-
Fusion reactions not only provide key information for studying the dynamic evolution and dissipation mechanisms in quantum many-body systems, but also open up an important avenue for exploring the reaction dynamics and structural characteristics of atomic nuclei. In recent years, with the continuous development of the technology for synthesizing new elements and their isotopes via fusion reactions, a series of new elements and their isotopes have been successfully synthesized. This paper systematically summarizes the synthesis pathways of elements in different mass regions, ranging from hydrogen to mendelevium, as well as the experimental progress of various heavy-ion fusion reactions from light systems to heavy systems. It reviews the advantages and limitations of current theoretical models in describing the capture process, and focuses on analyzing the strengths and shortcomings of phenomenological models and microscopic dynamic models in explaining the fusion behavior of different reaction systems. For the capture cross sections in light nuclei-light nuclei reaction systems, the EBD method, the CCFULL model, the universal Wong formula, and the ImQMD model all demonstrate good agreement with the experimental data. For the systems involving light nuclei-medium mass nuclei and light nuclei-heavy nuclei, the mentioned above models provide satisfactory descriptions. In particular, for the 16O+144Sm reaction system, the results obtained from the CCFULL model show good agreement with experimental data across both the sub-barrier and above-barrier energy regions. For the heavy nuclei-heavy nuclei systems, however, the EBD method holds a distinct advantage. Therefore, in subsequent predictions of the evaporation residue cross sections for superheavy elements, the results calculated by the EBD method can serve as the input for the capture cross section. On this basis, several key scientific issues in fusion reaction research are proposed, including heavy-ion fusion hindrance, the phenomenon of fusion suppression at extreme sub-barrier energies, fusion probability $P_{\text{CN}}$, and the fission barrier of compound nuclei, etc. Furthermore, an outlook and suggestions for future research directions in fusion reactions are provided.
-
Keywords:
- fusion reaction /
- nuclear reaction model /
- capture cross section /
- evaporation residue cross section
-
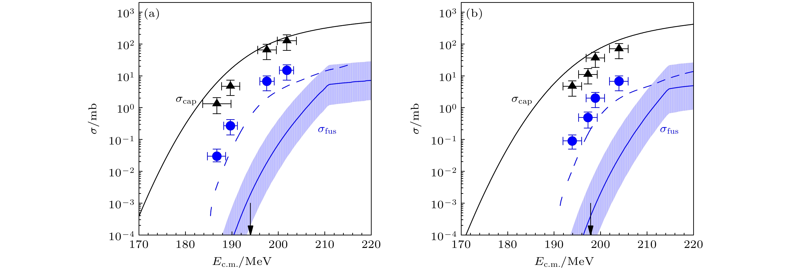
图 4 (a) 基于FBD模型计算的48Ca+244Pu的俘获截面$ \sigma_{\text{cap}} $和熔合截面$ \sigma_{\text{fus}} $; (b) 基于FBD模型计算的48Ca+248Cm的俘获截面$ \sigma_{\text{cap}} $和熔合截面$ \sigma_{\text{fus}} $[83]
Figure 4. (a) The capture cross sections $ \sigma_{\text{cap}} $ and fusion cross sections $ \sigma_{\text{fus}} $ for the 48Ca+244Pu system calculated by the FBD model; (b) The capture cross sections $ \sigma_{\text{cap}} $ and fusion cross sections $ \sigma_{\text{fus}} $ for the 48Ca+248Cm system calculated by the FBD model[83].
图 8 (a) 58Ni+58Ni反应不同弥散参数下的熔合激发函数; (b) 58Ni+58Ni反应不同弥散参数下的指数斜率[121]
Figure 8. (a) The fusion excitation functions for the $ ^{58}{\rm{Ni}}+^{58}{\rm{Ni}} $ reaction for different surface diffuseness parameters; (b) The logarithmic slopes for the $ {}^{58}{\rm{Ni}}+{}^{58}{\rm{Ni}} $ reaction for different surface diffuseness parameters[121].
表 1 在轻核-轻核反应体系中, 实验观测到的熔合截面与该入射能量下理论模型的比较
Table 1. Comparison between experimental cross sections and theoretical models for light nuclei-light nuclei fusion reaction systems at the incident energy.
反应体系 $ E_{\text{c.m.}} $(MeV) $ \sigma_{\text{fus}}^{\text{exp}} $(mb) $ \sigma_{\text{fus}}^{\text{ECC}} $(mb) $ \sigma_{\text{fus}}^{\text{EBD2}} $[62](mb) $ \sigma_{\text{fus}}^{\text{CCFULL}} $[65](mb) $ \sigma_{\text{fus}}^{\text{Wong}} $(mb) $ \sigma_{\text{fus}}^{\text{ImQMD}} $(mb) 12C+14C→26Mg 8.000 393.355[30] 936.203 513.288 606.788 505.773 477.836 14N+16O→30P 11.988 429.722[27] 777.552 445.524 — 448.672 476.894 16O+16O→32S 12.514 433.638[29] 659.073 337.543 413.014 334.054 342.434 12C+20Ne→32S 14.965 467.280[28] 873.843 639.505 762.936 696.192 698.062 表 2 在轻核-中重核、轻核-重核反应体系中, 实验观测到的俘获截面与该入射能量下理论模型的比较
Table 2. Comparison between experimental cross sections and theoretical models for light nuclei-medium mass nuclei and light nuclei-heavy nuclei fusion reaction systems at the incident energy.
反应体系 $ E_{\text{c.m.}} $(MeV) $ \sigma_{\text{cap}}^{\text{exp}} $[71](mb) $ \sigma_{\text{cap}}^{\text{ECC}} $(mb) $ \sigma_{\text{cap}}^{\text{EBD2}} $[62](mb) $ \sigma_{\text{cap}}^{\text{CCFULL}} $[65](mb) $ \sigma_{\text{cap}}^{\text{Wong}} $(mb) $ \sigma_{\text{cap}}^{\text{ImQMD}} $(mb) 12C+206Pb→218Ra 80.150 872.246 1113.600 986.338 852.125 1113.373 1322.925 14N+232Th→246Bk 86.390 823.000 656.404 676.666 — 745.517 912.004 15N+209Bi→224Th 82.297 705.589 785.167 704.484 — 769.015 965.097 16O+209Bi→225Pa 93.185 688.362 732.198 659.206 — 743.462 917.345 16O+144Sm→160Yb 80.89 876.000 870.274 776.450 879.439 857.778 1013.1636 16O+208Pb→226Th 100.72 949.000 974.760 888.832 1173.059 1022.355 1222.394 23Na+48Ti→71As 45.207 687.284 645.242 583.905 — 682.850 757.438 28Si+208Pb→236Cm 156.821 726.666 371.941 656.247 471.170 766.809 1032.956 30Si+238U→268Sg 169.001 780.325 638.769 673.966 447.388 751.604 976.721 34S+89Y→123Cs 91.050 505.000 465.149 434.505 — 464.238 544.124 37Cl+100Mo→137Pr 94.539 250.231 217.034 274.459 — 280.626 346.832 表 3 在重核-重核反应体系中, 实验观测到的俘获截面与该入射能量下理论模型的比较
Table 3. Comparison between experimental cross sections and theoretical models for heavy nuclei-heavy nuclei fusion reaction systems at the incident energy.
反应体系 $ E_{\text{c.m.}} $(MeV) $ \sigma_{\text{cap}}^{\text{exp}} $[72](mb) $ \sigma_{\text{cap}}^{\text{ECC}} $(mb) $ \sigma_{\text{cap}}^{\text{EBD2}} $[62](mb) $ \sigma_{\text{cap}}^{\text{Wong}} $(mb) $ \sigma_{\text{cap}}^{\text{ImQMD}} $(mb) 48Ca+238U→286Cn 214.7 502 ± 100 375.835 359.819 367.476 562.973 48Ca+244Pu→292Fl 204 126 ± 63 133.976 153.076 160.059 195.093 48Ca+248Cm→296Lv 206 69 ± 35 108.700 120.816 132.157 176.872 48Ti+238U→286Fl 226 250 ± 40 191.874 153.741 197.252 256.668 52Cr+232Th→284Fl 261 410 ± 100 364.361 255.807 344.598 603.500 52Cr+248Cm→300120 251 88 ± 10 145.230 77.347 117.075 146.084 54Cr+248Cm→302120 242 15 ± 3 58.305 36.777 60.473 70.529 64Ni+238U→302120 301 123 ± 37 42.351 139.730 137.971 452.075 -
[1] 马余刚, 2020 原子核物理新进展(上海交通大学出版社)第245—304页
Ma Y G 2020 Recent Progress in Nuclear Physics (Shanghai: Shanghai Jiao Tong University Press), pp 245–304.
[2] 张丰收, 葛凌霄 1998 原子核多重碎裂(科学出版社) 第268—274页
Zhang F S, Ge L X 1998 Nuclear Multifragmentation (Beijing: Science Press), pp 268–274.
[3] 张丰收, 张钰海, 张明昊, 唐娜, 程诗慧, 李静静, 程伟 2022 北京师范大学学报(自然科学版) 58 392
Zhang F S, Zhang Y H, Zhang M H, Tang N, Cheng S H, Li J J, Cheng W 2022 J. Beijing Norm. Univ. (Nat. Sci.) 58 392
[4] Thoennessen M 2016 The discovery of isotopes (Springer International Publishing Switzerland), pp 23–35
[5] Gamow G 1928 Z. Phys. 51 204
Google Scholar
[6] Bohr N 1936 Usp. Fiz. Nauk 16 425
Google Scholar
[7] Weisskopf V F, Ewing D H 1940 Phys. Rev. 57 472
Google Scholar
[8] Hauser W, Feshbach H 1952 Phys. Rev. 87 366
Google Scholar
[9] Stokstad R G, Eisen Y, Kaplanis S, Pelte D, Smilansky U, Tserruya I 1980 Phys. Rev. C 21 2427
Google Scholar
[10] 唐晓东, 李阔昂 2019 物理 48 633
Tang X D, Li K A 2019 Phys. 48 633
[11] Burbidge E M, Burbidge G R, Fowler W A, Hoyle F 1957 Rev. Mod. Phys. 29 547
Google Scholar
[12] Cameron A G W 2013 Stellar evolution, nuclear astrophysics, and nucleogenesis (Dover Publications), pp 5–10
[13] Fowler W A 1984 Rev. Mod. Phys. 56 149
Google Scholar
[14] 柳卫平, 张玉虎, 郭冰, 白希祥, 何建军, 唐晓东 2017 核物理与等离子体物理: 学科前沿及发展战略(上册: 核物理卷)第四章核天体物理 第207—223页
Liu W P, Zhang Y H, Guo B, Bai X X, He J J, Tang X D 2017 Nuclear Physics and Plasma Physics: Discipline Development Strategy(Nuclear Physics Volume) (Beijing: Science Press), pp 207–223.
[15] Matis H 2019 Nuclear Science—A Guide to the Nuclear Science Wall Chart (Contemporary Physics Education Project), pp 10–1–10–5
[16] José J, Iliadis C 2011 Rep. Prog. Phys. 74 096901
Google Scholar
[17] Arnould M, Goriely S 2003 Phys. Rep. 384 1
Google Scholar
[18] 刘佳佳, 张钰海, 张丰收 2025 原子能科学技术 59 265
Liu J J, Zhang Y H, Zhang F S 2025 At. Energy Sci. Technol. 59 265
[19] McMillan E, Abelson P H 1940 Phys. Rev. 57 1185
[20] Seaborg G T, Mcmillan E M, Kennedy J W, Wahl A C 1946 Phys. Rev. 69 366
[21] Seaborg G T 1994 The chemical and radioactive properties of the heavy elements (World Scientific), pp 20–23
[22] Ghiorso A, James R A, Morgan L O, Seaborg G T 1950 Phys. Rev. 78 472
[23] Thompson S G, Ghiorso A, Seaborg G T 1950 Phys. Rev. 77 838
[24] Thompson S G, Street K, Ghiorso A, Seaborg G T 1950 Phys. Rev. 78 298
[25] Ghiorso A, Thompson S G, Higgins G H, Seaborg G T, Studier M H, Fields P R, Fried S M, Diamond H, Mech J F, Pyle G L, Huizenga J R, Hirsch A, Manning W M, Browne C I, Smith H L, Spence R W 1955 Phys. Rev. 99 1048
Google Scholar
[26] Ghiorso A, Harvey B G, Choppin G R, Thompson S G, Seaborg G T 1955 Phys. Rev. 98 1518
Google Scholar
[27] Stokstad R G, Switkowski Z E, Dayras R A, Wieland R M 1976 Phys. Rev. Lett. 37 888
Google Scholar
[28] Hulke G, Rolfs C, Trautvetter H P 1980 Z. Phys. A: At. Nucl. 297 161
Google Scholar
[29] Thomas J, Chen Y T, Hinds S, Langanke K, Meredith D, Olson M, Barnes C A 1985 Phys. Rev. C 31 1980
[30] Dasmahapatra B, Čujec B 1993 Nucl. Phys. A 565 657
Google Scholar
[31] An R, Jiang X, Tang N, Cao L G, Zhang F S 2024 Phys. Rev. C 109 064302
[32] 林承键, 2018 重离子核反应 (哈尔滨工程大学出版社) 第134—168页
Lin C J 2018 Nuclear Reactions with Heavy Ions (Harbin: Harbin Engineering University Publishing), pp 134–168.
[33] Murakami T, Sahm C C, Vandenbosch R, Leach D D, Ray A, Murphy M J 1986 Phys. Rev. C 34 1353
Google Scholar
[34] Broglia R, Dasso C, Landowne S, Pollarolo G 1983 Phys. Lett. B 133 34
Google Scholar
[35] Timmers H, Leigh J, Dasgupta M, Hinde D, Lemmon R, Mein J, Morton C, Newton J, Rowley N 1995 Nucl. Phys. A 584 190
Google Scholar
[36] Morton C R, Berriman A C, Dasgupta M, Hinde D J, Newton J O, Hagino K, Thompson I J 1999 Phys. Rev. C 60 044608
Google Scholar
[37] Wei J X, Leigh J R, Hinde D J, Newton J O, Lemmon R C, Elfstrom S, Chen J X, Rowley N 1991 Phys. Rev. Lett. 67 3368
Google Scholar
[38] Leigh J R, Dasgupta M, Hinde D J, Mein J C, Morton C R, Lemmon R C, Lestone J P, Newton J O, Timmers H, Wei J X, Rowley N 1995 Phys. Rev. C 52 3151
[39] Donets E D, Shchegolev V A, Ermakov V A 1966 Sov. At. Energy 20 257
Google Scholar
[40] Zager B A, Miller M B, Mikheev V L, Polikanov S M, Sukhov A M, Flerov G N, Chelnokov L P 1966 Sov. At. Energy 20 264
Google Scholar
[41] Donets E D, Shchegolev V A, Ermakov V A 1965 Sov. At. Energy 19 995
Google Scholar
[42] Eskola K, Eskola P, Nurmia M, Ghiorso A 1971 Phys. Rev. C 4 632
Google Scholar
[43] Ghiorso A, Nurmia M, Harris J, Eskola K, Eskola P 1969 Phys. Rev. Lett. 22 1317
Google Scholar
[44] Ghiorso A, Nurmia M, Eskola K, Harris J, Eskola P 1970 Phys. Rev. Lett. 24 1498
Google Scholar
[45] Ghiorso A, Nitschke J M, Alonso J R, Alonso C T, Nurmia M, Seaborg G T, Hulet E K, Lougheed R W 1974 Phys. Rev. Lett. 33 1490
Google Scholar
[46] Oganessian Y 2013 Nucl. Phys. News 23 15
Google Scholar
[47] Morita K, Morimoto K, Kaji D, Akiyama T, Goto S, Haba H, Ideguchi E, Kanungo R, Katori K, Koura H, et al 2004 J. Phys. Soc. Jpn. 73 2593
Google Scholar
[48] Zhang M H, Zou Y, Wang M C, Zhang G, Niu Q L, Zhang F S 2024 Nucl. Sci. Tech. 35 161
Google Scholar
[49] Zhang F S, Li C, Zhu L, Wen P W 2018 Front. Phys. 13 132113
Google Scholar
[50] 张钰海, 张根, 李静静, 程伟, 张丰收 2022 同位素 35 104
Zhang Y H, Zhang G, Li J J, Cheng W, Zhang F S 2022 J. Isot. 35 104
[51] Oganessian Y T, Utyonkov V K, Lobanov Y V, Abdullin F S, Polyakov A N, Sagaidak R N, Shirokovsky I V, Tsyganov Y S, Voinov A A, Mezentsev A N, Subbotin V G, Sukhov A M, Subotic K, Zagrebaev V I, Dmitriev S N, Henderson R A, Moody K J, Kenneally J M, Landrum J H, Shaughnessy D A, Stoyer M A, Stoyer N J, Wilk P A 2009 Phys. Rev. C 79 024603
Google Scholar
[52] Hofmann S, Heinz S, Mann R, Maurer J, Münzenberg G, Antalic S, Barth W, Burkhard H, Dahl L, Eberhardt K, et al 2016 Eur. Phys. J. A 52 180
Google Scholar
[53] Khuyagbaatar J, Yakushev A, Düllmann C E, Ackermann D, Andersson L L, Asai M, Block M, Boll R A, Brand H, Cox D M, Dasgupta M, Derkx X, Di Nitto A, Eberhardt K, Even J, Evers M, Fahlander C, Forsberg U, Gates J M, Gharibyan N, Golubev P, Gregorich K E, Hamilton J H, Hartmann W, Herzberg R D, Heßberger F P, Hinde D J, Hoffmann J, Hollinger R, Hübner A, Jäger E, Kindler B, Kratz J V, Krier J, Kurz N, Laatiaoui M, Lahiri S, Lang R, Lommel B, Maiti M, Miernik K, Minami S, Mistry A K, Mokry C, Nitsche H, Omtvedt J P, Pang G K, Papadakis P, Renisch D, Roberto J B, Rudolph D, Runke J, Rykaczewski K P, Sarmiento L G, Schädel M, Schausten B, Semchenkov A, Shaughnessy D A, Steinegger P, Steiner J, Tereshatov E E, Thörle-Pospiech P, Tinschert K, Torres De Heidenreich T, Trautmann N, Türler A, Uusitalo J, Wegrzecki M, Wiehl N, Van Cleve S M, Yakusheva V 2020 Phys. Rev. C 102 064602
Google Scholar
[54] Tanaka M, Brionnet P, Du M, Ezold J, Felker K, Gall B J, Go S, Grzywacz R K, Haba H, Hagino K, Hogle S, Ishizawa S, Kaji D, Kimura S, King T, Komori Y, K Lemon R, G Leonard M, Morimoto K, Morita K, Nagae D, Naito N, Niwase T, C Rasco B, B Roberto J, P Rykaczewsk K, Sakaguchi S, Sakai H, Shigekawa Y, W Stracener D, VanCleve, Shelley, Wang Y, Washiyama K, Yokokita T 2022 J. Phys. Soc. Jpn. 91 084201
Google Scholar
[55] Oganessian Y T, Utyonkov V K, Abdullin F S, Dmitriev S N, Ibadullayev D, Itkis M G, Karpov A V, Kovrizhnykh N D, Kuznetsov D A, Petrushkin O V, Podshibiakin A V, Polyakov A N, Popeko A G, Sagaidak R N, Saiko V V, Schlattauer L, Shubin V D, Shumeiko M V, Solovyev D I, Tsyganov Y S, Voinov A A, Subbotin V G, Sabelnikov A V, Abdusamadzoda D, Bodrov A Y, Voronyuk M G, Bozhikov G A, Aksenov N V, Khalkin A V, Gan Z G, Zhang Z Y, Huang M H, Yang H B, Wang J G, Zhang M M, Huang X Y 2025 Phys. Rev. C 112 014603
Google Scholar
[56] Zagrebaev V 2019 Heavy Ion Reactions at Low Energies (Springer Nature), pp 105–145
[57] Hill D L, Wheeler J A 1953 Phys. Rev. 89 1102
Google Scholar
[58] Zagrebaev V I, Aritomo Y, Itkis M G, Oganessian Y T, Ohta M 2001 Phys. Rev. C 65 014607
Google Scholar
[59] Siwek-Wilczyńska K, Wilczyński J 2004 Phys. Rev. C 69 024611
Google Scholar
[60] Cap T, Siwek-Wilczyńska K, Wilczyński J 2011 Phys. Rev. C 83 054602
Google Scholar
[61] Lü H, Marchix A, Abe Y, Boilley D 2016 Comput. Phys. Commun. 200 381
Google Scholar
[62] http://www.imqmd.com/fusion/EBD2 a.html
[63] Chuluunbaatar O, Gusev A, Vinitsky S, Abrashkevich A, Wen P, Lin C 2022 Comput. Phys. Commun. 278 108397
Google Scholar
[64] Hagino K, Rowley N, Kruppa A 1999 Comput. Phys. Commun. 123 143
Google Scholar
[65] https://www2.yukawa.kyoto-u.ac.jp/kouichi.hagino/ccfull.html
[66] Stefanini A M, Corradi L, Vinodkumar A M, Feng Y, Scarlassara F, Montagnoli G, Beghini S, Bisogno M 2000 Phys. Rev. C 62 014601
Google Scholar
[67] Baby L T, Tripathi V, Das J J, Sugathan P, Madhavan N, Sinha A K, Radhakrishna M C, Madhusudhana Rao P V, Hui S K, Hagino K 2000 Phys. Rev. C 62 014603
Google Scholar
[68] Wong C Y 1973 Phys. Rev. Lett. 31 766
Google Scholar
[69] Liu M, Wang N, Li Z X, Wu X Z, Zhao E G 2006 Nucl. Phys. A 768 80
Google Scholar
[70] Wang N, Chen J, Wang Y, Yao H 2025 Phys. Rev. C 111 024621
Google Scholar
[71] Wang B, Wen K, Zhao W J, Zhao E G, Zhou S G 2017 At. Data Nucl. Data Tables 114 281
Google Scholar
[72] Itkis M G, Knyazheva G N, Itkis I M, Kozulin E M 2022 Eur. Phys. J. A 58 178
Google Scholar
[73] Swiatecki W 1981 Phys. Scr. 24 113
Google Scholar
[74] Bjørnholm S, Swiatecki W J 1982 Nucl. Phys. A 391 471
Google Scholar
[75] Blocki J, Feldmeier H, Swiatecki W 1986 Nucl. Phys. A 459 145
Google Scholar
[76] Aritomo Y, Wada T, Ohta M, Abe Y 1999 Phys. Rev. C 59 796
Google Scholar
[77] Zagrebaev V I 2001 Phys. Rev. C 64 034606
Google Scholar
[78] Shen C, Kosenko G, Abe Y 2002 Phys. Rev. C 66 061602
[79] Shen C, Abe Y, Boilley D, Kosenko G, Zhao E 2008 Int. J. Mod. Phys. E 17 66
Google Scholar
[80] Shen C, Abe Y, Li Q, Boilley D 2009 Sci. China Ser. G 52 1458
Google Scholar
[81] Swiatecki W J, Siwek-Wilczynska K, Wilczynski J 2005 Phys. Rev. C 71 014602
Google Scholar
[82] Siwek-Wilczynska K, Cap T, Kowal M, Sobiczewski A, Wilczynski J 2012 Phys. Rev. C 86 014611
Google Scholar
[83] Cap T, Kowal M, Siwek-Wilczyńska K 2022 Eur. Phys. J. A 58 231
Google Scholar
[84] Adamian G, Antonenko N, Jolos R, Palchikov Y V, Scheid W, Shneidman T 2004 Phys. At. Nucl. 67 1701
Google Scholar
[85] 左维, 李君清, 赵恩广 2006 原子核物理评论 23 382
Zuo W, Li J Q, Zhao E G 2006 Nucl. Phys. Rev. 23 382
[86] Feng Z Q, Jin G M, Li J Q, Scheid W 2007 Phys. Rev. C 76 044606
Google Scholar
[87] Wang N, Li J Q, Zhao E G 2008 Phys. Rev. C 78 054607
Google Scholar
[88] Yu L, Gan Z G, Huang M H, Zhang H F, Li J Q 2013 Nucl. Phys. Rev. 30 299
[89] Yu L, Gan Z G, Zhang Z Y, Zhang H F, Li J Q 2014 Phys. Lett. B 730 105
Google Scholar
[90] Zhu L, Su J, Li C, Zhang F S 2022 Phys. Lett. B 829 137113
Google Scholar
[91] Zhu L, Su J 2021 Phys. Rev. C 104 044606
Google Scholar
[92] Zhang M H, Wang M C, Zou Y, Li J J, Zhang G, Zhang F S 2025 Phys. Rev. C 111 024611
Google Scholar
[93] Li J J, Li C, Zhang G, Zhu L, Liu Z, Zhang F S 2017 Phys. Rev. C 95 054612
Google Scholar
[94] Zhang M H, Zhang Y H, Zou Y, Wang C, Zhu L, Zhang F S 2024 Phys. Rev. C 109 014622
Google Scholar
[95] 杨秀秀, 张根, 李静静, 李冰, 张欣蕊, A. T. Sokhna Cheikh, 程诗慧, 张钰海, 王晨, 张丰收 2020 原子核物理评论 37 151
Yang X X, Zhang G, Li J J, Li B, Zhang X R, Cheikh A T S, Cheng S H, Zhang Y H, Wang C, Zhang F S 2020 Nucl. Phys. Rev. 37 151
[96] Zhang M H, Zou Y, Wang M C, Niu Q L, Zhang G, Zhang F S 2025 Chin. Phys. C 49 054107
Google Scholar
[97] Zhang M H, Zhang Z Y, Gan Z G, Zhou S G, Zhang F S 2025 Nucl. Sci. Tech. 36 204
Google Scholar
[98] 张明昊, 张钰海, 李静静, 唐娜, 孙帅, 张丰收 2023 核技术 46 080014
Zhang M H, Zhang Y H, Li J J, Tang N, Sun S, Zhang F S 2023 Nucl. Tech. 46 080014
[99] Zhang M H, Zhang Y H, Zou Y, Yang X X, Zhang G, Zhang F S 2024 Nucl. Sci. Tech. 35 95
Google Scholar
[100] Li J J, Tang N, Zhang Y H, Zhang M H, Wang C, Zhang X R, Zhu L, Zhang F S 2023 Int. J. Mod. Phys. E 32 2330002
[101] Fang Y P, Gao Z P, Zhang Y N, Liao Z H, Yang Y, Su J, Zhu L 2024 Phys. Lett. B 858 139069
Google Scholar
[102] Gao Z P, Liu S Y, Wen P W, Liao Z H, Yang Y, Su J, Wang Y J, Zhu L 2024 Phys. Rev. C 109 024601
Google Scholar
[103] 邹盈, 张钰海, 唐娜, 李静静, 张丰收 2023 原子能科学技术 57 762
Zou Y, Zhang Y H, Tang N, Li J J, Zhang F S 2023 At. Energy Sci. Technol. 57 762
[104] Chen L W, Ge L X, Zhang X D, Zhang F S 1997 J. Phys. G: Nucl. Part. Phys. 23 211
Google Scholar
[105] Chen L W, Zhang F S, Jin G M 1998 Phys. Rev. C 58 2283
Google Scholar
[106] Zhang Y H, Zhang G, Li J J, Liu Z, Yeremin A V, Zhang F S 2022 Phys. Rev. C 106 014625
Google Scholar
[107] Dirac P A M 1930 Note on exchange phenomena in the Thomas atom (Cambridge University Press), pp 376–385
[108] Sekizawa K 2019 Front. Phys. 7 20
Google Scholar
[109] Ren Z X, Zhao P W, Meng J 2020 Phys. Lett. B 801 135194
Google Scholar
[110] Ren Z X, Zhao P W, Meng J 2020 Phys. Rev. C 102 044603
Google Scholar
[111] Bonche P, Grammaticos B, Koonin S 1978 Phys. Rev. C 17 1700
[112] Umar A S, Strayer M R, Reinhard P G 1986 Phys. Rev. Lett. 56 2793
Google Scholar
[113] Godbey K, Umar A S, Simenel C 2022 Phys. Rev. C 106 L051602
Google Scholar
[114] Sun X X, Guo L 2023 Phys. Rev. C 107 064609
Google Scholar
[115] Yao H, Yang H, Wang N 2024 Phys. Rev. C 110 014602
Google Scholar
[116] Jiang X, Wang N, An R 2025 Phys. Rev. C 111 044604
Google Scholar
[117] Sahm C C, Clerc H G, Schmidt K H, Reisdorf W, Armbruster P, Heßberger F, Keller J, Münzenberg G, Vermeulen D 1984 Z. Phys. A: At. Nucl. 319 113
Google Scholar
[118] Schmidt K H, Morawek W 1991 Rep. Prog. Phys. 54 949
Google Scholar
[119] Boilley D, Lü H, Shen C, Abe Y, Giraud B G 2011 Phys. Rev. C 84 054608
Google Scholar
[120] Jiang C L, Esbensen H, Rehm K E, Back B B, Janssens R V F, Caggiano J A, Collon P, Greene J, Heinz A M, Henderson D J, Nishinaka I, Pennington T O, Seweryniak D 2002 Phys. Rev. Lett. 89 052701
Google Scholar
[121] Hagino K, Rowley N, Dasgupta M 2003 Phys. Rev. C 67 054603
Google Scholar
[122] Adamian G, Antonenko N, Scheid W 2000 Nucl. Phys. A 678 24
Google Scholar
[123] Smolańczuk R 2010 Phys. Rev. C 81 067602
Google Scholar
[124] Wang N, Tian J, Scheid W 2011 Phys. Rev. C 84 061601
[125] Kozulin E M, Knyazheva G N, Itkis I M, Itkis M G, Bogachev A A, Chernysheva E V, Krupa L, Hanappe F, Dorvaux O, Stuttgé L, Trzaska W H, Schmitt C, Chubarian G 2014 Phys. Rev. C 90 054608
Google Scholar
[126] Zhu L, Xie W J, Zhang F S 2014 Phys. Rev. C 89 024615
Google Scholar
[127] Manjunatha H, Sowmya N, Munirathnam R, Sridhar K, Seenappa L, Damodara Gupta P 2023 Nucl. Phys. A 1032 122621
Google Scholar
[128] Nishio K, Mitsuoka S, Nishinaka I, Makii H, Wakabayashi Y, Ikezoe H, Hirose K, Ohtsuki T, Aritomo Y, Hofmann S 2012 Phys. Rev. C 86 034608
Google Scholar
[129] 卢希庭, 江栋兴, 叶沿林, 2000 原子核物理 (原子能出版社) 第312—349页
Lu X T, Jiang D X, Ye Y L 2000 Nuclear Physics (Beijing: Atomic Energy Press), pp 312–349.
[130] Moller P, Nix J, Myers W, Swiatecki W 1995 At. Data Nucl. Data Tables 59 185
Google Scholar
[131] Pei J C, Nazarewicz W, Sheikh J A, Kerman A K 2009 Phys. Rev. Lett. 102 192501
Google Scholar
[132] Qiao C Y, Pei J C 2022 Phys. Rev. C 106 014608
Google Scholar
[133] Yao H, Li C, Zhou H, Wang N 2024 Phys. Rev. C 109 034608
Google Scholar
[134] Chen Y, Yao H, Liu M, Tian J, Wen P, Wang N 2023 At. Data Nucl. Data Tables 154 101587
Google Scholar
Metrics
- Abstract views: 340
- PDF Downloads: 21
- Cited By: 0









DownLoad: