-
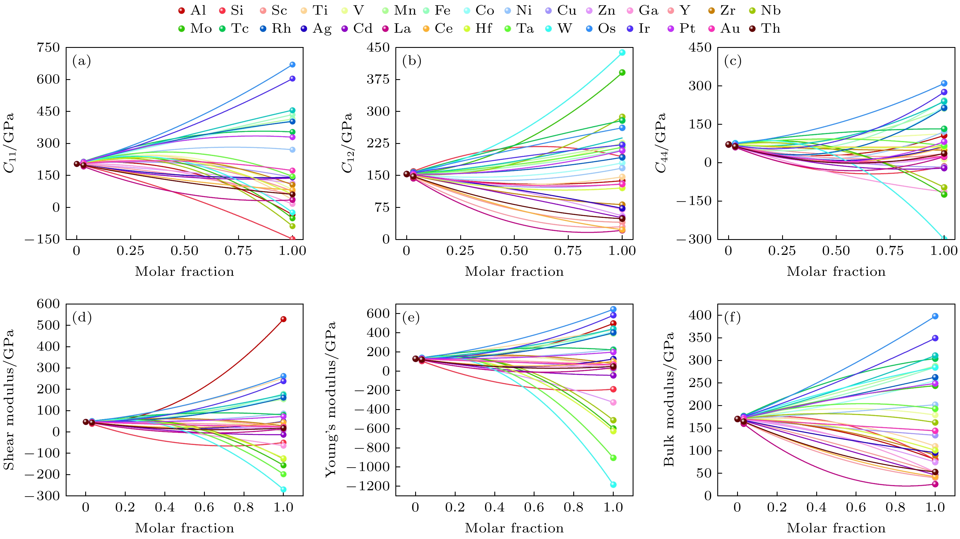
钯(Pd)合金较低的摩擦系数和较好的力学性能使得它在用于长时间稳定工作的高精度仪器仪表中具备潜在优势,但是因为高昂的原料和实验成本导致基础数据缺乏,无法进行高性能Pd合金的设计。因此,本研究利用第一性原理计算了Pd的晶格常数和弹性模量,并建立Pd与Al,Si,Sc,Ti,V,Cr,Mn,Fe,Co,Ni等33种合金元素形成的稀固溶体模型,计算了混合焓、弹性常数和弹性模量。研究结果表明,除Mn,Fe,Co,Ni,Ru,Rh,Os和Ir外,其他合金元素都可以固溶到Pd中,元素周期表两侧的合金元素能提高Pd固溶体的延展性,其中La,Ag和Zn的作用最明显。通过差分电荷密度分析,Ag掺杂后形成的电子云呈球形分布,造成延展性提高,Hf掺杂后周围的离域程度最大,表明Hf与Pd的键合存在较强的离子性,导致Pd31Hf硬度较高。
本文数据集可在科学数据银行数据库 https://www.doi.org/10.57760/sciencedb.j00213.00186中访问获取(审稿阶段请通过私有访问链接查看本文数据集https://www.scidb.cn/s/uqMzye)The lower friction coefficient and better mechanical properties of palladium (Pd) alloys make them potentially advantageous for use in high-precision instruments and devices that require long-term stable performance. However, due to the high cost of raw materials and experimental expenses, there is a lack of fundamental data, hindering the design of high-performance Pd alloys. Therefore, in this study, first-principles calculations were used to determine the lattice constant and elastic modulus of Pd. A dilute solid solution model was established for Pd alloys with 33 elements, including Al, Si, Sc, Ti, V, Cr, Mn, Fe, Co, Ni, and others. The mixing enthalpy, elastic constants, and elastic modulus were calculated. The results show that, except for Mn, Fe, Co, Ni, Ru, Rh, Os, and Ir, all other alloying elements can form solid solutions with Pd. Alloying elements from both sides of the periodic table enhance the ductility of Pd solid solutions, with La, Ag, and Zn having the most significant effects, while Cu and Hf reduce the ductility of Pd. Differential charge density analysis indicates that the electron cloud formed after doping with Ag is spherically distributed, which improves ductility. After doping with Hf, the degree of delocalization around the atoms is maximized, suggesting a strong ionic bond between Hf and Pd, leading to a higher hardness of Pd31Hf.
The datasets presented in this paper are openly available at https://www.doi.org/10.57760/sciencedb.j00213.00186(https://www.scidb.cn/s/uqMzye)-
Keywords:
- First-principles /
- Pd-base alloy /
- mixing enthalpy /
- elastic modulus
-
[1] Gao S L, Fan S S, Yuan C, Cao J W 2023 Aero Weapon. 30(6) 11.(inChinese)[高书亮,樊思思,袁成,曹军伟 2023 航空兵器 30(6) 11 ]
[2] Xu X, Lv J X, Wang Y, Li M, Wang Z, Wang H 2025 Mater. Genome Eng. Adv. 3(2) e69
[3] Jiao L 2018 M. S. Thesis ( Beijing: Beijing University Of Technology) (inChinese) [焦磊 2018 硕士学位论文 (北京:北京工业大学)]
[4] Ma X D, Yu J J, Zhao T 2016 Shandong Ind. Technol. 19 2[马晓东 余建军 赵涛 2016 山东工业技术 19 2]
[5] Su Y J, Fu H D, Bai Y, Jiang X, Xie J X 2020 Acta Metall. Sin. 56 10 1313
[6] Wang Z, Qin M, Zhang P, Xu Y, Que S T, Yan F, Xiang X D 2025 Mater. Genome Eng. Adv. 4 16
[7] Wang H, Xiang Y, Xiang X D, Chen L Q 2015 Sci. Technol. Rev. 33 10 13[汪洪,向勇,项晓东,陈立泉 2015 科技导报33 10 13]
[8] Guo Z K, Li R, He X F, Guo J, Ju S H 2024 Mater. Genome Eng. Adv. 2 4 E 73
[9] Meng H Y, Huang J, Zhao T H, Zhang X Y, Tong Y, Qu J L, Li W D, Jiang L, Meng F C, Chen S Y 2025 Mater. Genome Eng. Adv. 9 3
[10] Wang W Y, Tang B, Shang S L, Wang J, Li S, Wang Y, Zhu J, Wei S, Wang J, Darling K A, Mathaudhu S N, Wang Y, Ren Y, Hui X D, Kecskes L J, Li J, Liu Z K 2019 Acta Mater. 170 231
[11] Xia Y X, He J G, Chen N F, Chen J K 2024 Rare Met. 43 8 3460
[12] Chong X Y, Paz Soldan Palma J, Wang Y, Shang S L, Drymiotis F, Ravi V A, Star K E, Fleurial J P, Liu Z K 2021 Acta Mater. 217
[13] Hu Y C, Tian J 2023 J. Mater. Informat. 3 1
[14] Wang W Y, Gan B, Lin D, Wang J, Wang Y, Tang B, Kou H C, Shang S L, Wang Y, Gao X Y, Song H F, Hui X D, Kecskes L J, Xia Z H, Dahmen K A, Liaw P K, Li J S, Liu Z K 2020 J. Mater. Sci. Technol. 53 192
[15] Zou C, Li J, Wang W Y, Zhang Y, Lin D, Yuan R, Wang X, Tang B, Wang J, Gao X Y, Kou H, Hui X D, Zeng X Q, Ma Q, Song H F, Liu Z K, Xu D S 2021 Acta Mater. 202 211
[16] Liao M Q, Liu Y, Min L, Lai Z H, Han T Y, Yang D, Zhu J C 2018 Harbin Inst. Technol. 101 152
[17] Birch F 1947 Phys. Rev. 71(11) 809
[18] Shang S L, Wang Y, Kim D, Liu Z K 2010 Comput. Mater. Sci. 47 4 1040
[19] Zhou Y X 2021 Ph.D. Dissertation ( Kunming: Kunming University of Science and Technology) (in Chinese) [周云轩 2021 博士学位论文 (昆明:昆明理工大学)]
[20] Chong X, Wei Y, Liang Y, Shang S, Li C, Zhang A, Wei Y, Gao X, Wang Y, Feng J, Chen L, Song H, Liu Z K 2023 J. Mater. Inf. 3 21
[21] Teter D M, Gibbs G V, Boisen M B Jr, Allan D C, Teter M P1995 Phys. Rev. B 52(11) 8064
[22] Huang Z H, Liu G T, Zhang B F, Yan M F, Fu Y D 2020 Phys. Lett. A 384 33
[23] Su Y., Liang C X, Wang D 2023 J. Mater. Inf. 3 14
[24] Duan Y H, Sun Y, Peng M J, Zhou S G 2014 J. Alloys Compd. 595 14
[25] Tang B Y, Chen P, Li D L, Yi J X, Wen L, Peng L M, Ding W J 2010 J. Alloys Compd. 492(1-2) 416
[26] Wang Y, Liao M Q, Bocklund B J, Gao P, Shang S L, Kim H J, Beese A M, Chen L Q, Liu Z K 2021 Calphad 75 102355
[27] Liu Y, Lu Y H, Wang W, Li J, Zhang Y, Yin J, Pan X Q, Chen Y, Li J S, Song H F 2023 J. Mater. Inf. 3 17
[28] Chen R T, Li E, Zou Y 2024 J. Mater. Inf. 4 26
[29] Perdew J P, Ruzsinszky A, Csonka G I, Vydrov O A, Scuseria G E, Constantin L A, Zhou X, Burke K 2008 Phys. Rev. Lett. 100(13) 136406
[30] Vega L, Vines F 2020 J. Comput. Chem. 41(30) 2598
[31] Brańka A C, Wojciechowski K W 2008 J Non-Cryst Solids 354 35
[32] i H, Yin J, Wei G, Lai W S, Liu B X, Liu J B 2023 Rare. Met. 42(5) 1663
[33] Li R Y, Duan Y H 2016 Philos. Mag. 96(10) 972
[34] Ozisik H B, Deligoz E, Ozisik H, Ateser E 2020 Mater. Res. Express. 7 025004
[35] Kenneth Barbalace https://EnvironmentalChemistry.com/yogi/periodic/Pd.html [10/12/2025]
[36] Samsonov G V 1968 Handbook of the Physicochemical Properties of the Elements(New York: Springer New)
[37] Peng H J, Xie Y Q, Tao H J 2006 Trans. Nonferrous Met. Soc. China 16(1) 100 [ 彭红建,谢佑卿,陶辉锦 2006 中国有色金属学报 16(1) 100]
[38] Duan Y J, Qiao J C 2022 Acta Phys. Sin. 71 086101[段亚娟,乔吉超 2022 物理学报 71 086101]
[39] Zhang X, Wang D, Nagaumi H, Wang R, Wu Z, Zhang M, Gao D, Chen H, Wang P, Zhou P, Zhou Y, Wang Z, Li T 2025 Mater. Genome Eng. Adv. 3(2) e70008.
[40] Born M 1939 J. Chem. Phys. 7(8) 591
[41] Wang G C, Jiang Y H, Li Z L, Chong X Y, Feng J 2021 Ceram. Int. 47(4) 4758
[42] Xu X W, Fu K, Li L L, Lu Z M, Zhang X H, Fan Y, Lin J, Liu G D, Luo H Z, Tang C C 2013 Physica B 419 105
[43] Tan F Q, Bai Q G, Yu B, Wang J F, Zhang Z H 2024 Rare Met. 13 5305
[44] Zhuang Y, Chen J C, Yan Z , Lv L U 2015 Mater. Rev. 29(2) 150
[45] Ma W, Huang H, Ding W, Guo S, Liu H X, Cheng X N 2023 Rare. Met. 42(5) 1670
计量
- 文章访问数: 138
- PDF下载量: 0
- 被引次数: 0








下载: