-
In this study, a clustering method is used to extract the coherent structures associated with intense streamwise velocity fluctuations and temperature fluctuations in high-speed turbulent channel flow. Based on their spatial locations, these structures are categorized into wall-attached type and wall-detached type. A subset of the wall-attached structures exhibits self-similarity in scale, consistent with Townsend (1976)’s attached eddy hypothesis, and these structures are further classified as squat structure, self-similar structure, and tall structure. Conditional averaging results indicate that the streamwise Reynolds normal stress and the intensity of temperature fluctuations follow a logarithmic law in the logarithmic layer, a phenomenon that aligns with the attached eddy hypothesis; meanwhile, the strong Reynolds analogy relationship between velocity and temperature fluctuations remains valid within these attached structures. Analysis based on the RD (Renard-Deck) identity decomposition reveals that tall structures related to low streamwise momentum mainly control the generation of wall friction and heat flux, while tall structures related to high-temperature events play a main role in the of wall-normal heat flux transfer.
-
Keywords:
- high-speed turbulent channel flows /
- clustering method /
- coherent structures /
- self-similarity /
- wall shear stress and wall heat flux.
[1] Smits A, McKeon B, Marusic I 2011 Annu. Rev. Fluid Mech. 43 353
Google Scholar
[2] Jiménez J 2012 Annu. Rev. Fluid Mech. 44 27
Google Scholar
[3] Kline S, Reynolds W, Schraub F, Runstadler P 1967 J. Fluid Mech. 30 741
Google Scholar
[4] Cheng C, Fu L 2022 Phys. Rev. Fluids 7 114604
Google Scholar
[5] Yu M, Xu C, Chen J, Liu P, Fu Y, Yuan X 2022 Phys. Rev. Fluids 7 054607
Google Scholar
[6] Townsend A 1976 The Structure of Turbulent Shear Flows (Cambridge: Cambridge University Press
[7] Perry A, Chong M 1982 J. Fluid Mech. 119 173
Google Scholar
[8] Marusic I, Monty J. 2019 Annu. Rev. Fluid Mech. 51 49
Google Scholar
[9] Hutchins N, Nickels T, Marusic I, Chong M 2009 J. Fluid Mech. 635 103
Google Scholar
[10] Hultmark M, Vallikivi M, Bailey S, Smits A 2012 Phys. Rev. Lett. 108 094501
Google Scholar
[11] Hutchins N, Chauhan K, Marusic I, Monty J 2012 Boundary-Layer Meteorol. 145 273
Google Scholar
[12] Lee M, Moser R 2015 J. Fluid Mech. 774 395
Google Scholar
[13] Nickels T, Marusic I, Hafez S, Chong M 2005 Phys. Rev. Lett. 95 074501
Google Scholar
[14] Ahn J, Lee J, Kang J, Sung H 2015 Phys. Fluids 27 065110
Google Scholar
[15] Lozano D, Flores O, Jiménez J 2012 J. Fluid Mech. 694 100
Google Scholar
[16] Lozano D, Jiménez J 2014 J. Fluid Mech. 759 432
Google Scholar
[17] Dong S, Lozano D, Sekimoto A, Jiménez J 2017 J. Fluid Mech. 816 167
Google Scholar
[18] Lozano D A, Bae H J 2019 J. Fluid Mech. 868 698
Google Scholar
[19] Jiménez J 2013 Phys. Fluids 25 101302
Google Scholar
[20] 董思卫, 程诚, 陈坚强, 袁先旭, 李伟鹏 2021 力学进展 51 792
Dong S W, Cheng C, Chen J Q, Yuan X X, Li W P 2021 Adv. Mech. 51 792
[21] Hwang J, Sung H 2018 J. Fluid Mech. 856 58
[22] Yang J, Hwang J, Sung H 2019 Phys. Rev. Fluids 4 114606
Google Scholar
[23] Yoon M, Hwang J, Yang J, Sung H 2020 J. Fluid Mech. 885 A12
Google Scholar
[24] Hwang J, Lee J, Sung H 2020 J. Fluid Mech. 905 A6
Google Scholar
[25] Yoon M, Sung H 2022 J. Fluid Mech. 943 A14
Google Scholar
[26] Fukagata K, Iwamoto K, Kasagi N 2002 Phys. Fluids 14 73
Google Scholar
[27] Renard N, Deck S 2016 J. Fluid Mech. 790 339
Google Scholar
[28] Gomez T, Flutet V, Sagaut P 2009 Phys. Rev. E 79 035301
[29] Zhang P, Xia Z 2020 Phys. Rev. E 102 043107
[30] Wenzel C, Gibis T, Kloker M 2021 J. Fluid Mech. 930 A1
[31] Li W, Fan Y, Modesti D, Cheng C 2019 J. Fluid Mech. 875 101
Google Scholar
[32] Sun D, Guo Q, Yuan X, Zhang H, Liu P 2021 Adv. Aerodyn. 3 1
Google Scholar
[33] Yu M, Xu C 2021 Phys. Fluids 33 075106
Google Scholar
[34] Yu M, Liu P, Fu Y, Tang Z, Yuan X 2022 Phys. Fluids 34 065139
Google Scholar
[35] Yu M, Liu P, Fu Y, Tang Z, Yuan X 2022 Phys. Fluids 34 065140
Google Scholar
[36] Huang P G, Coleman G N, Bradshaw P 1995 J. Fluid Mech. 305 185
Google Scholar
-
图 4 高速槽道湍流M8 CW05算例中的(a)速度壁面附着结构, (b)速度壁面分离结构, (c)温度壁面附着结构, (d)温度壁面分离结构
Figure 4. (a) Velocity wall-attached structures, (b) velocity wall-detached structures, (c) temperature wall-attached structures, and (d) temperature wall-detached structures in the M8 CW05 case of high-speed turbulent channel flow.
图 5 高速槽道湍流M8 CW02算例中的(a)速度壁面附着结构, (b)速度壁面分离结构, (c)温度壁面附着结构, (d)温度壁面分离结构
Figure 5. (a) Velocity wall-attached structures, (b) velocity wall-detached structures, (c) temperature wall-attached structures, and (d) temperature wall-detached structures in the M8 CW02 case of high-speed turbulent channel flow.
图 6 高速槽道湍流中的结构数量概率分布 M8AW算例中的(a)速度结构和(b)温度结构; M8CW02算例中的(c)速度结构和(d)温度结构; M8CW05算例中的(e)速度结构和(f)温度结构
Figure 6. The number of clusters per unit with respect to ${y_{\min }}$and ${y_{\max }}$: (a) Velocity and (b) temperature structures in the M8AW case; (c) velocity and (d) temperature structures in the M8CW02 case; (e) velocity and (f) temperature structures in the M8CW05 case.
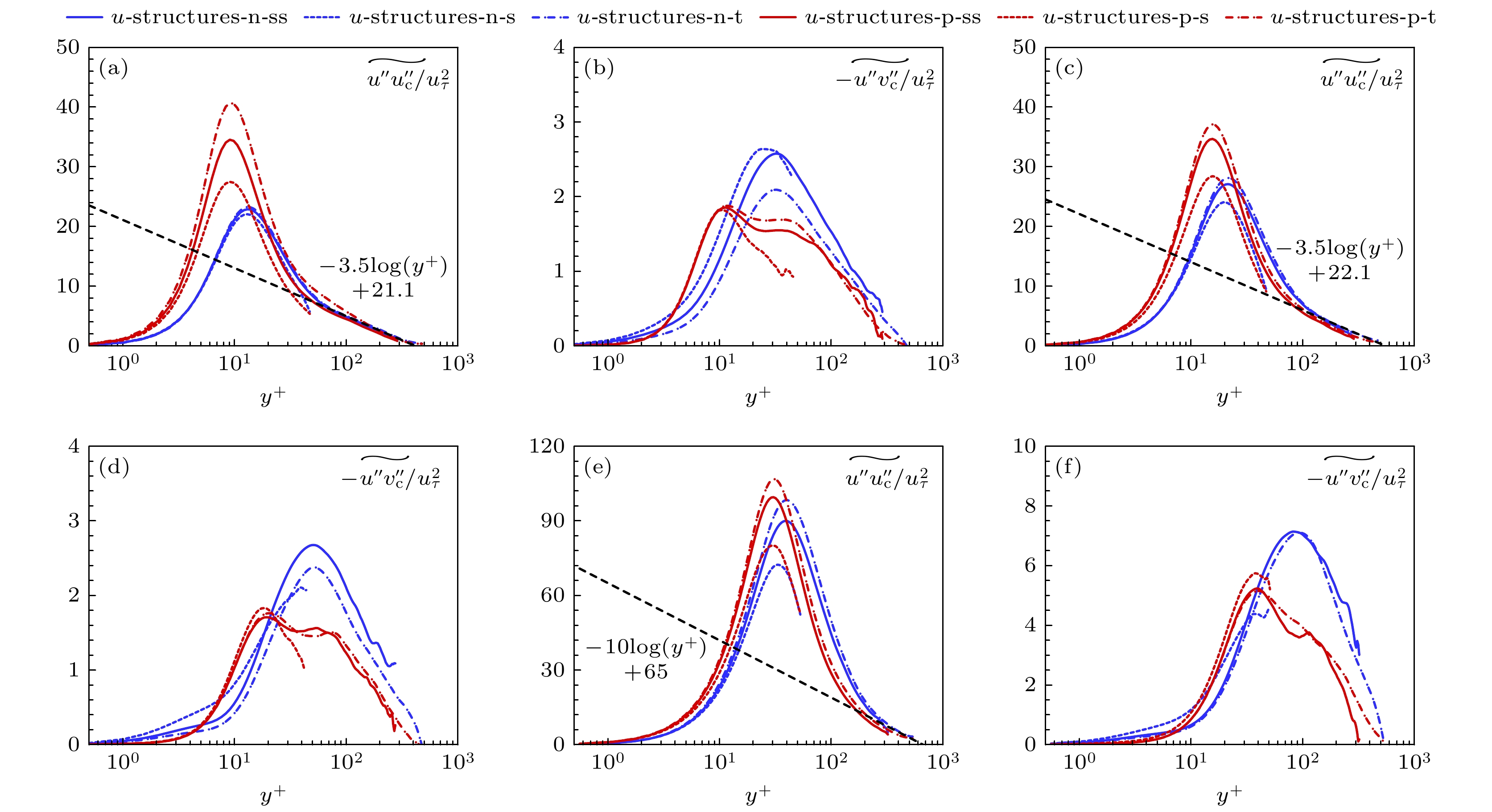
图 8 高速槽道湍流中速度壁面附着结构的条件平均结果 M8AW算例中的(a)流向雷诺正应力和(b)剪切雷诺应力; M8CW05算例中的(c)流向雷诺正应力和(d)剪切雷诺应力; M8CW02算例中的(e)流向雷诺正应力和(f)剪切雷诺应力. 其中, p和n分别代表高速和低速结构; ss, s和t分别代表自相似结构、矮结构以及高结构
Figure 8. Conditional averaging results of velocity wall-attached structures in high-speed turbulent channel flow: (a) Streamwise Reynolds normal stress and (b) shear Reynolds stress in the M8AW case; (c) streamwise Reynolds normal stress and (d) shear Reynolds stress in the M8CW05 case; (e) streamwise Reynolds normal stress and (f) shear Reynolds stress in the M8CW02 case. Here, p and n denote high-speed and low-speed structures, respectively; ss, s, and t represent self-similar, squat, and tall structures, respectively.
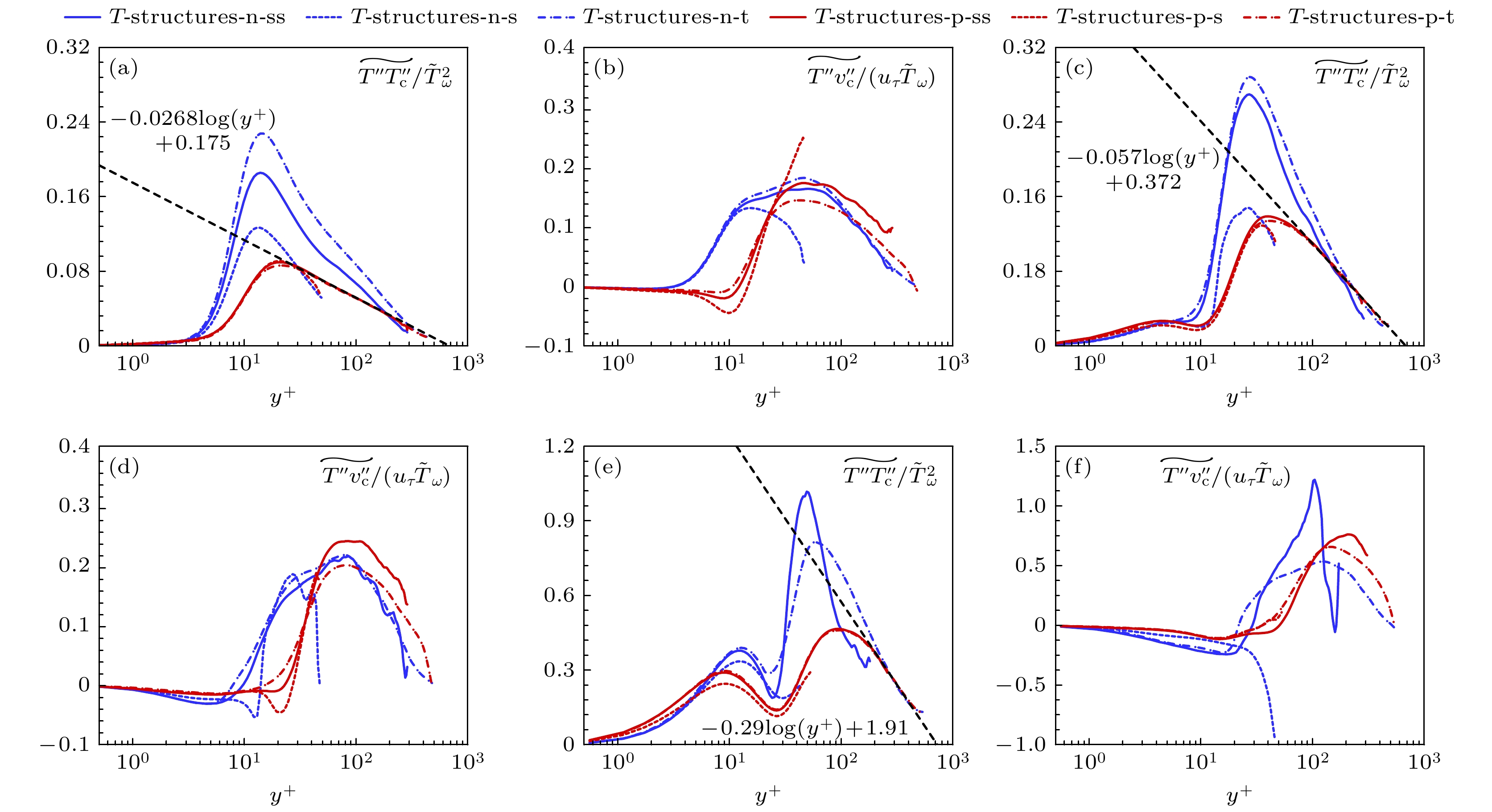
图 9 高速槽道湍流中温度壁面附着结构的条件平均结果 M8AW算例中的(a)温度脉动均方根和(b)湍流热通量; M8CW05算例中的(c)温度脉动均方根和(d)湍流热通量; M8CW02算例中的(e)温度脉动均方根和(f)湍流热通量. 其中, p和n分别代表高温和低温结构; ss, s 和 t 分别代表自相似结构、矮结构以及高结构
Figure 9. Conditional averaging results of temperature wall-attached structures in high-speed turbulent channel flow: (a) Mean square of temperature fluctuations and (b) turbulent heat flux in the M8AW case; (c) mean square of temperature fluctuations and (d) turbulent heat flux in the M8CW05 case; (e) mean square of temperature fluctuations and (f) turbulent heat flux in the M8CW02 case. Here, p and n denote high-temperature and low-temperature structures, respectively; ss, s, and t represent self-similar, squat, and tall structures, respectively.
表 1 不同算例的网格与流动参数
Table 1. Grid and flow parameters for different cases.
算例 ${{{T_{\text{w}}}} \mathord{\left/ {\vphantom {{{T_{\text{w}}}} {{T_{\text{r}}}}}} \right. } {{T_{\text{r}}}}}$ $R{e_\tau }$ ${M_{\text{b}}}$ ${M_{\text{c}}}$ $\Delta {x^ + }$ $\Delta y_{\text{w}}^ + $ $\Delta {z^ + }$ M8 AW 1.0 504 4.44 6.93 5.5 0.50 2.7 M8 CW05 0.5 450 4.61 6.15 4.8 0.46 2.4 M8 CW02 0.2 540 4.79 6.03 9.9 0.59 2.9 表 2 不同速度结构下湍动能生成项对壁面摩阻的贡献占比$ {{{C_{{\text{f, T}}}}} \mathord{\left/ {\vphantom {{{C_{{\text{f, T}}}}} {{C_{\text{f}}}}}} \right. } {{C_{\text{f}}}}} $
Table 2. Contribution percentage, $ {{{C_{{\text{f, T}}}}} \mathord{\left/ {\vphantom {{{C_{{\text{f, T}}}}} {{C_{\text{f}}}}}} \right. } {{C_{\text{f}}}}} $ of the turbulent kinetic energy production term to wall friction under different velocity structures.
Case $ \text{N, ss} $ $ \text{N, s} $ $ \text{N, t} $ $ \text{P, ss} $ $ \text{P, s} $ $ \text{P, t} $ Total M8 AW 3.22 0.32 6.26 1.88 1.35 5.40 42.11 M8 CW05 3.71 0.13 7.10 1.66 1.27 3.70 38.84 M8 CW02 2.21 0.15 9.61 2.01 0.73 2.70 37.20 表 3 不同速度结构下生成项对壁面热流的贡献占比$ {{{C_{{\text{h, RS}}}}} \mathord{\left/ {\vphantom {{{C_{{\text{h, RS}}}}} {{C_{\text{h}}}}}} \right. } {{C_{\text{h}}}}} $
Table 3. Contribution percentage, $ {{{C_{{\text{h, RS}}}}} \mathord{\left/ {\vphantom {{{C_{{\text{h, RS}}}}} {{C_h}}}} \right. } {{C_h}}} $ of the production term to wall heat flux under different velocity structures.
Case $ \mathit{\text{N, ss}} $ $ \text{N, s} $ $ \text{N, t} $ $ \text{P, ss} $ $ \text{P, s} $ $ \text{P, t} $ Total M8 CW05 6.66 0.16 14.24 2.33 1.38 6.32 69.21 M8 CW02 3.00 0.10 14.19 2.09 0.58 3.40 50.56 表 4 不同速度结构下湍流热输运项对壁面热流的贡献占比$ {{{C_{{\text{h, T}}}}} \mathord{\left/ {\vphantom {{{C_{{\text{h, T}}}}} {{C_{\text{h}}}}}} \right. } {{C_{\text{h}}}}} $
Table 4. Contribution percentage, $ {{{C_{{\text{h, T}}}}} \mathord{\left/ {\vphantom {{{C_{{\text{h, T}}}}} {{C_{\text{h}}}}}} \right. } {{C_{\text{h}}}}} $ of the turbulent heat transport term to wall heat flux under different velocity structures.
Case $ \text{N, ss} $ $ \text{N, s} $ $ \text{N, t} $ $ \text{P, ss} $ $ \text{P, s} $ $ \text{P, t} $ Total M8CW05 –0.21 0.33 –0.62 –0.36 0.11 –3.00 –24.95 M8CW02 0.00 0.93 –0.24 –0.01 0.08 –1.22 –8.08 -
[1] Smits A, McKeon B, Marusic I 2011 Annu. Rev. Fluid Mech. 43 353
Google Scholar
[2] Jiménez J 2012 Annu. Rev. Fluid Mech. 44 27
Google Scholar
[3] Kline S, Reynolds W, Schraub F, Runstadler P 1967 J. Fluid Mech. 30 741
Google Scholar
[4] Cheng C, Fu L 2022 Phys. Rev. Fluids 7 114604
Google Scholar
[5] Yu M, Xu C, Chen J, Liu P, Fu Y, Yuan X 2022 Phys. Rev. Fluids 7 054607
Google Scholar
[6] Townsend A 1976 The Structure of Turbulent Shear Flows (Cambridge: Cambridge University Press
[7] Perry A, Chong M 1982 J. Fluid Mech. 119 173
Google Scholar
[8] Marusic I, Monty J. 2019 Annu. Rev. Fluid Mech. 51 49
Google Scholar
[9] Hutchins N, Nickels T, Marusic I, Chong M 2009 J. Fluid Mech. 635 103
Google Scholar
[10] Hultmark M, Vallikivi M, Bailey S, Smits A 2012 Phys. Rev. Lett. 108 094501
Google Scholar
[11] Hutchins N, Chauhan K, Marusic I, Monty J 2012 Boundary-Layer Meteorol. 145 273
Google Scholar
[12] Lee M, Moser R 2015 J. Fluid Mech. 774 395
Google Scholar
[13] Nickels T, Marusic I, Hafez S, Chong M 2005 Phys. Rev. Lett. 95 074501
Google Scholar
[14] Ahn J, Lee J, Kang J, Sung H 2015 Phys. Fluids 27 065110
Google Scholar
[15] Lozano D, Flores O, Jiménez J 2012 J. Fluid Mech. 694 100
Google Scholar
[16] Lozano D, Jiménez J 2014 J. Fluid Mech. 759 432
Google Scholar
[17] Dong S, Lozano D, Sekimoto A, Jiménez J 2017 J. Fluid Mech. 816 167
Google Scholar
[18] Lozano D A, Bae H J 2019 J. Fluid Mech. 868 698
Google Scholar
[19] Jiménez J 2013 Phys. Fluids 25 101302
Google Scholar
[20] 董思卫, 程诚, 陈坚强, 袁先旭, 李伟鹏 2021 力学进展 51 792
Dong S W, Cheng C, Chen J Q, Yuan X X, Li W P 2021 Adv. Mech. 51 792
[21] Hwang J, Sung H 2018 J. Fluid Mech. 856 58
[22] Yang J, Hwang J, Sung H 2019 Phys. Rev. Fluids 4 114606
Google Scholar
[23] Yoon M, Hwang J, Yang J, Sung H 2020 J. Fluid Mech. 885 A12
Google Scholar
[24] Hwang J, Lee J, Sung H 2020 J. Fluid Mech. 905 A6
Google Scholar
[25] Yoon M, Sung H 2022 J. Fluid Mech. 943 A14
Google Scholar
[26] Fukagata K, Iwamoto K, Kasagi N 2002 Phys. Fluids 14 73
Google Scholar
[27] Renard N, Deck S 2016 J. Fluid Mech. 790 339
Google Scholar
[28] Gomez T, Flutet V, Sagaut P 2009 Phys. Rev. E 79 035301
[29] Zhang P, Xia Z 2020 Phys. Rev. E 102 043107
[30] Wenzel C, Gibis T, Kloker M 2021 J. Fluid Mech. 930 A1
[31] Li W, Fan Y, Modesti D, Cheng C 2019 J. Fluid Mech. 875 101
Google Scholar
[32] Sun D, Guo Q, Yuan X, Zhang H, Liu P 2021 Adv. Aerodyn. 3 1
Google Scholar
[33] Yu M, Xu C 2021 Phys. Fluids 33 075106
Google Scholar
[34] Yu M, Liu P, Fu Y, Tang Z, Yuan X 2022 Phys. Fluids 34 065139
Google Scholar
[35] Yu M, Liu P, Fu Y, Tang Z, Yuan X 2022 Phys. Fluids 34 065140
Google Scholar
[36] Huang P G, Coleman G N, Bradshaw P 1995 J. Fluid Mech. 305 185
Google Scholar
Catalog
Metrics
- Abstract views: 1189
- PDF Downloads: 20
- Cited By: 0









DownLoad: