-
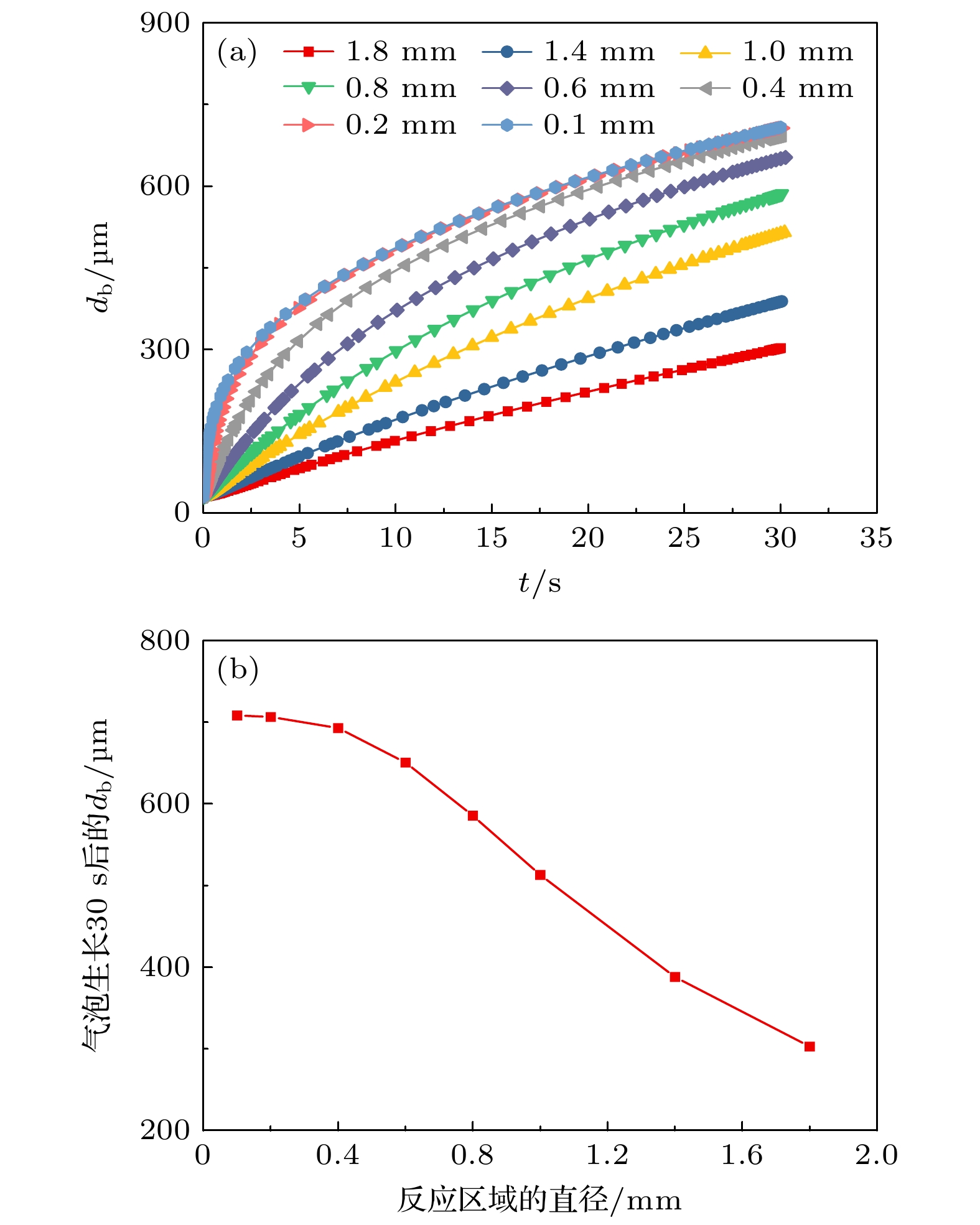
理解电极表面氧气泡演化对提升大规模水分解的效率具有重要意义. 本文提出了一种基于气泡边界的溶解氧通量的电极表面氧气泡生长的数值模型, 研究了反应区域和电流的大小对气泡生长的影响. 结果表明, 由气泡边界的氧通量计算得到气泡直径与气泡在化学反应控制阶段的生长关系吻合较好. 随着反应区域增大, 在气泡生长过程中, 由扩散控制向化学反应控制阶段过渡的时间也变长. 微电极表面的浓度峰值明显高于大电极表面的浓度峰值, 从而导致微电极表面与气泡表面之间的浓度梯度更加陡峭. 随着电流增大, 气泡的生长速率增大, 时间系数降低得越快. 电流为0.06 mA时的气泡直径与光电解水实验中电流为0.1 mA 的气泡直径能较好吻合. 这是因为生长的气泡对光的散射会导致气泡底部电流密度的降低.In order to enhance the efficiency of large-scale water decomposition, it is important to understand the oxygen bubble evolution on the electrode surface. In this work, a numerical model for the growth of oxygen bubbles on the electrode surface is proposed based on the dissolved oxygen flux at the bubble boundary, and the mechanisms of the reaction area and current during the bubble growth are investigated. The results show that the bubble diameters calculated from the oxygen flux at the bubble boundary are in good agreement with the diameters of the bubbles growing in the control phase of the chemical reaction. As the reaction region increases, the transition time from the diffusion-controlled stage to the chemical reaction-controlled stage becomes longer during the bubble growth. The concentration maximum value on the microelectrode surface is significantly higher than that on the large electrode surface, which leads to a steeper concentration gradient between the microelectrode surface and the bubble surface. As the current increases, the bubble growth rate increases and the time coefficient decreases faster. The bubble diameter at a current of 0.06 mA accords well with the bubble diameter at a current of 0.1 mA in the photoelectrochemical water splitting experiments. This is because the scattering of light by the growing bubbles leads to a decrease in the current density at the bottom of the bubble.
-
Keywords:
- oxygen bubble evolution /
- time coefficient /
- numerical simulation /
- photoelectrochemical water splitting
[1] Zhang S, Chen W 2022 Nat. Commun. 13 87
Google Scholar
[2] Angulo A, Linde P van der, Gardeniers H, Modestino M, Fernández Rivas D 2020 Joule 4 555
Google Scholar
[3] Iwata R, Zhang L, Wilke K L, Gong S, He M, Gallant B M, Wang E N 2021 Joule 5 887
Google Scholar
[4] Chen J, Guo L, Hu X, Cao Z, Wang Y 2018 Electrochim. Acta 274 57
Google Scholar
[5] Andaveh R, Darband G B, Maleki M, Rouhaghdam A S 2022 J. Mater. Chem. A 10 5147
Google Scholar
[6] Zhan S, Yuan R, Huang Y, Zhang W, Li B, Wang Z, Wang J 2022 Phys. Fluids 34 112120
Google Scholar
[7] 郭烈锦, 曹振山, 王晔春, 张博, 冯雨杨, 徐强 2023 西安交通大学学报 57 1
Google Scholar
Guo L J, Cao Z S, Wang Y C, Zhang B, Feng Y Y, Xu Q 2023 J. Xi'an Jiaotong Univ. 57 1
Google Scholar
[8] Peñas P, Moreno Soto Á, Lohse D, Lajoinie G, van der Meer D 2021 Int. J. Heat Mass Transfer 174 121069
Google Scholar
[9] Luo X Y, Xu Q, Ye X M, Wang M S, Guo L J 2024 Int. J. Hydrogen Energy 61 859
Google Scholar
[10] Luo X Y, Xu Q, Nie T F, She Y L, Ye X M, Guo L J 2023 Phys. Chem. Chem. Phys. 25 16086
Google Scholar
[11] Park S, Liu L, Demirkır Ç, Van Der Heijden O, Lohse D, Krug D, Koper M T M 2023 Nat. Chem. 15 1532
Google Scholar
[12] Da Silva J, Nobrega E, Staciaki F, Almeida F R, Wosiak G, Gutierrez A, Bruno O, Lopes M C, Pereira E 2024 Chemical Engineering Journal 494 152943
Google Scholar
[13] Xu Q, Tao L Q, Nie T F, Liang L, She Y L, Wang M S 2024 J. Electrochem. Soc. 171 016501
Google Scholar
[14] Bashkatov A, Park S, Demirkır Ç, Wood J A, Koper M T M, Lohse D, Krug D 2024 J. Am. Chem. Soc. 146 10177
[15] Zhang B, Wang Y C, Feng Y Y, Zhen C H, Liu M M, Cao Z S, Zhao Q Y, Guo L J 2024 Cell Rep. Phys. Sci. 5 101837
Google Scholar
[16] Liu H, Pan L M, Wen J 2016 Can. J. Chem. Eng. 94 192
Google Scholar
[17] Meulenbroek A M, Vreman A W, Deen N G 2021 Electrochim. Acta 385 138298
Google Scholar
[18] Zhan S Q, Yuan R, Wang X H, Zhang W, Yu K, Li B, Wang Z T, Wang J F 2023 Phys. Fluids 35 032111
Google Scholar
[19] Raman A, Porto C C D S, Gardeniers H, Soares C, Fernández Rivas D, Padoin N 2023 Chem. Eng. J. 477 147012
Google Scholar
[20] Meulenbroek A M, Deen N G, Vreman A W 2024 Electrochim. Acta 497 144510
Google Scholar
[21] Suen N T, Hung S F, Quan Q, Zhang N, Xu Y J, Chen H M 2017 Chem. Soc. Rev. 46 337
Google Scholar
[22] Chen J W, Guo L J 2019 Appl. Phys. Lett. 114 231604
Google Scholar
[23] Obata K F, Abdi F 2021 Sustain. Energ. Fuels 5 3791
Google Scholar
[24] Matsushima H, Kiuchi D, Fukunaka Y, Kuribayashi K 2009 Electrochem. Commun. 11 1721
Google Scholar
[25] Cao Z S, Wang Y C, Xu Q, Feng Y Y, Hu X W, Guo L J 2020 Electrochimica Acta 347 136230
Google Scholar
[26] Fernández D, Maurer P, Martine M, Coey J M D, Möbius M E 2014 Langmuir 30 13065
Google Scholar
[27] Yang X, Karnbach F, Uhlemann M, Odenbach S, Eckert K 2015 Langmuir 31 8184
Google Scholar
[28] Xu Q, Tao L Q, She Y L, Ye X M, Wang M S, Nie T F 2023 J. Electroanal. Chem. 935 117324
Google Scholar
[29] Lu X, Nie T, Li X, Jing L, Zhang Y, Ma L, Jing D 2023 Physics of Fluids 35 103314
Google Scholar
[30] Nie T F, Li Z, Luo X Y, She Y L, Liang L, Xu Q, Guo L J 2022 Electrochimica Acta 436 141394
Google Scholar
[31] Dorfi A E, West A C, Esposito D V 2017 J. Phys. Chem. C 121 26587
Google Scholar
[32] Holmes-Gentle I, Bedoya-Lora F, Alhersh F, Hellgardt K 2019 J. Phys. Chem. C 123 17
Google Scholar
-
表 1 沸腾气泡与光解气泡的异同
Table 1. Similarities and differences between boiling bubble and photolysis bubble.
沸腾气泡 光解气泡 生长过程 成核、生长和脱离 成核、生长和脱离 相间作用 异相成核 异相成核 驱动力 过饱和温度 过饱和浓度 气泡成分 水蒸气 氢气/氧气 能质传输 涉及热能与物质的传递 涉及热能、化学能、光能及物质的传递 生长规律 生长速率受热传导和蒸气压支配, 快速膨胀后脱离 生长受限于光强、反应速率及气体扩散, 可能持续缓慢生长 稳定性 上升时可能因冷却而凝结 化学性质稳定, 不易再溶解 气泡尺寸/m 10–3—10–2 10–9—10–4 生长时间/s 10–2—10–1 10–3—102 表 2 模拟参数
Table 2. Parameters used in simulation.
参数 值 表面张力 σ/(mN·m–1) 70 电流 I/mA 0.03—0.12 光斑半径 rlaser/mm 0.05—0.9 转移电子数 z 4 氧气摩尔质量$M_{\rm O_2} $/(g·mol–1) 32 氧气扩散系数 $D_{\rm O_2} $/(m2·s–1) 2.1×10–9 气泡初始半径 rb/μm 15 参考压力 pref/kPa 101.325 浓度建立时间 twait/s 1.2×10–5 -
[1] Zhang S, Chen W 2022 Nat. Commun. 13 87
Google Scholar
[2] Angulo A, Linde P van der, Gardeniers H, Modestino M, Fernández Rivas D 2020 Joule 4 555
Google Scholar
[3] Iwata R, Zhang L, Wilke K L, Gong S, He M, Gallant B M, Wang E N 2021 Joule 5 887
Google Scholar
[4] Chen J, Guo L, Hu X, Cao Z, Wang Y 2018 Electrochim. Acta 274 57
Google Scholar
[5] Andaveh R, Darband G B, Maleki M, Rouhaghdam A S 2022 J. Mater. Chem. A 10 5147
Google Scholar
[6] Zhan S, Yuan R, Huang Y, Zhang W, Li B, Wang Z, Wang J 2022 Phys. Fluids 34 112120
Google Scholar
[7] 郭烈锦, 曹振山, 王晔春, 张博, 冯雨杨, 徐强 2023 西安交通大学学报 57 1
Google Scholar
Guo L J, Cao Z S, Wang Y C, Zhang B, Feng Y Y, Xu Q 2023 J. Xi'an Jiaotong Univ. 57 1
Google Scholar
[8] Peñas P, Moreno Soto Á, Lohse D, Lajoinie G, van der Meer D 2021 Int. J. Heat Mass Transfer 174 121069
Google Scholar
[9] Luo X Y, Xu Q, Ye X M, Wang M S, Guo L J 2024 Int. J. Hydrogen Energy 61 859
Google Scholar
[10] Luo X Y, Xu Q, Nie T F, She Y L, Ye X M, Guo L J 2023 Phys. Chem. Chem. Phys. 25 16086
Google Scholar
[11] Park S, Liu L, Demirkır Ç, Van Der Heijden O, Lohse D, Krug D, Koper M T M 2023 Nat. Chem. 15 1532
Google Scholar
[12] Da Silva J, Nobrega E, Staciaki F, Almeida F R, Wosiak G, Gutierrez A, Bruno O, Lopes M C, Pereira E 2024 Chemical Engineering Journal 494 152943
Google Scholar
[13] Xu Q, Tao L Q, Nie T F, Liang L, She Y L, Wang M S 2024 J. Electrochem. Soc. 171 016501
Google Scholar
[14] Bashkatov A, Park S, Demirkır Ç, Wood J A, Koper M T M, Lohse D, Krug D 2024 J. Am. Chem. Soc. 146 10177
[15] Zhang B, Wang Y C, Feng Y Y, Zhen C H, Liu M M, Cao Z S, Zhao Q Y, Guo L J 2024 Cell Rep. Phys. Sci. 5 101837
Google Scholar
[16] Liu H, Pan L M, Wen J 2016 Can. J. Chem. Eng. 94 192
Google Scholar
[17] Meulenbroek A M, Vreman A W, Deen N G 2021 Electrochim. Acta 385 138298
Google Scholar
[18] Zhan S Q, Yuan R, Wang X H, Zhang W, Yu K, Li B, Wang Z T, Wang J F 2023 Phys. Fluids 35 032111
Google Scholar
[19] Raman A, Porto C C D S, Gardeniers H, Soares C, Fernández Rivas D, Padoin N 2023 Chem. Eng. J. 477 147012
Google Scholar
[20] Meulenbroek A M, Deen N G, Vreman A W 2024 Electrochim. Acta 497 144510
Google Scholar
[21] Suen N T, Hung S F, Quan Q, Zhang N, Xu Y J, Chen H M 2017 Chem. Soc. Rev. 46 337
Google Scholar
[22] Chen J W, Guo L J 2019 Appl. Phys. Lett. 114 231604
Google Scholar
[23] Obata K F, Abdi F 2021 Sustain. Energ. Fuels 5 3791
Google Scholar
[24] Matsushima H, Kiuchi D, Fukunaka Y, Kuribayashi K 2009 Electrochem. Commun. 11 1721
Google Scholar
[25] Cao Z S, Wang Y C, Xu Q, Feng Y Y, Hu X W, Guo L J 2020 Electrochimica Acta 347 136230
Google Scholar
[26] Fernández D, Maurer P, Martine M, Coey J M D, Möbius M E 2014 Langmuir 30 13065
Google Scholar
[27] Yang X, Karnbach F, Uhlemann M, Odenbach S, Eckert K 2015 Langmuir 31 8184
Google Scholar
[28] Xu Q, Tao L Q, She Y L, Ye X M, Wang M S, Nie T F 2023 J. Electroanal. Chem. 935 117324
Google Scholar
[29] Lu X, Nie T, Li X, Jing L, Zhang Y, Ma L, Jing D 2023 Physics of Fluids 35 103314
Google Scholar
[30] Nie T F, Li Z, Luo X Y, She Y L, Liang L, Xu Q, Guo L J 2022 Electrochimica Acta 436 141394
Google Scholar
[31] Dorfi A E, West A C, Esposito D V 2017 J. Phys. Chem. C 121 26587
Google Scholar
[32] Holmes-Gentle I, Bedoya-Lora F, Alhersh F, Hellgardt K 2019 J. Phys. Chem. C 123 17
Google Scholar
计量
- 文章访问数: 2672
- PDF下载量: 59
- 被引次数: 0








下载: