial pressure can increase the formation energy of oxygen vacancy cluster, and therefore inhibit the formation of oxygen vacancy cluster. In addition, the formation energy values of oxygen vacancy clusters with the transition metals in the materials replaced by other transition metals (i.e., Ti and Mo) are also calculated. The results show that, in addition to the case of Ni replaced by Ti near the double oxygen vacancies near the Li-ion in Li1.2Ni0.32Co0.04Mn0.44O2, all the remaining cases of the transition metals Ni or Mn replaced by Ti or Mo always increase the formation energy of the O-vacancy cluster. Therefore, the doping should be able to inhibit the loss of oxygen and improve the structural stability of material.
Using the first-principles method, the formation energy values of O-vacancy clusters of two Li-rich Mn-based ternary cathode materials of lithium ion battery with different amounts of nickel , i.e. Li1.2Ni0.32Co0.04Mn0.44O2 (space group
2023, 72(7): 078501.
doi: 10.7498/aps.72.20222248
Abstract:
With the increase of IGBT voltage and current ratings, the avalanche effect has become an important factor limiting the safe operating area (SOA) of the device. The hole injection of the p+n junction on the back of the device when the avalanche effect occurs is the main feature that distinguishes the avalanche effect of the IGBT from other devices. In this paper, the avalanche breakdown characteristics of IGBT and the behavior of avalanche-generated current filaments are studied through theoretical analysis and numerical simulation, and the physical mechanism dominating the behavior of avalanche-generated current filaments is revealed. The results show that the hole injection on the backside of IGBT leads to an additional negative differential resistance branch on the avalanche breakdown curve, and the strength of the negative differential resistance effect depends on the common base current gain of IGBT αpnp. With the increase of αpnp, the negative differential resistance effect becomes stronger, the avalanche current at the valley point where the additional negative differential resistance branch transforms into the positive differential resistance branch also becomes higher. And the valley point at the avalanche breakdown curve of IGBT dominates the strength of the avalanche-generated filament. As a result, the strength of avalanche-generated filament depends on the αpnp. With the lattice temperature increasing, the avalanche breakdown voltage of IGBT increases, leading to the shifting of the avalanche breakdown curve towards a higher voltage. And with the increase of αpnp, the offset of the avalanche breakdown curves at high and low temperature becomes smaller, which dominates the lateral movement speed of the avalanche-generated filament. With the increase of the αpnp and the decrease of the offset of avalanche breakdown curves at high and low temperature, the avalanche-generated filament laterally moves more slowly. To sum up, with the increase of the αpnp of IGBT, the avalanche-generated filament becomes stronger and moves more slowly, which extremely causes the local overheating where the filaments exist and lowers the avalanche robustness of the device. Therefore, the αpnp of IGBT must be controlled precisely in order to have a good trade-off between the characteristics and the reliability of IGBT.
With the increase of IGBT voltage and current ratings, the avalanche effect has become an important factor limiting the safe operating area (SOA) of the device. The hole injection of the p+n junction on the back of the device when the avalanche effect occurs is the main feature that distinguishes the avalanche effect of the IGBT from other devices. In this paper, the avalanche breakdown characteristics of IGBT and the behavior of avalanche-generated current filaments are studied through theoretical analysis and numerical simulation, and the physical mechanism dominating the behavior of avalanche-generated current filaments is revealed. The results show that the hole injection on the backside of IGBT leads to an additional negative differential resistance branch on the avalanche breakdown curve, and the strength of the negative differential resistance effect depends on the common base current gain of IGBT αpnp. With the increase of αpnp, the negative differential resistance effect becomes stronger, the avalanche current at the valley point where the additional negative differential resistance branch transforms into the positive differential resistance branch also becomes higher. And the valley point at the avalanche breakdown curve of IGBT dominates the strength of the avalanche-generated filament. As a result, the strength of avalanche-generated filament depends on the αpnp. With the lattice temperature increasing, the avalanche breakdown voltage of IGBT increases, leading to the shifting of the avalanche breakdown curve towards a higher voltage. And with the increase of αpnp, the offset of the avalanche breakdown curves at high and low temperature becomes smaller, which dominates the lateral movement speed of the avalanche-generated filament. With the increase of the αpnp and the decrease of the offset of avalanche breakdown curves at high and low temperature, the avalanche-generated filament laterally moves more slowly. To sum up, with the increase of the αpnp of IGBT, the avalanche-generated filament becomes stronger and moves more slowly, which extremely causes the local overheating where the filaments exist and lowers the avalanche robustness of the device. Therefore, the αpnp of IGBT must be controlled precisely in order to have a good trade-off between the characteristics and the reliability of IGBT.
2023, 72(7): 079701.
doi: 10.7498/aps.72.20222208
Abstract:
Pulsar time (PT) has high long-term stability, and its establishment process is completely different from that of atomic time (AT). Therefore, pulsar-based time scale can be used as an independent test for the fluctuation of atomic time scale. In this paper, the test results of the fluctuation of atomic time using pulsar time are presented in combination with the real clock difference data. In order to test the fluctuation of atomic time, the timing model parameters of four pulsars are used to simulate the pulse times of arrival (TOAs) data with TT(BIPM19) as the reference, and then the reference time is changed from TT(BIPM19) to TT(TAI). Based on this, the classical weighted average algorithm and the Wiener filtering algorithm are used to extract the variations of the atomic time relative to the pulsar time. The test results obtained by the two methods are compared, and it shows that the Wiener filtering algorithm is better than the weighted average algorithm for the extraction of the fluctuation of the atomic time. The wavelet threshold denoising method is added to the clock difference signal extracted by the Wiener filtering algorithm to deduct the high-frequency noise. After denoising, PT is closer to TT(BIPM19), which further improves the ability of PT to detect the fluctuation of AT. For the TOA measurement accuracy of 100 ns, the difference between PT and TT(BIPM19) can be kept roughly within 40 ns. This paper studies the method of further improving the accuracy of PT under the premise of given TOA measurement accuracy, which is of great significance for the next step to use PT for more effective application of time keeping.
Pulsar time (PT) has high long-term stability, and its establishment process is completely different from that of atomic time (AT). Therefore, pulsar-based time scale can be used as an independent test for the fluctuation of atomic time scale. In this paper, the test results of the fluctuation of atomic time using pulsar time are presented in combination with the real clock difference data. In order to test the fluctuation of atomic time, the timing model parameters of four pulsars are used to simulate the pulse times of arrival (TOAs) data with TT(BIPM19) as the reference, and then the reference time is changed from TT(BIPM19) to TT(TAI). Based on this, the classical weighted average algorithm and the Wiener filtering algorithm are used to extract the variations of the atomic time relative to the pulsar time. The test results obtained by the two methods are compared, and it shows that the Wiener filtering algorithm is better than the weighted average algorithm for the extraction of the fluctuation of the atomic time. The wavelet threshold denoising method is added to the clock difference signal extracted by the Wiener filtering algorithm to deduct the high-frequency noise. After denoising, PT is closer to TT(BIPM19), which further improves the ability of PT to detect the fluctuation of AT. For the TOA measurement accuracy of 100 ns, the difference between PT and TT(BIPM19) can be kept roughly within 40 ns. This paper studies the method of further improving the accuracy of PT under the premise of given TOA measurement accuracy, which is of great significance for the next step to use PT for more effective application of time keeping.









