2023 Vol. 72, No. 3
column
- SPECIAL TOPIC—Nano engineering and thermophysics
- REVIEW
- GENERAL
- ATOMIC AND MOLECULAR PHYSICS
- ELECTROMAGNETISM, OPTICS, ACOUSTICS, HEAT TRANSFER, CLASSICAL MECHANICS, AND FLUID DYNAMICS
- PHYSICS OF GASES, PLASMAS, AND ELECTRIC DISCHARGES
- CONDENSED MATTER: STRUCTURAL, MECHANICAL, AND THERMAL PROPERTIES
- CONDENSED MATTER: ELECTRONIC STRUCTURE, ELECTRICAL, MAGNETIC, AND OPTICAL PROPERTIES
- INTERDISCIPLINARY PHYSICS AND RELATED AREAS OF SCIENCE AND TECHNOLOGY
- ERRATA
Display Method:
2023, 72(3): 034401.
doi: 10.7498/aps.72.20221981
Abstract:
The acoustic mismatch model and diffuse mismatch model are widely used to calculate interfacial thermal conductance. These two models are respectively based on the assumption of extremely smooth and rough interfaces. Owing to the great difference between the actual interface structure and the two hypotheses, the predictions of these two models deviate greatly from the actual interfacial thermal conductance. The recently proposed mixed mismatch model considers the effect of interface structure on the ratio of phonon specular transmission to diffuse scattering transmission, and the prediction accuracy is improved. However, this model requires molecular dynamics simulation to obtain phonon information at the interface. In this work, the mixed mismatch model is simplified by introducing the measured roughness value, and the influence of interface structure on the contact area is taken into account to achieve a simple, fast and accurate prediction of interface thermal conductance. Based on this model, the interfacial thermal conductances of metals (aluminum, copper, gold) and semiconductors (silicon, silicon carbide, gallium arsenide, gallium nitride) are calculated and predicted. The results of Al/Si interface are in good agreement with the experimental results. This model is helpful not only in understanding the mechanism of interface heat conduction, but also in comparing with the measurement results.
The acoustic mismatch model and diffuse mismatch model are widely used to calculate interfacial thermal conductance. These two models are respectively based on the assumption of extremely smooth and rough interfaces. Owing to the great difference between the actual interface structure and the two hypotheses, the predictions of these two models deviate greatly from the actual interfacial thermal conductance. The recently proposed mixed mismatch model considers the effect of interface structure on the ratio of phonon specular transmission to diffuse scattering transmission, and the prediction accuracy is improved. However, this model requires molecular dynamics simulation to obtain phonon information at the interface. In this work, the mixed mismatch model is simplified by introducing the measured roughness value, and the influence of interface structure on the contact area is taken into account to achieve a simple, fast and accurate prediction of interface thermal conductance. Based on this model, the interfacial thermal conductances of metals (aluminum, copper, gold) and semiconductors (silicon, silicon carbide, gallium arsenide, gallium nitride) are calculated and predicted. The results of Al/Si interface are in good agreement with the experimental results. This model is helpful not only in understanding the mechanism of interface heat conduction, but also in comparing with the measurement results.
2023, 72(3): 038103.
doi: 10.7498/aps.72.20221574
Abstract:
Topological materials have attracted much attention due to their novel physical properties. These materials can not only serve as a platform for studying the fundamental physics, but also demonstrate a significant potential application in electronics, and they are studied usually in two ways. One is to constantly explore new experimental phenomena and physical problems in existing topological materials, and the other is to predict and discover new topological material systems and carry out synthesis for further studies. In a word, high-quality crystals are very important for studying quantum oscillations, angle resolved photoemission spectra or scanning tunneling microscopy. In this work, the classifications and developments of topological materials, including topological insulators, topological semimetals, and magnetic topological materials, are introduced. As usually employed growth methods in growing topological materials, flux and vapour transport methods are introduced in detail. Other growth methods, such as Bridgman, float-zone, vapour deposition and molecular beam epitaxy methods, are also briefly mentioned. Then the details about the crystal growth of some typical topological materials, including topological insulators/semimetals, high Chern number chiral topological semimetals and magnetic topological materials, are elaborated. Meanwhile, the identification of crystal quality is also briefly introduced, including the analysis of crystal composition and structure, which are greatly important.
Topological materials have attracted much attention due to their novel physical properties. These materials can not only serve as a platform for studying the fundamental physics, but also demonstrate a significant potential application in electronics, and they are studied usually in two ways. One is to constantly explore new experimental phenomena and physical problems in existing topological materials, and the other is to predict and discover new topological material systems and carry out synthesis for further studies. In a word, high-quality crystals are very important for studying quantum oscillations, angle resolved photoemission spectra or scanning tunneling microscopy. In this work, the classifications and developments of topological materials, including topological insulators, topological semimetals, and magnetic topological materials, are introduced. As usually employed growth methods in growing topological materials, flux and vapour transport methods are introduced in detail. Other growth methods, such as Bridgman, float-zone, vapour deposition and molecular beam epitaxy methods, are also briefly mentioned. Then the details about the crystal growth of some typical topological materials, including topological insulators/semimetals, high Chern number chiral topological semimetals and magnetic topological materials, are elaborated. Meanwhile, the identification of crystal quality is also briefly introduced, including the analysis of crystal composition and structure, which are greatly important.
2023, 72(3): 030201.
doi: 10.7498/aps.72.20221761
Abstract:
Metal-organic framework (MOF) is a new type of inorganic-organic hybrid porous material composed of organic ligands bridging metal ions, and it has the characteristics of tunable functions, good stability and porosity. In this study, Zn doped Co-based metal organic frame works single-crystal samples\begin{document}$\left[{(\rm{C}\rm{H}}_{3}{)}_{2}\rm{N}{\rm{H}}_{2}\right]{\rm{C}\rm{o}}_{1-x}{\rm{Z}\rm{n}}_{x} $\end{document} ![]()
![]()
\begin{document}$ {\left[\rm{H}\rm{C}\rm{O}\rm{O}\right]}_{3}$\end{document} ![]()
![]()
are synthesized by the solvothermal method with normal ratio x = 0, 0.1, 0.2, 0.3, 0.4, 0.5. Single crystal diffraction, scanning electron microscope and energy dispersive X-ray spectroscopy results show that Zn ions are uniformly doped into Co-based MOFs crystals. The field cooling curves show that antiferromagnetic phase transition temperature of Co-based MOFs decreases from 15 K for pure Co-MOF x = 0 to 12.8 K for x = 0.2. Abnormal large magnetic hysteresis is obtained for Zn doped crystals with large coercive field 3600 Oe (x = 0.3) compared with 450 Oe coercive field for pure Co-MOF (x = 0), and the hysteresis area of Zinc-doped sample is more than 3 times that of pure cobalt sample. On the other hand, we find a series of steps on the hysteresis loop of DMCo0.9Zn0.1F sample, which gradually disappears with the increase of temperature, similar to the quantum tunneling phenomenon of a single molecule magnet. Previous studies have shown that the long range magnetic interaction and the magnetic single-ion behavior competition coexist in these systems. It is believed that the doping of non-magnetic zinc ions weakens the long-range interaction between Co ions and makes Co ions show the step effect caused by quantum tunneling at low temperature.
Metal-organic framework (MOF) is a new type of inorganic-organic hybrid porous material composed of organic ligands bridging metal ions, and it has the characteristics of tunable functions, good stability and porosity. In this study, Zn doped Co-based metal organic frame works single-crystal samples
2023, 72(3): 030202.
doi: 10.7498/aps.72.20221532
Abstract:
The method of moments is one of the most effective algorithms for solving electromagnetic scattering problems. However, the high computational complexity limits its application to electrically large problems. As an improved algorithm, the compressive sensing-based method of moments introduces the compressive sensing technique into the algorithmic structure, which avoids the inverse of the matrix equation and improves the computational efficiency. Using the underdetermined equation-based calculation model, this scheme is utilized to efficiently analyze the bistatic scattering of the objects. In this technique, the extracted few rows from the impedance matrix are used to construct the measurement matrix. Nevertheless, the results are unstable due to the random extraction utilized to build the measurement matrix. Furthermore, it is challenging task to provide an appropriate sparse basis for the induced currents of three-dimensional objects discretized by the Rao-Wilton-Glisson basis functions. To address the aforementioned issues, a novel compressive sensing calculation model that enhances measurement matrix building, sparse basis construction, and recovery is provided in this paper. First, several rows of the impedance matrix are uniformly extracted to produce consistent computation results, which is opposed to the randomly constructed measurement matrix in the conventional technique. The number of rows to be extracted is typically set to be 3–5 times the number of basis functions for high accuracy. Then, the characteristic basis functions based on the Foldy-Lax equation are employed to construct the sparse basis. Considering the prior knowledge that the lower order characteristic basis functions are dominant, the columns of the recovery matrix corresponding to some low-order characteristic functions are determined in advance as the columns that will be identified by the recovery algorithm, thus simplifying the recovery algorithm to a least-squares operation. Obviously, the matrix equation is reduced to an overdetermined equation instead of the underdetermined equation since only a few low-order basis functions are to be computed. Compared with the conventional compressive sensing-based method of moments with characteristic basis functions, the computation time is significantly reduced in terms of constructing the basis functions and recovering the current coefficients, while the accuracy is improved. Finally, both the suggested method and the conventional compressive sensing-based method of moments are used to simulate the bistatic radar cross sections of the perfect electrical conductor cube, cylinder, and missile model. The efficiency and accuracy of the proposed method are verified by the numerical results.
The method of moments is one of the most effective algorithms for solving electromagnetic scattering problems. However, the high computational complexity limits its application to electrically large problems. As an improved algorithm, the compressive sensing-based method of moments introduces the compressive sensing technique into the algorithmic structure, which avoids the inverse of the matrix equation and improves the computational efficiency. Using the underdetermined equation-based calculation model, this scheme is utilized to efficiently analyze the bistatic scattering of the objects. In this technique, the extracted few rows from the impedance matrix are used to construct the measurement matrix. Nevertheless, the results are unstable due to the random extraction utilized to build the measurement matrix. Furthermore, it is challenging task to provide an appropriate sparse basis for the induced currents of three-dimensional objects discretized by the Rao-Wilton-Glisson basis functions. To address the aforementioned issues, a novel compressive sensing calculation model that enhances measurement matrix building, sparse basis construction, and recovery is provided in this paper. First, several rows of the impedance matrix are uniformly extracted to produce consistent computation results, which is opposed to the randomly constructed measurement matrix in the conventional technique. The number of rows to be extracted is typically set to be 3–5 times the number of basis functions for high accuracy. Then, the characteristic basis functions based on the Foldy-Lax equation are employed to construct the sparse basis. Considering the prior knowledge that the lower order characteristic basis functions are dominant, the columns of the recovery matrix corresponding to some low-order characteristic functions are determined in advance as the columns that will be identified by the recovery algorithm, thus simplifying the recovery algorithm to a least-squares operation. Obviously, the matrix equation is reduced to an overdetermined equation instead of the underdetermined equation since only a few low-order basis functions are to be computed. Compared with the conventional compressive sensing-based method of moments with characteristic basis functions, the computation time is significantly reduced in terms of constructing the basis functions and recovering the current coefficients, while the accuracy is improved. Finally, both the suggested method and the conventional compressive sensing-based method of moments are used to simulate the bistatic radar cross sections of the perfect electrical conductor cube, cylinder, and missile model. The efficiency and accuracy of the proposed method are verified by the numerical results.
2023, 72(3): 030401.
doi: 10.7498/aps.72.20221767
Abstract:
In the electromagnetic wave radiated by radome, there often occur pointing angle deviation, beam distortion and other phenomena, due to the complex electromagnetic medium composition, special contour and complex working environments. For conventional optimization methods, harsh and complex situations increase its workload, especially in the case that the specific location parameter information is unknown. In this paper, a method with time-inversion technique for correcting the radiation beam distortion of the complex radome is proposed. With the time-inversionl method, the concrete parameters of different positions for the radome and the surrounding environment information are not necessary to be determined in advance. The derivation shows that the environmental information is eliminated adaptively by the conjugate convolution operation, and it is proved by numerical operation that the signal of maximum radiation gain in target angle is time-inversion signal. Then based on the adaptive focusing properties of time-inversion electromagnetic waves, a top wedge radome and an icing working radome are taken as the case study. The equal amplitude phase shifting serves as the control group to highlight the advantages of time-reversal. In the end, the results show that the radiation beam pointing error can be reduced from ±10° to ±0.9° within ±45° scanning range for the top wedge radome in C-band. And the annihilated main beam can be converged again for the radome in the icing state. In addition, all the improvements are in a broadband range, and the robustness of the entire radome system is enhanced by increasing target angle energy caused by the increasing the directionality of the array radiation and the narrowing the 3 dB beamwidth. This paper provides an effective method of analyzing the complex radomes and radio wave propagations in complex media.
In the electromagnetic wave radiated by radome, there often occur pointing angle deviation, beam distortion and other phenomena, due to the complex electromagnetic medium composition, special contour and complex working environments. For conventional optimization methods, harsh and complex situations increase its workload, especially in the case that the specific location parameter information is unknown. In this paper, a method with time-inversion technique for correcting the radiation beam distortion of the complex radome is proposed. With the time-inversionl method, the concrete parameters of different positions for the radome and the surrounding environment information are not necessary to be determined in advance. The derivation shows that the environmental information is eliminated adaptively by the conjugate convolution operation, and it is proved by numerical operation that the signal of maximum radiation gain in target angle is time-inversion signal. Then based on the adaptive focusing properties of time-inversion electromagnetic waves, a top wedge radome and an icing working radome are taken as the case study. The equal amplitude phase shifting serves as the control group to highlight the advantages of time-reversal. In the end, the results show that the radiation beam pointing error can be reduced from ±10° to ±0.9° within ±45° scanning range for the top wedge radome in C-band. And the annihilated main beam can be converged again for the radome in the icing state. In addition, all the improvements are in a broadband range, and the robustness of the entire radome system is enhanced by increasing target angle energy caused by the increasing the directionality of the array radiation and the narrowing the 3 dB beamwidth. This paper provides an effective method of analyzing the complex radomes and radio wave propagations in complex media.
Transport of closed ring containing chiral active particles under transversal temperature difference
2023, 72(3): 030501.
doi: 10.7498/aps.72.20221772
Abstract:
Active matter is a new and challenging field of physics. Chiral active particle experiences a constant torque and performs circular motion due to the self-propulsion force not aligning with the propulsion direction. Recently, most of studies of the active particle systems focused on constant temperature, but did not take into consideration the constraints by the barriers. In our work, the rectification of a ring containing chiral active particles with transversal temperature difference is numerically investigated in a two-dimensional periodic channel. It is found that the ring powered by chiral active particles can be rectified by the transversal temperature difference and the direction of the transport is determined by the chirality of active particles. The average velocity is a peaked function of angular velocity, the temperature of the lower wall or temperature difference. The transport behaviors of the ring containing one chiral active particle is qualitatively different from those of the ring containing several particles. Especially, the ring radius can strongly affect the transport behaviors. For the ring containing one chiral active particle, the interaction between the particle and the ring facilitates the rectification of the ring when the circular trajectory radius of the chiral particle is large. The average velocity decreases with the increase of the ring radius because the propelling force to the ring by the particle is small. When the circular trajectory radius is small, the interaction between the particle and the ring suppresses the transport. The speed increases as the ring radius increases because the directional transport comes from the difference in temperature between the upper wall and the lower wall. For the ring containing several particles, the interaction between particles reduces the rectification of the ring. The average velocity increases with the increase of the ring radius due to the interaction between particles decreasing. Remarkably, the velocity of the ring decreases as the particle number increases when the ring radius is small, but is a peaked function when the ring radius is not small. Our results offer new possibilities for manipulating an active particle flow on a microscale, and can be applied practically to propelling carriers and motors by a bath of bacteria or artificial microswimmers, such as hybrid micro-device engineering, drug delivery, micro-fluidics, and lab-on-chip technology.
Active matter is a new and challenging field of physics. Chiral active particle experiences a constant torque and performs circular motion due to the self-propulsion force not aligning with the propulsion direction. Recently, most of studies of the active particle systems focused on constant temperature, but did not take into consideration the constraints by the barriers. In our work, the rectification of a ring containing chiral active particles with transversal temperature difference is numerically investigated in a two-dimensional periodic channel. It is found that the ring powered by chiral active particles can be rectified by the transversal temperature difference and the direction of the transport is determined by the chirality of active particles. The average velocity is a peaked function of angular velocity, the temperature of the lower wall or temperature difference. The transport behaviors of the ring containing one chiral active particle is qualitatively different from those of the ring containing several particles. Especially, the ring radius can strongly affect the transport behaviors. For the ring containing one chiral active particle, the interaction between the particle and the ring facilitates the rectification of the ring when the circular trajectory radius of the chiral particle is large. The average velocity decreases with the increase of the ring radius because the propelling force to the ring by the particle is small. When the circular trajectory radius is small, the interaction between the particle and the ring suppresses the transport. The speed increases as the ring radius increases because the directional transport comes from the difference in temperature between the upper wall and the lower wall. For the ring containing several particles, the interaction between particles reduces the rectification of the ring. The average velocity increases with the increase of the ring radius due to the interaction between particles decreasing. Remarkably, the velocity of the ring decreases as the particle number increases when the ring radius is small, but is a peaked function when the ring radius is not small. Our results offer new possibilities for manipulating an active particle flow on a microscale, and can be applied practically to propelling carriers and motors by a bath of bacteria or artificial microswimmers, such as hybrid micro-device engineering, drug delivery, micro-fluidics, and lab-on-chip technology.
2023, 72(3): 030502.
doi: 10.7498/aps.72.20220092
Abstract:
Magnetar is a kind of pulsar powered by magnetic field energy. The study of magnetars is an important hotspot in the field of pulsars. In this paper, according to the work of Zhu Cui, et al. (Zhu C, Gao Z F, Li X D, Wang N, Yuan J P, Peng Q H2016 Mod. Phys. Lett. A 31 1650070 ), we reinvestigate the Landau-level stability of electrons in a superhigh magnetic field (SMF), \begin{document}$B\gg B_{\rm cr}$\end{document} ![]()
![]()
(Bcr is a quantum critical magnetic field with a value of 4.414×1013 G), and its influence on the pressure of electrons in magnetar. First, we briefly review the pressure of electrons in neutron star (NS) with a weak-magnetic field limit (\begin{document}$ B\ll B $\end{document} ![]()
![]()
cr). Then, we introduce an electron Landau level stability coefficient gν and a Dirac-δ function to deduce a modified pressure formula for the degenerate and relativistic electrons in an SMF in an application range of matter density ρ ≥ 107 g·cm–3 and Bcr \begin{document}$ \ll $\end{document} ![]()
![]()
B < 1017 G. By modifying the phase space of relativistic electrons, the SMF can enhance the electron number density ne, and reduce the maximum of electron Landau level number νmax, which results in a redistribution of electrons. As B increases, more and more electrons will occupy higher Landau levels, and the electron Landau level stability coefficient gν will decrease with the augment of Landau energy-level number ν. By modifying the phase space of relativistic electrons, the electron number density ne increases with the MF strength increasing, leading the electron pressure Pe to increase. Utilizing the modified expression of electron pressure, we discuss the phenomena of Fermion spin polarization and electron magnetization in the SMF, and the modification of the equation of state by the SMF. We calculate the baryon number density, magnetization pressure, and the difference between pressures in the direction parallel to and perpendicular to the magnetic field in the frame of the relativistic mean field model. Moreover, we find that the pressure anisotropy due to the strong magnetic field is very small and can be ignored in the present model. We compare our results with the results from other similar studies, and examine their similarities and dissimilarities. The similarities include 1) the abnormal magnetic moments of electrons and the interaction between them are ignored; 2) the electron pressure relate to magnetic field intensity B, electron number density ne and electron Fermi energy \begin{document}$E_{{\rm{F}}}^{{\rm{e}}}$\end{document} ![]()
![]()
, and the latter two are complex functions containing B; 3) with ne and \begin{document}$E_{{\rm{F}}}^{{\rm{e}}}$\end{document} ![]()
![]()
fixed, Pe increases with B rising; 4) as B increases, the pressure-density curves fitted by the results from other similar studies have irregular protrusions or fluctuations, which are caused by the transformation of electron energy state from partial filling to complete filling at the ν-level or the transition of electrons from the ν to the (ν+1)-level. This phenomenon is believed to relate to the behavior of electrons near the Fermi surface in a strong magnetic field, which essentially reflects the Landau level instability. Finally, the future research direction is prospected. The present results provide a reference for future studies of the equation of state and emission mechanism of high-B pulsar, magnetar and strongly magnetized white dwarf.
Magnetar is a kind of pulsar powered by magnetic field energy. The study of magnetars is an important hotspot in the field of pulsars. In this paper, according to the work of Zhu Cui, et al. (Zhu C, Gao Z F, Li X D, Wang N, Yuan J P, Peng Q H
Inversion method of target gas cloud transmittance based on atmospheric profile synthesis background
2023, 72(3): 033201.
doi: 10.7498/aps.72.20221670
Abstract:
The sky infrared background radiation varies greatly with spatial distribution and time. When scanning Fourier transform infrared remote sensing imaging system scans the target gas cloud with the sky as the background, the background radiation corresponding to each scanned pixel is different, and the background does not have a constant baseline. It is extremely difficult to obtain the background spectrum of each pixel in real time, which affects the inversion accuracy of the target gas cloud transmittance. An inversion method of target gas cloud transmittance based on atmospheric profile synthesis background is proposed in this work. The temperature, humidity, pressure, and ozone profiles of the measured locations and the atmospheric model are used to generate the sky infrared background in order to solve the problem, i.e. the difficulty in measuring the clean sky infrared background spectrum in the chemical industry park. This paper proposes that there is a continuous derivable relationship between the sky infrared background spectrum and the cosine of zenith angle at each wavenumber, so a small amount of sky infrared background spectrum with a zenith angle gradient can quickly generate a sky infrared background spectrum at any elevation angle. The proposed method is verified by the moderate resolution atmospheric radiative transfer model (MODTRAN) software simulation and the remote sensing imaging experiment of SF6 gas. The proposed method can quickly generate the sky infrared background spectrum corresponding to any angle within a gradient elevation angle and accurately invert the target gas cloud transmittance at each pixel. The results show that the distribution trend of the column concentration of the SF6 gas cloud is consistent with the actual distribution, and the correlation is 0.99979.
The sky infrared background radiation varies greatly with spatial distribution and time. When scanning Fourier transform infrared remote sensing imaging system scans the target gas cloud with the sky as the background, the background radiation corresponding to each scanned pixel is different, and the background does not have a constant baseline. It is extremely difficult to obtain the background spectrum of each pixel in real time, which affects the inversion accuracy of the target gas cloud transmittance. An inversion method of target gas cloud transmittance based on atmospheric profile synthesis background is proposed in this work. The temperature, humidity, pressure, and ozone profiles of the measured locations and the atmospheric model are used to generate the sky infrared background in order to solve the problem, i.e. the difficulty in measuring the clean sky infrared background spectrum in the chemical industry park. This paper proposes that there is a continuous derivable relationship between the sky infrared background spectrum and the cosine of zenith angle at each wavenumber, so a small amount of sky infrared background spectrum with a zenith angle gradient can quickly generate a sky infrared background spectrum at any elevation angle. The proposed method is verified by the moderate resolution atmospheric radiative transfer model (MODTRAN) software simulation and the remote sensing imaging experiment of SF6 gas. The proposed method can quickly generate the sky infrared background spectrum corresponding to any angle within a gradient elevation angle and accurately invert the target gas cloud transmittance at each pixel. The results show that the distribution trend of the column concentration of the SF6 gas cloud is consistent with the actual distribution, and the correlation is 0.99979.
2023, 72(3): 033202.
doi: 10.7498/aps.72.20221865
Abstract:
Ultra-cold long-range Rydberg molecules, consisting of a Rydberg atom and a ground-state atom or another Rydberg atom or ion, have attracted considerable attention due to their exaggerated properties, such as huge size, long chemical bond, large polarization and electric dipole moment, abundant vibrational states and exotic adiabatic potentials. The binding mechanism of Rydberg molecules is a low-energy scattering interaction between the Rydberg electron and the ground state atom for ground-Rydberg molecules or long-range multipole interaction for Rydberg-atom macrodimers and Rydberg-ion molecules, in contrast to covalent bonds, ionic bonds of normal and van der Waals interaction. Owing to its huge size, the dynamic evolution becomes slow compared with normal diatomic molecules and the ultra-long chemical bonds allow being imaged directly by high resolution imaging technology, which makes it convenient to observe the molecular dynamics process chemical reaction process in real time. The investigation of Rydberg molecules will be significant for understanding the mechanism of molecular collision and quantum chemical reaction. In this work, we study the ultra-cold Rydberg-ground state molecules theoretically and experimentally. Theoretically, we calculate the adiabatic potential energy curve of cesium (36D5/2+ 6S1/2) Rydberg molecule based on the Fermi model of low energy electron scattering by numerically solving the Hamiltonian of Rydberg molecules. And also, we obtain its characteristic parameters, such as the potential depth, binding energy and equilibrium nuclear distance of Rydberg molecule. Experimentally, the Rydberg-ground molecules are investigated by a photoassociation spectroscopy, where two laser pulses are used to achieve a two-photon transition, and their spectra are obtained by ion detection technology. We successfully observe the Rydberg-ground state molecular spectra that correspond to a scattering triplet and a scattering single-triplet mixture (S,TΣ). The measured binding energy of Rydberg-ground state molecules is in good agreement with the theoretical result. In addition, taking the Rydberg-ground state molecules formed by scattering triplet (TΣ) for example, we demonstrate the spectrum broadening of Rydberg molecules in a weak electric field, from which we obtain the permanent electric dipole moments \begin{document}$|\bar{d}|$\end{document} ![]()
![]()
of polar Rydberg-ground state molecules about (12.10\begin{document}$ \pm $\end{document} ![]()
![]()
1.65) Debye ((4.76\begin{document}$ \pm $\end{document} ![]()
![]()
0.65) ea0). The results are consistent with the theoretical calculations. Our study provides a feasible scheme for the experimental preparation of D-type Rydberg-ground molecules, which is of great significance in studying the binding mechanism and the spectral characteristics of polar Rydberg molecules.
2023, 72(3): 034201.
doi: 10.7498/aps.72.20221918
Abstract:
Single-pixel imaging (SPI) system modulates the object with a series of patterns, records the corresponding measurements of a bucket detector and forms an image by the algorithm of compressed sensing. In this process, if other objects enter into the field of view of SPI, the accuracy of measurement will be seriously affected, and the quality of the reconstructed image will decrease. Owing to the randomness of the reflectivity and shape of the occlusion, it is difficult to effectively separate the disturbed part from the bucket detector signal. To solve this problem, we propose a self-check method based on the characteristics of Hadamard matrix, that is, using the measurement values of bucket detector to verify the correctness of signal. Usually when using the Hadamard matrix as the measurement matrix in SPI, it is divided into complementary positive pattern and negative pattern. The measurements of these two patterns are subtracted to form the image (the difference value marked by\begin{document}$ l $\end{document} ![]()
![]()
). Owing to the complementarity of the two patterns, the sum of the corresponding measurements should be a constant (marked by \begin{document}$ u $\end{document} ![]()
![]()
). When dynamic occlusion appears, the value of \begin{document}$ u $\end{document} ![]()
![]()
will fluctuate significantly, so we choose \begin{document}$ u $\end{document} ![]()
![]()
as the standard to judge whether an occlusion appears. In order to reduce the influence of other factors (such as system noise or fluctuation of the illumination) in the imaging process, we further propose a dynamic occlusion removal method based on the statistical histogram of the values of \begin{document}$ u $\end{document} ![]()
![]()
. We first find the position of the maximum value in the histogram, and then expand from this position to both sides of the histogram. We calculate the area of the expanded region, and stop the expansion when this area is greater than the threshold. Then the \begin{document}$ l $\end{document} ![]()
![]()
corresponding to \begin{document}$ u $\end{document} ![]()
![]()
in the expanded region is the measured value without interference. Experiments show that this method can retain the undisturbed signals of the bucket detector and significantly improve the quality of the reconstructed image. This method is simple and effective, and it is also suitable for general imaging scenes. More importantly, it does not need to introduce additional patterns for verification, which effectively promotes the practical process of single pixel imaging technology.
Single-pixel imaging (SPI) system modulates the object with a series of patterns, records the corresponding measurements of a bucket detector and forms an image by the algorithm of compressed sensing. In this process, if other objects enter into the field of view of SPI, the accuracy of measurement will be seriously affected, and the quality of the reconstructed image will decrease. Owing to the randomness of the reflectivity and shape of the occlusion, it is difficult to effectively separate the disturbed part from the bucket detector signal. To solve this problem, we propose a self-check method based on the characteristics of Hadamard matrix, that is, using the measurement values of bucket detector to verify the correctness of signal. Usually when using the Hadamard matrix as the measurement matrix in SPI, it is divided into complementary positive pattern and negative pattern. The measurements of these two patterns are subtracted to form the image (the difference value marked by
2023, 72(3): 034202.
doi: 10.7498/aps.72.20221923
Abstract:
As one of the most remarkable features of quantum mechanics, quantum coherence is regarded as an important quantum resource in the quantum information processing. The one-mode squeezed state and the two-mode squeezed state (Einstein-Podolsky-Rosen (EPR) entangled states) as the most representative examples of nonclassical states both have quantum coherence. The squeezing property of the squeezed state is described by the variance of quadrature components, and the positive partial transposition (PPT) criterion is used to describe the entanglement of the EPR entangled states. The research of the quantum coherence of Gaussian states is also a bridge between the properties of squeezing and entanglement. It has been shown that the quantum coherence with infinite-dimensional systems can be quantified by relative entropy. One of the widely used effective methods to obtain the value of quantum coherence experimentally is the quantum tomography. The covariance matrices of the quantum states are reconstructed via balanced homodyne detection and then taken into quantum coherence expression to calculate the corresponding value. The main factors affecting quantum coherence are the classical and uncorrelated noise in the actual experimental generation processing and the decoherence effect caused by the coupling between quantum resources and the surrounding environment. And the quantum coherence evolution in the generation and transmission process of the quantum resources is essential for the practical applications. Therefore, we analyze in detail the influences of the impurity of quantum resource on squeezing, entanglement and quantum coherence. The evolutions of quantum coherence of these Gaussian states in the lossy channels are demonstrated experimentally. The quantum coherence is shown to be robust against the loss in the lossy channels, which is similar to the case of squeezing and entanglement. The quantum coherences of the squeezed states and the EPR entangled states are robust against the thermal photons in the actual experimental generation processing, although the squeezing and entanglement of Gaussian states disappear at a certain number of thermal photons. Our research results provide a reference for the practical applications of quantum coherence of the squeezed state and entangled states in the lossy environment.
As one of the most remarkable features of quantum mechanics, quantum coherence is regarded as an important quantum resource in the quantum information processing. The one-mode squeezed state and the two-mode squeezed state (Einstein-Podolsky-Rosen (EPR) entangled states) as the most representative examples of nonclassical states both have quantum coherence. The squeezing property of the squeezed state is described by the variance of quadrature components, and the positive partial transposition (PPT) criterion is used to describe the entanglement of the EPR entangled states. The research of the quantum coherence of Gaussian states is also a bridge between the properties of squeezing and entanglement. It has been shown that the quantum coherence with infinite-dimensional systems can be quantified by relative entropy. One of the widely used effective methods to obtain the value of quantum coherence experimentally is the quantum tomography. The covariance matrices of the quantum states are reconstructed via balanced homodyne detection and then taken into quantum coherence expression to calculate the corresponding value. The main factors affecting quantum coherence are the classical and uncorrelated noise in the actual experimental generation processing and the decoherence effect caused by the coupling between quantum resources and the surrounding environment. And the quantum coherence evolution in the generation and transmission process of the quantum resources is essential for the practical applications. Therefore, we analyze in detail the influences of the impurity of quantum resource on squeezing, entanglement and quantum coherence. The evolutions of quantum coherence of these Gaussian states in the lossy channels are demonstrated experimentally. The quantum coherence is shown to be robust against the loss in the lossy channels, which is similar to the case of squeezing and entanglement. The quantum coherences of the squeezed states and the EPR entangled states are robust against the thermal photons in the actual experimental generation processing, although the squeezing and entanglement of Gaussian states disappear at a certain number of thermal photons. Our research results provide a reference for the practical applications of quantum coherence of the squeezed state and entangled states in the lossy environment.
2023, 72(3): 034203.
doi: 10.7498/aps.72.20221917
Abstract:
Laser has the advantages of high brightness, good monochromaticity, high coherence and good directionality, however, in some cases such as laser imaging and laser processing where only its high brightness or high monochromaticity is desired, the interference effect caused by high coherence can affect and limit its effective applications. In this work, a new single glass tube decoherence lens (SGTDL) is designed for soft X-ray laser decoherence through the simulation calculations. The simulation results show that an SGTDL with an entrance diameter of 5 mm, exit diameter of 0.6 mm and a length of 15 cm can effectively reduce the coherence of the X-ray laser with a wavelength of 10 nm and a beam waist radius of 1.25 mm. At the same time, the exit beam with a divergence range of 30–50 mrad is obtained at the SGTDL’s exit, and the transmission efficiency and gain in power density of the SGTDL are 78% and 52.74, respectively. For a laser beam with a wavelength of up to 1 nm, this model of SGTDL can maintain the transmission efficiency of the beam at more than 30%. This work also discusses the influence of the X-ray laser energy and the SGTDL’s length on the transmission performances of the SGTDL. The results show that the SGTDL designed according to the total reflection principle can meet the application requirements for laser decoherence in a range from the extreme ultraviolet to X-ray wavelength, and has a wide application prospect in X-ray laser imaging, laser processing, etc.
Laser has the advantages of high brightness, good monochromaticity, high coherence and good directionality, however, in some cases such as laser imaging and laser processing where only its high brightness or high monochromaticity is desired, the interference effect caused by high coherence can affect and limit its effective applications. In this work, a new single glass tube decoherence lens (SGTDL) is designed for soft X-ray laser decoherence through the simulation calculations. The simulation results show that an SGTDL with an entrance diameter of 5 mm, exit diameter of 0.6 mm and a length of 15 cm can effectively reduce the coherence of the X-ray laser with a wavelength of 10 nm and a beam waist radius of 1.25 mm. At the same time, the exit beam with a divergence range of 30–50 mrad is obtained at the SGTDL’s exit, and the transmission efficiency and gain in power density of the SGTDL are 78% and 52.74, respectively. For a laser beam with a wavelength of up to 1 nm, this model of SGTDL can maintain the transmission efficiency of the beam at more than 30%. This work also discusses the influence of the X-ray laser energy and the SGTDL’s length on the transmission performances of the SGTDL. The results show that the SGTDL designed according to the total reflection principle can meet the application requirements for laser decoherence in a range from the extreme ultraviolet to X-ray wavelength, and has a wide application prospect in X-ray laser imaging, laser processing, etc.
2023, 72(3): 034204.
doi: 10.7498/aps.72.20221582
Abstract:
Rydberg atoms based quantum microwave measurement technology has significant advantages such as self-calibration, traceability, high sensitivity and stable uniformity of measurement. In this work, from the dimension of traditional electromagnetic theory, an electric field local enhancement technique for quantum microwave measurements is developed to improve the sensitivity of quantum microwave receiver. The theoretical basis of this method comes from the different mechanisms of realization of microwave reception in quantum microwave receivers and classical receiver. Classic receivers use antennas to collect microwave energy in space to signal reception; quantum microwave receivers measure the strength of the electric field in the path of a laser beam in an atomic gas chamber (the beam is about 100 µm in diameter) to realize the signal reception. Therefore, the sensitivity of quantum microwave receiver can be improved by increasing the electric field strength in the path of laser beam. The critical physical mechanism is the multi-beam interference at the open end and the short-circuited end of the structure. The results show that with the decrease of gap height of parallel plates, the enhancement factor of electric field strength increases rapidly and the power density compression capability is greatly improved. The |69D5/2\begin{document}$\rangle $\end{document} ![]()
![]()
experiments verify that the structure can achieve a 25 dB electric field enhancement at 2.1 GHz. This research is expected to be helpful in improving the sensitivity of measurement based on atomic measurement capabilities and in promoting the practical development of quantum microwave measurement technology.
Rydberg atoms based quantum microwave measurement technology has significant advantages such as self-calibration, traceability, high sensitivity and stable uniformity of measurement. In this work, from the dimension of traditional electromagnetic theory, an electric field local enhancement technique for quantum microwave measurements is developed to improve the sensitivity of quantum microwave receiver. The theoretical basis of this method comes from the different mechanisms of realization of microwave reception in quantum microwave receivers and classical receiver. Classic receivers use antennas to collect microwave energy in space to signal reception; quantum microwave receivers measure the strength of the electric field in the path of a laser beam in an atomic gas chamber (the beam is about 100 µm in diameter) to realize the signal reception. Therefore, the sensitivity of quantum microwave receiver can be improved by increasing the electric field strength in the path of laser beam. The critical physical mechanism is the multi-beam interference at the open end and the short-circuited end of the structure. The results show that with the decrease of gap height of parallel plates, the enhancement factor of electric field strength increases rapidly and the power density compression capability is greatly improved. The |69D5/2
2023, 72(3): 034205.
doi: 10.7498/aps.72.20221754
Abstract:
Laser frequency scanning interference technology has become a research hotspot due to its high precision and strong anti-interference capability and other advantages. The nonlinear problem of laser frequency modulation has always been a key factor affecting the accuracy of the measurement system. The most direct result of the nonlinearity of frequency modulation is that the spectrum of the beat signal is severely broadened, resulting in a decrease in the ranging accuracy. In order to solve this problem, this paper proposes a nonlinear correction method based on the Lomb-Scargle algorithm, and builds a laser frequency sweep interferometry system with an auxiliary interferometer. The phase is extracted by performing Hilbert transform on the auxiliary path beat signal, thereby generating a new time series based on the extracted phase information. The generated time series carries the phase change information of the auxiliary path beat signal, and it is combined with the Lomb-Scargle algorithm to perform the nonlinear correction of the measurement system and the frequency calculation of the beat signal simultaneously. As a verification, the targets in the range of 0.5–1.3 m are measured with a maximum error of 14 μm. The traditional frequency sampling method is limited by the Nyquist sampling theorem, and the laser emission and reception need to travel a round-trip distance, which means that the frequency sampling method must meet the requirement that the distance of the measured target cannot exceed a quarter of the optical path difference of the auxiliary interferometer. Therefore, the range of distance measurement is limited when the optical path difference of the auxiliary interferometer is constant. Different from the correction principle of the traditional frequency sampling method, the correction method proposed in this paper does not use the beat signal of the auxiliary path to resample the measurement path, so there is no need to satisfy the condition that the optical path difference of the auxiliary interferometer is greater than four times the measuring distance. Therefore, in the case of a certain optical path difference of the auxiliary interferometer, it can provide a way to increase the ranging range of the system.
Laser frequency scanning interference technology has become a research hotspot due to its high precision and strong anti-interference capability and other advantages. The nonlinear problem of laser frequency modulation has always been a key factor affecting the accuracy of the measurement system. The most direct result of the nonlinearity of frequency modulation is that the spectrum of the beat signal is severely broadened, resulting in a decrease in the ranging accuracy. In order to solve this problem, this paper proposes a nonlinear correction method based on the Lomb-Scargle algorithm, and builds a laser frequency sweep interferometry system with an auxiliary interferometer. The phase is extracted by performing Hilbert transform on the auxiliary path beat signal, thereby generating a new time series based on the extracted phase information. The generated time series carries the phase change information of the auxiliary path beat signal, and it is combined with the Lomb-Scargle algorithm to perform the nonlinear correction of the measurement system and the frequency calculation of the beat signal simultaneously. As a verification, the targets in the range of 0.5–1.3 m are measured with a maximum error of 14 μm. The traditional frequency sampling method is limited by the Nyquist sampling theorem, and the laser emission and reception need to travel a round-trip distance, which means that the frequency sampling method must meet the requirement that the distance of the measured target cannot exceed a quarter of the optical path difference of the auxiliary interferometer. Therefore, the range of distance measurement is limited when the optical path difference of the auxiliary interferometer is constant. Different from the correction principle of the traditional frequency sampling method, the correction method proposed in this paper does not use the beat signal of the auxiliary path to resample the measurement path, so there is no need to satisfy the condition that the optical path difference of the auxiliary interferometer is greater than four times the measuring distance. Therefore, in the case of a certain optical path difference of the auxiliary interferometer, it can provide a way to increase the ranging range of the system.
2023, 72(3): 034207.
doi: 10.7498/aps.72.20221737
Abstract:
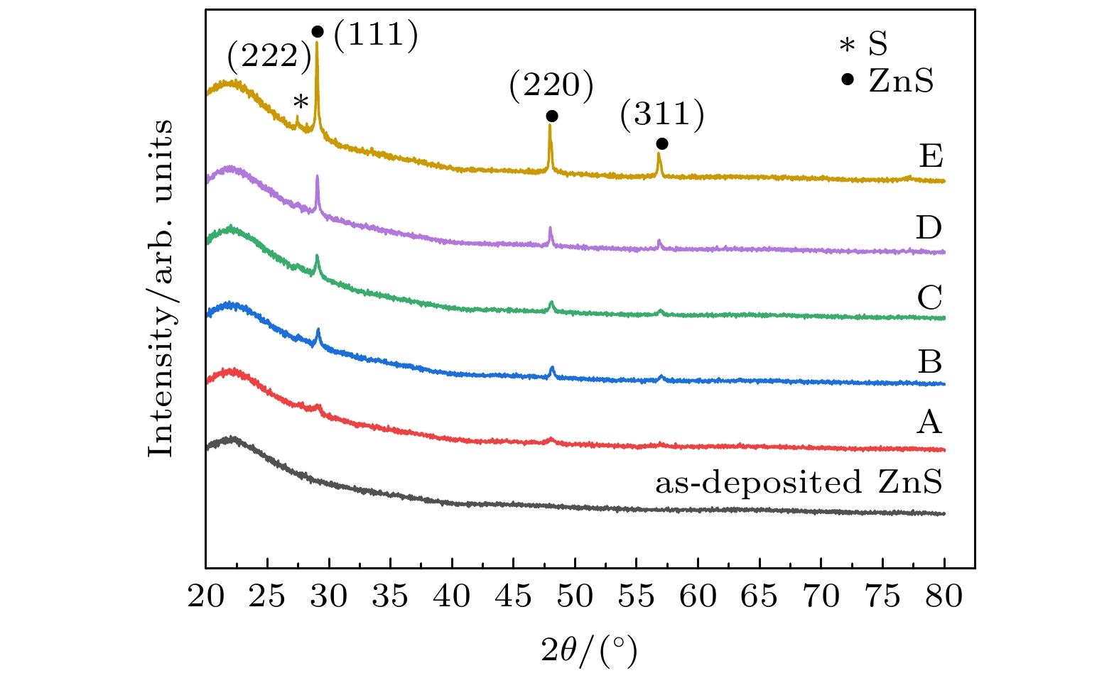
ZnS, a kind of wide-band gap semiconductor, has attracted extensive attention in recent years due to its excellent photoelectric performance, which has broad application prospects in solar cells, photocatalysts and sensors. In this work, ZnS thin films are first deposited by radio-frequency (RF) magnetron sputtering, and then annealed at 600 ℃ and different sulfur pressures. The crystal structure, surface morphology, grain size, composition, transmittance and defects of ZnS thin films are analyzed by X-ray diffraction, scanning electron microscopy, energy dispersive spectroscopy, UV-vis transmission spectra, and positron annihilation Doppler broadening spectroscopy. The results show that the crystallinities of ZnS films can be improved by being annealed in sulfur atmosphere, and the optical band gaps of ZnS films after being annealed are in a range of 3.43–3.58 eV. When the sulfur pressure is higher than 0.49 atm, the sulfur interstitial atoms in the ZnS and the elemental sulfur on the surface reduce the transmittance of the film in the visible region. The Doppler broadening spectroscopy results also show that the defect concentrations of ZnS films decrease gradually from their surface layers to the inner layers, and the defects of ZnS films decrease with the increase of sulfur pressure. Meanwhile, the 3γ annihilation also proves that the interior of the film is relatively dense, and the open porosity of the film will increase due to vulcanization. Adsorbed sulfur occupies the position of sulfur vacancy defect in the crystal through internal diffusion, which leads the defect concentration to decrease and the film quality to be improved.
ZnS, a kind of wide-band gap semiconductor, has attracted extensive attention in recent years due to its excellent photoelectric performance, which has broad application prospects in solar cells, photocatalysts and sensors. In this work, ZnS thin films are first deposited by radio-frequency (RF) magnetron sputtering, and then annealed at 600 ℃ and different sulfur pressures. The crystal structure, surface morphology, grain size, composition, transmittance and defects of ZnS thin films are analyzed by X-ray diffraction, scanning electron microscopy, energy dispersive spectroscopy, UV-vis transmission spectra, and positron annihilation Doppler broadening spectroscopy. The results show that the crystallinities of ZnS films can be improved by being annealed in sulfur atmosphere, and the optical band gaps of ZnS films after being annealed are in a range of 3.43–3.58 eV. When the sulfur pressure is higher than 0.49 atm, the sulfur interstitial atoms in the ZnS and the elemental sulfur on the surface reduce the transmittance of the film in the visible region. The Doppler broadening spectroscopy results also show that the defect concentrations of ZnS films decrease gradually from their surface layers to the inner layers, and the defects of ZnS films decrease with the increase of sulfur pressure. Meanwhile, the 3γ annihilation also proves that the interior of the film is relatively dense, and the open porosity of the film will increase due to vulcanization. Adsorbed sulfur occupies the position of sulfur vacancy defect in the crystal through internal diffusion, which leads the defect concentration to decrease and the film quality to be improved.
2023, 72(3): 034301.
doi: 10.7498/aps.72.20222074
Abstract:
Ultrasonic detection is an effective method to quantify bubbles in opaque liquid, and acoustic scattering model is the key in ultrasonic inversion technique. Classical scattering models are usually based on the spherical assumption, and ka is much less than 1. However, these conditions are not always satisfied in practical applications. In this study, a quantitative strategy of ultrasonic inversion is proposed for non-spherical bubbles and ka deviation assumption. A series of solution models for a spherical gas bubble is established without considering the ka constraint, and it is compared with the classical Medwin (\begin{document}$ka\ll1 $\end{document} ![]()
![]()
) and Anderson (ka ≈ 1) models. The difference in scattering cross section σbs betweem them is only at the higher order formants of scattering, so the fitted line can be used to solve the multi-valued problem between σbs and ka. For a non-spherical bubble, σbs is determined by the frequency domain backscattering signal, the size is characterized by the equivalent radius a*, and the inversion is performed by fitted curve from series solution model. Ultrasonic quantitative results are examined by high-speed photography. Results show that during the bubbles rising along a zigzag path, they develop non-spherical bubbles, their scattering cross sections are measured by the frequency domain scattering signal obtained at a position of ultrasonic measurement, and the equivalent radius is inverted by the series solution fitting curve. The deviation of the result from the actual result r0 is about 1mm (relative error less than 45%) when 9≤kr0≤35. This method can be used for implementing the acoustic inversion of non-spherical bubbles in a certain range of measurement accuracy.
Ultrasonic detection is an effective method to quantify bubbles in opaque liquid, and acoustic scattering model is the key in ultrasonic inversion technique. Classical scattering models are usually based on the spherical assumption, and ka is much less than 1. However, these conditions are not always satisfied in practical applications. In this study, a quantitative strategy of ultrasonic inversion is proposed for non-spherical bubbles and ka deviation assumption. A series of solution models for a spherical gas bubble is established without considering the ka constraint, and it is compared with the classical Medwin (
2023, 72(3): 034701.
doi: 10.7498/aps.72.20221922
Abstract:
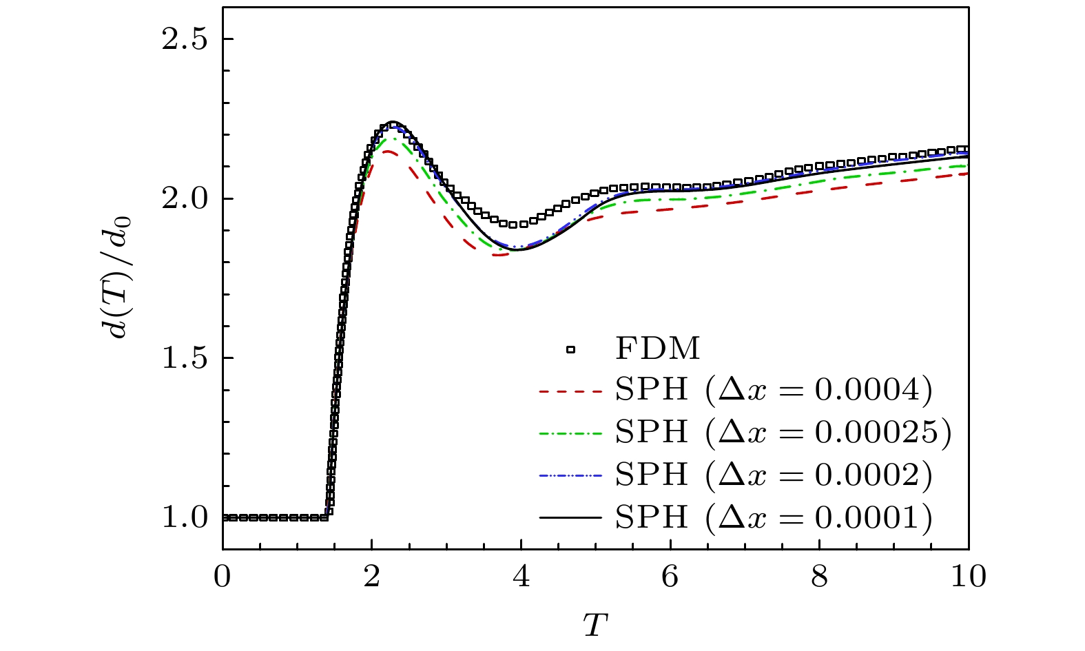
Viscoelastic fluids widely exist in nature and industrial production, and the study of their complex rheological properties has important academic value and application significance. In this work, an improved smoothed particle hydrodynamics (SPH) method is proposed to numerically simulate the viscoelastic flow based on the eXtended Pom-Pom (XPP) model. In order to improve the accuracy of the calculation, a kernel gradient correction discrete format without kernel derivative calculation is adopted. In order to prevent fluid particles from penetrating the solid wall, an enhanced boundary processing technology is proposed. To eliminate the tensile instability, an artificial stress is coupled into the momentum equation of conservation. Based on the XPP model, the viscoelastic Poiseuille flow and the viscoelastic droplet impacting solid wall problem are simulated by using the improved SPH method. The effectiveness and advantages of the improved SPH method are verified by comparing the SPH solutions with the solutions from the analytical method or finite difference method. The convergence of the improved SPH method is further evaluated by using several different particle sizes. On this basis, the influences of rheological parameters such as Reyonlds number Re, Weissenberg number Wi, solvent viscosity ratio β, anisotropy parameter α, relaxation time ratio γ and molecular chain arm number Q on the flow process are analyzed in depth. For the viscoelastic Poiseuille flow, the bigger the value of Re, Wi, and α, the larger the steady-state velocity is; the larger the value of γ and Q, the smaller the steady-state velocity is; the larger the value of β, the weaker the velocity overshoot is, but it does not affect the steady-state velocity. For the viscoelastic droplet problem, the larger the value of Re and Wi, the faster the droplet spreads; the larger the value of β, the weaker the droplet shrinkage behavior is, but it does not affect the final spreading width of droplet; the larger the value of α, the larger the droplet’s spreading width is; the larger the value of γ is, the stronger the droplet shrinkage behavior is; the larger the value of Q, the weaker its influence on the droplet’s spread width is. The improved SPH method in this paper can effectively describe the complex rheological properties and the free surface variation characteristics of viscoelastic fluid based on XPP model.
Viscoelastic fluids widely exist in nature and industrial production, and the study of their complex rheological properties has important academic value and application significance. In this work, an improved smoothed particle hydrodynamics (SPH) method is proposed to numerically simulate the viscoelastic flow based on the eXtended Pom-Pom (XPP) model. In order to improve the accuracy of the calculation, a kernel gradient correction discrete format without kernel derivative calculation is adopted. In order to prevent fluid particles from penetrating the solid wall, an enhanced boundary processing technology is proposed. To eliminate the tensile instability, an artificial stress is coupled into the momentum equation of conservation. Based on the XPP model, the viscoelastic Poiseuille flow and the viscoelastic droplet impacting solid wall problem are simulated by using the improved SPH method. The effectiveness and advantages of the improved SPH method are verified by comparing the SPH solutions with the solutions from the analytical method or finite difference method. The convergence of the improved SPH method is further evaluated by using several different particle sizes. On this basis, the influences of rheological parameters such as Reyonlds number Re, Weissenberg number Wi, solvent viscosity ratio β, anisotropy parameter α, relaxation time ratio γ and molecular chain arm number Q on the flow process are analyzed in depth. For the viscoelastic Poiseuille flow, the bigger the value of Re, Wi, and α, the larger the steady-state velocity is; the larger the value of γ and Q, the smaller the steady-state velocity is; the larger the value of β, the weaker the velocity overshoot is, but it does not affect the steady-state velocity. For the viscoelastic droplet problem, the larger the value of Re and Wi, the faster the droplet spreads; the larger the value of β, the weaker the droplet shrinkage behavior is, but it does not affect the final spreading width of droplet; the larger the value of α, the larger the droplet’s spreading width is; the larger the value of γ is, the stronger the droplet shrinkage behavior is; the larger the value of Q, the weaker its influence on the droplet’s spread width is. The improved SPH method in this paper can effectively describe the complex rheological properties and the free surface variation characteristics of viscoelastic fluid based on XPP model.
2023, 72(3): 034702.
doi: 10.7498/aps.72.20221991
Abstract:
In the evolution of confluence sink vortex with a free surface, there exists some physical processes , such as multiphase coupling, mass transfer, and intensive energy exchange. Here, the transport mechanism of multiphase coupling is a complex dynamic problem with highly nonlinear characteristics. The mechanical modeling and numerical solution of multiphase viscous coupled transport are facing a significant challenge. To address the above problem, a method of modeling and solving multiphase coupling transport of the free sink vortex is proposed. Based on the coupled level set and volume-of-fluid (CLSVOF) method, a multiphase coupling transport model of the free sink vortex is set up with a continuous surface tension model and a realizable (k-ε) turbulence model. By using an effective volumetric correction scheme, the high-speed rotating flow is calculated, and the mass conservation of flow field and the velocity field without divergence are ensured. Then, an interphase coupling solution approach accurately traces the multiphase fluid distribution and multiphase interface. The multiphase coupling interface and cross-scale vortex cluster transport laws are obtained according to the multi-characteristic physical variables. The interaction mechanism between the multiphase coupling transport process and the pressure pulsation characteristics is revealed. The results show that the multiphase coupling transport is the critical state of the fluid medium transition. The vortex microclusters are subjected to different spatiotemporal disturbance modes and form the layered threaded waveforms at the interface. With the increase of the nozzle sizes, the multiphase coupling process is strengthened, and the coupling energy shock causes nonlinear pressure pulsation. This study can offer valuable references to the researches of the vortex transport mechanism, cross-scale solution of vortex cluster, and flow pattern tracking.
In the evolution of confluence sink vortex with a free surface, there exists some physical processes , such as multiphase coupling, mass transfer, and intensive energy exchange. Here, the transport mechanism of multiphase coupling is a complex dynamic problem with highly nonlinear characteristics. The mechanical modeling and numerical solution of multiphase viscous coupled transport are facing a significant challenge. To address the above problem, a method of modeling and solving multiphase coupling transport of the free sink vortex is proposed. Based on the coupled level set and volume-of-fluid (CLSVOF) method, a multiphase coupling transport model of the free sink vortex is set up with a continuous surface tension model and a realizable (k-ε) turbulence model. By using an effective volumetric correction scheme, the high-speed rotating flow is calculated, and the mass conservation of flow field and the velocity field without divergence are ensured. Then, an interphase coupling solution approach accurately traces the multiphase fluid distribution and multiphase interface. The multiphase coupling interface and cross-scale vortex cluster transport laws are obtained according to the multi-characteristic physical variables. The interaction mechanism between the multiphase coupling transport process and the pressure pulsation characteristics is revealed. The results show that the multiphase coupling transport is the critical state of the fluid medium transition. The vortex microclusters are subjected to different spatiotemporal disturbance modes and form the layered threaded waveforms at the interface. With the increase of the nozzle sizes, the multiphase coupling process is strengthened, and the coupling energy shock causes nonlinear pressure pulsation. This study can offer valuable references to the researches of the vortex transport mechanism, cross-scale solution of vortex cluster, and flow pattern tracking.
Propagating characteristics of nonlinear dust acoustic solitary waves in multicomponent dusty plasma
2023, 72(3): 035201.
doi: 10.7498/aps.72.20221843
Abstract:
Nowadays, the dusty plasma has become an interesting new branch of the plasma physics. As is well known, the dusty plasmas play a significant role in the space, astrophysical and laboratory environments. In these days, the studying of the nonlinear waves in dusty plasma has attracted researchers’ attention, in order to explain many basic phenomena in the plasma physics. The nonlinear waves play an important role in studying dusty plasma environments, such as the aster-oid zones, the earth’s mesosphere, and the planetary rings. In this work, the propagating characteristics of nonlinear dust acoustic solitary waves in a multicomponent dusty plasma which is composed of positively charged dust particles, streaming protons and electrons, Kappa distributed electrons and ions are studied in detail. The Sagdeev potential method is employed to investigate the large amplitude dust acoustic waves. It has an evidence for the existence of compressive and rarefractive solitary waves. With the help of the Sagdeev potential method, the Sagdeev potential function and the bifurcation analysis of phase-portrait are obtained. Firstly, the Sagdeev potential function is obtained by the Sagdeev potential method. Then, the variations of phase diagram with different parameters in a two-dimensional autonomous system in the multicomponent dusty plasma system are investigated. It is found that the system has the linear wave solutions, nonlinear wave solutions, and solitary wave solutions at the same time. Meanwhile, the existence of different wave behaviors is closely related to various system factors. Moreover, it is found that only the rarefractive solitary waves exist in the multicomponent dusty plasma system by using the numerical simulation technique. Finally, the important influence of system parameter on the phase diagram, the Sagdeev potential function and the propagating characteristics of nonlinear dust acoustic solitary waves are discussed clearly. The results show that the different system parameters such as Mach number M, the masses, the temperatures, the number densities, the charge numbers of multiple particles and the Kappa distribution parameters for ions and electrons have important effects on the amplitudes, the widths and the waveforms of nonlinear dust acoustic solitary waves.
Nowadays, the dusty plasma has become an interesting new branch of the plasma physics. As is well known, the dusty plasmas play a significant role in the space, astrophysical and laboratory environments. In these days, the studying of the nonlinear waves in dusty plasma has attracted researchers’ attention, in order to explain many basic phenomena in the plasma physics. The nonlinear waves play an important role in studying dusty plasma environments, such as the aster-oid zones, the earth’s mesosphere, and the planetary rings. In this work, the propagating characteristics of nonlinear dust acoustic solitary waves in a multicomponent dusty plasma which is composed of positively charged dust particles, streaming protons and electrons, Kappa distributed electrons and ions are studied in detail. The Sagdeev potential method is employed to investigate the large amplitude dust acoustic waves. It has an evidence for the existence of compressive and rarefractive solitary waves. With the help of the Sagdeev potential method, the Sagdeev potential function and the bifurcation analysis of phase-portrait are obtained. Firstly, the Sagdeev potential function is obtained by the Sagdeev potential method. Then, the variations of phase diagram with different parameters in a two-dimensional autonomous system in the multicomponent dusty plasma system are investigated. It is found that the system has the linear wave solutions, nonlinear wave solutions, and solitary wave solutions at the same time. Meanwhile, the existence of different wave behaviors is closely related to various system factors. Moreover, it is found that only the rarefractive solitary waves exist in the multicomponent dusty plasma system by using the numerical simulation technique. Finally, the important influence of system parameter on the phase diagram, the Sagdeev potential function and the propagating characteristics of nonlinear dust acoustic solitary waves are discussed clearly. The results show that the different system parameters such as Mach number M, the masses, the temperatures, the number densities, the charge numbers of multiple particles and the Kappa distribution parameters for ions and electrons have important effects on the amplitudes, the widths and the waveforms of nonlinear dust acoustic solitary waves.
2023, 72(3): 035202.
doi: 10.7498/aps.72.20221868
Abstract:
After forty-year tremendous advances, laser wakefield acceleration (LWFA), in which an ultra-intense femtosecond laser interacts with a gas target to produce energetic electrons, is becoming more and more mature. Acceleration with a high repetition rate will be an important topic in the near future. When operating at a high repetition rate, the influence of the gas load on the vacuum system cannot be neglected. Among the widely used gas targets, gas cells have a lower flow rate than supersonic gas nozzles. However, most of gas cells are several centimeters long, unsuitable for a moderate-size laser facility. In this work, we design a kind of micro gas cell with a sub-centimeter length. The flow rate of the micro gas cell and the supersonic nozzle are compared by hydromechanics simulations. Comparing with the supersonic nozzle, the flow rate of the micro gas cell is reduced by 97%. Moreover, the gas cell sustains a longer flattop region. The reduced flow rate is attributed to two reasons. The first reason is that the area of the nozzle exit decreases significantly. In the case of the supersonic nozzle, the laser interacts with the gas jet outside the nozzle exit. Therefore, the exit size is determined by the interaction length. In the case of the micro gas cell, the laser interacts with the gas inside the gas cell. The exit only needs to be larger than the laser focal, which is much smaller than the interaction length. The second reason is that the velocity of the gas jet decreases. When using a supersonic nozzle, the velocity at the nozzle exit must be high enough to generate a flattop density distribution, which is required by LWFA. As a comparison, in the micro gas cell, the gas is confined by the cell wall. As a consequence, the gas velocity has little influence on the density distribution inside the cell. By changing the inner radius of the cell, 1–4 mm-long flattop regions can be generated while keeping a low flow rate. Experiments using the micro gas cell are conducted on a 45 TW femtosecond laser facility at the Laser Fusion Research Center. The stable electron beams with maximum energy of 250 MeV are generated. This study will contribute to the investigation of stable and high-frequency laser wakefield acceleration.
After forty-year tremendous advances, laser wakefield acceleration (LWFA), in which an ultra-intense femtosecond laser interacts with a gas target to produce energetic electrons, is becoming more and more mature. Acceleration with a high repetition rate will be an important topic in the near future. When operating at a high repetition rate, the influence of the gas load on the vacuum system cannot be neglected. Among the widely used gas targets, gas cells have a lower flow rate than supersonic gas nozzles. However, most of gas cells are several centimeters long, unsuitable for a moderate-size laser facility. In this work, we design a kind of micro gas cell with a sub-centimeter length. The flow rate of the micro gas cell and the supersonic nozzle are compared by hydromechanics simulations. Comparing with the supersonic nozzle, the flow rate of the micro gas cell is reduced by 97%. Moreover, the gas cell sustains a longer flattop region. The reduced flow rate is attributed to two reasons. The first reason is that the area of the nozzle exit decreases significantly. In the case of the supersonic nozzle, the laser interacts with the gas jet outside the nozzle exit. Therefore, the exit size is determined by the interaction length. In the case of the micro gas cell, the laser interacts with the gas inside the gas cell. The exit only needs to be larger than the laser focal, which is much smaller than the interaction length. The second reason is that the velocity of the gas jet decreases. When using a supersonic nozzle, the velocity at the nozzle exit must be high enough to generate a flattop density distribution, which is required by LWFA. As a comparison, in the micro gas cell, the gas is confined by the cell wall. As a consequence, the gas velocity has little influence on the density distribution inside the cell. By changing the inner radius of the cell, 1–4 mm-long flattop regions can be generated while keeping a low flow rate. Experiments using the micro gas cell are conducted on a 45 TW femtosecond laser facility at the Laser Fusion Research Center. The stable electron beams with maximum energy of 250 MeV are generated. This study will contribute to the investigation of stable and high-frequency laser wakefield acceleration.
2023, 72(3): 035203.
doi: 10.7498/aps.72.20222043
Abstract:
In order to explore the conductive wall effect of plasma magnetohydrodynamic (MHD) instability and the wall designing idea, the various forms of ideal conductive walls based on divertor equilibrium configurations in the HL-2A Tokamak and their role in suppressing kink modes are studied. The MHD instabilities and the ideal MHD operational β limits under free boundary or ideal wall conditions are compared. In the stability calculation, n = 1 kink mode is considered, which has a decisive influence on the MHD instability of Tokamak plasma. The research focuses on verifying the effectiveness of various shapes of conductive walls in suppressing internal and external kink modes, and observing the operational β limit changes, and discussing and analyzing related physics. It is found that an ideal conducting wall placed at a suitable distance from the plasma can effectively suppress the external kink modes. Under the condition that the average distance between the wall and the plasma surface is the same and small enough, the circular cross-section wall is not necessarily the best option. Setting an optimized polygonal conductive wall can more effectively suppress the MHD instability. It makes the ideal MHD operational β limit of the device, βN, increase to 2.73, which is about 6.5% higher than that for the device with a wall assumed to be set at infinity (\begin{document}$ \sim $\end{document} ![]()
![]()
2.56). This implies that it is necessary to optimize and make a polygonal conductive wall as close as possible to the average distance from the plasma surface according to the poloidal-section shape of the elongated and shaped plasma, so as to achieve the suppression of external kink mode and increase the operational β limits. The physical mechanism of the stabilizing effect of the ideal wall on external kink modes is analyzed. With the development of the kink mode, when the plasma column is twisted closely to the wall, the plasma column will squeeze the magnetic field in the vacuum area, making the magnetic field line compressed and bent. At this time, the magnetic pressure and the component force of the magnetic tension in the opposite direction of the radial direction push the plasma back, thus stabilizing the kink mode. Finally, a conclusion is given.
In order to explore the conductive wall effect of plasma magnetohydrodynamic (MHD) instability and the wall designing idea, the various forms of ideal conductive walls based on divertor equilibrium configurations in the HL-2A Tokamak and their role in suppressing kink modes are studied. The MHD instabilities and the ideal MHD operational β limits under free boundary or ideal wall conditions are compared. In the stability calculation, n = 1 kink mode is considered, which has a decisive influence on the MHD instability of Tokamak plasma. The research focuses on verifying the effectiveness of various shapes of conductive walls in suppressing internal and external kink modes, and observing the operational β limit changes, and discussing and analyzing related physics. It is found that an ideal conducting wall placed at a suitable distance from the plasma can effectively suppress the external kink modes. Under the condition that the average distance between the wall and the plasma surface is the same and small enough, the circular cross-section wall is not necessarily the best option. Setting an optimized polygonal conductive wall can more effectively suppress the MHD instability. It makes the ideal MHD operational β limit of the device, βN, increase to 2.73, which is about 6.5% higher than that for the device with a wall assumed to be set at infinity (
2023, 72(3): 035204.
doi: 10.7498/aps.72.20221901
Abstract:
The 15-MA driver is powered by 24 linear-transformer-driver (LTD) modules connected electrically in parallel. The magnetically-insulated-transmission-line (MITL) system of the 15-MA driver adopts a four-level design. It is expected that the primary source delivers a more than 15 MA current to a physics load. The typical one-dimensional steady-state pressure-balance model is adopted to calculate the electron flow current of the outer MITLs of the 15-MA driver after the magnetic insulation has been established. The cathode plasma expansion and the collisional flow electrons are considered on the basis of that model. Multiple designs with different characteristic parameters of the MITL system include the vacuum impedance of the constant-impedance segment of the outer-MITL, the minimum gap of the outer-MITL, and the location of the post-hole convolute (PHC). The flow currents of these designs are calculated in three typical times (1/3 peak load current time, peak load current time, and 5 ns before the Z-pinch stagnation) by establishing the equivalent circuit model of the 15-MA driver. The influences of these characteristic parameters on the electrical pulse transmission and convergence of the 15 MA driver are obtained. The calculation results show that the electron flow current at the end of MITL is greatly affected by the impedance of the end of MITL after the electron flow current has entered into the steady state magnetic insulation. The flow current decreases from 184.7 kA to 106.9 kA, while the load current is reduced by 0.5 MA, as the vacuum impedance increases from 0.42 Ω to 0.84 Ω. This is mainly because the central inductance increases by about 1.43 nH (from 9.94 nH to 11.37 nH). In the time of 5 ns before load stagnation, the flow current decreases from 181.9 kA to 85.1 kA as the minimum gap of the outer-MITL increases from 7.10 mm to 14.00 mm, and the peak load current drops only by about 0.1 MA. The flow current and load current decrease slowly as the location radius of the PHC decreases until the radius decreases to 7.65 mm. The research in this paper is helpful in guiding the structure optimization for the central converging region of future Z-pinch driver.
The 15-MA driver is powered by 24 linear-transformer-driver (LTD) modules connected electrically in parallel. The magnetically-insulated-transmission-line (MITL) system of the 15-MA driver adopts a four-level design. It is expected that the primary source delivers a more than 15 MA current to a physics load. The typical one-dimensional steady-state pressure-balance model is adopted to calculate the electron flow current of the outer MITLs of the 15-MA driver after the magnetic insulation has been established. The cathode plasma expansion and the collisional flow electrons are considered on the basis of that model. Multiple designs with different characteristic parameters of the MITL system include the vacuum impedance of the constant-impedance segment of the outer-MITL, the minimum gap of the outer-MITL, and the location of the post-hole convolute (PHC). The flow currents of these designs are calculated in three typical times (1/3 peak load current time, peak load current time, and 5 ns before the Z-pinch stagnation) by establishing the equivalent circuit model of the 15-MA driver. The influences of these characteristic parameters on the electrical pulse transmission and convergence of the 15 MA driver are obtained. The calculation results show that the electron flow current at the end of MITL is greatly affected by the impedance of the end of MITL after the electron flow current has entered into the steady state magnetic insulation. The flow current decreases from 184.7 kA to 106.9 kA, while the load current is reduced by 0.5 MA, as the vacuum impedance increases from 0.42 Ω to 0.84 Ω. This is mainly because the central inductance increases by about 1.43 nH (from 9.94 nH to 11.37 nH). In the time of 5 ns before load stagnation, the flow current decreases from 181.9 kA to 85.1 kA as the minimum gap of the outer-MITL increases from 7.10 mm to 14.00 mm, and the peak load current drops only by about 0.1 MA. The flow current and load current decrease slowly as the location radius of the PHC decreases until the radius decreases to 7.65 mm. The research in this paper is helpful in guiding the structure optimization for the central converging region of future Z-pinch driver.
2023, 72(3): 036101.
doi: 10.7498/aps.72.20221742
Abstract:
In order to study the effects of the feature size reduction and well contact placement on the characterization of topology patterns and the charge collection mechanism of device heavy ion single event multiple upset on a nanometer scale, the heavy ion single event effect experiment on the domestic 28 nm static random-access memory (SRAM) is carried out on the experimental platform of HI-13 heavy ion accelerator in Beijing. Based on the mapping relationship between the logical address and physical address of the device, the experimental data are processed, and the 28 nm SRAM heavy ion single event upset cross section curves, multiple upset percentage, and multiple upset topology patterns are obtained. The results are compared with those of heavy ion single event effect experiments in 65 nm SRAM, showing that under the influences of factors such as feature size reduction and lower operating voltage, the heavy ion single event upset threshold and the bit upset saturation cross section of 28 nm SRAM decrease significantly. In the direction perpendicular to the well, owing to the reduced 28 nm SRAM feature size, even if the single nucleon energy of the incident high LET (linear energy transfer) heavy ion is low, its deposited charge is sufficient to affect the three SRAM cells across the well direction due to the combined effect of ion track coverage, well potential modulation caused by the parasitic bipolar amplification effect and carrier diffusion, resulting in the fact that the 28 nm SRAM topology pattern has a shape of n rows × 3 columns, which poses new challenges and requirements for the anti-radiation hardened technology with scrubbing and EDAC (error detection and correction). Owing to the global well contact deployment, the charge deposited by the incident ions in the well far away from the well contact is difficult to discharge quickly, and the parasitic bipolar amplification effect lasts longer. The charge sharing competition between two p-channel metal oxide semiconductor in SRAM cell causes the single event upset recovery, which is the fundamental reason why the discontinuity of multiple upset topology pattern appears in 28 nm SRAM. This study provides a new anti-radiation hardened idea for suppressing the single event upset by using the parasitic bipolar amplification in the future.
In order to study the effects of the feature size reduction and well contact placement on the characterization of topology patterns and the charge collection mechanism of device heavy ion single event multiple upset on a nanometer scale, the heavy ion single event effect experiment on the domestic 28 nm static random-access memory (SRAM) is carried out on the experimental platform of HI-13 heavy ion accelerator in Beijing. Based on the mapping relationship between the logical address and physical address of the device, the experimental data are processed, and the 28 nm SRAM heavy ion single event upset cross section curves, multiple upset percentage, and multiple upset topology patterns are obtained. The results are compared with those of heavy ion single event effect experiments in 65 nm SRAM, showing that under the influences of factors such as feature size reduction and lower operating voltage, the heavy ion single event upset threshold and the bit upset saturation cross section of 28 nm SRAM decrease significantly. In the direction perpendicular to the well, owing to the reduced 28 nm SRAM feature size, even if the single nucleon energy of the incident high LET (linear energy transfer) heavy ion is low, its deposited charge is sufficient to affect the three SRAM cells across the well direction due to the combined effect of ion track coverage, well potential modulation caused by the parasitic bipolar amplification effect and carrier diffusion, resulting in the fact that the 28 nm SRAM topology pattern has a shape of n rows × 3 columns, which poses new challenges and requirements for the anti-radiation hardened technology with scrubbing and EDAC (error detection and correction). Owing to the global well contact deployment, the charge deposited by the incident ions in the well far away from the well contact is difficult to discharge quickly, and the parasitic bipolar amplification effect lasts longer. The charge sharing competition between two p-channel metal oxide semiconductor in SRAM cell causes the single event upset recovery, which is the fundamental reason why the discontinuity of multiple upset topology pattern appears in 28 nm SRAM. This study provides a new anti-radiation hardened idea for suppressing the single event upset by using the parasitic bipolar amplification in the future.
2023, 72(3): 036102.
doi: 10.7498/aps.72.20221768
Abstract:
The heterojunction device based on two-dimensional materials possesses unique photoelectric properties due to its nanoscale thickness and van der Waals (vdWs) contact surface. In this paper, a gate-voltage-tunable MoS2/MoTe2 vertical vdWs heterojunction device is constructed. The Kelvin probe force microscopy (KPFM) technology is combined with the electric transport measurement technology, thereby revealing the charge transport behavior of the MoS2/MoTe2 heterojunction under dark condition and laser-irradition condition, including the bipolarity characteristics of the transition from n-n+ junction to p-n junction. In this paper, the charge transport mechanism of heterojunction is explained comprehensively and systematically, including the charge transmission process of n-n+ junction and p-n junction under positive and negative bias conditions, the transformation of nodule behavior with gate voltage, the influence of barriers on charge transmission, the different rectification characteristics between n-n+ junction and p-n junction, the major role of source and leakage bias voltage in band tunneling, and the influence of photogenerated carriers on electrical transmission. The method in this work can be generalized to other two-dimensional heterojunction systems and also provide an important reference for improving the performance of two-dimensional semiconductor devices and their applications in the future.
The heterojunction device based on two-dimensional materials possesses unique photoelectric properties due to its nanoscale thickness and van der Waals (vdWs) contact surface. In this paper, a gate-voltage-tunable MoS2/MoTe2 vertical vdWs heterojunction device is constructed. The Kelvin probe force microscopy (KPFM) technology is combined with the electric transport measurement technology, thereby revealing the charge transport behavior of the MoS2/MoTe2 heterojunction under dark condition and laser-irradition condition, including the bipolarity characteristics of the transition from n-n+ junction to p-n junction. In this paper, the charge transport mechanism of heterojunction is explained comprehensively and systematically, including the charge transmission process of n-n+ junction and p-n junction under positive and negative bias conditions, the transformation of nodule behavior with gate voltage, the influence of barriers on charge transmission, the different rectification characteristics between n-n+ junction and p-n junction, the major role of source and leakage bias voltage in band tunneling, and the influence of photogenerated carriers on electrical transmission. The method in this work can be generalized to other two-dimensional heterojunction systems and also provide an important reference for improving the performance of two-dimensional semiconductor devices and their applications in the future.
2023, 72(3): 036201.
doi: 10.7498/aps.72.20221656
Abstract:
The high-pressure α-PbO2 phase of TiO2 has suitable band gap and photocatalytic capability in the visible light range, which is an environmentally friendly and efficient photocatalytic material. In this work, α-PbO2 phase of TiO2 is obtained by the pressure-relief treatment of anatase nanospheres through using diamond anvil cell, and transmission electron microscope (TEM) observation shows the obvious deformation of TiO2 nanospheres. High-esolution TEM shows that there are a large number of stacking faults along the [100] direction and deformation twins in the grain. Specifically, the deformation twin band with lens lamellar structure is formed in the submicron grain. The fan-shaped multiple deformation twins are formed in the nanocrystalline grains. This study shows that anatase TiO2 can be deformed under high pressure, and its micro mechanism of deformation is similar to metal’s, mainly including deformation twins and stacking fault slip. There is obvious size effect in the formation of deformation twins. These results provide a new breakthrough point for the study of the size effect of high-pressure phase transformation of TiO2, and also point out an experimental direction for preparing the twin high-pressure α-PbO2 phase.
The high-pressure α-PbO2 phase of TiO2 has suitable band gap and photocatalytic capability in the visible light range, which is an environmentally friendly and efficient photocatalytic material. In this work, α-PbO2 phase of TiO2 is obtained by the pressure-relief treatment of anatase nanospheres through using diamond anvil cell, and transmission electron microscope (TEM) observation shows the obvious deformation of TiO2 nanospheres. High-esolution TEM shows that there are a large number of stacking faults along the [100] direction and deformation twins in the grain. Specifically, the deformation twin band with lens lamellar structure is formed in the submicron grain. The fan-shaped multiple deformation twins are formed in the nanocrystalline grains. This study shows that anatase TiO2 can be deformed under high pressure, and its micro mechanism of deformation is similar to metal’s, mainly including deformation twins and stacking fault slip. There is obvious size effect in the formation of deformation twins. These results provide a new breakthrough point for the study of the size effect of high-pressure phase transformation of TiO2, and also point out an experimental direction for preparing the twin high-pressure α-PbO2 phase.
2023, 72(3): 036401.
doi: 10.7498/aps.72.20221929
Abstract:
Antimony selenide (Sb2Se3) has advantages of low-toxicity, abundant and excellent photoelectric properties. It is widely considered as one of the most promising light-harvesting materials for thin-film solar cells. However, the power conversion efficiency of the Sb2Se3 thin-film solar cell is still far inferior to that of cadmium telluride, copper indium gallium selenium and perovskite solar cells. As is well known, the Sb2Se3 solar cell performance is closely related to the light absorber layer (crystallinity, composition, bulk defect density, etc.), PN heterojunction quality (charge carrier concertation, energy band alignment, interface defect density, etc.) and back-contact barrier formation, which determines the process of carrier generation, excitation, relaxation, transfer and recombination. The low fill factor is one of the core problems that limit further efficiency improvement of Sb2Se3 solar cells, which can be attributed to the high potential barrier at the back contact between the Mo electrode and Sb2Se3 absorption layer. In this work, a heat treatment is applied to the Mo electrode to generate a MoO2 buffer layer. It can be found that this buffer layer can inhibit MoSe2 film growth, exhibiting better Ohmic contact with Sb2Se3, and reducing the back contact barrier of the solar cell. The Sb2Se3 thin film is prepared by an effective combination reaction involving sputtered and selenized Sb precursor. After introducing the MoO2 buffer layer, it can also promote the formation of (hk1) (including (211), (221), (002), etc.) preferentially oriented Sb2Se3 thin films with average grain size over 1 μm. And the ratio of Sb to Se is optimized from 0.57 to 0.62, approaching to the stoichiometric ratio of Sb2Se3 thin film and inhibiting the formation of Vse and SbSe defects. Finally, it enhances the open-circuit voltage (VOC) of solar cells from 0.473 to 0.502 V, the short-circuit current density (JSC) from 22.71 to 24.98 mA/cm2, and the fill factor (FF) from 46.90% to 56.18%, thereby increasing the power conversion efficiency (PCE) from 5.04% to 7.05%. This work proposes a facile strategy for interfacial treatment and elucidates the related carrier transport enhancement mechanism, thus paving a bright avenue to breaking through the efficiency bottleneck of Sb2Se3 thin film solar cells.
Antimony selenide (Sb2Se3) has advantages of low-toxicity, abundant and excellent photoelectric properties. It is widely considered as one of the most promising light-harvesting materials for thin-film solar cells. However, the power conversion efficiency of the Sb2Se3 thin-film solar cell is still far inferior to that of cadmium telluride, copper indium gallium selenium and perovskite solar cells. As is well known, the Sb2Se3 solar cell performance is closely related to the light absorber layer (crystallinity, composition, bulk defect density, etc.), PN heterojunction quality (charge carrier concertation, energy band alignment, interface defect density, etc.) and back-contact barrier formation, which determines the process of carrier generation, excitation, relaxation, transfer and recombination. The low fill factor is one of the core problems that limit further efficiency improvement of Sb2Se3 solar cells, which can be attributed to the high potential barrier at the back contact between the Mo electrode and Sb2Se3 absorption layer. In this work, a heat treatment is applied to the Mo electrode to generate a MoO2 buffer layer. It can be found that this buffer layer can inhibit MoSe2 film growth, exhibiting better Ohmic contact with Sb2Se3, and reducing the back contact barrier of the solar cell. The Sb2Se3 thin film is prepared by an effective combination reaction involving sputtered and selenized Sb precursor. After introducing the MoO2 buffer layer, it can also promote the formation of (hk1) (including (211), (221), (002), etc.) preferentially oriented Sb2Se3 thin films with average grain size over 1 μm. And the ratio of Sb to Se is optimized from 0.57 to 0.62, approaching to the stoichiometric ratio of Sb2Se3 thin film and inhibiting the formation of Vse and SbSe defects. Finally, it enhances the open-circuit voltage (VOC) of solar cells from 0.473 to 0.502 V, the short-circuit current density (JSC) from 22.71 to 24.98 mA/cm2, and the fill factor (FF) from 46.90% to 56.18%, thereby increasing the power conversion efficiency (PCE) from 5.04% to 7.05%. This work proposes a facile strategy for interfacial treatment and elucidates the related carrier transport enhancement mechanism, thus paving a bright avenue to breaking through the efficiency bottleneck of Sb2Se3 thin film solar cells.
2023, 72(3): 037201.
doi: 10.7498/aps.72.20221896
Abstract:
Photogenerated carrier relaxation process and terahertz conductivity of Cd0.96Zn0.04Te are investigated by optical pump-terahertz probe spectroscopy at room temperature. With photoexcitation at 800 nm, the photogenerated carrier recovery process can be fitted with a single exponential curve, and its recovery time lasts several nanoseconds, which decreases with the increase of photogenerated carrier densities in a certain range of photogenerated carrier densities, relating to the radiative recombination of electron-hole pairs. The transient transmittance change of terahertz pulse remains the same with the photogenerated carrier densities increasing from 4.51×1016 cm–3 to 1.81×1017 cm–3, which is because the number of loss carriers by defect trapping is approximate to the augment of carriers by photoexcitation. As the photogenerated carrier density increases from 1.81×1017 cm–3 to 1.44×1018 cm–3, the magnitude of photoinduced absorption increases linearly with the increase of photogenerated carrier density due to the fact that most of the defects are occupied. When the photogenerated carrier densities are higher than 1.44×1018 cm–3, the magnitude of photoinduced absorption remains almost the same, because the absorption of 800 nm pump pulse reaches a saturation level. The evolution of complex conductivity with photogenerated carrier density in a delay time of about 50 ps can be well fitted with Drude-Smith model. Our analysis provides an important data support and theoretical basis for designing and fabricating of Cd1–xZnxTe detection.
Photogenerated carrier relaxation process and terahertz conductivity of Cd0.96Zn0.04Te are investigated by optical pump-terahertz probe spectroscopy at room temperature. With photoexcitation at 800 nm, the photogenerated carrier recovery process can be fitted with a single exponential curve, and its recovery time lasts several nanoseconds, which decreases with the increase of photogenerated carrier densities in a certain range of photogenerated carrier densities, relating to the radiative recombination of electron-hole pairs. The transient transmittance change of terahertz pulse remains the same with the photogenerated carrier densities increasing from 4.51×1016 cm–3 to 1.81×1017 cm–3, which is because the number of loss carriers by defect trapping is approximate to the augment of carriers by photoexcitation. As the photogenerated carrier density increases from 1.81×1017 cm–3 to 1.44×1018 cm–3, the magnitude of photoinduced absorption increases linearly with the increase of photogenerated carrier density due to the fact that most of the defects are occupied. When the photogenerated carrier densities are higher than 1.44×1018 cm–3, the magnitude of photoinduced absorption remains almost the same, because the absorption of 800 nm pump pulse reaches a saturation level. The evolution of complex conductivity with photogenerated carrier density in a delay time of about 50 ps can be well fitted with Drude-Smith model. Our analysis provides an important data support and theoretical basis for designing and fabricating of Cd1–xZnxTe detection.
2023, 72(3): 037401.
doi: 10.7498/aps.72.20222072
Abstract:
Topological insulator-based Josephson junction, as a candidate device for searching for Majorana zero energy modes, has attracted much attention. One of the key issues along this direction is to fabricate Josephson junctions with high-quality interfaces, hoping to searching for 4π-period current-phase relation in topologically non-trivial Josephson junction. In this work, the Josephson junctions based on three-dimensional topological insulator nanowires Bi2Te3 and Bi2(SexTe1–x)3 are fabricated to study their superconducting proximity effects, multiple Andreev reflections, and current-phase relations. A number of interesting phenomena are observed, including the anomalous enhancement in junctions’ critical supercurrent with magnetic field, and the appearance of half-integer Shapiro steps in the ac Josephson effect. And, we discuss the possible origins of the observed anomalous behaviors in general, and their relation with the ferromagnetic layer of TiTe alloy formed at the interface between the topological insulator nanowires and the Ti buffer layer of the metallic electrodes, in particular. We provide the experimental evidence for the formation of a ferromagnetic TiTe alloy layer at the interface of our device. And, we believe that the formation of such a layer in our Josephson device breaks the time reversal symmetry, leading to the observed anomalous enhancement of the critical supercurrent with magnetic field, as well as the appearance of half-integer Shapiro steps. Our results suggest that to study the topologically non-trivial behaviors such as 4π-period current-phase relation, one still needs to improve the interface quality of the superconductor-normal metal-superconductor type of Josephson junction devices.
Topological insulator-based Josephson junction, as a candidate device for searching for Majorana zero energy modes, has attracted much attention. One of the key issues along this direction is to fabricate Josephson junctions with high-quality interfaces, hoping to searching for 4π-period current-phase relation in topologically non-trivial Josephson junction. In this work, the Josephson junctions based on three-dimensional topological insulator nanowires Bi2Te3 and Bi2(SexTe1–x)3 are fabricated to study their superconducting proximity effects, multiple Andreev reflections, and current-phase relations. A number of interesting phenomena are observed, including the anomalous enhancement in junctions’ critical supercurrent with magnetic field, and the appearance of half-integer Shapiro steps in the ac Josephson effect. And, we discuss the possible origins of the observed anomalous behaviors in general, and their relation with the ferromagnetic layer of TiTe alloy formed at the interface between the topological insulator nanowires and the Ti buffer layer of the metallic electrodes, in particular. We provide the experimental evidence for the formation of a ferromagnetic TiTe alloy layer at the interface of our device. And, we believe that the formation of such a layer in our Josephson device breaks the time reversal symmetry, leading to the observed anomalous enhancement of the critical supercurrent with magnetic field, as well as the appearance of half-integer Shapiro steps. Our results suggest that to study the topologically non-trivial behaviors such as 4π-period current-phase relation, one still needs to improve the interface quality of the superconductor-normal metal-superconductor type of Josephson junction devices.
2023, 72(3): 037402.
doi: 10.7498/aps.72.20221958
Abstract:
Surface-enhanced Raman scattering (SERS) has been widely used in food and drug detection, biological and medical sensing. In recent years, the study of non-metallic SERS substrates has gradually become a hot field of SERS. Here, we investigate the modulation effect on SERS activities of 2,3,5,6-tetrafluoro-7,7,8,8-tetrachyanoquindimethylene (F4TCNQ) grown on molybdenum disulfide (MoS2) films. The different nanostructures of F4TCNQ can have an effect on the bound capability of charges transferred from the surface of MoS2, which changes the electron density distribution on the surface of the F4TCNQ/MoS2 nanocomposite material. Therefore, the interface exhibits different charge localizations in the F4TCNQ/MoS2 nanocomposite. The charge transfer efficiency between the substrate and the adsorbed probe molecules leads the substrate to show a different SERS sensitivity. The enhancement factor of 4-mercaptobenzoic acid (4-MBA) molecules on the most optimized 7-min F4TCNQ/MoS2 nanocomposite substrate can reach\begin{document}$ 6.9\times {10}^{4} $\end{document} ![]()
![]()
, and the detection limit concentration is as low as 10–6 mol/L. The result of research on F4TCNQ/MoS2 nanocomposite provides an effective optimization scheme of energy level regulation for SERS based on the chemical enhancement mechanism, and opens up a new way to further exploit its functional applications.
Surface-enhanced Raman scattering (SERS) has been widely used in food and drug detection, biological and medical sensing. In recent years, the study of non-metallic SERS substrates has gradually become a hot field of SERS. Here, we investigate the modulation effect on SERS activities of 2,3,5,6-tetrafluoro-7,7,8,8-tetrachyanoquindimethylene (F4TCNQ) grown on molybdenum disulfide (MoS2) films. The different nanostructures of F4TCNQ can have an effect on the bound capability of charges transferred from the surface of MoS2, which changes the electron density distribution on the surface of the F4TCNQ/MoS2 nanocomposite material. Therefore, the interface exhibits different charge localizations in the F4TCNQ/MoS2 nanocomposite. The charge transfer efficiency between the substrate and the adsorbed probe molecules leads the substrate to show a different SERS sensitivity. The enhancement factor of 4-mercaptobenzoic acid (4-MBA) molecules on the most optimized 7-min F4TCNQ/MoS2 nanocomposite substrate can reach
2023, 72(3): 037501.
doi: 10.7498/aps.72.20221723
Abstract:
With the progress of modern wireless communication technology, microwave communication devices are developing toward miniaturization and integration, and low-temperature co-firing ceramic/ferrite technology is the key to meet the above demands. In this paper, V2O5-Al2O3 (VA) sintering aid is used to realize low-temperature sintering (below melting point of silver that is 950 ℃) of Li-Zn microwave ferrite, which is suitable for radar phase shifter. In this work, firstly, Li-Zn ferrite pre-firing material is prepared by mechanochemical ball-milling method, and then VA composite is selected as sintering aid to prepare Li0.42Zn0.27Ti0.11Mn0.1Fe2.1O4 ferrite at low temperatures. The effects of adding amount of VA sintering aid and sintering temperature on crystal structure, microstructure and magnetic properties (saturation induction, coercivity, linewidth of ferromagnetic resonance, etc.) of the materials are also studied. The VA sintering aid can reduce the sintering temperature and maintain the spinel crystal structure of Li-Zn microwave ferrite, the diffraction peaks of V2O5 and Al2O3 involved in the sintering process are observed from none of the samples sintered at different temperatures, because the additive amount of VA sintering aid is very low compared with that of Li-Zn ferrite, so no corresponding impurity peaks are detected. The introduction of VA sintering aid can promote the grain growth, with the average grain size increasing from 0.92 μm to 9.74 μm. In the sintering process of Li-Zn ferrite, V2O5 in VA sintering aid will melt first to form liquid phase due to its low melting point, which promotes the growth of grains. At the same time, Al2O3 with higher melting point can inhibit the grain growth and make the grain uniform. It is worth noting that when excessive VA sintering aid is added, the grain size of ferrite will decrease instead, because too much VA sintering aid will form a large number of liquid phases around the grains, thus splitting the grains and hindering the further growth of the Li-Zn grains. Under the condition of optimal VA sintering aid addition (0.18%, weight percentage), the saturation induction of the sample increases from 144 mT to 281 mT; the rectangular ratio increases from 0.57 to 0.78; the coercivity decreases from 705 A/m to 208 A/m; the linewidth of ferromagnetic resonance decreases from 648 Oe to 247 Oe. In summary, VA sintering aid can effectively improve the properties of Li-Zn microwave ferrite, which has a positive significance in developing low- temperature co-firing ceramic/ferrite technology.
With the progress of modern wireless communication technology, microwave communication devices are developing toward miniaturization and integration, and low-temperature co-firing ceramic/ferrite technology is the key to meet the above demands. In this paper, V2O5-Al2O3 (VA) sintering aid is used to realize low-temperature sintering (below melting point of silver that is 950 ℃) of Li-Zn microwave ferrite, which is suitable for radar phase shifter. In this work, firstly, Li-Zn ferrite pre-firing material is prepared by mechanochemical ball-milling method, and then VA composite is selected as sintering aid to prepare Li0.42Zn0.27Ti0.11Mn0.1Fe2.1O4 ferrite at low temperatures. The effects of adding amount of VA sintering aid and sintering temperature on crystal structure, microstructure and magnetic properties (saturation induction, coercivity, linewidth of ferromagnetic resonance, etc.) of the materials are also studied. The VA sintering aid can reduce the sintering temperature and maintain the spinel crystal structure of Li-Zn microwave ferrite, the diffraction peaks of V2O5 and Al2O3 involved in the sintering process are observed from none of the samples sintered at different temperatures, because the additive amount of VA sintering aid is very low compared with that of Li-Zn ferrite, so no corresponding impurity peaks are detected. The introduction of VA sintering aid can promote the grain growth, with the average grain size increasing from 0.92 μm to 9.74 μm. In the sintering process of Li-Zn ferrite, V2O5 in VA sintering aid will melt first to form liquid phase due to its low melting point, which promotes the growth of grains. At the same time, Al2O3 with higher melting point can inhibit the grain growth and make the grain uniform. It is worth noting that when excessive VA sintering aid is added, the grain size of ferrite will decrease instead, because too much VA sintering aid will form a large number of liquid phases around the grains, thus splitting the grains and hindering the further growth of the Li-Zn grains. Under the condition of optimal VA sintering aid addition (0.18%, weight percentage), the saturation induction of the sample increases from 144 mT to 281 mT; the rectangular ratio increases from 0.57 to 0.78; the coercivity decreases from 705 A/m to 208 A/m; the linewidth of ferromagnetic resonance decreases from 648 Oe to 247 Oe. In summary, VA sintering aid can effectively improve the properties of Li-Zn microwave ferrite, which has a positive significance in developing low- temperature co-firing ceramic/ferrite technology.
2023, 72(3): 037701.
doi: 10.7498/aps.72.20221856
Abstract:
Monohydroxy alcohol has a Debye relaxation process that other liquids usually do not have, and with the further research, some new phenomena and new problems related to the process have been gradually discovered, deepening the understanding of material structure and dynamics. In order to further investigate the dynamics of Debye relaxation processes and the influence of molecular constitutions on them, the Debye processes of three primary alcohols without branched chains or side groups are studied by dielectric spectroscopy method, and some important information about the processes is revealed. A number of dynamic parameters of Debye relaxation in n-propanol, n-butanol and n-octanol almost all increase linearly with the rising of the number of carbon atoms in the molecules, which include the characteristic temperature, the reciprocal of Vogel-Fulcher-Tammann (VFT) temperature, the strength parameter of Debye process, the activation energy and the logarithm of the intrinsic vibration frequency of relaxation units under high temperature limit. However, the values of VFT temperatures change little and have consistency, illustrating that the relaxation units of Debye processes in these three monohydroxy alcohols should be the same, further verifying the view that the Debye relaxation originates from the hydroxyl groups in hydrogen bonded molecular chains. Comparing Boiling temperatures and melting temperatures of those samples with the evolution of the above activation energy, it is shown that there is a positive correlation between the interaction among hydrogen bonds and the whole one among molecules. In addition, combining the information about the strength parameter with that from the relevant theories, a possible perspective is gained for further investigation of liquid fragility. The comparison of those three samples with ethanol displays that the degree of separation of Debye relaxation and α relaxation is influenced by the molecular chain length, which can provide a breakthrough point to explore Debye relaxation. These results in this work will promote the further understanding and research of Debye relaxation in monohydroxy alcohols, and also provide experimental information for relevant theories.
Monohydroxy alcohol has a Debye relaxation process that other liquids usually do not have, and with the further research, some new phenomena and new problems related to the process have been gradually discovered, deepening the understanding of material structure and dynamics. In order to further investigate the dynamics of Debye relaxation processes and the influence of molecular constitutions on them, the Debye processes of three primary alcohols without branched chains or side groups are studied by dielectric spectroscopy method, and some important information about the processes is revealed. A number of dynamic parameters of Debye relaxation in n-propanol, n-butanol and n-octanol almost all increase linearly with the rising of the number of carbon atoms in the molecules, which include the characteristic temperature, the reciprocal of Vogel-Fulcher-Tammann (VFT) temperature, the strength parameter of Debye process, the activation energy and the logarithm of the intrinsic vibration frequency of relaxation units under high temperature limit. However, the values of VFT temperatures change little and have consistency, illustrating that the relaxation units of Debye processes in these three monohydroxy alcohols should be the same, further verifying the view that the Debye relaxation originates from the hydroxyl groups in hydrogen bonded molecular chains. Comparing Boiling temperatures and melting temperatures of those samples with the evolution of the above activation energy, it is shown that there is a positive correlation between the interaction among hydrogen bonds and the whole one among molecules. In addition, combining the information about the strength parameter with that from the relevant theories, a possible perspective is gained for further investigation of liquid fragility. The comparison of those three samples with ethanol displays that the degree of separation of Debye relaxation and α relaxation is influenced by the molecular chain length, which can provide a breakthrough point to explore Debye relaxation. These results in this work will promote the further understanding and research of Debye relaxation in monohydroxy alcohols, and also provide experimental information for relevant theories.
2023, 72(3): 037702.
doi: 10.7498/aps.72.20221898
Abstract:
The perovskite crystal structure determines the appearance of ferroelectricity and the polarization direction of ferroelectric ceramics. When the polarization direction has a certain order, different domain structures will combine to form a multiparticle system with a specific morphology, i.e. the topological structure existing in ferroelectrics. In this study, the domain structures of potassium sodium niobate (\begin{document}$ {\rm{K}}_{0.5}{\rm{N}\rm{a}}_{0.5}\rm{N}\rm{b}{\rm{O}}_{3} $\end{document} ![]()
![]()
) thin films under different hysteresis electric fields and thickness are simulated and observed by the phase field method. According to the different switching paths of the domain structure under the electric field, the domain is divided into fast and slow switching process. Based on this, a method is proposed to first determine the domain switching state of the desired experiment and then conduct directional observation. Through the analysis of the domain structures combined with the polarization vector, a clear multi-domain combined with vortex-antivortex pair topological structure is observed for the first time in \begin{document}$ {\rm{K}}_{0.5}{\rm{N}\rm{a}}_{0.5}\rm{N}\rm{b}{\rm{O}}_{3} $\end{document} ![]()
![]()
film. The vortex structure is further analyzed for its switching process, and it is observed that this vortex topological microstructure can make the domain more likely to switch, so that more small-scale polarization vectors can be ordered, forming the desired multiparticle system topology. The mechanism of improving the dielectric properties of ferroelectric material by this polarization vector ordering is similar to that of the microscopic phase boundary formed by the specific polarization directions on both sides of the quasi morphotropic phase boundary.
The perovskite crystal structure determines the appearance of ferroelectricity and the polarization direction of ferroelectric ceramics. When the polarization direction has a certain order, different domain structures will combine to form a multiparticle system with a specific morphology, i.e. the topological structure existing in ferroelectrics. In this study, the domain structures of potassium sodium niobate (
2023, 72(3): 037801.
doi: 10.7498/aps.72.20221731
Abstract:
Beam arrangement with limited projections based on tunable diode laser absorption spectroscopy is the key to achieving a more accurate two-dimensional reconstruction of the combustion. Using fractional calculus theory, a beam optimization method based on fractional Tikhonov regularization is proposed. The beam arrangement function based on fractional Tikhonov regularization is established by extending the standard Tikhonov regularization to fractional modes. The genetic algorithm is used to analyze the calculation results of different orders in a range of (0, 1), and the beam arrangement is obtained. Using 20 laser beams to scan the characteristic absorption spectrum of H2O in the near-infrared band 7185.6 cm–1, modeling the calculations in a 10×10 element discrete tomography domain, and comparing the reconstruction results of the five beam arrangements for different Gaussian distribution models, the beam arrangement based on fractional Tikhonov regularization shows more obvious advantages. This design method proposed in this work is valuable for the theoretical study of the optimal design of two-dimensional measurement beams based on the tunable diode laser absorption spectroscopy technique, which can promote the application of this technique in the two-dimensional reconstruction of complex engine combustion and combustion efficiency improvement.
Beam arrangement with limited projections based on tunable diode laser absorption spectroscopy is the key to achieving a more accurate two-dimensional reconstruction of the combustion. Using fractional calculus theory, a beam optimization method based on fractional Tikhonov regularization is proposed. The beam arrangement function based on fractional Tikhonov regularization is established by extending the standard Tikhonov regularization to fractional modes. The genetic algorithm is used to analyze the calculation results of different orders in a range of (0, 1), and the beam arrangement is obtained. Using 20 laser beams to scan the characteristic absorption spectrum of H2O in the near-infrared band 7185.6 cm–1, modeling the calculations in a 10×10 element discrete tomography domain, and comparing the reconstruction results of the five beam arrangements for different Gaussian distribution models, the beam arrangement based on fractional Tikhonov regularization shows more obvious advantages. This design method proposed in this work is valuable for the theoretical study of the optimal design of two-dimensional measurement beams based on the tunable diode laser absorption spectroscopy technique, which can promote the application of this technique in the two-dimensional reconstruction of complex engine combustion and combustion efficiency improvement.
2023, 72(3): 038101.
doi: 10.7498/aps.72.20221564
Abstract:
Thermopile infrared detector is a kind of detector device mainly composed of thermocouple as the basic unit. Because of its simple principle, no need of cooling equipment, and other advantages, it has been widely used in various fields of production and life. However, the absorption rates of the materials in conventional thermopile devices are poor, and the majority of them are incompatible with microfabrication methods. In this work, a metal thermopile infrared detector with vertical graphene (VG) is designed and fabricated. The VG is grown via plasma enhanced chemical vapor deposition, and retained at the device’s thermal ends to provide the thermopile IR detector’s wideband and high response characteristics. The detector achieves a room temperature responsivity reaching a value as high as 1.53 V/W at 792 nm, which can increase the response results about 28 times and reduce the response time to 0.8 ms compared with the thermopile detector without VG. After systematically measuring the response results, it is finally found that there are three main mechanisms responsible for the response on the composite device. The first one is the response generated by the metal thermopile itself alone. The second one is the response increased eventually by the contribution of VG covered at the metal thermal junction that expands the temperature difference. The last one is the response generated by the temperature gradient existing inside the VG on the surface of the device after the absorption of heat. The portion of each partial response mechanism in the total response is also analyzed, providing a new reference direction for analyzing the response generation mechanism of thermopile detectors with other absorbing materials. The process is compatible with the microfabrication, while the device performance is enhanced and suitable for mass production. Furthermore, by utilizing the surface plasmon resonance to combine VG with metal nanoparticles, the material’s light absorption is found to be enhanced significantly under the same conditions, and the resulting thermal voltage can be increased to 6 times. The results indicate that VG promises to possess practical applications, in many fields such as photoelectric sensing and power production devices. This technology provides a new method to manufacture high-performance thermopile infrared detectors and other sensor devices.
Thermopile infrared detector is a kind of detector device mainly composed of thermocouple as the basic unit. Because of its simple principle, no need of cooling equipment, and other advantages, it has been widely used in various fields of production and life. However, the absorption rates of the materials in conventional thermopile devices are poor, and the majority of them are incompatible with microfabrication methods. In this work, a metal thermopile infrared detector with vertical graphene (VG) is designed and fabricated. The VG is grown via plasma enhanced chemical vapor deposition, and retained at the device’s thermal ends to provide the thermopile IR detector’s wideband and high response characteristics. The detector achieves a room temperature responsivity reaching a value as high as 1.53 V/W at 792 nm, which can increase the response results about 28 times and reduce the response time to 0.8 ms compared with the thermopile detector without VG. After systematically measuring the response results, it is finally found that there are three main mechanisms responsible for the response on the composite device. The first one is the response generated by the metal thermopile itself alone. The second one is the response increased eventually by the contribution of VG covered at the metal thermal junction that expands the temperature difference. The last one is the response generated by the temperature gradient existing inside the VG on the surface of the device after the absorption of heat. The portion of each partial response mechanism in the total response is also analyzed, providing a new reference direction for analyzing the response generation mechanism of thermopile detectors with other absorbing materials. The process is compatible with the microfabrication, while the device performance is enhanced and suitable for mass production. Furthermore, by utilizing the surface plasmon resonance to combine VG with metal nanoparticles, the material’s light absorption is found to be enhanced significantly under the same conditions, and the resulting thermal voltage can be increased to 6 times. The results indicate that VG promises to possess practical applications, in many fields such as photoelectric sensing and power production devices. This technology provides a new method to manufacture high-performance thermopile infrared detectors and other sensor devices.
2023, 72(3): 038102.
doi: 10.7498/aps.72.20221437
Abstract:
Diamond silicon vacancy centers (SiV centers) have important application prospects in quantum information technology and biomarkers. In this work, the formation mechanism and regulation method of SiV center during the growth of polycrystalline diamond on silicon substrate are studied. By changing the ratio of nitrogen content to oxygen content in the growing atmosphere of diamond, the photoluminescence intensity of SiV center can be controlled effectively, and polycrystalline diamond samples with the ratios of SiV center photoluminescence peak to diamond intrinsic peak as high as 334.46 and as low as 1.48 are prepared. It is found that nitrogen promotes the formation of SiV center in the growth process, and the inhibition of oxygen. The surface morphology and photoluminescence spectrum for each of these samples show that the photoluminescence peak intensity of SiV center is positively correlated with the grain size of diamond, and the SiV center’s photoluminescence peak in the diamond film with obvious preferred orientation of crystal plane is higher. The distribution of Si centers and SiV centers on the surface of polycrystalline diamond are further characterized and analyzed by photoluminescence, Raman surface scanning and depth scanning spectroscopy. It is found that during the growth of polycrystalline diamond, the substrate silicon diffuses first into the diamond grain and then into the crystal structure to form the SiV center. This paper provides a theoretical basis for the development and application of SiV centers in diamond.
Diamond silicon vacancy centers (SiV centers) have important application prospects in quantum information technology and biomarkers. In this work, the formation mechanism and regulation method of SiV center during the growth of polycrystalline diamond on silicon substrate are studied. By changing the ratio of nitrogen content to oxygen content in the growing atmosphere of diamond, the photoluminescence intensity of SiV center can be controlled effectively, and polycrystalline diamond samples with the ratios of SiV center photoluminescence peak to diamond intrinsic peak as high as 334.46 and as low as 1.48 are prepared. It is found that nitrogen promotes the formation of SiV center in the growth process, and the inhibition of oxygen. The surface morphology and photoluminescence spectrum for each of these samples show that the photoluminescence peak intensity of SiV center is positively correlated with the grain size of diamond, and the SiV center’s photoluminescence peak in the diamond film with obvious preferred orientation of crystal plane is higher. The distribution of Si centers and SiV centers on the surface of polycrystalline diamond are further characterized and analyzed by photoluminescence, Raman surface scanning and depth scanning spectroscopy. It is found that during the growth of polycrystalline diamond, the substrate silicon diffuses first into the diamond grain and then into the crystal structure to form the SiV center. This paper provides a theoretical basis for the development and application of SiV centers in diamond.
2023, 72(3): 038201.
doi: 10.7498/aps.72.20220567
Abstract:
Membrane has many applications in the fields of filtration and separation, but due to the attraction or repulsion exerted by the membrane, the particles will experience a directional motion. As a result, two totally opposite effects, i.e. particle enrichment and exclusion zone, take place in the vicinity of the membrane, and the underlying reason is still not clear. In this work, colloidal particles with negative surface charge are used as a model substance, with the advantages of monitoring the particle concentration in a real time and in situ way, to investigate the influence of cellulose membrane on the movement of particles. The experimental results show that the particles are enriched in the vicinity of the membrane. The diffusiophoresis effect originating from tiny number of ions released by the film is the main reason of the directional movement of the charged particles. Based on the two mechanisms of diffusiophoresis and diffusion, we construct a model and make relevant numerical calculation, and the numerical results are qualitatively consistent with the experimental results. Moreover, in addition to the longitudinal motion of the particles towards the filter membrane, diffusio-osmotic flow and particles lateral diffusion also result in the migration of particles towards the container wall, and further increasing the particle number near the wall.
Membrane has many applications in the fields of filtration and separation, but due to the attraction or repulsion exerted by the membrane, the particles will experience a directional motion. As a result, two totally opposite effects, i.e. particle enrichment and exclusion zone, take place in the vicinity of the membrane, and the underlying reason is still not clear. In this work, colloidal particles with negative surface charge are used as a model substance, with the advantages of monitoring the particle concentration in a real time and in situ way, to investigate the influence of cellulose membrane on the movement of particles. The experimental results show that the particles are enriched in the vicinity of the membrane. The diffusiophoresis effect originating from tiny number of ions released by the film is the main reason of the directional movement of the charged particles. Based on the two mechanisms of diffusiophoresis and diffusion, we construct a model and make relevant numerical calculation, and the numerical results are qualitatively consistent with the experimental results. Moreover, in addition to the longitudinal motion of the particles towards the filter membrane, diffusio-osmotic flow and particles lateral diffusion also result in the migration of particles towards the container wall, and further increasing the particle number near the wall.
2023, 72(3): 038501.
doi: 10.7498/aps.72.20221476
Abstract:
Gallium oxide (Ga2O3) as a wide bandgap semiconductor material has attracted much attention in the field of solar blind ultraviolet photodetection recently. Localized surface plasmon resonance is considered an effective way to improve the performance of optoelectronic devices by decorating the materials with metal particles. Al nanoparticle is a potential candidate for ultraviolet photodetectors because its suitable resonance wavelength is located in the ultraviolet wavelength range. In this work, the preparation temperature of the Ga2O3 thin film is reduced by ultraviolet photo-annealing, and the amorphous Ga2O3 thin film is prepared by using the solution method. In addition, aluminum (Al) nanoparticles are used to decorate the surface of Ga2O3 thin film through thermal evaporation of aluminum film and then annealing, which improves the optoelectrical performance in the solar-blind wavelength spectrum. The X-ray diffraction (XRD) is employed to demonstrate the amorphous Ga2O3 thin film. The surface roughness and the diameters of Al nanoparticles are analyzed by atomic force microscope (AFM). When the thickness of the deposited Al layer is about 3–5 nm, Al particles with the diameters in a range of 2–3 nm can be obtained. When the thickness of the deposited Al layer is more than 7 nm, Al nanoparticles turn into the particles with non-identical diameters and distribute in the form of agglomeration. Transmittance spectrum and absorption spectrum are employed to characterize the optical properties. The bandgaps of different samples are obtained, and the results are consistent with the theoretical ones. The Ga2O3 thin film shows excellent optoelectrical performance and solar blind rejection ratio. Under 254 nm illumination, the maximum photo-to-dark current ratio is 2.55×104, and the rejection ratio of I254 nm/I365 nm is 2.2×104. The best responsivity and detectivity of prepared samples are 0.771 A/W and 1.13×1011 Jones, which are about 34 times and 36 times higher than those without Al decoration. The improvement is attributed to the scattering effect of surface Al nanoparticles for illumination, which enhances the Ga2O3 thin film absorption of solar blind ultraviolet light. Meanwhile, owing to the localized surface plasma resonance, the local electromagnetic fields generated near the Al nanoparticles promote the transfer of carriers in the film. Furthermore, the point about how the Al nanoparticles decorated on the surface of Ga2O3 thin film influence the time response is also discussed in this work. As a result, the introduction of defect states will lead to an increase of fall time due to the Al deposition. In this work, the effect of Al nanoparticles decoration on the optoelectrical performance of amorphous Ga2O3 thin film solar blind ultraviolet photodetectors is studied based on a simple preparation, which provides a possible pathway for developing the flexible solar blind electronic devices in the future.
Gallium oxide (Ga2O3) as a wide bandgap semiconductor material has attracted much attention in the field of solar blind ultraviolet photodetection recently. Localized surface plasmon resonance is considered an effective way to improve the performance of optoelectronic devices by decorating the materials with metal particles. Al nanoparticle is a potential candidate for ultraviolet photodetectors because its suitable resonance wavelength is located in the ultraviolet wavelength range. In this work, the preparation temperature of the Ga2O3 thin film is reduced by ultraviolet photo-annealing, and the amorphous Ga2O3 thin film is prepared by using the solution method. In addition, aluminum (Al) nanoparticles are used to decorate the surface of Ga2O3 thin film through thermal evaporation of aluminum film and then annealing, which improves the optoelectrical performance in the solar-blind wavelength spectrum. The X-ray diffraction (XRD) is employed to demonstrate the amorphous Ga2O3 thin film. The surface roughness and the diameters of Al nanoparticles are analyzed by atomic force microscope (AFM). When the thickness of the deposited Al layer is about 3–5 nm, Al particles with the diameters in a range of 2–3 nm can be obtained. When the thickness of the deposited Al layer is more than 7 nm, Al nanoparticles turn into the particles with non-identical diameters and distribute in the form of agglomeration. Transmittance spectrum and absorption spectrum are employed to characterize the optical properties. The bandgaps of different samples are obtained, and the results are consistent with the theoretical ones. The Ga2O3 thin film shows excellent optoelectrical performance and solar blind rejection ratio. Under 254 nm illumination, the maximum photo-to-dark current ratio is 2.55×104, and the rejection ratio of I254 nm/I365 nm is 2.2×104. The best responsivity and detectivity of prepared samples are 0.771 A/W and 1.13×1011 Jones, which are about 34 times and 36 times higher than those without Al decoration. The improvement is attributed to the scattering effect of surface Al nanoparticles for illumination, which enhances the Ga2O3 thin film absorption of solar blind ultraviolet light. Meanwhile, owing to the localized surface plasma resonance, the local electromagnetic fields generated near the Al nanoparticles promote the transfer of carriers in the film. Furthermore, the point about how the Al nanoparticles decorated on the surface of Ga2O3 thin film influence the time response is also discussed in this work. As a result, the introduction of defect states will lead to an increase of fall time due to the Al deposition. In this work, the effect of Al nanoparticles decoration on the optoelectrical performance of amorphous Ga2O3 thin film solar blind ultraviolet photodetectors is studied based on a simple preparation, which provides a possible pathway for developing the flexible solar blind electronic devices in the future.
2023, 72(3): 038502.
doi: 10.7498/aps.72.20221212
Abstract:
Combining non-equilibrium Green’s function with density functional theory, we study the electronic transport properties of the molecular devices comprised of 2-phenylpyridine and zigzag graphene nanoribbon (ZGNR) electrodes. The I-V characteristics and transmission coefficients under external voltage biases are analyzed, and the results show that the negative differential resistance (NDR) is effectively adjusted by the bending of ZGNR electrode, which reduces the peak voltage (Vp) and increases the peak-valley ratio (PVR) of the device. When the electrode bending angle is 15°, the PVR of device M2 is a maximum value of 12.84 and Vp is 0.1 V, which is low enough for practical applications. The transmission spectra, the density of states and the real-space scattering state distribution at Ef of device under zero bias explain that the weaker coupling between the molecules and the electrodes is caused by the bending of the ZGNR electrode, which might be responsible for the adjustability of NDR. The analysis shows that the bending of the electrode changes the electronic structure between the 2-phenylpyridine molecule and the ZGNR electrode, and then changes the wave functions overlap between them, the coupling between the molecule and the electrodes gets weaker. An external bias can induce the level to shift. The transmission coefficient for the weaker coupling between the molecules. The electrodes can fluctuate wildly from level to level, and large NDR effect under very low bias is obtained with the variation of external bias. Therefore, for highly symmetric molecular devices, the electronic transport properties can be effectively adjusted by changing the coupling between the central molecule and the electrodes. Our investigations indicate that the 2-phenylpyridine molecular device with ZGNR electrodes may have potential applications in the field of low-power dissipation molecules device.
Combining non-equilibrium Green’s function with density functional theory, we study the electronic transport properties of the molecular devices comprised of 2-phenylpyridine and zigzag graphene nanoribbon (ZGNR) electrodes. The I-V characteristics and transmission coefficients under external voltage biases are analyzed, and the results show that the negative differential resistance (NDR) is effectively adjusted by the bending of ZGNR electrode, which reduces the peak voltage (Vp) and increases the peak-valley ratio (PVR) of the device. When the electrode bending angle is 15°, the PVR of device M2 is a maximum value of 12.84 and Vp is 0.1 V, which is low enough for practical applications. The transmission spectra, the density of states and the real-space scattering state distribution at Ef of device under zero bias explain that the weaker coupling between the molecules and the electrodes is caused by the bending of the ZGNR electrode, which might be responsible for the adjustability of NDR. The analysis shows that the bending of the electrode changes the electronic structure between the 2-phenylpyridine molecule and the ZGNR electrode, and then changes the wave functions overlap between them, the coupling between the molecule and the electrodes gets weaker. An external bias can induce the level to shift. The transmission coefficient for the weaker coupling between the molecules. The electrodes can fluctuate wildly from level to level, and large NDR effect under very low bias is obtained with the variation of external bias. Therefore, for highly symmetric molecular devices, the electronic transport properties can be effectively adjusted by changing the coupling between the central molecule and the electrodes. Our investigations indicate that the 2-phenylpyridine molecular device with ZGNR electrodes may have potential applications in the field of low-power dissipation molecules device.










