- 
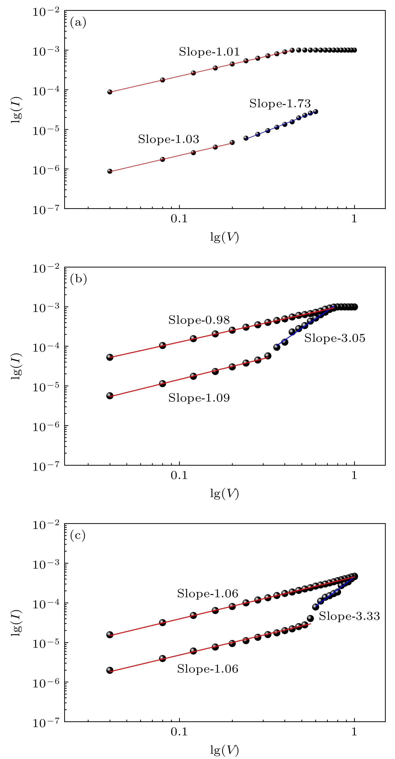
				In this paper, the resistive switching characteristics of Ag/BiFeO3/Fe2O3/ITO multilayer film deposited on ITO by magnetron sputtering are investigated. The All Ag/BiFeO3/Fe2O3/ITO device exhibits superior resistive switching behavior due to the formation of Ag conducting filaments. The resistive switching ratio of the device is close to 10 for the sample with 100 nm thickness of Fe2O3. The current value of the device increases sharply at 0.56 V when the voltage is swept forward, and the device switches from LRS back to HRS at -0.3 V when a voltage of opposite polarity is applied. The I-V curves of the device are fitted in double logarithmic coordinates, and it is found that the device is controlled by an ohmic conduction model in the low resistance state and two conduction models in the high resistance state: in the low bias region, which exhibits ohmic conduction, and at higher voltages, which is controlled by the SCLC conduction model. Such a resistive switching characteristic with very low switching voltage and high resistance ratio is of particular importance in the application of resistive stochastic storage. In addition, all sample show obvious negative differential resistance effect, which is caused by Joule heat. The Ag/BiFeO3/Fe2O3/ITO device show both resistive switching characteristics and negative differential resistance effect (figure 1), which give important application.
- 
				
[1] Weitz R T, Walter A, Engl R, Sezi R, Dehm C 2006 Nano Lett. 6 2810 [2] Li X L, Jia J, Li Y C, Bai Y H, Li J, Shi Y N, Wang L F, Xu X H 2016 Sci. Rep. 6 31934 [3] Bibes M, Barthélémy A 2008 Nat. Mater. 7 425 [4] Miyake M, Scott J F, Lou X J, Morrison F D, Nonaka T, Motoyama S, Tatsuta T, Tsuji O 2008 J. Appl. Phys. 104 064112 [5] Jensen W B 1997 J. Chem. Educ. 74 1063 [6] Neale R G, Nelson D L, Moore G E 1970 Elec. 43 56 [7] Jeong D S, Thomas R, Katiyar R S, Scott J F, Kohlstedt H, Petraru A, Hwang C S 2012 Rep. Prog. Phys. 75 076502 [8] Jeong D S, Choi B J, Hwang C S 2006 J. Appl. Phys. 100 113724 [9] Yu S M, Guan X M, Wong H S P 2011 Appl. Phys. Lett. 99 063507 [10] Hui F, Grustan-Gutierrez E, Long S B, Liu Q, Ott A K, Ferrari A C, Lanza M 2017 Adv. Electron. Mater. 3 1600195 [11] Waser R 2012 J. Nanosci. Nanotechnol. 12 7628 [12] Kim D C, Seo S, Ahn S E, Suh D S, Lee M J, Park B H, Yoo I K, Baek I G, Kim H J, Yim E K, Lee J E, Park S O, Kim H S, Chung U I, Moon J T, Ryu B I 2006 Appl. Phys. Lett. 88 202102 [13] Mahapatra R, Maji S, Horsfall A B, Wright N G 2015 MICROELECTRON ENG 138 118 [14] Lee J S, Lee S, Noh T W 2015 App. Phys. Rev. 2 031303 [15] Yoo H G, Kim S, Lee K J 2014 RSC ADV 4 20017 [16] Zhang W B, Wang C, Liu G, Wang J, Chen Y, Li R W 2014 Chem. Commun. 50 11496 [17] He C T, Lu Y, Li X L, Chen P 2022 Acta Phys. Sin. 71 086102[何朝滔,卢羽,李秀林,陈鹏 2022 物理学报 71 086102] [18] Zhang X W, He C T, Li X L, Qiu X-Y, Zhang Y, Chen P 2022 Acta Phys. Sin. 71 187303[张兴文,何朝滔,李秀林,邱晓燕,张耘,陈鹏 2022 物理学报 71 187303] [19] Guo T, Sun B, Zhou Y, Zhao H B, Lei M, Zhao Y 2018 PCCP 20 20635 [20] Prakash C, Yadav A K, Dixit A 2023 Phys. Chem. Chem. Phys. 25 19868 [21] Zhang K J, Ren K, Qin X Z, Zhu S H, Yang F, Zhao Y, Zhang Y 2021 IEEE Transactions on Electron Devices 68 3807 [22] Kumar S, Strachan J P, Williams R S 2017 Nat 548 318 [23] Kumar S, Williams R S, Wang Z 2020 Nat 585 518 [24] Zhou G D, Gu D S, Ye J, Sun B, Shi H, Ran H, Ji'e M, Hu X, Wang L, Duan S, Ling H 2025 Adv. Mater. 37 e08107 [25] Zhou G D, Duan S K, Li P, Sun B, Wu B, Yao Y Q, Yang X D, Han J J, Wu J G, Wang G, Liao L P, Lin C Y, Hu W, Xu C Y, Liu D B, Chen T, Chen L J, Zhou A K, Song Q L 2018 ADV ELECTRON MATER 4 1700567 [26] Shuai Y, Zhou S Q, Bürger D, Helm M, Schmidt H 2011 J. Appl. Phys. 109 124117 [27] Zheng P P, Sun B, Chen Y Z, Elshekh H, Yu T, Mao S S, Zhu S H, Wang H Y, Zhao Y, Yu Z 2019 APPL MATER TODAY 14 21 [28] Lu Y, Tang Y Y, Li X L, He C T, Chen P 2022 App. Phys. A-Mater. 128 229 [29] Tang M, Sun B, Huang J, Gao J, Li C M 2016 RSC ADV 6 25028 
计量
- 文章访问数: 163
- PDF下载量: 4
- 被引次数: 0


 
					 
		         
	         
  
					 
										





 下载:
下载: 
				