-
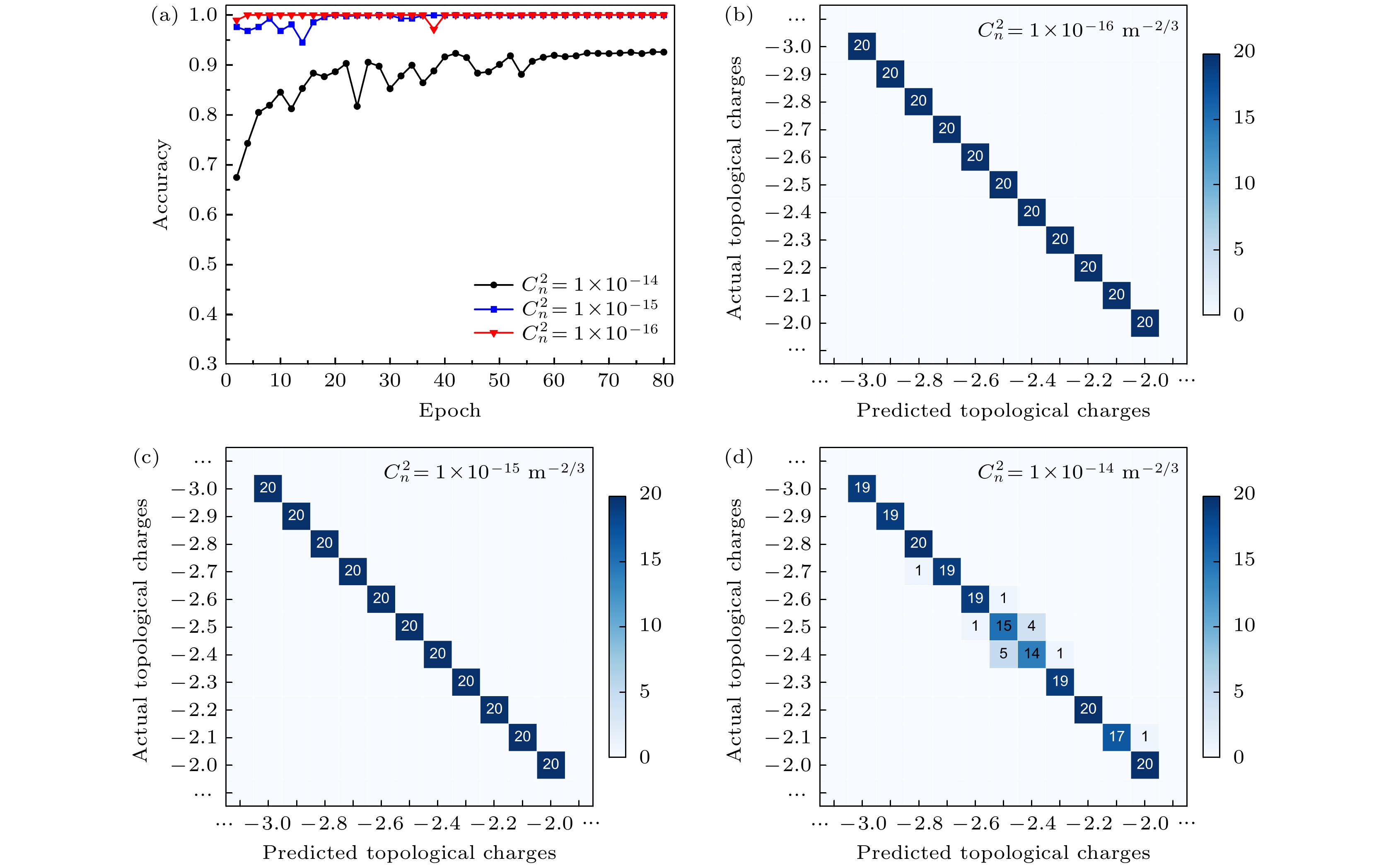
利用分数阶涡旋光束(fractional vortex beams, FVBs)作为信息载体可显著提高通信系统容量, 但由于相邻分数阶轨道角动量(fractional orbital angular momentum, FOAM)模态之间的间隔差异较小, 使得FVBs极易受到大气湍流影响, 因此精确地测量失真的FOAM模态对实际基于FVBs的通信系统而言至关重要. 本文提出了一种基于卷积神经网络-Transformer混合架构的双通道深度学习模型, 通过学习并融合FVBs光强分布与其衍射图样的互补特征信息, 实现对大气湍流环境下FOAM模态的有效识别. 结果表明, 在1000 m传输距离之内, 本文构建模型在弱、中湍流强度下识别101个FOAM模态的准确率可达100%, 强湍流时也能达到98.12%, 并且在未知湍流强度下也表现出良好的泛化能力, 为准确识别FOAM模态提供了一种新方法.Utilizing fractional vortex beams (FVBs) as information carriers can significantly enhance the capacity of communication systems. However, the small gap difference between adjacent fractional orbital angular momentum (FOAM) modes makes FVBs highly sensitive to atmospheric turbulence. Therefore, precise measurement of distorted FOAM modes is crucial for practical FVBs-based communication systems. To fully utilize the beam intensity information and the triangular diffraction pattern information, we propose a dual-channel deep learning model with a hybrid architecture combining convolutional neural network (CNN) and vision transformer (ViT). The beam intensity information is extracted using the CNN, while the diffraction pattern information is extracted using the ViT. Then, by combining the complementary feature information from the intensity distribution of FVBs and their triangular diffraction patterns, this model can effectively identify the FOAM modes. The results show that the proposed model only requires a relatively small number of samples to reach convergence, namely 100 sets of data under weak turbulence and 400 sets of data under strong turbulence. Moreover, within a transmission distance of 1000 m, the proposed model can identify 101 FOAM modes with a mode spacing of 0.1 with an accuracy of 100% under weak and moderate turbulences, and maintains 98.12% accuracy under strong turbulence. Furthermore, the model can expand the detection range of turbulence intensity with only a minimal loss in accuracy, exhibiting strong generalization ability under unknown atmospheric turbulence strengths, thus providing a novel approach for accurately identifying FOAM modes.
-
Keywords:
- fractional orbital angular momentum /
- deep learning /
- triangular diffraction /
- atmospheric turbulence
[1] Allen L, Beijersbergen M W, Spreeuw R J C, Woerdman J P 1992 Phys. Rev. A 45 8185
Google Scholar
[2] Lei T, Zhang M, Li Y R, Jia P, Liu G N, Xu X G, Li Z H, Min C J, Lin J, Yu C Y, Niu H B, Yuan X C 2015 Light Sci. Appl. 4 e257
Google Scholar
[3] Fu S Y, Zhai Y W, Zhou H, Zhang J Q, Wang T L, Yin C, Gao C Q 2019 Opt. Lett. 44 4753
Google Scholar
[4] Nape I, Sephton B, Huang Y W, Vallés A, Forbes A 2020 APL Photonics 5 070801
Google Scholar
[5] Krizhevsky A, Sutskever I, Hinton G E 2017 Commun. ACM 60 84
Google Scholar
[6] Knutson E M, Lohani S, Danaci O, Huver S D, Glasser R T 2016 Proc. SPIE 9970 997013
Google Scholar
[7] Park S R, Cattell L, Nichols J M, Watnik A, Doster T, Rohde G K 2018 Opt. Express 26 4004
Google Scholar
[8] Fan W Q, Gao F L, Xue F C, Guo J J, Xiao Y, Gu Y J 2024 Appl. Opt. 63 982
Google Scholar
[9] Berry M V 2004 J. Opt. A: Pure Appl. Opt. 6 259
Google Scholar
[10] Phillips R L, Andrews L C 1983 Appl. Opt. 22 643
Google Scholar
[11] Zhao Z, Zhang R Z, Song H, Pang K, Almaiman A, Zhou H B, Song H Q, Liu C, Hu N Z, Su X Z, Minoofar A, Sasaki H, Lee D, Tur M, Molisch A F, Willner A E 2021 Sci. Rep. 11 2110
Google Scholar
[12] Zhu L H, Tang M M, Li H H 2021 Nanophotonics 10 2487
Google Scholar
[13] Bu X, Zhang Z, Chen L 2018 IEEE Antennas Wirel. Propag. Lett. 17 764
Google Scholar
[14] Zhou J, Zhang W H, Chen L X 2016 Appl. Phys. Lett. 108 111108
Google Scholar
[15] Deng D, Lin M C, Li Y, Zhao H 2019 Phys. Rev. Appl 12 014048
Google Scholar
[16] Liu Z W, Yan S, Liu H G, Chen X F 2019 Phys. Rev. Lett. 123 183902
Google Scholar
[17] Jing G Q, Chen L Z, Wang P P, Xiong W J, Huang Z B, Liu J M, Chen Y, Li Y, Fan D Y, Chen S Q 2021 Results Phys. 28 104619
Google Scholar
[18] 郭焱, 吕恒, 丁春玲, 袁晨智, 金锐博 2025 物理学报 74 014203
Google Scholar
Guo Y, LYU H, Ding C L, Yuan C Z, Jin R B 2025 Acta Phys. Sin. 74 014203
Google Scholar
[19] Zhang H, Zeng J, Lu X, Wang Z, Zhao C, Cai Y 2022 Nanophotonics 11 241
Google Scholar
[20] Hill R J 1978 J. Fluid Mech. 88 541
Google Scholar
[21] Andrews L, Phillips R 2005 Laser Beam Propagation Through Random Media (Bellingham: SPIE) p135
[22] Schmidt J D 2010 Numerical Simlation of Optical Wave Propagation with examples in MATLAB (Bellingham: SPIE) p149
[23] 杨天星, 赵生妹 2017 光学学报 37 1201001
Google Scholar
Yang T, Zhao S 2017 Acta Opt. Sin. 37 1201001
Google Scholar
[24] Liu Y, Sun S, Pu J, LYU B 2013 Opt. Laser Technol. 45 473
Google Scholar
[25] Zhao Q, Dong M, Bai Y H, Yang Y J 2020 Photonics Res. 8 745
Google Scholar
[26] Hu J, Shen L, Albanie S, Sun G 2020 IEEE Trans. Pattern Anal. Mach. Intell. 42 2011
Google Scholar
[27] Dosovitskiy A, Beyer L, Kolesnikov A, Weissenborn D, Zhai X H, Unterthiner T, Dehghani M, Minderer M, Heigold G, Gelly S, Uszkoreit J, Houlsby N 2021 arXiv: 2010.11929 [cs.CV]
[28] Zhang Z, Sabuncu M 2018 arXiv: 1805.07836 [cs.LG]
[29] Kingma D P, Ba J 2014 arXiv: 1412.6980 [cs.LG]
[30] 魏冬梅, 杜乾, 刘芳宁, 王珂, 赵曰峰 2023 光学学报 43 2326001
Google Scholar
Wei D M, Du Q, Liu F N, Wang K, Zhao Y F 2023 Acta Opt. Sin. 43 2326001
Google Scholar
[31] Na Y, Ko D K 2021 Sci. Rep. 11 23505
Google Scholar
-
-
[1] Allen L, Beijersbergen M W, Spreeuw R J C, Woerdman J P 1992 Phys. Rev. A 45 8185
Google Scholar
[2] Lei T, Zhang M, Li Y R, Jia P, Liu G N, Xu X G, Li Z H, Min C J, Lin J, Yu C Y, Niu H B, Yuan X C 2015 Light Sci. Appl. 4 e257
Google Scholar
[3] Fu S Y, Zhai Y W, Zhou H, Zhang J Q, Wang T L, Yin C, Gao C Q 2019 Opt. Lett. 44 4753
Google Scholar
[4] Nape I, Sephton B, Huang Y W, Vallés A, Forbes A 2020 APL Photonics 5 070801
Google Scholar
[5] Krizhevsky A, Sutskever I, Hinton G E 2017 Commun. ACM 60 84
Google Scholar
[6] Knutson E M, Lohani S, Danaci O, Huver S D, Glasser R T 2016 Proc. SPIE 9970 997013
Google Scholar
[7] Park S R, Cattell L, Nichols J M, Watnik A, Doster T, Rohde G K 2018 Opt. Express 26 4004
Google Scholar
[8] Fan W Q, Gao F L, Xue F C, Guo J J, Xiao Y, Gu Y J 2024 Appl. Opt. 63 982
Google Scholar
[9] Berry M V 2004 J. Opt. A: Pure Appl. Opt. 6 259
Google Scholar
[10] Phillips R L, Andrews L C 1983 Appl. Opt. 22 643
Google Scholar
[11] Zhao Z, Zhang R Z, Song H, Pang K, Almaiman A, Zhou H B, Song H Q, Liu C, Hu N Z, Su X Z, Minoofar A, Sasaki H, Lee D, Tur M, Molisch A F, Willner A E 2021 Sci. Rep. 11 2110
Google Scholar
[12] Zhu L H, Tang M M, Li H H 2021 Nanophotonics 10 2487
Google Scholar
[13] Bu X, Zhang Z, Chen L 2018 IEEE Antennas Wirel. Propag. Lett. 17 764
Google Scholar
[14] Zhou J, Zhang W H, Chen L X 2016 Appl. Phys. Lett. 108 111108
Google Scholar
[15] Deng D, Lin M C, Li Y, Zhao H 2019 Phys. Rev. Appl 12 014048
Google Scholar
[16] Liu Z W, Yan S, Liu H G, Chen X F 2019 Phys. Rev. Lett. 123 183902
Google Scholar
[17] Jing G Q, Chen L Z, Wang P P, Xiong W J, Huang Z B, Liu J M, Chen Y, Li Y, Fan D Y, Chen S Q 2021 Results Phys. 28 104619
Google Scholar
[18] 郭焱, 吕恒, 丁春玲, 袁晨智, 金锐博 2025 物理学报 74 014203
Google Scholar
Guo Y, LYU H, Ding C L, Yuan C Z, Jin R B 2025 Acta Phys. Sin. 74 014203
Google Scholar
[19] Zhang H, Zeng J, Lu X, Wang Z, Zhao C, Cai Y 2022 Nanophotonics 11 241
Google Scholar
[20] Hill R J 1978 J. Fluid Mech. 88 541
Google Scholar
[21] Andrews L, Phillips R 2005 Laser Beam Propagation Through Random Media (Bellingham: SPIE) p135
[22] Schmidt J D 2010 Numerical Simlation of Optical Wave Propagation with examples in MATLAB (Bellingham: SPIE) p149
[23] 杨天星, 赵生妹 2017 光学学报 37 1201001
Google Scholar
Yang T, Zhao S 2017 Acta Opt. Sin. 37 1201001
Google Scholar
[24] Liu Y, Sun S, Pu J, LYU B 2013 Opt. Laser Technol. 45 473
Google Scholar
[25] Zhao Q, Dong M, Bai Y H, Yang Y J 2020 Photonics Res. 8 745
Google Scholar
[26] Hu J, Shen L, Albanie S, Sun G 2020 IEEE Trans. Pattern Anal. Mach. Intell. 42 2011
Google Scholar
[27] Dosovitskiy A, Beyer L, Kolesnikov A, Weissenborn D, Zhai X H, Unterthiner T, Dehghani M, Minderer M, Heigold G, Gelly S, Uszkoreit J, Houlsby N 2021 arXiv: 2010.11929 [cs.CV]
[28] Zhang Z, Sabuncu M 2018 arXiv: 1805.07836 [cs.LG]
[29] Kingma D P, Ba J 2014 arXiv: 1412.6980 [cs.LG]
[30] 魏冬梅, 杜乾, 刘芳宁, 王珂, 赵曰峰 2023 光学学报 43 2326001
Google Scholar
Wei D M, Du Q, Liu F N, Wang K, Zhao Y F 2023 Acta Opt. Sin. 43 2326001
Google Scholar
[31] Na Y, Ko D K 2021 Sci. Rep. 11 23505
Google Scholar
计量
- 文章访问数: 655
- PDF下载量: 28
- 被引次数: 0








下载: