-
Kapitza’s pendulum is an inverted pendulum that is dynamically stabilized by rapidly driving its pivot point. Many applications of Kapitza stabilization in quantum systems have been proposed, such as optical molasses, the stability of optical resonators, preparation of molecular ions, the breaking of translation symmetry, the periodically driven sine-Gordon model, polariton Rabi oscillation, and the stabilization of bright solitons in a Bose-Einstein condensate. In particular, Kapitza stabilization can be used to trap particles. The most notable example of such an application is the Paul trap. Recently, the Kapitza trap was created by superimposing time-tuned focused laser beams to produce a periodically driven harmonic potential for ultracold atomic gases. This work opens up new possibilities to study Floquet systems of ultracold atomic gases. So we consider the periodically driven harmonic potential, and investigate the properties of soliton in ultracold atomic gases by numerical simulations. It is found interestingly that when a soliton is located at the center of the harmonic potential, a resonance phenomenon of soliton amplitude oscillation occurs at a specific driven frequency. In addition, the oscillation amplitude increases with the increase of the trapping frequency of the harmonic potential, and the resonance frequency increases with theaugment of soliton initial amplitude. The change of driven frequency and initial phase has a significant effect on soliton motion when the soliton is located at the edge of the harmonic potential. When the initial phase is zero, there is a characteristic driven frequency. For the case where the driven frequency is equal to the characteristic frequency, soliton motion exhibits periodic oscillations. For the case where the driven frequency is slightly lower than the characteristic frequency, the resonance of soliton oscillation can be found. When the driven frequency is slightly higher than the characteristic frequency, the anti-resonance of soliton oscillation can be found. In addition, it is found that the characteristic driven frequency increases linearly with the increase of the trapping frequency of the harmonic potential. When the initial phase is not equal to zero, the irregular oscillation, quasi-periodic oscillation, and periodic oscillation can be observed with the increase of driven frequency. When the driven frequency is equal to a specific value, the resonance of soliton oscillation can also obtained. Furthermore, the fast driving has no effect on the motion trajectory of solitons. These results can help to precisely control ultracold atomic gases. -
Keywords:
- ultracold atomic gases /
- soliton /
- periodic modulation
[1] Weitenberg C, Simonet J 2021 Nat. Phys. 17 1342
Google Scholar
[2] Bukov M, D’Alessio L, Polkovnikov A 2015 Adv. Phys. 64 139
Google Scholar
[3] Eckardt A 2017 Rev. Mod. Phys. 89 011004
Google Scholar
[4] Ozawa T, Price H M, Amo A, Goldman N, Hafezi M, Lu L, Rechtsman M C, Schuster D, Simon J, Zilberberg O, Carusotto I 2019 Rev. Mod. Phys. 91 015006
Google Scholar
[5] Oka T, Kitamura S 2019 Annu. Rev. Condens. Matter Phys. 10 387
Google Scholar
[6] 焦宸, 简粤, 张爱霞, 薛具奎 2023 物理学报 72 060302
Google Scholar
Jiao C, Jian Y, Zhang A X, Xue J K 2023 Acta Phys. Sin. 72 060302
Google Scholar
[7] Zhao W L, Liu J 2024 Phys. Rev. A 109 052215
Google Scholar
[8] Zhang L, Ke Y G, Lin L, Lee C H 2024 Phys. Rev. B 109 184313
Google Scholar
[9] Chen L, Zhu F, Zhang Y B, Pu H 2025 Phys. Rev. A 111 L011303
Google Scholar
[10] Kamal H, Kemp J, He Y C, Fuji Y, Aidelsburger M, Zoller P, Yao N Y 2024 Phys. Rev. Lett. 133 163403
Google Scholar
[11] Zhou L W, Chen C, Gong J B 2016 Phys. Rev. B 94 075443
Google Scholar
[12] Kapitza P L 1951 Usp. Fiz. Nauk 44 7
Google Scholar
[13] Bagnato V S, Bigelow N P, Surdutovich G I, Zílio S C 1994 Opt. Lett. 19 1568
Google Scholar
[14] Torosov B T, Della Valle G, Longhi S 2013 Phys. Rev. A 88 052106
Google Scholar
[15] Gilary I, Moiseyev N, Rahav S, Fishman S 2003 J. Phys. A: Math. Gen. 36 L409
[16] Citro R, Dalla Torre E G, D’Alessio L, Polkovnikov A, Babadi M, Oka T, Demler E 2015 Ann. Phys. 360 694
Google Scholar
[17] Smirnova O, Spanner M, Ivanov M Y 2003 Phys. Rev. Lett. 90 243001
Google Scholar
[18] Rajagopal S V, Fujiwara K M, Senaratne R, Singh K, Geiger Z A, Weld D M 2017 Ann. Phys. 529 1700008
Google Scholar
[19] Voronova N S, Elistratov A A, Lozovik Y E 2016 Phys. Rev. B 94 045413
Google Scholar
[20] Martin J, Georgeot B, Guéry-Odelin D, Shepelyansky D L 2018 Phys. Rev. A 97 023607
Google Scholar
[21] Park S J, Andersen H K, Mai S, Arlt J, Sherson J F 2012 Phys. Rev. A 85 033626
Google Scholar
[22] Eckardt A, Weiss C, Holthaus M 2005 Phys. Rev. Lett. 95 260404
Google Scholar
[23] 何章明, 张志强 2016 物理学报 65 110502
Google Scholar
He Z M, Zhang Z Q 2016 Acta Phys. Sin. 65 110502
Google Scholar
[24] Abdullaev F Kh, Caputo J G, Kraenkel R A, Malomed Boris A 2003 Phys. Rev. A 67 013605
Google Scholar
[25] Goldman N, Dalibard J 2014 Phys. Rev. X 4 031027
[26] Jiang J, Bernhart E, Röhrle M, Benary J, Beck M, Baals C, Ott H 2023 Phys. Rev. Lett. 131 033401
Google Scholar
[27] Zhang X F, Yang Q, Zhang J F, Chen X Z, Liu W M 2008 Phys. Rev. A 77 023613
Google Scholar
[28] Kengne E, Liu W M 2018 Phys. Rev. E 98 012204
Google Scholar
-
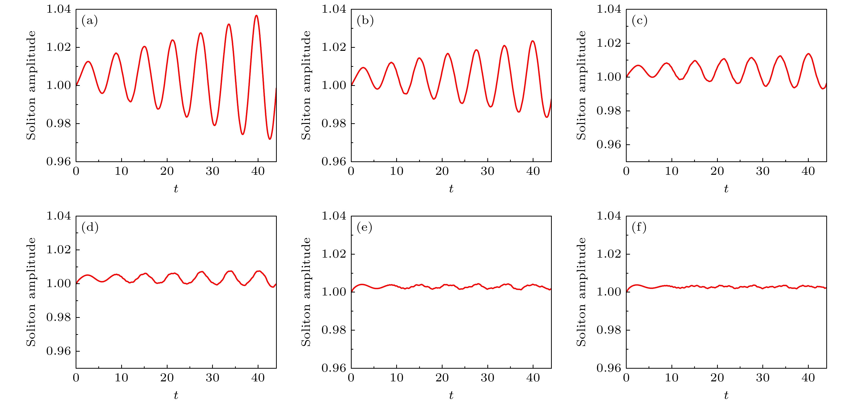
图 3 不同的囚禁频率下的孤子的幅度变化图 (a) ${\omega _x} = 5\pi \; {\text{Hz}}$; (b) ${\omega _x} = 4\pi \; {\text{Hz}}$; (c) ${\omega _x} = 3\pi \; {\text{Hz}}$; (d) ${\omega _x} = 2\pi \; {\text{Hz}}$; (e) ${\omega _x} = $$ 1\pi \; {\text{Hz}}$; (f) ${\omega _x} = 0.9\pi \; {\text{Hz}}$
Fig. 3. The change of soliton amplitude under different trapping frequency of harmonic potential: (a) ${\omega _x} = 5\pi \; {\text{Hz}}$; (b) ${\omega _x} = 4\pi \; {\text{Hz}}$; (c) ${\omega _x} = 3\pi \; {\text{Hz}}$; (d) ${\omega _x} = 2\pi \; {\text{Hz}}$; (e) ${\omega _x} = 1\pi \; {\text{Hz}}$; (f) ${\omega _x} = 0.9\pi \; {\text{Hz}}$.
图 6 $\phi = 1.57$时不同驱动频率下孤子运动轨迹图 (a) $\omega = 0$; (b) $\omega = 0.003$; (c) $\omega = 0.06$; (d) $\omega = 0.088$; (e) $\omega = 0.1$; (f) $\omega = $$ 0.27$; (g) $\omega = 1.0$; (h) $\omega = 2.0$
Fig. 6. The trajectories of soliton with different driven frequencies at $\phi = 1.57$: (a) $\omega = 0$; (b) $\omega = 0.003$; (c) $\omega = 0.06$; (d) $\omega = $$ 0.088$; (e) $\omega = 0.1$; (f) $\omega = 0.27$; (g) $\omega = 1.0$; (h) $\omega = 2.0$.
图 8 $\phi = 0$时不同驱动频率下孤子运动轨迹图 (a) $\omega = 0$; (b) $\omega = 0.06$; (c) $\omega = 0.208$; (d) $ \omega=0.209 $; (e) $\omega = 0.21$; (f)$\omega = 2.0$
Fig. 8. The trajectories of soliton with different driven frequencies at $\phi = 0$: (a) $\omega = 0$; (b) $\omega = 0.06$; (c) $\omega = 0.208$; (d) $ \omega=0.209 $; (e) $\omega = 0.21$; (f) $\omega = 2.0$.
-
[1] Weitenberg C, Simonet J 2021 Nat. Phys. 17 1342
Google Scholar
[2] Bukov M, D’Alessio L, Polkovnikov A 2015 Adv. Phys. 64 139
Google Scholar
[3] Eckardt A 2017 Rev. Mod. Phys. 89 011004
Google Scholar
[4] Ozawa T, Price H M, Amo A, Goldman N, Hafezi M, Lu L, Rechtsman M C, Schuster D, Simon J, Zilberberg O, Carusotto I 2019 Rev. Mod. Phys. 91 015006
Google Scholar
[5] Oka T, Kitamura S 2019 Annu. Rev. Condens. Matter Phys. 10 387
Google Scholar
[6] 焦宸, 简粤, 张爱霞, 薛具奎 2023 物理学报 72 060302
Google Scholar
Jiao C, Jian Y, Zhang A X, Xue J K 2023 Acta Phys. Sin. 72 060302
Google Scholar
[7] Zhao W L, Liu J 2024 Phys. Rev. A 109 052215
Google Scholar
[8] Zhang L, Ke Y G, Lin L, Lee C H 2024 Phys. Rev. B 109 184313
Google Scholar
[9] Chen L, Zhu F, Zhang Y B, Pu H 2025 Phys. Rev. A 111 L011303
Google Scholar
[10] Kamal H, Kemp J, He Y C, Fuji Y, Aidelsburger M, Zoller P, Yao N Y 2024 Phys. Rev. Lett. 133 163403
Google Scholar
[11] Zhou L W, Chen C, Gong J B 2016 Phys. Rev. B 94 075443
Google Scholar
[12] Kapitza P L 1951 Usp. Fiz. Nauk 44 7
Google Scholar
[13] Bagnato V S, Bigelow N P, Surdutovich G I, Zílio S C 1994 Opt. Lett. 19 1568
Google Scholar
[14] Torosov B T, Della Valle G, Longhi S 2013 Phys. Rev. A 88 052106
Google Scholar
[15] Gilary I, Moiseyev N, Rahav S, Fishman S 2003 J. Phys. A: Math. Gen. 36 L409
[16] Citro R, Dalla Torre E G, D’Alessio L, Polkovnikov A, Babadi M, Oka T, Demler E 2015 Ann. Phys. 360 694
Google Scholar
[17] Smirnova O, Spanner M, Ivanov M Y 2003 Phys. Rev. Lett. 90 243001
Google Scholar
[18] Rajagopal S V, Fujiwara K M, Senaratne R, Singh K, Geiger Z A, Weld D M 2017 Ann. Phys. 529 1700008
Google Scholar
[19] Voronova N S, Elistratov A A, Lozovik Y E 2016 Phys. Rev. B 94 045413
Google Scholar
[20] Martin J, Georgeot B, Guéry-Odelin D, Shepelyansky D L 2018 Phys. Rev. A 97 023607
Google Scholar
[21] Park S J, Andersen H K, Mai S, Arlt J, Sherson J F 2012 Phys. Rev. A 85 033626
Google Scholar
[22] Eckardt A, Weiss C, Holthaus M 2005 Phys. Rev. Lett. 95 260404
Google Scholar
[23] 何章明, 张志强 2016 物理学报 65 110502
Google Scholar
He Z M, Zhang Z Q 2016 Acta Phys. Sin. 65 110502
Google Scholar
[24] Abdullaev F Kh, Caputo J G, Kraenkel R A, Malomed Boris A 2003 Phys. Rev. A 67 013605
Google Scholar
[25] Goldman N, Dalibard J 2014 Phys. Rev. X 4 031027
[26] Jiang J, Bernhart E, Röhrle M, Benary J, Beck M, Baals C, Ott H 2023 Phys. Rev. Lett. 131 033401
Google Scholar
[27] Zhang X F, Yang Q, Zhang J F, Chen X Z, Liu W M 2008 Phys. Rev. A 77 023613
Google Scholar
[28] Kengne E, Liu W M 2018 Phys. Rev. E 98 012204
Google Scholar
计量
- 文章访问数: 1819
- PDF下载量: 47
- 被引次数: 0








下载:
