2025 Vol. 74, No. 5
column
- INSTRUMENTION AND MEASUREMENT
- INSTRUMENTATION AND MEASUREMENT
- NUCLEAR PHYSICS
- ATOMIC AND MOLECULAR PHYSICS
- ELECTROMAGNETISM, OPTICS, ACOUSTICS, HEAT TRANSFER, CLASSICAL MECHANICS, AND FLUID DYNAMICS
- PHYSICS OF GASES, PLASMAS, AND ELECTRIC DISCHARGES
- CONDENSED MATTER: STRUCTURAL, MECHANICAL, AND THERMAL PROPERTIES
- CONDENSED MATTER: ELECTRONIC STRUCTURE, ELECTRICAL, MAGNETIC, AND OPTICAL PROPERTIES
- INTERDISCIPLINARY PHYSICS AND RELATED AREAS OF SCIENCE AND TECHNOLOGY
- GEOPHYSICS, ASTRONOMY, AND ASTROPHYSICS
Display Method:
2025, 74(5): 059501.
doi: 10.7498/aps.74.20241635
Abstract:
Laser intensity noise suppression in the millihertz frequency band is essential for space-based gravitational wave detection to ensure the sensitivity of the interferometer. Optoelectronic feedback technology is one of the most effective methods of suppressing laser intensity noise. The noise of the photodetector that is the first-stage component in the feedback loop, directly couples into the feedback loop, thus significantly affecting the laser intensity noise. In this paper, starting from the requirement of suppressing laser intensity noise in the 0.1 mHz–1 Hz frequency band for space-based gravitational wave detection, the factors affecting the electronics of photodetectors at extremely low frequencies are analyzed in detail. Using the low dark current characteristic of photodiodes in photovoltaic mode, a zero-bias voltage scheme is adopted to reduce the dark noise of the photodiode. A transimpedance amplification circuit is designed using an integrated operational amplifier with zero offset voltage drift and low-temperature drift metal foil resistors, thereby optimizing the transimpedance capacitor and follower circuit to reduce 1/f noise in the circuit. Active temperature control is employed to stabilize the responsivity of photodiode, and additional measures such as using a homemade low-noise power supply and shielding interference are taken to further reduce the noise. Ultimately, an ultra-low electronic noise photodetector operating in the 0.1 mHz–1 Hz frequency band is developed. A homemade intensity noise evaluation system is used to comprehensively assess the noise both in the time domain and in the frequency domain. The constant noise characteristics of the homemade detector are estimated experimentally. The experimental results show that the electronic noise spectral density of the homemade detector reaches 2×10–6 V/Hz1/2 in the 0.1 mHz–1 Hz frequency band, and the electronic noise of the detector does not vary with optical power. The detector achieves a gain of 35 kV/W at 1064 nm. The noise performance of the detector is two orders of magnitude lower than the laser intensity noise requirement (1×10–4 V/Hz1/2) for space-based gravitational wave detection, providing a critical component and technical support for high-gain optoelectronic feedback control and laser intensity noise suppression in space-based gravitational wave detection.
Laser intensity noise suppression in the millihertz frequency band is essential for space-based gravitational wave detection to ensure the sensitivity of the interferometer. Optoelectronic feedback technology is one of the most effective methods of suppressing laser intensity noise. The noise of the photodetector that is the first-stage component in the feedback loop, directly couples into the feedback loop, thus significantly affecting the laser intensity noise. In this paper, starting from the requirement of suppressing laser intensity noise in the 0.1 mHz–1 Hz frequency band for space-based gravitational wave detection, the factors affecting the electronics of photodetectors at extremely low frequencies are analyzed in detail. Using the low dark current characteristic of photodiodes in photovoltaic mode, a zero-bias voltage scheme is adopted to reduce the dark noise of the photodiode. A transimpedance amplification circuit is designed using an integrated operational amplifier with zero offset voltage drift and low-temperature drift metal foil resistors, thereby optimizing the transimpedance capacitor and follower circuit to reduce 1/f noise in the circuit. Active temperature control is employed to stabilize the responsivity of photodiode, and additional measures such as using a homemade low-noise power supply and shielding interference are taken to further reduce the noise. Ultimately, an ultra-low electronic noise photodetector operating in the 0.1 mHz–1 Hz frequency band is developed. A homemade intensity noise evaluation system is used to comprehensively assess the noise both in the time domain and in the frequency domain. The constant noise characteristics of the homemade detector are estimated experimentally. The experimental results show that the electronic noise spectral density of the homemade detector reaches 2×10–6 V/Hz1/2 in the 0.1 mHz–1 Hz frequency band, and the electronic noise of the detector does not vary with optical power. The detector achieves a gain of 35 kV/W at 1064 nm. The noise performance of the detector is two orders of magnitude lower than the laser intensity noise requirement (1×10–4 V/Hz1/2) for space-based gravitational wave detection, providing a critical component and technical support for high-gain optoelectronic feedback control and laser intensity noise suppression in space-based gravitational wave detection.
2025, 74(5): 059502.
doi: 10.7498/aps.74.20241649
Abstract:
X-ray focusing telescope is the core equipment for space X-ray observation. In order to ensure the accuracy of the observation results, it is necessary to deflect the low-energy electrons entering the focusing telescope to effectively reduce the background noise. In this work, the electron deflector for enhanced X-ray timing and polarimetry mission (eXTP) focusing telescope is developed to meet the deflection requirements of low-energy electrons in the focusing telescope optical system, with the lightweight, ability to deflect electrons , and electromagnetic compatibility considered. The finite element analysis software COMSOL Multiphysics is used to establish the full physical simulation model of the electron deflector and focusing telescope mirrors. The magnetic flux density distribution, electron deflection trajectories and the effect of magnetic field on focusing telescope mirrors are analyzed, and the electromagnetic parameters of the electron deflector are designed. The simulation results show that the closer to the magnet and the center of electron deflector, the greater the magnetic flux density, and the maximum magnetic flux density in the middle of the two spokes can reach 0.027 T. When the radius is larger than 280 mm, the longitudinal distance is larger than 60 mm, the magnetic flux density is less than 5×10–5 T (0.5 Gs), i.e. the geomagnetic intensity, which meets the design requirements of electromagnetic compatibility performance. When the incidence angle is ≤10°, the electron deflection efficiency decreases with the increase of electron energy and incidence angle, and the deflection efficiency of electrons below 50 keV energy can reach 100%, which meets the design requirements of electron deflection. In addition, as the focusing telescope mirrors are away from the electron deflector, the area of mirrors affected by the magnetic field becomes smaller and smaller. When the distance between the mirror bottom and electron deflector is 130 mm, the magnetic flux density at the mirror bottom only reaches 10–4 T. Similarly, as the focusing telescope mirrors are away from the electron deflector, the stress at the mirror bottom decreases from 103 N/m2 at 10 mm to 10–2 N/m2 at 60 mm, and the deformation at mirror bottom decreases from ~nm at 10 mm to 10–4 nm at 60 mm. When the distance between the mirror bottom and electron deflector is 130 mm, the stress is only 10–3 N/m2, and the deformation is only 10–5 nm, indicating that the magnetic field does not affect the optical properties of the focusing telescope. The above simulation analyses show that the design parameters of NdFeB magnet structure of the electron deflector fully meet the requirements of the eXTP focusing telescope optical system for the deflection of low-energy electrons. And the deflection efficiency of electrons with 25 keV energy, incidence angle within ±5°, and deflection distance of 5250 mm is 100%. These results provide an important reference for developing electron deflector of eXTP focusing telescope.
X-ray focusing telescope is the core equipment for space X-ray observation. In order to ensure the accuracy of the observation results, it is necessary to deflect the low-energy electrons entering the focusing telescope to effectively reduce the background noise. In this work, the electron deflector for enhanced X-ray timing and polarimetry mission (eXTP) focusing telescope is developed to meet the deflection requirements of low-energy electrons in the focusing telescope optical system, with the lightweight, ability to deflect electrons , and electromagnetic compatibility considered. The finite element analysis software COMSOL Multiphysics is used to establish the full physical simulation model of the electron deflector and focusing telescope mirrors. The magnetic flux density distribution, electron deflection trajectories and the effect of magnetic field on focusing telescope mirrors are analyzed, and the electromagnetic parameters of the electron deflector are designed. The simulation results show that the closer to the magnet and the center of electron deflector, the greater the magnetic flux density, and the maximum magnetic flux density in the middle of the two spokes can reach 0.027 T. When the radius is larger than 280 mm, the longitudinal distance is larger than 60 mm, the magnetic flux density is less than 5×10–5 T (0.5 Gs), i.e. the geomagnetic intensity, which meets the design requirements of electromagnetic compatibility performance. When the incidence angle is ≤10°, the electron deflection efficiency decreases with the increase of electron energy and incidence angle, and the deflection efficiency of electrons below 50 keV energy can reach 100%, which meets the design requirements of electron deflection. In addition, as the focusing telescope mirrors are away from the electron deflector, the area of mirrors affected by the magnetic field becomes smaller and smaller. When the distance between the mirror bottom and electron deflector is 130 mm, the magnetic flux density at the mirror bottom only reaches 10–4 T. Similarly, as the focusing telescope mirrors are away from the electron deflector, the stress at the mirror bottom decreases from 103 N/m2 at 10 mm to 10–2 N/m2 at 60 mm, and the deformation at mirror bottom decreases from ~nm at 10 mm to 10–4 nm at 60 mm. When the distance between the mirror bottom and electron deflector is 130 mm, the stress is only 10–3 N/m2, and the deformation is only 10–5 nm, indicating that the magnetic field does not affect the optical properties of the focusing telescope. The above simulation analyses show that the design parameters of NdFeB magnet structure of the electron deflector fully meet the requirements of the eXTP focusing telescope optical system for the deflection of low-energy electrons. And the deflection efficiency of electrons with 25 keV energy, incidence angle within ±5°, and deflection distance of 5250 mm is 100%. These results provide an important reference for developing electron deflector of eXTP focusing telescope.
2025, 74(5): 052401.
doi: 10.7498/aps.74.20241273
Abstract:
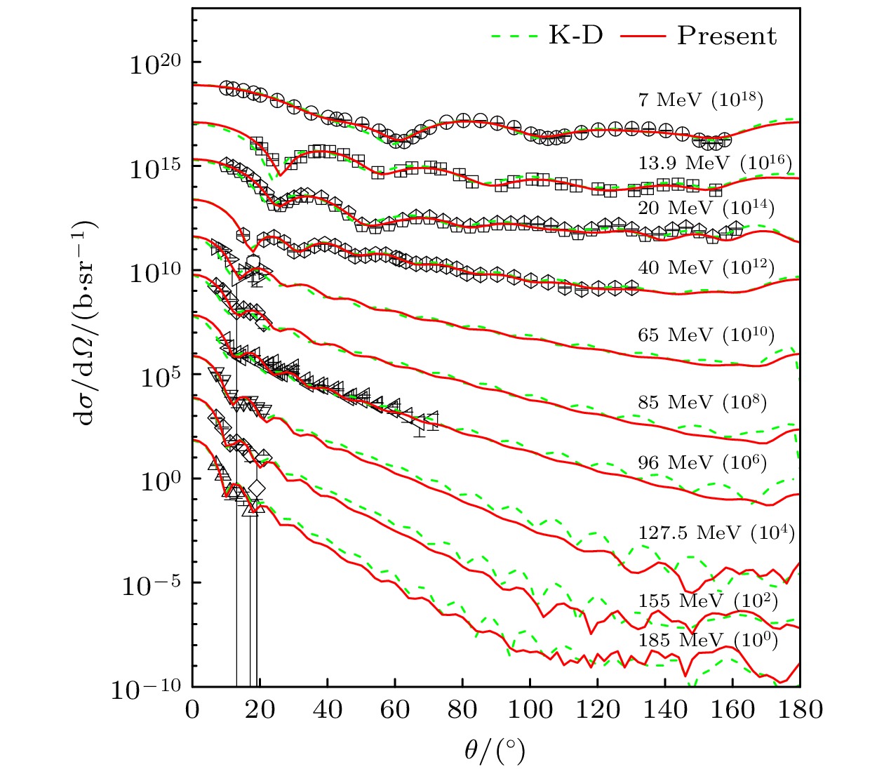
Lead is an important alloy material and nuclear fuel component. Lead-based eutectic alloys serve as important coolants and have been extensively utilized in the construction of lead-cooled fast reactor, such as the European lead-cooled System (ELSY) and the China lead-based Research reactor (CLEAR-I). These materials also play a significant role in research related to Generation-IV reactors. The study and calculation of lead nuclear data have important theoretical value and application prospects. 208Pb is the most stable and abundant isotope in lead nuclei, and high-quality description of 208Pb nuclear scattering data is important in achieving accurate theoretical calculations of nuclear reaction cross-sections in lead-based nuclear systems Based on the dispersive optical model, the nucleon scattering on 208Pb is described through the implementation of a dispersive optical potential in this work. The dispersive optical model potential is defined as energy-dependent real potential and imaginary potential. The dispersive contribution corresponding to the real potential is calculated analytically from the corresponding imaginary potential by using a dispersion relation, and the isospin dependence is reasonably considered by introducing an isovector component (i.e. Lane term) into the real part and the imaginary part of potential: the depth constant of the real Hartree-Fock potential\begin{document}$ V_{\rm{HF}}$\end{document} and the depth constant of surface imaginary potential \begin{document}$ W_{\rm{s}}$\end{document} . Unlike K-D potential, which requires two different sets of parameters to describe neutron and proton induced scattering data. This optical potential uses the same set of parameters to simultaneously describe nucleon-nucleus scattering data. The derived potential in this work shows a very good description of nucleon-nucleus scattering data on 208Pb with energies up to 200 MeV. The calculated neutron total cross sections, neutron and proton elastic scattering angular distributions, and neutron and proton elastic analyzing powers are shown to be in good agreement with experimental data. Additionally, the difference in potential between neutrons and protons induced is described by an isovector term, achieving the reasonable and good prediction of quasielastic (p, n) scattering data.
Lead is an important alloy material and nuclear fuel component. Lead-based eutectic alloys serve as important coolants and have been extensively utilized in the construction of lead-cooled fast reactor, such as the European lead-cooled System (ELSY) and the China lead-based Research reactor (CLEAR-I). These materials also play a significant role in research related to Generation-IV reactors. The study and calculation of lead nuclear data have important theoretical value and application prospects. 208Pb is the most stable and abundant isotope in lead nuclei, and high-quality description of 208Pb nuclear scattering data is important in achieving accurate theoretical calculations of nuclear reaction cross-sections in lead-based nuclear systems Based on the dispersive optical model, the nucleon scattering on 208Pb is described through the implementation of a dispersive optical potential in this work. The dispersive optical model potential is defined as energy-dependent real potential and imaginary potential. The dispersive contribution corresponding to the real potential is calculated analytically from the corresponding imaginary potential by using a dispersion relation, and the isospin dependence is reasonably considered by introducing an isovector component (i.e. Lane term) into the real part and the imaginary part of potential: the depth constant of the real Hartree-Fock potential
2025, 74(5): 052501.
doi: 10.7498/aps.74.20241640
Abstract:
We investigate the boundary effect of small-scale s quark matter and the self-similarity structure influence of strange hadrons in the hadron gas on quark-gluon plasma (QGP)-hadron phase transition. In this study, the multiple reflection expansion method is used to investigate the boundary effect of QGP droplets containing s quarks. The calculation reveals that under the influence of boundary effect, small-scale s quark matter exhibits that energy density, entropy density, and pressure are all lower. In the hadron phase, there exists a two-body self-similarity structure between K mesons and neighboring π mesons, subjected to collective flow, quantum correlations, and strong interactions. By using two-body fractal model to study the self-similarity structure of the K meson in meson and quark aspects, it is found that the self-similarity structure of the K meson exists in hadron phase, resluting in an increase in the energy density, entropy density, and pressure of the K meson. Furthermore, under the influence of self-similarity structure, the derived transverse momentum spectrum of K meson shows excellent agreement with experimental data (Fig. (a) ). This study predicts that in the HIAF energy region, the self-similarity structure factor of K meson \begin{document}$ q_{1} $\end{document} approaches 1.042. Additionaly, under the combined influence of boundary effects and self-similarity structure of K and π mesons, the phase transition temperature of s quark matter increases (Fig. (b) ). Morover, if the boundary of s quark matter is more curved, the increase of phase transition temperature becomes more pronounced compared to the effect of self-similarity structure alone.
We investigate the boundary effect of small-scale s quark matter and the self-similarity structure influence of strange hadrons in the hadron gas on quark-gluon plasma (QGP)-hadron phase transition. In this study, the multiple reflection expansion method is used to investigate the boundary effect of QGP droplets containing s quarks. The calculation reveals that under the influence of boundary effect, small-scale s quark matter exhibits that energy density, entropy density, and pressure are all lower. In the hadron phase, there exists a two-body self-similarity structure between K mesons and neighboring π mesons, subjected to collective flow, quantum correlations, and strong interactions. By using two-body fractal model to study the self-similarity structure of the K meson in meson and quark aspects, it is found that the self-similarity structure of the K meson exists in hadron phase, resluting in an increase in the energy density, entropy density, and pressure of the K meson. Furthermore, under the influence of self-similarity structure, the derived transverse momentum spectrum of K meson shows excellent agreement with experimental data (
2025, 74(5): 053101.
doi: 10.7498/aps.74.20241522
Abstract:
Au/CeO2(111), as an important catalyst system, has demonstrated excellent catalytic performances in a variety of fields such as the catalytic oxidation and the water-gas shift reactions. In order to reveal in depth the Au/CeO2(111) catalytic mechanism, especially to understand the interaction of the active components on an atomic scale, in this work, the adsorption properties on the Au/CeO2(111) surface are investigated by calculating the adsorption energy, differential charge density, Bader charge, and the density of states by using density functional theory (DFT+U). First, five adsorption sites of Au/CeO2(111) are identified in the planar region of CeO2(111), and the most stable adsorption configuration is found to be located at the bridging position between surface oxygen atoms (the oxygen-oxygen bridging site), which suggests that Au interacts more closely with the oxygen-oxygen bridging sites. Further, the differential charge density and Bader charge reveal the charge transfer mechanism in the adsorption process. Specifically, the Au atoms are oxidized into Au+, while the Ce4+ ions in the second nearest neighbor of Au are reduced to Ce3+, and the adsorption process is accompanied by a charge transfer phenomenon. Au also exhibits a unique adsorption behavior in the CeO2(111) step-edge region, where a highly under-allocated environment is formed due to the decrease in the coordination number of atoms in the step edge, which enhances the adsorption of Au in a highly under-allocated environment. The adsorption of Au at the step edge is enhanced by the lower coordinated environment due to the reduced coordination number of the atoms at the step edge. By comparing four different types of step structures (Type I, Type II, Type II*, and Type III), it is found that the higher adsorption energy of Au at Type II* site and that at Type III site are both mainly due to the lower coordinated state of Ce atoms at these sites. Charge transfer is also particularly pronounced at the Type III sites. It is also accompanied by electron transferring from Au to Ce4+ ions, making Type III the preferred adsorption site for Au atoms. By constructing a more comprehensive Au/CeO2 model, this study breaks through the previous limitation of focusing only on planar adsorption and reveals the adsorption mechanism of Au/CeO2 at the edge of the step, which provides a new perspective for understanding in depth the catalytic mechanism of Au/CeO2(111).
Au/CeO2(111), as an important catalyst system, has demonstrated excellent catalytic performances in a variety of fields such as the catalytic oxidation and the water-gas shift reactions. In order to reveal in depth the Au/CeO2(111) catalytic mechanism, especially to understand the interaction of the active components on an atomic scale, in this work, the adsorption properties on the Au/CeO2(111) surface are investigated by calculating the adsorption energy, differential charge density, Bader charge, and the density of states by using density functional theory (DFT+U). First, five adsorption sites of Au/CeO2(111) are identified in the planar region of CeO2(111), and the most stable adsorption configuration is found to be located at the bridging position between surface oxygen atoms (the oxygen-oxygen bridging site), which suggests that Au interacts more closely with the oxygen-oxygen bridging sites. Further, the differential charge density and Bader charge reveal the charge transfer mechanism in the adsorption process. Specifically, the Au atoms are oxidized into Au+, while the Ce4+ ions in the second nearest neighbor of Au are reduced to Ce3+, and the adsorption process is accompanied by a charge transfer phenomenon. Au also exhibits a unique adsorption behavior in the CeO2(111) step-edge region, where a highly under-allocated environment is formed due to the decrease in the coordination number of atoms in the step edge, which enhances the adsorption of Au in a highly under-allocated environment. The adsorption of Au at the step edge is enhanced by the lower coordinated environment due to the reduced coordination number of the atoms at the step edge. By comparing four different types of step structures (Type I, Type II, Type II*, and Type III), it is found that the higher adsorption energy of Au at Type II* site and that at Type III site are both mainly due to the lower coordinated state of Ce atoms at these sites. Charge transfer is also particularly pronounced at the Type III sites. It is also accompanied by electron transferring from Au to Ce4+ ions, making Type III the preferred adsorption site for Au atoms. By constructing a more comprehensive Au/CeO2 model, this study breaks through the previous limitation of focusing only on planar adsorption and reveals the adsorption mechanism of Au/CeO2 at the edge of the step, which provides a new perspective for understanding in depth the catalytic mechanism of Au/CeO2(111).
2025, 74(5): 054201.
doi: 10.7498/aps.74.20241443
Abstract:
This work investigates the combination of two partially overlapping oscillating fields, aiming to analyze the effect of the separation distance between the fields on the production of electron-positron pairs in a vacuum. The process is simulated using computational quantum field theory (CQFT) method and the split-operator technique, which is based on the spacetime-dependent Dirac equation. The main focus is to analyze the influence of separation distance and frequency combination on the pairwise production rate and energy spectrum.The research results show that partially overlapping sub-critical oscillating fields can still effectively generate electron-positron pairs at small separation distances. The variation in separation distance along the overlapping direction significantly affects the pairwise production rate. For two oscillating fields with a fixed sum of frequencies, the separation distance has a notable effect on the pairwise production rate, with different frequency combinations exhibiting varying degrees of dependency.Further analysis of the energy spectrum reveals that the number and positions of spectral peaks are differently affected by the separation distance. Models with smaller frequency differences exhibit more concentrated energy distributions, generally presenting a single-peak structure. In contrast, models with larger frequency differences show more dispersed energy distributions, typically presenting a dual-peak structure. As the separation distance increases, the energy spectrum structure varies with different frequency combinations, especially for larger separation distances. In the case of larger frequency difference, the high-energy peak declines rapidly with separation distance increasing, leading to a lower proportion of high-energy electrons, while in the case of smaller frequency difference the change is relatively small. This phenomenon is further analyzed using energy transition probability distribution diagrams of particles.By analyzing the probability distribution diagrams of particle energy transitions, we obtain a preliminary understanding of the differences in various frequency combinations with respect to separation distance, and explain the changes in energy spectrum structure from the perspective of multiphoton transitions. Additionally, a more detailed analysis of these diagrams based on the law of conservation of energy, enables us to extract particle production trends corresponding to various multiphoton transition effects. It is found that for the same frequency combination, the trends of second- and third-order effects with varying separation distances are different, with higher-order effects decaying more rapidly.By analyzing the variation of probability of multiphoton transitions in a combined field with separation distance, as well as the variation of the probability of multiphoton transitions in a single field, we conclude that when the separation distance is small, the combined fields with larger frequency differences have advantages in the generation of electron-positron pair. However, when the separation distance is large, the combined fields with smaller frequency differences begin to play an important role and exhibit better stability, owing to their inherent multiphoton effects. For different cases under the combined influence of two fields, we conduct a more in-depth analysis of the differences between different orders within the same frequency combination and between the same order transitions under different frequency combinations. By proposing hypotheses and conducting computational verification, it is found that under the same conditions, the trend of normalized overlapping photon numbers changing with separation distances is consistent with the trend of corresponding particle production numbers, providing a more convenient method for testing the trend of particle production under separation distance.This study not only enriches our understanding of the generation of vacuum electron-positron pairs in strong fields, but also provides theoretical guidance and reference for designing experimental devices for generating pairs.
This work investigates the combination of two partially overlapping oscillating fields, aiming to analyze the effect of the separation distance between the fields on the production of electron-positron pairs in a vacuum. The process is simulated using computational quantum field theory (CQFT) method and the split-operator technique, which is based on the spacetime-dependent Dirac equation. The main focus is to analyze the influence of separation distance and frequency combination on the pairwise production rate and energy spectrum.The research results show that partially overlapping sub-critical oscillating fields can still effectively generate electron-positron pairs at small separation distances. The variation in separation distance along the overlapping direction significantly affects the pairwise production rate. For two oscillating fields with a fixed sum of frequencies, the separation distance has a notable effect on the pairwise production rate, with different frequency combinations exhibiting varying degrees of dependency.Further analysis of the energy spectrum reveals that the number and positions of spectral peaks are differently affected by the separation distance. Models with smaller frequency differences exhibit more concentrated energy distributions, generally presenting a single-peak structure. In contrast, models with larger frequency differences show more dispersed energy distributions, typically presenting a dual-peak structure. As the separation distance increases, the energy spectrum structure varies with different frequency combinations, especially for larger separation distances. In the case of larger frequency difference, the high-energy peak declines rapidly with separation distance increasing, leading to a lower proportion of high-energy electrons, while in the case of smaller frequency difference the change is relatively small. This phenomenon is further analyzed using energy transition probability distribution diagrams of particles.By analyzing the probability distribution diagrams of particle energy transitions, we obtain a preliminary understanding of the differences in various frequency combinations with respect to separation distance, and explain the changes in energy spectrum structure from the perspective of multiphoton transitions. Additionally, a more detailed analysis of these diagrams based on the law of conservation of energy, enables us to extract particle production trends corresponding to various multiphoton transition effects. It is found that for the same frequency combination, the trends of second- and third-order effects with varying separation distances are different, with higher-order effects decaying more rapidly.By analyzing the variation of probability of multiphoton transitions in a combined field with separation distance, as well as the variation of the probability of multiphoton transitions in a single field, we conclude that when the separation distance is small, the combined fields with larger frequency differences have advantages in the generation of electron-positron pair. However, when the separation distance is large, the combined fields with smaller frequency differences begin to play an important role and exhibit better stability, owing to their inherent multiphoton effects. For different cases under the combined influence of two fields, we conduct a more in-depth analysis of the differences between different orders within the same frequency combination and between the same order transitions under different frequency combinations. By proposing hypotheses and conducting computational verification, it is found that under the same conditions, the trend of normalized overlapping photon numbers changing with separation distances is consistent with the trend of corresponding particle production numbers, providing a more convenient method for testing the trend of particle production under separation distance.This study not only enriches our understanding of the generation of vacuum electron-positron pairs in strong fields, but also provides theoretical guidance and reference for designing experimental devices for generating pairs.
2025, 74(5): 054202.
doi: 10.7498/aps.74.20241664
Abstract:
Quantum entanglement is a key resource for performing quantum computing and building quantum communication networks. By injecting a microwave-optical dual-mode entanglement field into the system, as well as pumping the optical and microwave cavities, and by appropriately choosing the detuning relationship between the pumping field and the modes, it is shown in this work that microwave-phonon entanglement Eab and magnon-optics entanglement Ecm can be generated simultaneously in the cavity opto-magnomechanic system, and the entanglement can be in a steady state. Specifically, the model is based on a hybrid quantum system of magnons, where a microwave-light entanglement generated by an optically pulsed superconducting electro-optical device through spontaneous parametric down-conversion process is injected as the intracavity field, and a blue-detuned microwave field is used to excite the magnon modes to produce magnon-phonon entanglement. Through the interaction between an optomechanical beam splitter and microwave-magnon state-swap, steady microwave-phonon entanglement Eab and magnon-optics entanglement Ecm are successfully realized. The entanglement Eab and Ecm in the system are analyzed using the logarithmic negativity. The effects of several parameters of the system, such as environment temperature, coupling strength and dissipation rate, on the degree of entanglement are investigated. In particular, the entanglement Eab and Ecm generated in this system can exist both simultaneously and individually. Especially when gam = 0, the entanglement Eab and Ecm still exist. Moreover, directly injecting entangled microwave-light into the system can significantly enhance the robustness of the entanglement against temperature, which will have broad application prospects in quantum information processing in quantum networks and hybrid quantum systems. Notably, the entanglement Eab and Ecm exist even at a temperature of 1.3 K. Our research has potential value for applications in the fields of quantum information processing and quantum networks.
Quantum entanglement is a key resource for performing quantum computing and building quantum communication networks. By injecting a microwave-optical dual-mode entanglement field into the system, as well as pumping the optical and microwave cavities, and by appropriately choosing the detuning relationship between the pumping field and the modes, it is shown in this work that microwave-phonon entanglement Eab and magnon-optics entanglement Ecm can be generated simultaneously in the cavity opto-magnomechanic system, and the entanglement can be in a steady state. Specifically, the model is based on a hybrid quantum system of magnons, where a microwave-light entanglement generated by an optically pulsed superconducting electro-optical device through spontaneous parametric down-conversion process is injected as the intracavity field, and a blue-detuned microwave field is used to excite the magnon modes to produce magnon-phonon entanglement. Through the interaction between an optomechanical beam splitter and microwave-magnon state-swap, steady microwave-phonon entanglement Eab and magnon-optics entanglement Ecm are successfully realized. The entanglement Eab and Ecm in the system are analyzed using the logarithmic negativity. The effects of several parameters of the system, such as environment temperature, coupling strength and dissipation rate, on the degree of entanglement are investigated. In particular, the entanglement Eab and Ecm generated in this system can exist both simultaneously and individually. Especially when gam = 0, the entanglement Eab and Ecm still exist. Moreover, directly injecting entangled microwave-light into the system can significantly enhance the robustness of the entanglement against temperature, which will have broad application prospects in quantum information processing in quantum networks and hybrid quantum systems. Notably, the entanglement Eab and Ecm exist even at a temperature of 1.3 K. Our research has potential value for applications in the fields of quantum information processing and quantum networks.
2025, 74(5): 054203.
doi: 10.7498/aps.74.20241659
Abstract:
Nanolaser (NL), as an important optical source device, has a significant influence on photonic integrated circuits and has become a research hotspot in recent years. In this work, the synchronization performance of a dual-channel laser chaotic multiplexing system is investigated based on NLs and an active-passive decomposition is used to enhance signal processing and multiplexing efficiency. By establishing a rate equation model, the synchronization characteristics of the system are analyzed, with a focus on two key parameters— Purcell factor (F ) and spontaneous emission coupling factor (β )—as well as the effects of system parameters, single-parameter mismatch, and multi-parameter mismatch. Numerical simulations show that with appropriate parameter configurations, the two master NLs can maintain low correlation, ensuring the "pseudo-orthogonality" of chaotic signals while achieving high-quality chaotic synchronization with their paired slave NLs. In this work it is found that both the Purcell factor (F ) and the spontaneous emission coupling factor (β ) significantly affect the synchronization performance of the system, and the optimal parameter ranges for achieving high-quality synchronization are identified. Additionally, the effects of feedback strength and frequency detuning are explored, revealing that frequency detuning plays a more critical role in the synchronization between the master NLs. The influence of parameter mismatches on system synchronization performance is also emphasized. The system exhibits robustness against single-parameter mismatch and has minimum influence on master-slave synchronization quality. However, multi-parameter mismatch gives rise to more complex effects. Compared with the traditional semiconductor laser systems, this system can maintain “pseudo-orthogonality” over a wider range of parameters, thus achieving higher security and lower channel interference. This research lays a theoretical foundation for chaos synchronization based on NLs and provides new insights for designing secure, stable, and efficient optical communication systems.
Nanolaser (NL), as an important optical source device, has a significant influence on photonic integrated circuits and has become a research hotspot in recent years. In this work, the synchronization performance of a dual-channel laser chaotic multiplexing system is investigated based on NLs and an active-passive decomposition is used to enhance signal processing and multiplexing efficiency. By establishing a rate equation model, the synchronization characteristics of the system are analyzed, with a focus on two key parameters— Purcell factor (F ) and spontaneous emission coupling factor (β )—as well as the effects of system parameters, single-parameter mismatch, and multi-parameter mismatch. Numerical simulations show that with appropriate parameter configurations, the two master NLs can maintain low correlation, ensuring the "pseudo-orthogonality" of chaotic signals while achieving high-quality chaotic synchronization with their paired slave NLs. In this work it is found that both the Purcell factor (F ) and the spontaneous emission coupling factor (β ) significantly affect the synchronization performance of the system, and the optimal parameter ranges for achieving high-quality synchronization are identified. Additionally, the effects of feedback strength and frequency detuning are explored, revealing that frequency detuning plays a more critical role in the synchronization between the master NLs. The influence of parameter mismatches on system synchronization performance is also emphasized. The system exhibits robustness against single-parameter mismatch and has minimum influence on master-slave synchronization quality. However, multi-parameter mismatch gives rise to more complex effects. Compared with the traditional semiconductor laser systems, this system can maintain “pseudo-orthogonality” over a wider range of parameters, thus achieving higher security and lower channel interference. This research lays a theoretical foundation for chaos synchronization based on NLs and provides new insights for designing secure, stable, and efficient optical communication systems.
2025, 74(5): 054204.
doi: 10.7498/aps.74.20241174
Abstract:
In order to solve the problem that the measurement arm length needs to be obtained in real time when calculating the measurement angle in the process of Tolansky interference small angle measurement, a dual-arm Tolansky interference autocollimation angle measurement scheme is proposed, which not only maintains the function of Tolansky interference, but also integrates the principle of optical leverage. In the simulation study, it is found that the splitter with thickness in the scheme will lead to the lateral offset of the optical axis of the emitted light, which will change the position of the virtual point light source, and finally change the position of the center of the interference circle on the detector. In this work, in order to reduce the influence of the thickness of the beam splitter on the angle measurement accuracy of the angle measurement scheme, the optical path structure of the angle measurement scheme is redrawn, and the relationship between the center offset of the interference ring and the deflection angle, which contains the thickness factor and can accurately describe the optical path, is deduced. Therefore, the corresponding method is adopted as follows. Firstly, the measurement optical path of the splitter with a thickness factor is redrawn, the splitter is partially enlarged, and the original beam is replaced with the center line of the laser beam to draw the optical path. Then, the position of the virtual point light source under the influence of the thickness of the splitter is analyzed by using the single refraction spherical formula and the transition formula of geometric optics, and the relationship between the offset of the interference center and the deflection angle with the thickness of the splitter is established. Secondly, the coordinate information of the center of the interference ring under different thickness parameters of the splitter is obtained by using the virtual simulation experiment, which proves the correctness of the theoretical analysis. Then, simulation experiments such as simulation measurement of multiple sets of setting angles and angle measurement under different splitter thickness conditions are carried out, and the accuracy of the relationship including the splitter thickness factor deduced above is cross-validated. Finally, combined with the actual experiment, measurements are taken on the guide rail and calibrated autocollimator, and the influence of beam splitter thickness on angle measurement accuracy is investigated in detail. The research results are obtained below. Experiments show that the thickness of the splitter will affect the position of the initial center of the circle; with the increase of the thickness of the splitter, the error between the simulation measurement results and the relationship including the thickness factor is within ± 0.5 % at different angles, and the experimental data and theoretical results are in good agreement. At the same angle, as the thickness of the beam splitter increases, the difference between the established relationship and the approximate relationship gradually increases. With 1-mm-thick beam splitter, the relative error between the established relationship and the calculated value of the approximate relationship is only 0.22 % based on the data of the guide rail measured by the calibrated autocollimator. From these results, a conclusion can be drawn below. The utilizing a thinner spectroscope can effectively reduce the calculation and measurement errors, providing an important guidance for carrying out the in-depth research and development of this new autocollimator.
In order to solve the problem that the measurement arm length needs to be obtained in real time when calculating the measurement angle in the process of Tolansky interference small angle measurement, a dual-arm Tolansky interference autocollimation angle measurement scheme is proposed, which not only maintains the function of Tolansky interference, but also integrates the principle of optical leverage. In the simulation study, it is found that the splitter with thickness in the scheme will lead to the lateral offset of the optical axis of the emitted light, which will change the position of the virtual point light source, and finally change the position of the center of the interference circle on the detector. In this work, in order to reduce the influence of the thickness of the beam splitter on the angle measurement accuracy of the angle measurement scheme, the optical path structure of the angle measurement scheme is redrawn, and the relationship between the center offset of the interference ring and the deflection angle, which contains the thickness factor and can accurately describe the optical path, is deduced. Therefore, the corresponding method is adopted as follows. Firstly, the measurement optical path of the splitter with a thickness factor is redrawn, the splitter is partially enlarged, and the original beam is replaced with the center line of the laser beam to draw the optical path. Then, the position of the virtual point light source under the influence of the thickness of the splitter is analyzed by using the single refraction spherical formula and the transition formula of geometric optics, and the relationship between the offset of the interference center and the deflection angle with the thickness of the splitter is established. Secondly, the coordinate information of the center of the interference ring under different thickness parameters of the splitter is obtained by using the virtual simulation experiment, which proves the correctness of the theoretical analysis. Then, simulation experiments such as simulation measurement of multiple sets of setting angles and angle measurement under different splitter thickness conditions are carried out, and the accuracy of the relationship including the splitter thickness factor deduced above is cross-validated. Finally, combined with the actual experiment, measurements are taken on the guide rail and calibrated autocollimator, and the influence of beam splitter thickness on angle measurement accuracy is investigated in detail. The research results are obtained below. Experiments show that the thickness of the splitter will affect the position of the initial center of the circle; with the increase of the thickness of the splitter, the error between the simulation measurement results and the relationship including the thickness factor is within ± 0.5 % at different angles, and the experimental data and theoretical results are in good agreement. At the same angle, as the thickness of the beam splitter increases, the difference between the established relationship and the approximate relationship gradually increases. With 1-mm-thick beam splitter, the relative error between the established relationship and the calculated value of the approximate relationship is only 0.22 % based on the data of the guide rail measured by the calibrated autocollimator. From these results, a conclusion can be drawn below. The utilizing a thinner spectroscope can effectively reduce the calculation and measurement errors, providing an important guidance for carrying out the in-depth research and development of this new autocollimator.
2025, 74(5): 054301.
doi: 10.7498/aps.74.20241286
Abstract:
Acoustic skyrmion modes are topological texture structures of velocity field vectors generated on the surface of acoustic structures. This protected vector distribution provides new opportunities for processing sound information, transmission, and data storage. In this study, a combined structure of waveguides and spiral structures is designed by using directional acoustic sources to excite waveguide mode transmission, thereby achieving selective excitation of localized acoustic skyrmion modes. Through theoretical analysis and numerical simulations, the pressure field distribution and velocity field distribution excited by spin acoustic sources, Huygens acoustic sources, and Janus acoustic sources in this structure are investigated, demonstrating the directional transmission properties of acoustic surface waves and the selectively excited acoustic skyrmion modes in the combined structure. Numerical calculations reveal that when the spin acoustic source excites acoustic surface waves propagating along the waveguide, the acoustic skyrmion modes in the helical structure in the direction corresponding to the propagation are selectively excited. When the Huygens source excites acoustic surface waves propagating along the waveguide, the acoustic skyrmion modes in the right or left direction are selectively excited. However, when the Janus source excites acoustic surface waves propagating along the waveguide, the acoustic skyrmion modes in the upward or downward direction are selectively excited. This selective excitation of acoustic skyrmion modes by a directional acoustic source provides a new way to design advanced acoustic information processing functional devices.
Acoustic skyrmion modes are topological texture structures of velocity field vectors generated on the surface of acoustic structures. This protected vector distribution provides new opportunities for processing sound information, transmission, and data storage. In this study, a combined structure of waveguides and spiral structures is designed by using directional acoustic sources to excite waveguide mode transmission, thereby achieving selective excitation of localized acoustic skyrmion modes. Through theoretical analysis and numerical simulations, the pressure field distribution and velocity field distribution excited by spin acoustic sources, Huygens acoustic sources, and Janus acoustic sources in this structure are investigated, demonstrating the directional transmission properties of acoustic surface waves and the selectively excited acoustic skyrmion modes in the combined structure. Numerical calculations reveal that when the spin acoustic source excites acoustic surface waves propagating along the waveguide, the acoustic skyrmion modes in the helical structure in the direction corresponding to the propagation are selectively excited. When the Huygens source excites acoustic surface waves propagating along the waveguide, the acoustic skyrmion modes in the right or left direction are selectively excited. However, when the Janus source excites acoustic surface waves propagating along the waveguide, the acoustic skyrmion modes in the upward or downward direction are selectively excited. This selective excitation of acoustic skyrmion modes by a directional acoustic source provides a new way to design advanced acoustic information processing functional devices.
2025, 74(5): 054701.
doi: 10.7498/aps.74.20241678
Abstract:
In this paper, a three-dimensional numerical simulation of the motion behavior of bubbles in complex porous medium channels in a large density ratio gas-liquid system is conducted based on the lattice Boltzmann method. The Eötvös number (Eo), contact angle (θ) and Reynolds number (Re) are systematically discussed with emphasis on the law of their coupling effect affecting bubble velocity, morphological evolution and stagnation phenomenon. The results show that the increase of contact angle will reduce the bubble velocity but intensify the velocity fluctuations, making the bubbles tend flat, while the increase of Eo number significantly suppresses the influence of the contact angle, stabilizes the bubble velocity, and makes its shape close to a bullet head shape. When the contact angle is large (θ > 90°) and the Eo number is small (Eo < 10), the adhesion force is significantly enhanced and the bubbles will stagnate inside the porous medium. Re number and contact angle compete in the generation of resistance, and have mutually reinforcing effects on the average velocity of bubbles and interface evolution. The larger contact angle makes the deformation of the bubble tail intensify and becomes unstable, and as the Re number further increases, the tail tentacles are more likely to break, forming residual bubbles. It is also found in this work that the coupling between Eo number and Re number significantly affects bubble behavior in motion and morphological evolution. Under the conditions of high Eo number (Eo ≥ 25) and high Re number (Re ≥14), the bubble velocity increases with the Eo number rising, and the trend becomes more significant as the Re number increases; while under the conditions of low Eo number (Eo < 25) and low Re number (Re < 14), the speed change pattern is completely opposite. This phenomenon is due to the high instability of bubble morphology under the conditions of high Eo number and high Re number, which affects the buoyancy and speed performance. The research results provide important guidance for optimizing the flow behavior of bubbles in porous medium.
In this paper, a three-dimensional numerical simulation of the motion behavior of bubbles in complex porous medium channels in a large density ratio gas-liquid system is conducted based on the lattice Boltzmann method. The Eötvös number (Eo), contact angle (θ) and Reynolds number (Re) are systematically discussed with emphasis on the law of their coupling effect affecting bubble velocity, morphological evolution and stagnation phenomenon. The results show that the increase of contact angle will reduce the bubble velocity but intensify the velocity fluctuations, making the bubbles tend flat, while the increase of Eo number significantly suppresses the influence of the contact angle, stabilizes the bubble velocity, and makes its shape close to a bullet head shape. When the contact angle is large (θ > 90°) and the Eo number is small (Eo < 10), the adhesion force is significantly enhanced and the bubbles will stagnate inside the porous medium. Re number and contact angle compete in the generation of resistance, and have mutually reinforcing effects on the average velocity of bubbles and interface evolution. The larger contact angle makes the deformation of the bubble tail intensify and becomes unstable, and as the Re number further increases, the tail tentacles are more likely to break, forming residual bubbles. It is also found in this work that the coupling between Eo number and Re number significantly affects bubble behavior in motion and morphological evolution. Under the conditions of high Eo number (Eo ≥ 25) and high Re number (Re ≥14), the bubble velocity increases with the Eo number rising, and the trend becomes more significant as the Re number increases; while under the conditions of low Eo number (Eo < 25) and low Re number (Re < 14), the speed change pattern is completely opposite. This phenomenon is due to the high instability of bubble morphology under the conditions of high Eo number and high Re number, which affects the buoyancy and speed performance. The research results provide important guidance for optimizing the flow behavior of bubbles in porous medium.
2025, 74(5): 055201.
doi: 10.7498/aps.74.20241586
Abstract:
To further explore the mechanism of self-pulsing discharge, a sandwiched microcavity cathode is used to study this phenomenon in argon. With the increases of discharge current, the discharge undergoes Townsend discharge, self-pulsing discharge and normal glow discharge. A complete self-pulsing discharge consists of the rising edge, the falling edge of the discharge current, and the waiting period of the discharge. The spatiotemporal dynamic characteristic of self-pulsing discharge is simulated by using a fluid model. The simulated results indicate that when the self-pulsing discharge current reaches its minimum value, the discharge is confined inside the cathode cavity. The electric field, electron density and electron generate rate are low, resulting in a Townsend discharge mode. As the discharge current increases, the discharge inside the cavity is strengthened, and the discharge gradually extends from the inside of the cavity to the outside. When the current reaches its maximum value, there exists a strong discharge outside the cavity, and an obvious cathode sheath is formed near the outer surface of the cathode, resulting in a high electron generate rate outside the cavity. When the discharge current decreases, the discharge shrinks from the outside to the inside of the cavity, and finally returns to the Townsend discharge mode. The simulated results also indicate that the ionization source varies depending on the stage of self-pulsing discharge, specifically, direct ionization is dominant when the current is high, and Penning ionization plays a major role in the pulse waiting period when the current reaches its minimum value. The experimental and simulation results indicate that the self-pulsing discharge in a micro-cavity cathode is essentially a process of mode transition between the Townsend discharge mode where the discharge is confined within the cavity and the normal glow discharge mode where the discharge region extends to the outside of the hole.
To further explore the mechanism of self-pulsing discharge, a sandwiched microcavity cathode is used to study this phenomenon in argon. With the increases of discharge current, the discharge undergoes Townsend discharge, self-pulsing discharge and normal glow discharge. A complete self-pulsing discharge consists of the rising edge, the falling edge of the discharge current, and the waiting period of the discharge. The spatiotemporal dynamic characteristic of self-pulsing discharge is simulated by using a fluid model. The simulated results indicate that when the self-pulsing discharge current reaches its minimum value, the discharge is confined inside the cathode cavity. The electric field, electron density and electron generate rate are low, resulting in a Townsend discharge mode. As the discharge current increases, the discharge inside the cavity is strengthened, and the discharge gradually extends from the inside of the cavity to the outside. When the current reaches its maximum value, there exists a strong discharge outside the cavity, and an obvious cathode sheath is formed near the outer surface of the cathode, resulting in a high electron generate rate outside the cavity. When the discharge current decreases, the discharge shrinks from the outside to the inside of the cavity, and finally returns to the Townsend discharge mode. The simulated results also indicate that the ionization source varies depending on the stage of self-pulsing discharge, specifically, direct ionization is dominant when the current is high, and Penning ionization plays a major role in the pulse waiting period when the current reaches its minimum value. The experimental and simulation results indicate that the self-pulsing discharge in a micro-cavity cathode is essentially a process of mode transition between the Townsend discharge mode where the discharge is confined within the cavity and the normal glow discharge mode where the discharge region extends to the outside of the hole.
2025, 74(5): 055202.
doi: 10.7498/aps.74.20241263
Abstract:
The plasma flow generated by turbulent nonlinear interaction can improve plasma confinement by suppressing turbulence and its driven transport. Turbulence can be driven by local gradients and propagate radially from far beyond its relevant length. Effects of electron cyclotron resonance heating (ECRH) modulation on edge turbulence driving and spreading are observed for the first time in the edge plasma of the HL-2A tokamak. These experiments are performed by a fast reciprocating Langmuir probe array. When ECRH modulation is applied, both the edge temperature and the edge plasma density are higher, and the radial electric field is stronger. The edge radial electric field, turbulence, and Reynolds stresses are all enhanced when the ECRH is applied, while the ion-ion collision rate is reduced. Figures (a)-(g) show the conditional averages of the ECRH power, turbulence intensity, turbulent Reynolds stress gradient,\begin{document}$ {\boldsymbol{E}}_{r}\times \boldsymbol{B} $\end{document} poloidal velocity, density gradient, turbulence drive rate and turbulence spreading rate, respectively. With ECRH applied, both the turbulence intensity and the Reynolds stress gradients increase. The maximum turbulence intensity appears at the beginning of the ECRH switch-off while the maximum stress gradient occurs at the end of the ECRH. The evolution of the \begin{document}$ {\boldsymbol{E}}_{r}\times \boldsymbol{B} $\end{document} poloidal velocity is very similar to that of the Reynolds stress gradient. This observation suggests that the poloidal flow is the result of the combined effect of turbulence nonlinear driving and damping. The enhancement of Reynolds stress during ECRH modulation mainly depends on the increase of the turbulence intensity, with the increase in radial velocity fluctuation intensity being more significant. The turbulence drive and spreading rates also increase with ECRH. The maximum drive rate appears at the beginning of the ECRH switch-off, while the maximum spreading rate occurs at the end of the ECRH. This analysis indicates that turbulence driving and spreading are enhanced, with the former being dominant. This result suggests that the enhancements of turbulence driving and spreading lead the turbulence and Reynolds stress to increase, and thus producing the stronger edge flows.
The plasma flow generated by turbulent nonlinear interaction can improve plasma confinement by suppressing turbulence and its driven transport. Turbulence can be driven by local gradients and propagate radially from far beyond its relevant length. Effects of electron cyclotron resonance heating (ECRH) modulation on edge turbulence driving and spreading are observed for the first time in the edge plasma of the HL-2A tokamak. These experiments are performed by a fast reciprocating Langmuir probe array. When ECRH modulation is applied, both the edge temperature and the edge plasma density are higher, and the radial electric field is stronger. The edge radial electric field, turbulence, and Reynolds stresses are all enhanced when the ECRH is applied, while the ion-ion collision rate is reduced. Figures (a)-(g) show the conditional averages of the ECRH power, turbulence intensity, turbulent Reynolds stress gradient,
2025, 74(5): 055203.
doi: 10.7498/aps.74.20241606
Abstract:
In stellarators, error fields arise from the inevitable deviations in the fabrication and assembly of complex coil systems. The magnetic configurations of stellarators are predominantly generated by external coils and are highly sensitive to these error fields. Therefore, assessing the impact of coil deformations on stellarator magnetic topology is important. The purpose of this study is to explore the influence of error fields, caused by modular coil (MC) perturbations, on the magnetic topology of the Chinese First Quasi-axisymmetric Stellarator (CFQS). In this work, by changing the Fourier coefficients that represent the current-carrying surface (CCS) and the coil, two types of deformation coils, i.e. “in-surface” and “out-of-surface” disturbance on each MC can be obtained. Subsequently, three kinds of magnetic islands (ι = 2/4, 2/5 and 2/6) are used to identify coil deviations that have a significant influence on the CFQS magnetic configuration. Several important results are obtained as follows. i) The same deformation of a coil gives rise to various resonant error fields with different amplitudes. ii) The sensitivity of a resonant error field to the deformation of each coil is different. The in-surface disturbance of the most complex coil may not have a significant influence on the magnetic topology structure. iii) The sensitivity of the resonant error field to out-of-surface disturbance in the coil is higher than that to in-surface disturbance.
In stellarators, error fields arise from the inevitable deviations in the fabrication and assembly of complex coil systems. The magnetic configurations of stellarators are predominantly generated by external coils and are highly sensitive to these error fields. Therefore, assessing the impact of coil deformations on stellarator magnetic topology is important. The purpose of this study is to explore the influence of error fields, caused by modular coil (MC) perturbations, on the magnetic topology of the Chinese First Quasi-axisymmetric Stellarator (CFQS). In this work, by changing the Fourier coefficients that represent the current-carrying surface (CCS) and the coil, two types of deformation coils, i.e. “in-surface” and “out-of-surface” disturbance on each MC can be obtained. Subsequently, three kinds of magnetic islands (ι = 2/4, 2/5 and 2/6) are used to identify coil deviations that have a significant influence on the CFQS magnetic configuration. Several important results are obtained as follows. i) The same deformation of a coil gives rise to various resonant error fields with different amplitudes. ii) The sensitivity of a resonant error field to the deformation of each coil is different. The in-surface disturbance of the most complex coil may not have a significant influence on the magnetic topology structure. iii) The sensitivity of the resonant error field to out-of-surface disturbance in the coil is higher than that to in-surface disturbance.
2025, 74(5): 055204.
doi: 10.7498/aps.74.20241637
Abstract:
Underwater streamer discharges have various potential applications in the fields of wastewater treatment, crop seed processing, etc. The underwater streamer discharge types have an important effect on the practical applications. In this work, the underwater microsecond pulsed streamer discharges are investigated by using an ultra-high-speed frame camera system at different water conductivities and applied voltages. It is found that there exist two different types of discharge under the same experimental conditions: the fan-shaped bush type and the long-single filament type. The water conductivity of 800 µS/cm marks the boundary point for the occurrence rates of the two discharge types: when the water conductivity is less than 800 µS/cm, the occurrence rate of the long-single filament type is 100%; when the water conductivity is larger than 800 µS/cm, the occurrence rate of the long-single filament type decreases, but the occurrence rate of the fan-shaped bush type increases with water conductivity increasing. When the water conductivity is larger than 1000 µS/cm, the dominant discharge type is the fan-shaped bush type, and the voltage required to reverse the appearance rates of the two discharge types increases as the water conductivity increases. The fan-shaped bush type streamer has a propagation velocity of ~1.7 km/s, and the long-single filament streamer has a propagation velocity of ~25 km/s in the early stage and a propagation velocity of ~0.8 km/s in the later stage. Neither of water conductivity and applied voltage has significant influence on the propagation velocities of the two types of streamers. The time lag of the fan-shaped bush-type discharge is about 8% larger than that of the long-single filament-type discharge. The injection energy per pulse of the fan-shaped bush-type discharge is about 20% smaller than that of the single filament-type discharge.
Underwater streamer discharges have various potential applications in the fields of wastewater treatment, crop seed processing, etc. The underwater streamer discharge types have an important effect on the practical applications. In this work, the underwater microsecond pulsed streamer discharges are investigated by using an ultra-high-speed frame camera system at different water conductivities and applied voltages. It is found that there exist two different types of discharge under the same experimental conditions: the fan-shaped bush type and the long-single filament type. The water conductivity of 800 µS/cm marks the boundary point for the occurrence rates of the two discharge types: when the water conductivity is less than 800 µS/cm, the occurrence rate of the long-single filament type is 100%; when the water conductivity is larger than 800 µS/cm, the occurrence rate of the long-single filament type decreases, but the occurrence rate of the fan-shaped bush type increases with water conductivity increasing. When the water conductivity is larger than 1000 µS/cm, the dominant discharge type is the fan-shaped bush type, and the voltage required to reverse the appearance rates of the two discharge types increases as the water conductivity increases. The fan-shaped bush type streamer has a propagation velocity of ~1.7 km/s, and the long-single filament streamer has a propagation velocity of ~25 km/s in the early stage and a propagation velocity of ~0.8 km/s in the later stage. Neither of water conductivity and applied voltage has significant influence on the propagation velocities of the two types of streamers. The time lag of the fan-shaped bush-type discharge is about 8% larger than that of the long-single filament-type discharge. The injection energy per pulse of the fan-shaped bush-type discharge is about 20% smaller than that of the single filament-type discharge.
2025, 74(5): 056101.
doi: 10.7498/aps.74.20241641
Abstract:
In this work, the influence of 60Co-γ ray irradiation on double trench SiC metal–oxide–semiconductor field-effect transistors (MOSFETs) is investigated under different conditions. First, the effects of the total ionizing dose (TID) on the electrical performance of the device at different gate bias voltages are studied. The results indicate that at 150 krad(Si) irradiation dose, the threshold voltage of the device after being irradiated decreases by 3.28 and 2.36 V for gate voltages of +5 and –5 V bias, respectively, whereas the threshold voltage of the device after being irradiated decreases by only 1.36 V for a gate voltage of 0 V bias. The threshold voltage of the device after irradiation drifts in the negative direction, and the degradation of the electrical performance is especially obvious under the positive gate bias. This is attributed to the increase in the number of charges trapped in the oxide layer. At the same time, room temperature annealing experiments are performed on the irradiated devices for 24, 48, and 168 h. The shallow oxide trap charges generated by irradiation are annealed at room temperature, while the deep oxide trap charges and interface trap charges are difficult to recover at room temperature, resulting in an increase in the threshold voltage of the devices after being annealed, indicating that the electrical properties of the devices can be partially recovered after being annealed at room temperature. In order to characterize the effect of 60Co-γ ray irradiation on the interfacial state defect density of the devices, low frequency noise (1/f ) tests are performed at different doses and different gate bias voltages. The 1/f low frequency noise testing shows that under different bias voltages, the density of irradiation defects in the device increases due to the presence of induced oxide trap charges in the oxide layer of the device after being irradiated and the interfacial trap charges generated at the SiO2/SiC interface. This results in an increase of 4–9 orders of magnitude in the normalized power spectral density of the drain current noise of the irradiated device. To further ascertain the irradiation damage mechanism of the device, a numerical simulation is carried out using the TCAD simulation tool, and the results show that a large number of oxide trap charges induced by irradiation in the oxide layer cause an increase in the electric field strength in the gate oxide layer close to the trench side, which leads to a negative drift of the threshold voltage of the device and affects the performance of the device. The results of this work can provide important theoretical references for investigating the radiation effect mechanism and designing the anti radiation reinforcement of double trench SiC MOSFET devices.
In this work, the influence of 60Co-γ ray irradiation on double trench SiC metal–oxide–semiconductor field-effect transistors (MOSFETs) is investigated under different conditions. First, the effects of the total ionizing dose (TID) on the electrical performance of the device at different gate bias voltages are studied. The results indicate that at 150 krad(Si) irradiation dose, the threshold voltage of the device after being irradiated decreases by 3.28 and 2.36 V for gate voltages of +5 and –5 V bias, respectively, whereas the threshold voltage of the device after being irradiated decreases by only 1.36 V for a gate voltage of 0 V bias. The threshold voltage of the device after irradiation drifts in the negative direction, and the degradation of the electrical performance is especially obvious under the positive gate bias. This is attributed to the increase in the number of charges trapped in the oxide layer. At the same time, room temperature annealing experiments are performed on the irradiated devices for 24, 48, and 168 h. The shallow oxide trap charges generated by irradiation are annealed at room temperature, while the deep oxide trap charges and interface trap charges are difficult to recover at room temperature, resulting in an increase in the threshold voltage of the devices after being annealed, indicating that the electrical properties of the devices can be partially recovered after being annealed at room temperature. In order to characterize the effect of 60Co-γ ray irradiation on the interfacial state defect density of the devices, low frequency noise (1/f ) tests are performed at different doses and different gate bias voltages. The 1/f low frequency noise testing shows that under different bias voltages, the density of irradiation defects in the device increases due to the presence of induced oxide trap charges in the oxide layer of the device after being irradiated and the interfacial trap charges generated at the SiO2/SiC interface. This results in an increase of 4–9 orders of magnitude in the normalized power spectral density of the drain current noise of the irradiated device. To further ascertain the irradiation damage mechanism of the device, a numerical simulation is carried out using the TCAD simulation tool, and the results show that a large number of oxide trap charges induced by irradiation in the oxide layer cause an increase in the electric field strength in the gate oxide layer close to the trench side, which leads to a negative drift of the threshold voltage of the device and affects the performance of the device. The results of this work can provide important theoretical references for investigating the radiation effect mechanism and designing the anti radiation reinforcement of double trench SiC MOSFET devices.
2025, 74(5): 056102.
doi: 10.7498/aps.74.20241084
Abstract:
Uranium-niobium alloys exhibit complex crystal phases and unique mechanical behaviors under various thermodynamic states and external loads. However, due to the lack of accurate interatomic potentials, the atomic-scale phase behaviors and dynamical processes in this important alloy are still unclear. In recent years, the development of machine-learning-based force fields has provided a systematic way to generate accurate interatomic potentials on large and complex first-principle-based datasets. However, this crucial nuclear material has received limited attention from researchers in the field of machine-learning potentials. In this work, based on our previous researches on the neural-network potential training and evaluation framework, which we called NNAP (neural-network atomic potential), a new neural network potential is constructed for the uranium-niobium alloy system. A combination of random structure search and active learning algorithms is utilized to enhance coverage of the chemical and structural space of the alloy system. Testing of the generated potential demonstrates high generalization performance and accuracy. On the testing set, the mean absolute error of the energy and the force are 5.6 meV/atom and 0.095 eV/Å, respectively. Further calculation results of crystal structure parameters, equation of state, and phonon dispersions coincide well with the results from the first-principle or experimental references. The atomic-scale evolution of the spinodal decomposition process in the U-Nb alloys is investigated based on the newly trained potential. It is shown that the atom-swapping hybrid Monte Carlo can be a powerful tool to understand the thermodynamic evolution of the systems. By using the atom-swapping hybrid Monte Carlo method, the decrease of potential energy due to phase segregation is observed within 5000 steps, while no significant energy reduction is found after 3-ns MD simulation. Finally, the stress-strain curves under shear load for different initial states are obtained. It is found that the Nb precipitation generates strengthened phases in the alloy and the deformation behavior of U-Nb alloys is significantly changed, where a disorder shear band emerges in the deformation path of the \begin{document}$ {\mathrm{\gamma }} $\end{document} -phase alloys. Our work lays a foundation for understanding the mechanical processes in this important alloy system.
2025, 74(5): 057101.
doi: 10.7498/aps.74.20241518
Abstract:
With the gradual increase in size requirements for integrated circuit fabrication, the research on the miniaturization of electronic device is increasingly favored by more and more scientists. In this work, the edge modifications of the electronic band structure of α-2-graphyne and electronic transport characteristics of its devices are systematically investigated by employing the density functional theory combined with non-equilibrium Green's functions. The research results of the band structures doped with halogens or oxygenated group show that when the various elements are doped into the antiferromagnetic configuration of α-2-graphyne, the materials exhibit unique semiconductor properties. In particular, the periodic structure of α-2-graphyne with the O-doping exhibits relatively complex band structures near the Fermi level. It can be found that the electronic devices doped with F, Cl, O, OH show obvious negative differential resistance (NDR) and spin filtering effects. Among them, the NDR effect of the device with O doping (M4) shows particularly significant feature, and its peak-to-valley ratio in the antiparallel case is as high as 136. However, the peak-to-valley ratio reaches 128 in the antiferromagnetism configuration. In addition, the intrinsic physical mechanism of the NDR effect is further dissected by calculating the transmission spectra and local densities of states in the parallel case and antiparallel case. At the same time, the spin filtering efficiency of the device reaches a value as high as 84% at an applied voltage of –0.4 V in the parallel case and 79% at –1.6 V in the antiparallel case. By analyzing the electron transport paths of the M4, the intrinsic mechanism of the spin-filtering properties can be clearly understood for the devices based on the α-2-graphyne nanotibbons. This research has significant application value in the hot research t areas such as novel logic devices, integrated circuits, and micro/nano-electronic machines.
With the gradual increase in size requirements for integrated circuit fabrication, the research on the miniaturization of electronic device is increasingly favored by more and more scientists. In this work, the edge modifications of the electronic band structure of α-2-graphyne and electronic transport characteristics of its devices are systematically investigated by employing the density functional theory combined with non-equilibrium Green's functions. The research results of the band structures doped with halogens or oxygenated group show that when the various elements are doped into the antiferromagnetic configuration of α-2-graphyne, the materials exhibit unique semiconductor properties. In particular, the periodic structure of α-2-graphyne with the O-doping exhibits relatively complex band structures near the Fermi level. It can be found that the electronic devices doped with F, Cl, O, OH show obvious negative differential resistance (NDR) and spin filtering effects. Among them, the NDR effect of the device with O doping (M4) shows particularly significant feature, and its peak-to-valley ratio in the antiparallel case is as high as 136. However, the peak-to-valley ratio reaches 128 in the antiferromagnetism configuration. In addition, the intrinsic physical mechanism of the NDR effect is further dissected by calculating the transmission spectra and local densities of states in the parallel case and antiparallel case. At the same time, the spin filtering efficiency of the device reaches a value as high as 84% at an applied voltage of –0.4 V in the parallel case and 79% at –1.6 V in the antiparallel case. By analyzing the electron transport paths of the M4, the intrinsic mechanism of the spin-filtering properties can be clearly understood for the devices based on the α-2-graphyne nanotibbons. This research has significant application value in the hot research t areas such as novel logic devices, integrated circuits, and micro/nano-electronic machines.
2025, 74(5): 057301.
doi: 10.7498/aps.74.20241381
Abstract:
Through-silicon via (TSV), as a key technology for realizing interconnections in three-dimensional integrated circuits (3D ICs), critically depends on the integrity of its sidewall interfaces to maintain optimal leakage characteristics. In this work, the temperature cycling experiments, incorporating leakage current I-V testing, microstructural observations are conducted, and the EDS elemental analysis is made to evaluate the effects of temperature cycling on the integrity of TSV sidewall interfaces and the leakage mechanisms in the insulation layer. The results indicate that as the number of temperature cycles increases, the alternating cyclic loads progressively degrade the integrity of the TSV barrier layer, transitioning from an intact interface to the formation of micro-voids and micro-cracks, which results in a significant increase in leakage current. When through-thickness cracks appear at the interface, a sudden decrease in leakage current occurs. The TSV failure mode is transforms from thermally induced leakage to mechanical cracking. The leakage mechanism of the insulation layer transforms from the Schottky emission mechanism (Cycle≤60) into a combination of Schottky emission and Poole-Frenkel emission mechanisms (Cycle≥90), and this transformation becomes more pronounced under high electric field conditions. Further analysis of TSV interface integrity reveals that thermomechanical stress induced by temperature cycling generates defects at the interface between the TSV copper fill and the barrier layer. As thermally induced defects accumulate, the barrier height of the insulation layer continuously decreases, making it easier for electrons in the metal to overcome the Schottky barrier under thermal and electric field excitation, thereby forming leakage currents. Moreover, these defects facilitate the diffusion of copper atoms into the insulation layer, thereby forming localized high electric field regions. These high-field regions in the insulation layer increase electron emission rates through the Poole-Frenkel emission mechanism, creating leakage paths. Therefore, copper diffusion emerges as one of the primary causes of dielectric performance degradation in the insulation layer.
Through-silicon via (TSV), as a key technology for realizing interconnections in three-dimensional integrated circuits (3D ICs), critically depends on the integrity of its sidewall interfaces to maintain optimal leakage characteristics. In this work, the temperature cycling experiments, incorporating leakage current I-V testing, microstructural observations are conducted, and the EDS elemental analysis is made to evaluate the effects of temperature cycling on the integrity of TSV sidewall interfaces and the leakage mechanisms in the insulation layer. The results indicate that as the number of temperature cycles increases, the alternating cyclic loads progressively degrade the integrity of the TSV barrier layer, transitioning from an intact interface to the formation of micro-voids and micro-cracks, which results in a significant increase in leakage current. When through-thickness cracks appear at the interface, a sudden decrease in leakage current occurs. The TSV failure mode is transforms from thermally induced leakage to mechanical cracking. The leakage mechanism of the insulation layer transforms from the Schottky emission mechanism (Cycle≤60) into a combination of Schottky emission and Poole-Frenkel emission mechanisms (Cycle≥90), and this transformation becomes more pronounced under high electric field conditions. Further analysis of TSV interface integrity reveals that thermomechanical stress induced by temperature cycling generates defects at the interface between the TSV copper fill and the barrier layer. As thermally induced defects accumulate, the barrier height of the insulation layer continuously decreases, making it easier for electrons in the metal to overcome the Schottky barrier under thermal and electric field excitation, thereby forming leakage currents. Moreover, these defects facilitate the diffusion of copper atoms into the insulation layer, thereby forming localized high electric field regions. These high-field regions in the insulation layer increase electron emission rates through the Poole-Frenkel emission mechanism, creating leakage paths. Therefore, copper diffusion emerges as one of the primary causes of dielectric performance degradation in the insulation layer.
2025, 74(5): 057401.
doi: 10.7498/aps.74.20241583
Abstract:
Low-temperature interconnection technology, especially radio frequency signal transmission in the 40–4.2 K temperature range, is currently a focus of development. In this temperature range, the transmission line needs to have as little insertion loss and heat leakage as possible. A processing method of preparing coplanar waveguide flexible transmission lines by mechanically cold exfoliating superconducting tape thin films is introduced in this work. Especially YBCO thin films deposited through MOD are more easily exfoliate directly at room temperature. The superconducting transition temperature width of YBCO thin film after exfoliating processing is 0.79 K. Although it is increased by 0.3 K compared with the transition temperature width of the strip, the critical current density at 77 K and 0 T is 7.7 × 105 A/cm2, which is more than 75% of the critical current density of the strip. The exfoliated YBCO thin film is fabricated into a 12-cm-long and 1-cm-wide PI-YBCO-PI three-layer structure transmission line, and the heat leak value is measured to be 0.238 mW in a temperature range from 40 K to 4.2 K. Five signal channels are prepared on a 1cmwide YBCO thin film, and the simulation shows that the crosstalk between adjacent signal channels is < –40 dB, the insertion loss at 9 GHz is < –2 dB, and the heat leak value of each signal channel is 47.6 μW. Compared with the metal transmission lines currently used in this temperature range, the heat leakage is reduced by at least 5 times.
Low-temperature interconnection technology, especially radio frequency signal transmission in the 40–4.2 K temperature range, is currently a focus of development. In this temperature range, the transmission line needs to have as little insertion loss and heat leakage as possible. A processing method of preparing coplanar waveguide flexible transmission lines by mechanically cold exfoliating superconducting tape thin films is introduced in this work. Especially YBCO thin films deposited through MOD are more easily exfoliate directly at room temperature. The superconducting transition temperature width of YBCO thin film after exfoliating processing is 0.79 K. Although it is increased by 0.3 K compared with the transition temperature width of the strip, the critical current density at 77 K and 0 T is 7.7 × 105 A/cm2, which is more than 75% of the critical current density of the strip. The exfoliated YBCO thin film is fabricated into a 12-cm-long and 1-cm-wide PI-YBCO-PI three-layer structure transmission line, and the heat leak value is measured to be 0.238 mW in a temperature range from 40 K to 4.2 K. Five signal channels are prepared on a 1cmwide YBCO thin film, and the simulation shows that the crosstalk between adjacent signal channels is < –40 dB, the insertion loss at 9 GHz is < –2 dB, and the heat leak value of each signal channel is 47.6 μW. Compared with the metal transmission lines currently used in this temperature range, the heat leakage is reduced by at least 5 times.
2025, 74(5): 057402.
doi: 10.7498/aps.74.20241671
Abstract:
Surface enhanced Raman spectroscopy (SERS) can provide rich molecular structure information about ultra-sensitive, non-destructive, and rapid detection, with accuracy down to the single-molecule level. It has been widely applied to physics, chemistry, biomedicine, environmental science, materials science and other fields. Combining the advantages of metals and two-dimensional (2D) nanomaterials, various 2D metal composite structures have been proposed for SERS. However, the contribution of 2D nanomaterials in Raman enhancement is often limited. In this work, vertically aligned MoS2 nanosheet composite with silver nanoparticles (Ag NPs) is proposed for SERS detection. Large-area vertically aligned MoS2 nanosheets, which are grown directly on molybdenum (Mo) foil by using hydrothermal method, can effectively enhance molecular adsorption, light absorption, and provide dual electromagnetic and chemical enhancement. Furthermore, annealing treatment of the MoS2 nanosheets significantly improves the efficiency of charge transfer between Ag NPs and MoS2, thereby increasing the chemical contribution to SERS. The results demonstrate that the annealed MoS2/Ag substrate exhibits outstanding SERS performance, with a detection limit for R6G molecules as low as 10–12 mol/L, which is four orders of magnitude lower than that of the unannealed substrate. The enhancement factor (EF) is calculated to be approximately 1.08×109, approaching the sensitivity required for single-molecule detection. Additionally, the substrate has high signal reproducibility at low concentrations, enabling ultra-sensitive detection of pesticide residues in aquatic products.
Surface enhanced Raman spectroscopy (SERS) can provide rich molecular structure information about ultra-sensitive, non-destructive, and rapid detection, with accuracy down to the single-molecule level. It has been widely applied to physics, chemistry, biomedicine, environmental science, materials science and other fields. Combining the advantages of metals and two-dimensional (2D) nanomaterials, various 2D metal composite structures have been proposed for SERS. However, the contribution of 2D nanomaterials in Raman enhancement is often limited. In this work, vertically aligned MoS2 nanosheet composite with silver nanoparticles (Ag NPs) is proposed for SERS detection. Large-area vertically aligned MoS2 nanosheets, which are grown directly on molybdenum (Mo) foil by using hydrothermal method, can effectively enhance molecular adsorption, light absorption, and provide dual electromagnetic and chemical enhancement. Furthermore, annealing treatment of the MoS2 nanosheets significantly improves the efficiency of charge transfer between Ag NPs and MoS2, thereby increasing the chemical contribution to SERS. The results demonstrate that the annealed MoS2/Ag substrate exhibits outstanding SERS performance, with a detection limit for R6G molecules as low as 10–12 mol/L, which is four orders of magnitude lower than that of the unannealed substrate. The enhancement factor (EF) is calculated to be approximately 1.08×109, approaching the sensitivity required for single-molecule detection. Additionally, the substrate has high signal reproducibility at low concentrations, enabling ultra-sensitive detection of pesticide residues in aquatic products.
2025, 74(5): 057601.
doi: 10.7498/aps.74.20241730
Abstract:
Experimental and theoretical studies have shown that a single magnon mode and cavity photon can be coupled coherently and dissipatively, with the interference between two types of coupling creating zero damping effect. In magnetic bilayers or multilayers, there exists more than one magnon mode which can be directly coupled by interface exchange interaction. In this work, a single-magnon mode is extended to a two-magnon mode and the effect of the two-magnon mode on zero damping condition is investigated. Using eigenfrequency analysis and microwave transmission spectra, the analytical expressions of the zero damping condition and the frequency detuning can be derived. By comparing analytical results with numerical results, the dependence of zero damping condition on system parameters can be obtained. In the absence of direct interface exchange magnon-magnon coupling, the zero damping condition occurs for dissipative coupling or hybrid coupling. As the coupling strength increases, the distance between two zero damping points increases. For hybrid coupling, the two zero damping points turn no longer symmetric, which is different from the case of pure coupling. Moreover, the effect of interface exchange magnon-magnon interaction on zero damping condition is studied. The interface exchange coupling results in the splitting of microwave transmission spectra, but the zero damping condition occurs only in the low-frequency mode. As the interface exchange coupling strength increases, the frequency at which the zero damping condition happens will shift toward lower frequency. Due to extremely narrow line-width of microwave transmission dip under the zero damping condition, the result in this work is expected to be useful for designing the magnon-based quantum sensing devices.
Experimental and theoretical studies have shown that a single magnon mode and cavity photon can be coupled coherently and dissipatively, with the interference between two types of coupling creating zero damping effect. In magnetic bilayers or multilayers, there exists more than one magnon mode which can be directly coupled by interface exchange interaction. In this work, a single-magnon mode is extended to a two-magnon mode and the effect of the two-magnon mode on zero damping condition is investigated. Using eigenfrequency analysis and microwave transmission spectra, the analytical expressions of the zero damping condition and the frequency detuning can be derived. By comparing analytical results with numerical results, the dependence of zero damping condition on system parameters can be obtained. In the absence of direct interface exchange magnon-magnon coupling, the zero damping condition occurs for dissipative coupling or hybrid coupling. As the coupling strength increases, the distance between two zero damping points increases. For hybrid coupling, the two zero damping points turn no longer symmetric, which is different from the case of pure coupling. Moreover, the effect of interface exchange magnon-magnon interaction on zero damping condition is studied. The interface exchange coupling results in the splitting of microwave transmission spectra, but the zero damping condition occurs only in the low-frequency mode. As the interface exchange coupling strength increases, the frequency at which the zero damping condition happens will shift toward lower frequency. Due to extremely narrow line-width of microwave transmission dip under the zero damping condition, the result in this work is expected to be useful for designing the magnon-based quantum sensing devices.
Finite element prediction and device performance of piezoelectric fiber composite based smart sensor
2025, 74(5): 057701.
doi: 10.7498/aps.74.20241379
Abstract:
Macro fiber composite (MFC) is extensively utilized in aviation, aerospace, civilian, and military domains due to its high piezoelectricity, flexibility, and minimal loss. Nevertheless, existing research on MFC sensors has focused on material applications, with a conspicuous lack of systematic investigation into the simulation and modeling of MFC sensor devices. In this study, three models, namely, a representative volume element (RVE) model, a direct model, and a Hybrid model are established to analyze the finite element models of MFC, covering the scales from micro to macro. On the one hand, the equivalent RVE model contributes to an understanding of the internal electric field distribution in MFC, thereby establishing a theoretical foundation for force-electric coupling. On the other hand, the application of the direct model and hybrid model accords with the boundary conditions in MFC applications, which lays a theoretical foundation for the stress sensing and resonance sensing mechanisms of MFC. These models constitute effective tools for predicting the sensing performance of MFC smart element sensors. The simulation outcomes indicate that resonant sensors exhibit significantly superior performance compared with patch sensors. Under the conditions where the excitation acceleration is 5 m/s² and the cantilever substrate length is 80 mm, the simulated resonant frequency of the MFC resonant sensor is 67 Hz, with an output voltage of 4.17 V. Experimental results confirm these findings. It is reported that the resonant frequency is 74 Hz and the output voltage is 3.59 V for the MFC sensor. The remarkable consistency between the simulation results and experimental data of the MFC sensor deserves to be emphasized. In addition, the MFC sensor shows excellent sensing sensitivity at low frequencies, with a sensitivity of 7.35 V/g. Obviously, MFC shows remarkable sensing characteristics at low-frequency resonance. The three finite element models established in this work can well predict the sensing performance of MFC sensors, thus ensuring reliable prediction of the performance of such sensors.
Macro fiber composite (MFC) is extensively utilized in aviation, aerospace, civilian, and military domains due to its high piezoelectricity, flexibility, and minimal loss. Nevertheless, existing research on MFC sensors has focused on material applications, with a conspicuous lack of systematic investigation into the simulation and modeling of MFC sensor devices. In this study, three models, namely, a representative volume element (RVE) model, a direct model, and a Hybrid model are established to analyze the finite element models of MFC, covering the scales from micro to macro. On the one hand, the equivalent RVE model contributes to an understanding of the internal electric field distribution in MFC, thereby establishing a theoretical foundation for force-electric coupling. On the other hand, the application of the direct model and hybrid model accords with the boundary conditions in MFC applications, which lays a theoretical foundation for the stress sensing and resonance sensing mechanisms of MFC. These models constitute effective tools for predicting the sensing performance of MFC smart element sensors. The simulation outcomes indicate that resonant sensors exhibit significantly superior performance compared with patch sensors. Under the conditions where the excitation acceleration is 5 m/s² and the cantilever substrate length is 80 mm, the simulated resonant frequency of the MFC resonant sensor is 67 Hz, with an output voltage of 4.17 V. Experimental results confirm these findings. It is reported that the resonant frequency is 74 Hz and the output voltage is 3.59 V for the MFC sensor. The remarkable consistency between the simulation results and experimental data of the MFC sensor deserves to be emphasized. In addition, the MFC sensor shows excellent sensing sensitivity at low frequencies, with a sensitivity of 7.35 V/g. Obviously, MFC shows remarkable sensing characteristics at low-frequency resonance. The three finite element models established in this work can well predict the sensing performance of MFC sensors, thus ensuring reliable prediction of the performance of such sensors.
2025, 74(5): 057801.
doi: 10.7498/aps.74.20241684
Abstract:
Metamaterials can freely control terahertz waves by designing the geometric shape and direction of the unit structure to obtain the desired electromagnetic characteristics, so they have been widely used in sensing, communication and radar stealth technology. The traditional design of terahertz metamaterial absorber usually requires continuous structural adjustment and a large number of simulations to meet the expected requirements. The process largely relies on the experience of researchers, and the physical modeling and simulation solution process is time-consuming and inefficient, greatly hindering the development of metamaterial absorbers. Therefore, due to its powerful learning ability, deep learning has been used to predict the structural parameters or spectra of metamaterial absorbers. However, when designing a new structure, it is necessary to prepare a large number of training samples again, which is both time-consuming and not universal. Particle swarm optimization algorithm can quickly converge to the optimal solution through the sharing and cooperation of individual information in the group, with no need for prior preparation. Therefore, a method of fast designing terahertz metamaterial absorber is proposed based on multi-objective particle swarm optimization algorithm in this work. Taking a new center symmetric absorber structure composed of four Ls for example, the structure parameters are optimized to achieve rapid and automatic design of metamaterial absorber. The multi-objective particle swarm optimization algorithm takes the absorptivity and quality factor as independent targets to design the structure parameters of the absorber, realizing the dual-objective optimization of the absorber, and overcoming the shortcoming of the multi-objective conflicts that cannot be solved by PSO. When used for refractive index sensing, the optimally-designed absorber achieves perfect absorption at 1.613 THz with a quality factor of 319.72 and a sensing sensitivity of 264.5 GHz/RIU. In addition, the reasons of absorption peaks are analyzed in detail through impedance matching, surface current, and electric field distribution. By studying the polarization characteristics of the absorber, it is found that the absorber is not sensitive to polarization, which is more stable in practical application. In summary, the multi-objective particle swarm optimization algorithm can realize the design according to the requirements, reduce the experience requirement of researchers in the design of metamaterial absorber, thereby improving design efficiency and performance, and has great potential for application in the design of terahertz functional devices.
Metamaterials can freely control terahertz waves by designing the geometric shape and direction of the unit structure to obtain the desired electromagnetic characteristics, so they have been widely used in sensing, communication and radar stealth technology. The traditional design of terahertz metamaterial absorber usually requires continuous structural adjustment and a large number of simulations to meet the expected requirements. The process largely relies on the experience of researchers, and the physical modeling and simulation solution process is time-consuming and inefficient, greatly hindering the development of metamaterial absorbers. Therefore, due to its powerful learning ability, deep learning has been used to predict the structural parameters or spectra of metamaterial absorbers. However, when designing a new structure, it is necessary to prepare a large number of training samples again, which is both time-consuming and not universal. Particle swarm optimization algorithm can quickly converge to the optimal solution through the sharing and cooperation of individual information in the group, with no need for prior preparation. Therefore, a method of fast designing terahertz metamaterial absorber is proposed based on multi-objective particle swarm optimization algorithm in this work. Taking a new center symmetric absorber structure composed of four Ls for example, the structure parameters are optimized to achieve rapid and automatic design of metamaterial absorber. The multi-objective particle swarm optimization algorithm takes the absorptivity and quality factor as independent targets to design the structure parameters of the absorber, realizing the dual-objective optimization of the absorber, and overcoming the shortcoming of the multi-objective conflicts that cannot be solved by PSO. When used for refractive index sensing, the optimally-designed absorber achieves perfect absorption at 1.613 THz with a quality factor of 319.72 and a sensing sensitivity of 264.5 GHz/RIU. In addition, the reasons of absorption peaks are analyzed in detail through impedance matching, surface current, and electric field distribution. By studying the polarization characteristics of the absorber, it is found that the absorber is not sensitive to polarization, which is more stable in practical application. In summary, the multi-objective particle swarm optimization algorithm can realize the design according to the requirements, reduce the experience requirement of researchers in the design of metamaterial absorber, thereby improving design efficiency and performance, and has great potential for application in the design of terahertz functional devices.
2025, 74(5): 058101.
doi: 10.7498/aps.74.20241483
Abstract:
Ultra-high strength maraging stainless steels possess many important applications such as in aircraft landing gears owing to their excellent strength and good process ability. However, traditional ultra-high strength maraging stainless steels are facing the challenge of balancing strength and ductility while pursuing ultra-high strength. This is mainly due to the semi-coherent or non-coherent relationship between the precipitated nanoparticles and the body-centered cubic (BCC) martensitic matrix. In this work, a novel ultra-high strength maraging stainless steel (Fe-7.95Cr-13.47Ni-3.10Al-1.83Mo-0.03C-0.23Nb, weight percent, %) is designed using a cluster formula approach. Alloy ingots are prepared by vacuum induction melting under an argon atmosphere, followed by hot rolling at 950 ℃ and multiple passes of cold rolling. Finally, the alloy is aged at 500 ℃ for 288 h. Microstructural characterizations of the alloy in different aging states are performed using electron backscatter diffraction (EBSD) and transmission electron microscope (TEM). As a result, the martensitic structure of the alloy is fragmented and elongated, with high-density dislocations (~1.8×10–3 nm–2) and a large number of coherent B2-NiAl nanoparticles (<5 nm) observed in the BCC martensitic matrix after cold rolling and aging. In terms of mechanical properties, the alloy exhibits significant age-hardening, with a peak-aged hardness of 651 HV after ageing treatment. It also demonstrates an extraordinarily high yield strength (σYS = 2.3 GPa) and a decent elongation (El = 3.6%), indicating a well-balanced strength-ductility property. Finally, the origins of the ultra-high strength in the novel alloy are discussed in depth, showing that the ultra-high strength of this stainless steel comes from the strengthening effect of different microstructures. This study provides valuable guidance for designing high-performance ultra-high strength maraging stainless steels.
Ultra-high strength maraging stainless steels possess many important applications such as in aircraft landing gears owing to their excellent strength and good process ability. However, traditional ultra-high strength maraging stainless steels are facing the challenge of balancing strength and ductility while pursuing ultra-high strength. This is mainly due to the semi-coherent or non-coherent relationship between the precipitated nanoparticles and the body-centered cubic (BCC) martensitic matrix. In this work, a novel ultra-high strength maraging stainless steel (Fe-7.95Cr-13.47Ni-3.10Al-1.83Mo-0.03C-0.23Nb, weight percent, %) is designed using a cluster formula approach. Alloy ingots are prepared by vacuum induction melting under an argon atmosphere, followed by hot rolling at 950 ℃ and multiple passes of cold rolling. Finally, the alloy is aged at 500 ℃ for 288 h. Microstructural characterizations of the alloy in different aging states are performed using electron backscatter diffraction (EBSD) and transmission electron microscope (TEM). As a result, the martensitic structure of the alloy is fragmented and elongated, with high-density dislocations (~1.8×10–3 nm–2) and a large number of coherent B2-NiAl nanoparticles (<5 nm) observed in the BCC martensitic matrix after cold rolling and aging. In terms of mechanical properties, the alloy exhibits significant age-hardening, with a peak-aged hardness of 651 HV after ageing treatment. It also demonstrates an extraordinarily high yield strength (σYS = 2.3 GPa) and a decent elongation (El = 3.6%), indicating a well-balanced strength-ductility property. Finally, the origins of the ultra-high strength in the novel alloy are discussed in depth, showing that the ultra-high strength of this stainless steel comes from the strengthening effect of different microstructures. This study provides valuable guidance for designing high-performance ultra-high strength maraging stainless steels.
2025, 74(5): 058201.
doi: 10.7498/aps.74.20241663
Abstract:
In recent years, electrochromic materials have been extensively utilized in smart windows, displays, and dimmable devices. WO3, as a typical electrochromic material has received significant attention. Existing researches indicate that the concentration and distribution of oxygen vacancies in WO3 are both important in determining electrochromic effect. However, it has been reported that traditional preparation methods such as annealing can significantly reduce the ability to modulate the crystallinity and optical performance. Hence, proposing a novel approach to enhance the electrochromic properties of WO3 films holds important research significance and application prospects. In this work, the electrochromic properties of WO3 thin films are enhanced by increasing the oxygen vacancy concentration and forming its gradient distribution on the surface through plasma treatment. Firstly, the oxygen vacancy concentration and distribution of the film are optimized by regulating the power and duration of the plasma treatment. Secondly, the structure and optical properties of the plasma treated WO3 films are analyzed using X-ray diffraction (XRD), scanning electron microscopy (SEM), and UV-Vis spectroscopy. Finally, the stability and response speed of each film during the electrochromic cycle are evaluated via electrochemical tests. Through plasma treatment, the concentrations of oxygen vacancies on the surfaces of WO3 films are all significantly increased, and a gradient distribution is formed, which is conducive to enhancing the ability to inject and extract electrons. The treated WO3 films demonstrate better electrochemical stability and chromic stability during the electrochromic cycle, and their transparencies and electrochromic response speeds are also significantly enhanced. Additionally, by increasing the concentration of oxygen vacancies through plasma treatment, the band gap of the film decreases and the electrical conductivity increases, which further validates the effectiveness of modulating concentration of oxygen vacancies on the electrical conductivity of WO3 film. Overall, these results indicate that plasma treatment is an emerging method of significantly improving the electrochromic properties of WO3 films.
In recent years, electrochromic materials have been extensively utilized in smart windows, displays, and dimmable devices. WO3, as a typical electrochromic material has received significant attention. Existing researches indicate that the concentration and distribution of oxygen vacancies in WO3 are both important in determining electrochromic effect. However, it has been reported that traditional preparation methods such as annealing can significantly reduce the ability to modulate the crystallinity and optical performance. Hence, proposing a novel approach to enhance the electrochromic properties of WO3 films holds important research significance and application prospects. In this work, the electrochromic properties of WO3 thin films are enhanced by increasing the oxygen vacancy concentration and forming its gradient distribution on the surface through plasma treatment. Firstly, the oxygen vacancy concentration and distribution of the film are optimized by regulating the power and duration of the plasma treatment. Secondly, the structure and optical properties of the plasma treated WO3 films are analyzed using X-ray diffraction (XRD), scanning electron microscopy (SEM), and UV-Vis spectroscopy. Finally, the stability and response speed of each film during the electrochromic cycle are evaluated via electrochemical tests. Through plasma treatment, the concentrations of oxygen vacancies on the surfaces of WO3 films are all significantly increased, and a gradient distribution is formed, which is conducive to enhancing the ability to inject and extract electrons. The treated WO3 films demonstrate better electrochemical stability and chromic stability during the electrochromic cycle, and their transparencies and electrochromic response speeds are also significantly enhanced. Additionally, by increasing the concentration of oxygen vacancies through plasma treatment, the band gap of the film decreases and the electrical conductivity increases, which further validates the effectiveness of modulating concentration of oxygen vacancies on the electrical conductivity of WO3 film. Overall, these results indicate that plasma treatment is an emerging method of significantly improving the electrochromic properties of WO3 films.
2025, 74(5): 058401.
doi: 10.7498/aps.74.20241608
Abstract:
In order to meet the switching requirements of high-frequency pulsed-power systems and further enhance the peak power and turn-on speed of solid-state switches, comparative experiments on the structure of optically controlled multi-gate thyristors and the parameter of injected light are investigated in this work. The research results show that semiconductor chips based on the multi-gate thyristor structure exhibit different conduction characteristics under varying laser injection conditions, resulting in unique inflection point curves. By establishing a switching model and changing the injected light parameters and circuit parameter models, three conceptual operating modes for the optically controlled multi-gate thyristor are proposed, they being photonic linear mode (Mode A), field-induced nonlinear mode (Mode C), and hybrid amplification mode (Mode B). Based on these concepts, the experimental validation tests are conducted, and the three distinct operating characteristics of the optically controlled multi-gate thyristor are confirmed. In Mode A, the conduction process is mainly related to the injected light power parameters, which is similar to the scenario in the linear mode of traditional light-guided switches, thus Mode A is suitable for the narrow pulse width applications. Mode C mainly focuses on carrier multiplication after injection, resembling the conduction characteristics of super thyristors (SGTO), and this mode is suitable for wide pulse width and high current applications. In Mode B, its initial conduction is related to the injected light parameters, while the later carrier multiplication continues from the earlier photonic linear mode, achieving characteristics of both fast rise time and wide pulse width, effectively integrating the advantages of light-guided switches and SGTOs. In Mode A, when injected laser energy is 8.5 mJ, a pulse width is 10 ns, and peak power is 0.85 MW, the switch operates at a voltage of 5.2 kV, an output current of 8.1 kA, turn-on time (10%–90%) of 18.4 ns, with a di/dt value reaching 440 kA/μs. The main characteristic is that the di/dt of the switch is linearly related to the injected laser energy, thereby achieving a fast rise time output, which reflects the photonic linear conduction mode. This mode is suitable for high-power, narrow-pulse, and fast-rise-time applications, such as high-power microwave sources, and its characteristics are similar to those of gas switches. In Mode C, when triggering laser energy is set to 250 μJ, a pulse width is 210 ns, and peak power is 1200 W, the switch operates at a voltage of 8.5 kV, a short-circuit current of 6 kA and a current rise time of 110 ns, achieving a di/dt value exceeding 55 kA/μs. The key characteristic is that the di/dt of the switch is unrelated to the injected laser energy but is related to the electric field applied across the switch, thus it can operates at large current and wide pulse width, which reflects the field-induced nonlinear conduction mode. This mode is suitable for high-power, wide-pulse, and slower-rise-time applications, such as large current detonation and electromagnetic drives, and its characteristics are similar to those of igniter tubes and triggered light. In Mode B, when triggering laser energy is set to 10 mJ, a pulse width is 20 ns, and peak power is 0.5 MW, the switch operates at a voltage of 4.6 kV, with a short-circuit current reaching 8.5 kA and a current rise time of 66 ns, achieving a di/dt value exceeding 129 kA/μs. The main characteristic is that the initial conduction of the switch satisfies the photonic linear conduction mode, while the later conduction exhibits the field-induced nonlinear conduction mode, thus achieving both fast-rise-time output and the capability for large current and wide pulse width, reflecting a hybrid conduction mode. This mode is suitable for high-power and wide-pulse applications, such as accelerator power supplies, its characteristics are similar to those of hydrogen thyratrons and pseudo-spark switches. The discovery and validation of multiple operating modes for the switch significantly enhance the di/dt and peak power of power semiconductor switching devices, laying a theoretical and experimental foundation for the development of semiconductor switches with ultra-high peak power. Additionally, the switching devices are packaged according to their different operating modes and have been used in accelerator power supplies, solid-state detonators, and high-stability pulse drive sources, achieving positive results.
2025, 74(5): 058501.
doi: 10.7498/aps.74.20241670
Abstract:
To further understand the patterns and mechanisms of total ionizing dose (TID) radiation damage in carbon nanotube field-effect transistor (CNTFET), the total dose effects of 10 keV X-ray irradiation on N-type and P-type CNTFETs are investigated in this work. The irradiation dose rate is 200 rad(Si)/s, with a cumulative dose of 100 krad(Si) for N-type devices and 90 krad(Si) for P-type devices. The differences in TID effect between N-type and P-type CNTFETs under the conditions of floating gate bias and on-state bias, the influence of irradiation on the hysteresis characteristics of N-type CNTFETs, and the influence of channel sizes on the TID effects of N-type CNTFETs are also explored. The results indicate that both types of transistors, after being irradiated, exhibit the threshold voltage shift, transconductance degradation, increase in subthreshold swing, and decrease in saturation current. In the irradiation process, N-type devices under floating gate bias suffer more severe damage than those under on-state bias, while P-type devices under on-state bias experience more significant damage than those under floating gate bias. The hysteresis widths of N-type devices decrease after being irradiated, and the TID damage becomes more severe with the increase of channel dimensions. The main reason for the degradation of device parameters is the trap charges generated in the irradiated process. The gate bias applied during irradiation affects the capture of electrons or holes by traps in the gate dielectric, resulting in different radiation damage characteristics for different types of devices. The reduction in the hysteresis width of N-type devices after being irradiated may be attributed to the negatively charged trap charges generated during irradiation, which hinders the capture of electrons by water molecules, OH groups, and traps in the gate dielectric. Moreover, the channel dimensions of the transistors also influence their radiation response: larger channel dimensions result in more trap charges generated in the gate dielectric and at the interface during irradiation, leading to more severe transistor damage.
To further understand the patterns and mechanisms of total ionizing dose (TID) radiation damage in carbon nanotube field-effect transistor (CNTFET), the total dose effects of 10 keV X-ray irradiation on N-type and P-type CNTFETs are investigated in this work. The irradiation dose rate is 200 rad(Si)/s, with a cumulative dose of 100 krad(Si) for N-type devices and 90 krad(Si) for P-type devices. The differences in TID effect between N-type and P-type CNTFETs under the conditions of floating gate bias and on-state bias, the influence of irradiation on the hysteresis characteristics of N-type CNTFETs, and the influence of channel sizes on the TID effects of N-type CNTFETs are also explored. The results indicate that both types of transistors, after being irradiated, exhibit the threshold voltage shift, transconductance degradation, increase in subthreshold swing, and decrease in saturation current. In the irradiation process, N-type devices under floating gate bias suffer more severe damage than those under on-state bias, while P-type devices under on-state bias experience more significant damage than those under floating gate bias. The hysteresis widths of N-type devices decrease after being irradiated, and the TID damage becomes more severe with the increase of channel dimensions. The main reason for the degradation of device parameters is the trap charges generated in the irradiated process. The gate bias applied during irradiation affects the capture of electrons or holes by traps in the gate dielectric, resulting in different radiation damage characteristics for different types of devices. The reduction in the hysteresis width of N-type devices after being irradiated may be attributed to the negatively charged trap charges generated during irradiation, which hinders the capture of electrons by water molecules, OH groups, and traps in the gate dielectric. Moreover, the channel dimensions of the transistors also influence their radiation response: larger channel dimensions result in more trap charges generated in the gate dielectric and at the interface during irradiation, leading to more severe transistor damage.
2025, 74(5): 059201.
doi: 10.7498/aps.74.20241704
Abstract:
Cosmic rays, originating from stars, supernovae, and other astrophysical sources, are composed of high-energy particles that enter Earth’s atmosphere. Upon interaction with atmospheric nuclei, these primary cosmic rays generate secondary particles, including neutrons, electrons, and muons, with muons constituting a dominant component at ground level. Muons, due to their relative abundance, stability, and well-characterized energy loss mechanisms, serve as critical probes for investigating the fundamental properties of cosmic rays. Studies of muon energy distribution, diurnal anisotropy, and their modulation by solar activity provide critical insights into the mechanism of particle acceleration in cosmic ray sources and the effects of solar and atmospheric.This study aims to characterize the counting spectra and anisotropic properties of cosmic ray muons by using a plastic scintillator detector system. The experiment was conducted over a three-month period, from December 2023 to February 2024, leveraging long-bar plastic scintillator detectors equipped with dual-end photomultiplier tubes (PMTs) and a high-resolution digital data acquisition system. A dual-end coincidence measurement technique was used to enhance the signal-to-noise ratio by suppressing thermal noise and other background interferences. Comprehensive calibration of the detection system was performed using standard gamma-ray sources, including 137Cs, 60Co, and 40K, thereby ensuring precise energy scaling and reliable performance.The observed energy spectra of cosmic ray muons are in excellent agreement with theoretical predictions, which explains the energy losses caused by muons passing through the detector. Diurnal variations in muon count rates exhibit a pronounced pattern, with a systematic reduction occurring between 8:00 AM and 1:00 PM. This phenomenon is attributed to the solar shielding effects, where enhanced solar activity during daytime hours modulates the flux of galactic cosmic rays reaching Earth’s surface. To account for atmospheric influences, meteorological corrections are performed using temperature and pressure adjustment functions derived from regression analysis. These corrections indicate that atmospheric pressure and temperature are significant factors affecting muon count rates, and a clear linear relationship is observed.The study further corroborates these findings through cross-comparisons with data from the Yangbajing Cosmic Ray Observatory. Minor discrepancies, primarily in low-energy muon count rates, are attributed to variations in detector sensitivities and local atmospheric conditions. These observations underscore the robustness of the plastic scintillator detector system for capturing detailed muon spectra and anisotropic patterns.This research establishes a reliable experimental framework for analyzing cosmic ray muons and their modulation by solar and atmospheric phenomena. The results contribute to a more in-depth understanding of anisotropy of cosmic rays and the interaction between astrophysical and geophysical processes. Furthermore, these findings provide valuable insights for optimizing detection technologies and enhancing the accuracy of cosmic ray studies.
Cosmic rays, originating from stars, supernovae, and other astrophysical sources, are composed of high-energy particles that enter Earth’s atmosphere. Upon interaction with atmospheric nuclei, these primary cosmic rays generate secondary particles, including neutrons, electrons, and muons, with muons constituting a dominant component at ground level. Muons, due to their relative abundance, stability, and well-characterized energy loss mechanisms, serve as critical probes for investigating the fundamental properties of cosmic rays. Studies of muon energy distribution, diurnal anisotropy, and their modulation by solar activity provide critical insights into the mechanism of particle acceleration in cosmic ray sources and the effects of solar and atmospheric.This study aims to characterize the counting spectra and anisotropic properties of cosmic ray muons by using a plastic scintillator detector system. The experiment was conducted over a three-month period, from December 2023 to February 2024, leveraging long-bar plastic scintillator detectors equipped with dual-end photomultiplier tubes (PMTs) and a high-resolution digital data acquisition system. A dual-end coincidence measurement technique was used to enhance the signal-to-noise ratio by suppressing thermal noise and other background interferences. Comprehensive calibration of the detection system was performed using standard gamma-ray sources, including 137Cs, 60Co, and 40K, thereby ensuring precise energy scaling and reliable performance.The observed energy spectra of cosmic ray muons are in excellent agreement with theoretical predictions, which explains the energy losses caused by muons passing through the detector. Diurnal variations in muon count rates exhibit a pronounced pattern, with a systematic reduction occurring between 8:00 AM and 1:00 PM. This phenomenon is attributed to the solar shielding effects, where enhanced solar activity during daytime hours modulates the flux of galactic cosmic rays reaching Earth’s surface. To account for atmospheric influences, meteorological corrections are performed using temperature and pressure adjustment functions derived from regression analysis. These corrections indicate that atmospheric pressure and temperature are significant factors affecting muon count rates, and a clear linear relationship is observed.The study further corroborates these findings through cross-comparisons with data from the Yangbajing Cosmic Ray Observatory. Minor discrepancies, primarily in low-energy muon count rates, are attributed to variations in detector sensitivities and local atmospheric conditions. These observations underscore the robustness of the plastic scintillator detector system for capturing detailed muon spectra and anisotropic patterns.This research establishes a reliable experimental framework for analyzing cosmic ray muons and their modulation by solar and atmospheric phenomena. The results contribute to a more in-depth understanding of anisotropy of cosmic rays and the interaction between astrophysical and geophysical processes. Furthermore, these findings provide valuable insights for optimizing detection technologies and enhancing the accuracy of cosmic ray studies.
2025, 74(5): 059202.
doi: 10.7498/aps.74.20241344
Abstract:
The full vector properties of the optical parameters of cylindrical vector vortex beam (CVVB) propagating in free space, such as the momentum (P), spin angular momentum (SAM), transverse-type spin angular momentum (t-SAM), longitudinal-type spin angular momentum (l-SAM), and light field are characterized by using spin-momentum relation in this work. The research results show that P has x-, y-, and z- component, SAM has x- and y- components, but no z-component; t-SAM and l-SAM both have components which are parallel and perpendicular to the optical axis when the topological charge m is not 0; t-SAM has a longitudinal component which is related to the helical trajectory of photons; l-SAM has a transverse component in free space. Except for the angularly polarized vortex beam (APVB), which has no longitudinal field when the topological charge m is 0, both radially polarized vortex beam (RPVB) and APVB have longitudinal fields in free space. The vectorial characteristic of the angular momentum of CVVB in free space can provide a theoretical basis for analyzing the transmission of structured beams in different media.
The full vector properties of the optical parameters of cylindrical vector vortex beam (CVVB) propagating in free space, such as the momentum (P), spin angular momentum (SAM), transverse-type spin angular momentum (t-SAM), longitudinal-type spin angular momentum (l-SAM), and light field are characterized by using spin-momentum relation in this work. The research results show that P has x-, y-, and z- component, SAM has x- and y- components, but no z-component; t-SAM and l-SAM both have components which are parallel and perpendicular to the optical axis when the topological charge m is not 0; t-SAM has a longitudinal component which is related to the helical trajectory of photons; l-SAM has a transverse component in free space. Except for the angularly polarized vortex beam (APVB), which has no longitudinal field when the topological charge m is 0, both radially polarized vortex beam (RPVB) and APVB have longitudinal fields in free space. The vectorial characteristic of the angular momentum of CVVB in free space can provide a theoretical basis for analyzing the transmission of structured beams in different media.









