-
Dielectric barrier discharge technology can generate cold plasma at atmospheric pressure, which contains abundant active particles and shows great potential for fresh produce sterilization applications. However, water droplets frequently adhere to the surfaces of fruits and vegetables, which changes key parameters including the gas gap width, dielectric distribution, and gas-phase composition, consequently affecting the effectiveness of plasma applications. Currently, plasma-droplet interactions with contact angle as a variable remain unexplored, and the underlying mechanisms by which adhering droplets affect the electrochemical characteristics of dielectric barrier discharge require further investigation. In this work, we develop an atmospheric-pressure helium dielectric barrier discharge simulation model with an He-O2-N2-H2O reaction system. This model is used to study how water droplets (with contact angles of 45°, 90°, and 135°) adhering to the surface of the specimens affect both the steady-state discharge structure and active particle distribution, as well as their underlying mechanisms. The results show that the steady-state discharge intensity is significantly weakened both at the droplet surface and in the region above it, with the greatest reduction occurring at a contact angle of 135°. During the main positive breakdown phase, the polarized electric field at the droplet surface significantly enhances both electron impact ionization and secondary electron emission, thereby promoting gas-phase breakdown in the region above the water droplet. During the main negative breakdown phase, this polarized electric field accelerates electron migration toward the liquid surface, which intensifies plasma ambipolar diffusion and consequently leads to the formation of an annular discharge suppression zone around the water droplet. During the secondary positive discharge phase, even though the water droplet becomes polarized and a radially inward electric field is generated near the liquid surface, the resulting seed electron scavenging effect suppresses discharge in the region above the water droplet. Due to the stronger polarized electric fields generated at the surfaces of water droplets with larger contact angles, both the discharge enhancement and suppression effects become more pronounced with the increase of contact angle. Regarding the chemical species distribution, active particles and electrons exhibit a synergistic distribution relationship. On the surface of the specimens, He+ ions undergo electric field-driven migration, resulting in a highly non-uniform spatial distribution. The evaporation of water droplets provides more reactant sources for OH generation, thereby increasing its total deposition quantity. Because the bond energy of O2 is lower than that of N2, oxygen (O) demonstrates a more uniform distribution and a greater total deposition quantity than nitrogen (N). On the surfaces of water droplets, the active particles exhibit a gradually decreasing distribution from the center to the edge. Notably, the total deposition quantity of He+ continuously increases with larger contact angles increasing due to the aggregation effect of the polarized electric field. This study systematically elucidates the influence mechanisms of adhering water droplets on the electrochemical processes in dielectric barrier discharge, providing theoretical guidance for relevant applications of plasma-droplet systems.
-
Keywords:
- dielectric barrier discharge /
- water droplet /
- discharge structure /
- active particle
[1] Zhang S, Oehrlein G S 2021 J. Phys. D: Appl. Phys. 54 213001
Google Scholar
[2] Chen Z T, Chen G J, Obenchain R, Zhang R, Bai F, Fang T X, Wang H W, Lu Y J, Wirz R E, Gu Z 2022 Mater. Today 54 153
Google Scholar
[3] Poggemann H-F, Schüttler S, Schöne A L, Jeß E, Schücke L, Jacob T, Gibson A R, Golda J, Jung C 2025 J. Phys. D: Appl. Phys. 58 135208
Google Scholar
[4] Zhou B S, Zhao H G, Yang X, Cheng J-H 2024 Food Res. Int. 196 115117
Google Scholar
[5] Woedtke T, Laroussi M, Gherardi M 2022 Plasma Sources Sci. Technol. 31 054002
Google Scholar
[6] Moldgy A, Nayak G, Aboubakr H A, Goyal S M, Bruggeman P J 2020 J. Phys. D: Appl. Phys. 53 434004
Google Scholar
[7] Konchekov E M, Gusein-zade N, Burmistrov D E, Kolik L V, Dorokhov A S, Izmailov A Y, Shokri B, Gudkov S V 2023 Int. J. Mol. Sci. 24 15093
Google Scholar
[8] Hamdan A, Diamond J, Herrmann A 2021 J. Phys. Commun. 5 035005
Google Scholar
[9] Srivastava T, Simeni Simeni M, Nayak G, Bruggeman P J 2022 Plasma Sources Sci. Technol. 31 085010
Google Scholar
[10] Ling Y, Dai D, Chang J X, Wang B A 2024 Plasma Sci. Technol. 26 094002
Google Scholar
[11] Kovačević V V, Sretenović G B, Obradović B M, Kuraica M M 2022 J. Phys. D: Appl. Phys. 55 473002
Google Scholar
[12] Toth J R, Abuyazid N H, Lacks D J, Renner J N, Sankaran R M 2020 ACS Sustainable Chem. Eng. 8 14845
Google Scholar
[13] Zhao Z G, Liu D P, Xia Y, Li G F, Niu C J, Qi Z H, Wang X, Zhao Z L 2022 Phys. Plasmas 29 043507
Google Scholar
[14] Wang X P, Zhao D M, Tan X M, Chen Y X, Chen Z H, Xiao H 2017 Chem. Eng. J. 328 708
Google Scholar
[15] Sebih L, Carbone E, Hamdan A 2025 J. Phys. D: Appl. Phys. 58 045206
Google Scholar
[16] Kruszelnicki J, Lietz A M, Kushner M J 2019 J. Phys. D: Appl. Phys. 52 355207
Google Scholar
[17] Nayak G, Oinuma G, Yue Y F, Sousa J S, Bruggeman P J 2021 Plasma Sources Sci. Technol. 30 115003
Google Scholar
[18] Oinuma G, Nayak G, Du Y J, Bruggeman P J 2020 Plasma Sources Sci. Technol. 29 095002
Google Scholar
[19] Samukawa S, Hori M, Rauf S, Tachibana K, Bruggeman P, Kroesen G, Whitehead J C, Murphy A B, Gutsol A F, Starikovskaia S 2012 J. Phys. D: Appl. Phys. 45 253001
Google Scholar
[20] Wang R X, Nian W F, Wu H Y, Feng H Q, Zhang K, Zhang J, Zhu W D, Becker K H, Fang J 2012 Eur. Phys. J. D 66 276
Google Scholar
[21] Yan A, Kong X H, Xue S, Guo P W, Chen Z T, Li D L, Liu Z W, Zhang H B, Ning W J, Wang R X 2024 Plasma Sources Sci. Technol. 33 105011
Google Scholar
[22] Konina K, Kruszelnicki J, Meyer M E, Kushner M J 2022 Plasma Sources Sci. Technol. 31 115001
Google Scholar
[23] Ning W J, Lai J, Kruszelnicki J, Foster J E, Dai D, Kushner M J 2021 Plasma Sources Sci. Technol. 30 015005
Google Scholar
[24] Meyer M, Nayak G, Bruggeman P J, Kushner M J 2022 J. Appl. Phys. 132 083303
Google Scholar
[25] Li D C, Li C, Liang T Y, Li J W, Yang Z W, Fu Q X, Zhang M, Yang Y, Yu K X, Du Y P, Zhao X G 2024 Phys. Fluids 36 122020
Google Scholar
[26] Adesina K, Lin T C, Huang Y W, Locmelis M, Han D 2024 IEEE Trans. Radiat. Plasma Med. Sci. 8 295
Google Scholar
[27] Massines F, Gouda G, Gherardi N, Duran M, Croquesel E 2001 Plasmas Polym. 6 35
Google Scholar
[28] Wang Q, Ning W J, Dai D, Zhang Y H, Ouyang J T 2019 J. Phys. D: Appl. Phys. 52 205201
Google Scholar
[29] Wang Q, Dai D, Ning W J, Zhang Y H 2021 J. Phys. D: Appl. Phys. 54 115203
Google Scholar
[30] Sudarsan A, Keener K M 2022 LWT-Food Sci. Technol. 155 112903
Google Scholar
[31] Lee H, Kim J E, Chung M-S, Min S C 2015 Food Microbiol. 51 74
Google Scholar
[32] Ziuzina D, Misra N N, Han L, Cullen P J, Moiseev T, Mosnier J P, Keener K, Gaston E, Vilaró I, Bourke P 2020 Innov. Food Sci. Emerg. Technol. 59 102229
Google Scholar
[33] Min S C, Roh S H, Niemira B A, Boyd G, Sites J E, Uknalis J, Fan X T 2017 Food Microbiol. 65 1
Google Scholar
[34] Tan J Z, Karwe M V 2021 Innovative Food Sci. Emerg. Technol. 74 102868
Google Scholar
[35] Min S C, Roh S H, Niemira B A, Sites J E, Boyd G, Lacombe A 2016 Int. J. Food Microbiol. 237 114
Google Scholar
[36] Wang Q, Zhou X Y, Dai D, Huang Z N, Zhang D M 2021 Plasma Sources Sci. Technol. 30 05LT01
Google Scholar
[37] Lu L, Ku K M, Palma-Salgado S P, Storm A P, Feng H, Juvik J A, Nguyen T H 2015 PLoS ONE 10 e0132841
Google Scholar
[38] Sipahioglu O, Barringer S A 2003 J. Food Sci. 68 234
Google Scholar
[39] Nelson S O 2003 IEEE Antennas Propag. Soc. Int. Symp. 4 46
[40] Liu J, Yang Y, Nie L, Liu D, Lu X 2024 J. Phys. D: Appl. Phys. 57 275201
Google Scholar
[41] Huang Z M, Hao Y P, Yang L, Han Y X, Li L C 2015 Phys. Plasmas 22 123509
Google Scholar
[42] Boeuf J P, Bernecker B, Callegari T, Blanco S, Fournier R 2012 Appl. Phys. Lett. 100 244108
Google Scholar
[43] 王乔 2022 博士学位论文 (广州: 华南理工大学)
Wang Q 2022 Ph. D. Dissertation (Guangzhou: South China University of Technology
[44] Lubarda V A, Talke K A 2011 Langmuir 27 10705
Google Scholar
[45] Wang Q, Ning W J, Dai D, Zhang Y H 2020 Plasma Process. Polym. 17 1900182
Google Scholar
[46] Zhou X Y, Wang Q, Dai D, Huang Z N 2021 Plasma Sci. Technol. 23 064003
Google Scholar
[47] Zhang Y H, Ning W J, Dai D, Wang Q 2019 Plasma Sources Sci. Technol. 28 104001
Google Scholar
[48] Yatom S, Dobrynin D 2022 J. Phys. D: Appl. Phys. 55 485203
Google Scholar
[49] Bruggeman P J, Iza F, Brandenburg R 2017 Plasma Sources Sci. Technol. 26 123002
Google Scholar
[50] Katsigiannis A S, Bayliss D L, Walsh J L 2022 Compr. Rev. Food Sci. Food Saf. 21 1086
Google Scholar
[51] Hasan M I, Walsh J L 2016 J. Appl. Phys. 119 203302
Google Scholar
[52] Chen X Y, Li Y H, Li M Q, Xiong Z L 2022 Plasma Sci. Technol. 24 124015
Google Scholar
[53] Yang X, Keener K M, Cheng J-H 2025 J. Food Eng. 388 112389
Google Scholar
[54] Mayer S E 1969 J. Phys. Chem. 73 3941
Google Scholar
[55] Lxcat program, Phelps database https://us.lxcat.net/data/set_databases.php [2024-11-16]
[56] Hasan M I, Bradley J W 2015 J. Phys. D: Appl. Phys. 48 435201
Google Scholar
-
图 4 仿真模型计算域与网格划分 (a) 水滴蒸发流体力学模型与(b) 水滴及周围区域局部放大图; (c) 等离子体流体模型
Figure 4. The computation domain and grid partitioning of simulation models: (a) The fluid dynamics model of water droplet evaporation and (b) the partial enlarged view of water droplets and surrounding areas; (c) the plasma fluid model.
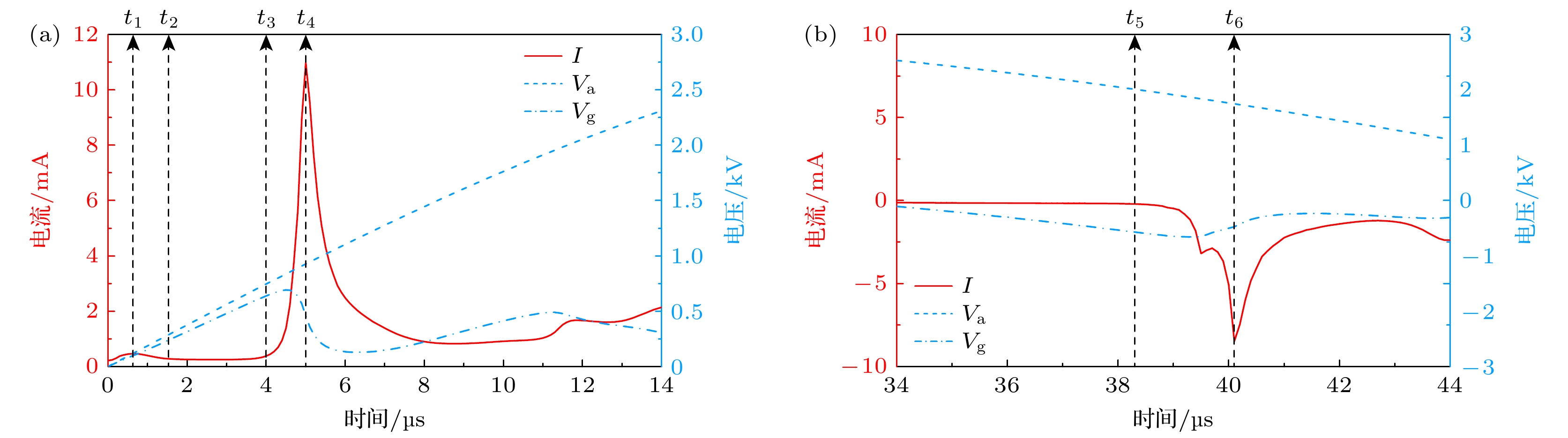
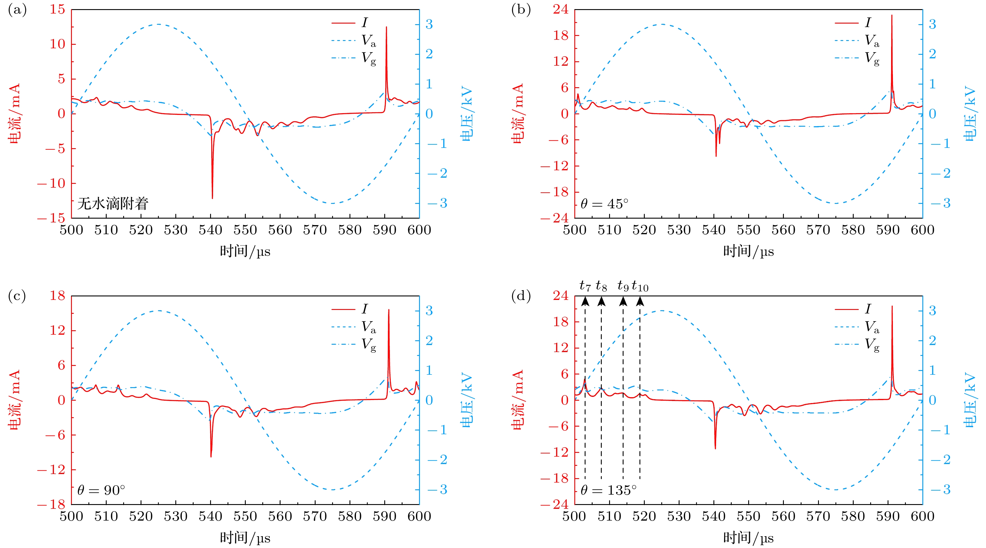
图 11 t1—t4时段DBD的对数ne空间分布, log10(ne)最大值被标注在图中右侧 (a1)—(a4) 情况A; (b1)—(b4) 情况B; (c1)—(c4) 情况C; (d1)—(d4) 情况D
Figure 11. Spatial distributions of logarithmic ne of DBDs from t1 to t4, the maximum value of log10(ne) is marked in the bottom right corner of figures: (a1)–(a4) Situation A; (b1)–(b4) situation B; (c1)–(c4) situation C; (d1)–(d4) situation D.
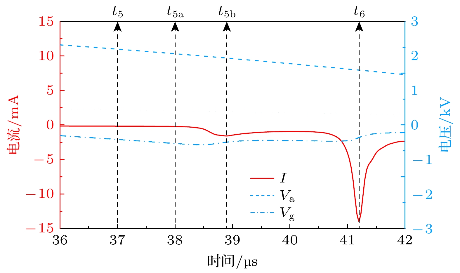
图 15 t5, t6时刻DBD的对数ne空间分布, log10(ne)最大值被标注在图中右下角 (a1), (a2) 情况A; (b1), (b2) 情况B; (c1), (c2) 情况C; (d1), (d2) 情况D
Figure 15. Spatial distributions of logarithmic ne of DBDs at t5 and t6, the maximum value of log10(ne) is marked in the bottom right corner of figures: (a1), (a2) Situation A; (b1), (b2) situation B; (c1), (c2) situation C; (d1), (d2) situation D.
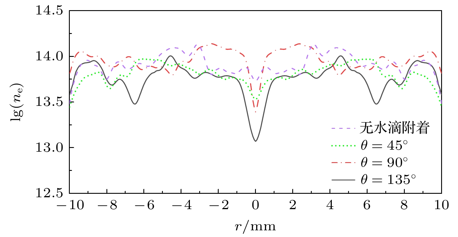
图 19 DBD的稳态正、负放电阶段时均对数ne空间分布, log10(ne)最大值被标注在图中右下角 (a1), (a2) 情况A; (b1), (b2) 情况B; (c1), (c2) 情况C; (d1), (d2) 情况D
Figure 19. Spatial distributions of time-averaged logarithmic ne during the steady-state positive and negative discharge phases of DBDs, the maximum value of log10(ne) is marked in the bottom right corner of figures: (a1), (a2) Situation A; (b1), (b2) situation B; (c1), (c2) situation C; (d1), (d2) situation D.
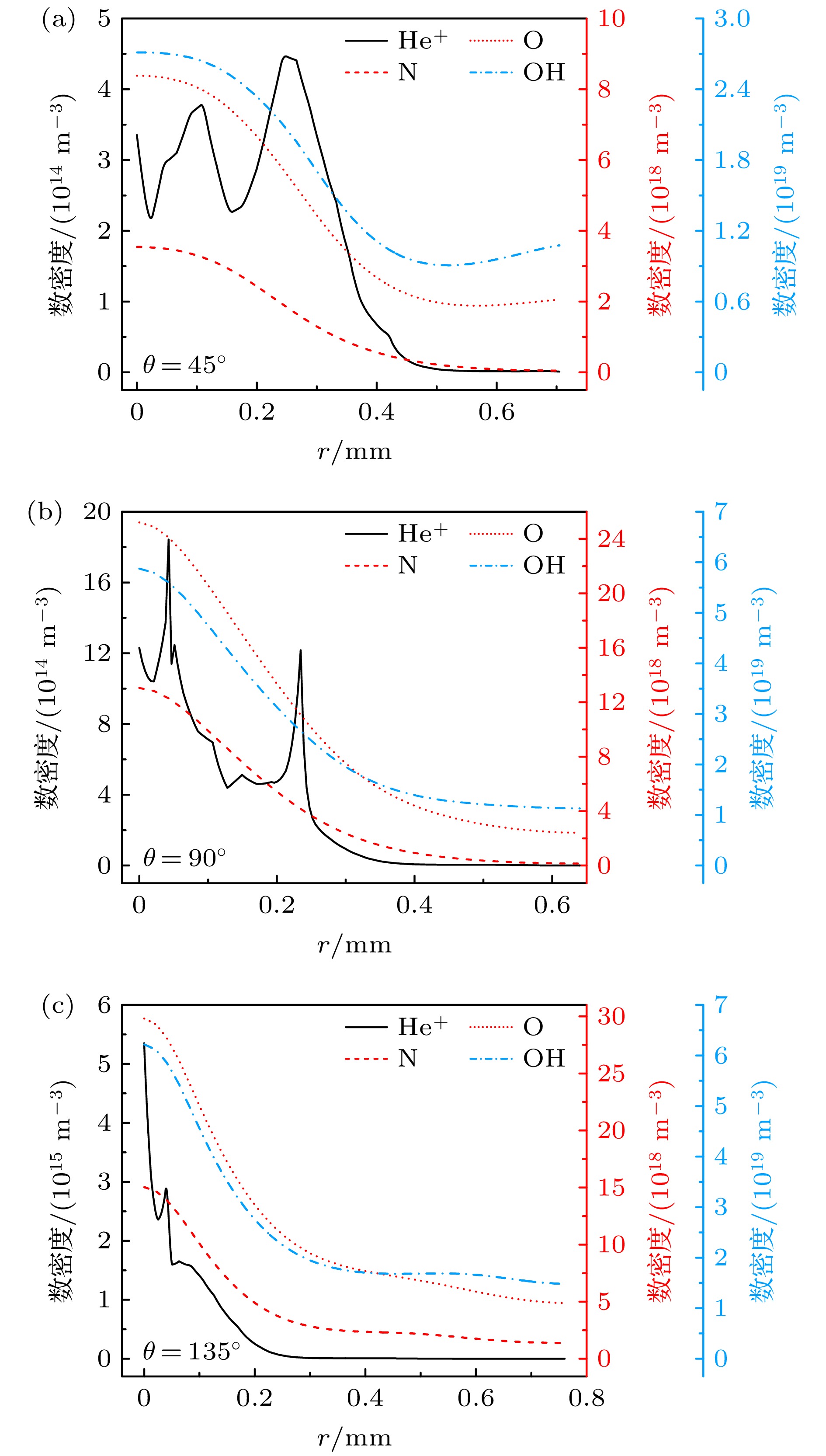
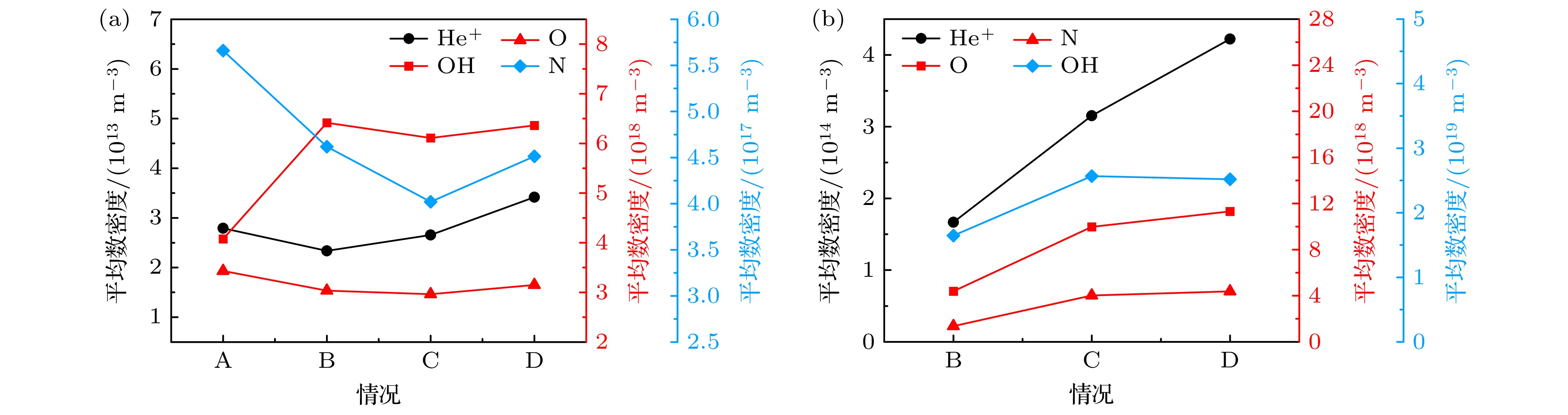
图 24 待处理物表面稳态时均数据的空间分布 (a)—(d) 各情况中活性粒子的数密度; (e) 情况D中He+的通量; (f) 各情况中OH的净生成速率
Figure 24. Spatial distributions of steady-state time-averaged data on the surface of specimens to be treated: (a)–(d) Active particle number density in various situations; (e) He+ flux in situation D; (f) net generation rate of OH in various situations.
表 A1 等离子体化学反应体系
Table A1. Chemical reaction system of plasma.
序号 反应式 速率系数 焓变/eV 参考文献 1 $ {\text{e}}+{\text{He}} \to {\text{e} + \text{He}} $ f(c, ε) — [43] 2 $ {\text{e}}+{\text{He}} \to {\text{e} + \text{H}}{{\text{e}}^ * } $ f(c, ε) 19.82 [43] 3 $ {\text{e}}+{{\text{He}}^ * } \to {\text{e} + \text{He}} $ 2.9×10–15 –19.82 [43] 4 $ {\text{e}}+{\text{He}} \to 2{\text{e} + \text{H}}{{\text{e}}^ + } $ f(c, ε) 24.58 [43] 5 $ {\text{e}}+{{\text{He}}^ * } \to 2{\text{e} + \text{H}}{{\text{e}}^ + } $ $4.661\times 10^{-16}\times T_{\rm e}^{0.6} \times \exp(-4.78/T_{\rm e}) $ 4.78 [43] 6 $ {\text{e}}+{\text{He}}_2^ * \to 2{\text{e} + \text{He}}_2^ + $ $1.268 \times 10^{-18}\times T_{\rm e}^{0.71} \times\exp (-3.4/T_{\rm e}) $ 3.4 [43] 7 $ {\text{e}}+{\text{He}}_2^ + \to {{\text{He}}^ * }+{\text{He}} $ $5.386\times 10^{-13}\times T_{\rm e}^{-0.5} $ — [10] 8 $ {\text{e}}+{{\text{He}}^ + } \to {\mathrm{He}}^ * $ $6.76\times 10^{-19}\times T_{\rm e}^{-0.5} $ — [10] 9 $ 2{\text{e}} + {{\text{He}}^ + } \to {\text{e}}+{{\text{He}}^ * } $ $6.186\times 10^{-39}\times T_{\rm e}^{-4.4} $ — [10] 10 $ {\text{e} + \text{He}}+{{\text{He}}^ + } \to \text{He}+{{\text{He}}^ * } $ $6.66\times 10^{-42}\times T_{\rm e}^{-2} $ — [10] 11 $ 2 {\text{e} + \text{He}}_2^ + \to \text{He}_2^ * + {\text{e}} $ 1.2×10–33 — [10] 12 $ {\text{e} + \text{He} + \text{He}}_2^ + \to \text{He}_2^ * + {\text{He}} $ 1.5×10–39 — [10] 13 $ {\text{e} + \text{He} + \text{He}}_2^ + \to {\mathrm{He}}^ * + 2 {\text{He}} $ 3.5×10–39 — [10] 14 $ 2 {\text{e} + \text{He}}_2^ + \to \text{He}^ * +{\text{He} + \text{e}} $ 2.8×10–32 — [10] 15 $ {\text{e}}+{{\text{N}}_2} \to {\text{e}}+{{\text{N}}_2} $ f(c, ε) — [43] 16 $ {\text{e}}+{{\text{N}}_2} \to {\text{e}}+{{\text{N}}_2} $ (v = 1) f(c, ε) 0.29 [55] 17 $ {\text{e}}+{{\text{N}}_2} \to {\text{e}}+{{\text{N}}_2} $ (v = 2) f(c, ε) 0.59 [55] 18 $ {\text{e}}+{{\text{N}}_2} \to {\text{e}}+{{\text{N}}_2} $ (v = 3) f(c, ε) 0.856 [10] 19 $ {\text{e}}+{{\text{N}}_2} \to {\text{e}}+{{\text{N}}_2} $ (v = 4) f(c, ε) 1.134 [10] 20 $ {\text{e}}+{{\text{N}}_2} \to {\text{e}}+{{\text{N}}_2} $ (v = 5) f(c, ε) 1.4088 [43] 21 $ {\text{e}}+{{\text{N}}_2} \to 2{\text{e} + \text{N}}_2^ + $ f(c, ε) 15.6 [55] 22 $ {\text{e} + \text{N}}_4^ + \to 2\text{N}_2 $ $3.18\times 10^{-13}\times T_{\rm e}^{-0.5} $ — [10] 23 $ {\text{e} + \text{N}}_2^ + \to 2 {\mathrm{N}} $ $4.8 \times 10^{-13} \times T_{\rm e}^{-0.5} $ — [10] 24 $ {\text{e} + \text{N}}_2^ + \to \text{N}_2 $ $7.72\times 10^{-14} \times T_{\rm e}^{-0.5} $ — [10] 25 $ {\text{e}}+{{\text{O}}_2} \to {\text{e}}+{{\text{O}}_2} $ f(c, ε) — [55] 26 $ {\text{e}}+{{\text{O}}_2} \to {\mathrm{O}}+{{\text{O}}^ - } $ f(c, ε) — [55] 27 $ {\text{e}}+{{\text{O}}_2} \to {\text{e}}+{{\text{O}}_2} $ (v = 3) f(c, ε) 0.57 [55] 28 $ {\text{e}}+{{\text{O}}_2} \to {\text{e}}+{{\text{O}}_2} $ (v = 4) f(c, ε) 0.75 [55] 29 $ {\text{e}}+{{\text{O}}_2} \to {\text{e}}+{{\text{O}}_2} $ (a1) f(c, ε) 0.977 [55] 30 $ {\text{e}}+{{\text{O}}_2} \to {\text{e}}+{{\text{O}}_2} $ f(c, ε) –0.977 [10] 31 $ {\text{e}}+{{\text{O}}_2} \to {\text{e}}+{{\text{O}}_2} $ (b1) f(c, ε) 1.627 [55] 32 $ {\text{e}}+{{\text{O}}_2} \to {\text{e}}+{{\text{O}}_2} $ f(c, ε) –1.627 [10] 33 $ {\text{e}}+{{\text{O}}_2} \to {\text{e}}+{{\text{O}}_2} $ (EXC) f(c, ε) 4.5 [55] 34 $ {\text{e}}+{{\text{O}}_2} \to {\text{O}}_2^ - $ f(c, ε) — [43] 35 $ {\text{e}}+{{\text{O}}_2} \to {\text{e + O + O}} $ f(c, ε) 5.58 [10] 36 $ {\text{e}}+{{\text{O}}_2} \to {\text{e + O + O}} $ (1D) f(c, ε) 8.4 [10] 37 $ {\text{e}}+{{\text{O}}_2} \to 2{\text{e} + \text{O}}_2^ + $ f(c, ε) 12.06 [55] 38 $ {\text{e}} + 2{{\text{O}}_2} \to \text{O}_2+{\text{O}}_2^ - $ $5.17\times 10^{-43} \times T_{\rm e}^{-1} $ –0.43 [43] 39 $ {\text{e} + \text{O}}_2^ + \to 2{\text{O}} $ $6\times 10^{-11} \times T_{\rm e}^{-1} $ –6.91 [43] 40 $ {\text{e} + \text{O}}_2^ + \to \text{O}_2 $ 4×10–18 — [43] 41 $ {\text{e} + \text{O}}_4^ + \to 2\text{O}_2 $ $2.25\times 10^{-13}\times T_{\rm e}^{-0.5} $ — [10] 42 $ {\text{e}}+{{\text{H}}_2}{\text{O}} \to {\text{e}}+{{\text{H}}_2}{\text{O}} $ f(c, ε) — [10] 43 $ {\text{e}}+{{\text{H}}_2}{\text{O}} \to {\text{e + e + }}{{\text{H}}_2}{{\text{O}}^ + } $ f(c, ε) 13.76 [10] 44 $ {\text{e}}+{{\text{H}}_2}{\text{O}} \to {\text{e + H + OH}} $ f(c, ε) 7 [10] 45 $ {\text{e + H + OH}} \to {\text{e}}+{{\text{H}}_2}{\text{O}} $ f(c, ε) –7 [10] 46 $ {\text{e}}+{{\text{H}}_2}{{\text{O}}^ + } \to {\mathrm{OH}} + {\text{H}} $ $6.6\times 10^{-12} \times T_{\rm e}^{-0.5} $ — [10] 47 $ {\text{H}}{{\text{e}}^ * }{\text{ + H}}{{\text{e}}^ * } \to {\text{e + He + H}}{{\text{e}}^ + } $ 4.5×10–16 –15 [10] 48 $ {\text{H}}{{\text{e}}^ * } + 2 {\text{He}} \to {\text{He}}_2^ * +{\text{He}} $ 1.3×10–45 — [10] 49 $ {\text{H}}{{\text{e}}^ + } + 2 {\text{He}} \to {\text{He}}_2^ + +{\text{He}} $ 1×10–43 — [10] 50 $ {{\text{O}}^ - }+{\text{O}}_2^ + \to {\mathrm{O}}+{{\text{O}}_2} $ 2×10–13 — [10] 51 $ {\text{O}}_2^ - +{\text{O}}_2^ + \to 2{{\text{O}}_2} $ 2×10–13 — [10] 52 $ {\text{O}}_2^ - +{\text{O}}_2^ + +{{\text{O}}_2} \to 3{{\text{O}}_2} $ 2×10–37 — [10] 53 $ {\text{O}}_2^ - +{\text{O}}_4^ + +{{\text{O}}_2} \to 4{{\text{O}}_2} $ 2×10–37 — [10] 54 $ {{\text{O}}_2}+{{\text{O}}_2}+{\text{O}}_2^ + \to {{\text{O}}_2}+{\text{O}}_4^ + $ 2.4×10–42 — [10] 55 $ {\text{H}}{{\text{e}}^ * }+{{\text{N}}_2} \to {\mathrm{e}}{\text{ + N}}_2^ + +{\text{He}} $ 7×10–17 — [10] 56 $ {\text{He}}_2^ * +{{\text{N}}_2} \to {\mathrm{e}}{\text{ + N}}_2^ + + 2 {\text{He}} $ 7×10–17 — [10] 57 $ {\text{He}}_2^ * +{{\text{O}}_2} \to {\mathrm{e}}+{\text{O}}_2^ + + 2 {\text{He}} $ 3.6×10–16 — [10] 58 $ {\text{H}}{{\text{e}}^ * }+{{\text{O}}_2} \to {\mathrm{e}}+{\text{O}}_2^ + +{\text{He}} $ 2.6×10–16 — [10] 59 $ {\text{He}}_2^ + +{{\text{N}}_2} \to {\mathrm{N}}_2^ + + 2 {\text{He}} $ 5×10–16 — [10] 60 $ {\text{H}}{{\text{e}}^ + }+{{\text{N}}_2} \to {\mathrm{N}}_2^ + +{\text{He}} $ 5×10–16 — [10] 61 $ {\text{He + }}{{\text{N}}_2}{\text{ + N}}_2^ + \to \text{He}{\text{ + N}}_4^ + $ 8.9×10–42 — [10] 62 $ {\text{He + }}{{\text{O}}_2}+{\text{O}}_2^ + \to {\mathrm{He}}+{\text{O}}_4^ + $ 5.8×10–43 — [10] 63 $ {\text{O + O + N}} \to \text{O}_2 + {\text{N}} $ 3.2×10–45 — [10] 64 $ {{\text{O}}_2}{\text{ + N + N}} \to \text{O}_2+{{\text{N}}_2} $ 3.9×10–45 — [10] 65 $ {{\text{O}}_2}{\text{ + N}}_4^ + \to 2\text{N}_2+{\text{O}}_2^ + $ 2.5×10–16 — [43] 66 $ {{\text{N}}_2}+{{\text{O}}_2}{\text{ + N}}_2^ + \to \text{O}_2{\text{ + N}}_4^ + $ 5×10–41 — [10] 67 $ {\text{O}}_2^ - +{\text{O}}_4^ + +{{\text{N}}_2} \to 3\text{O}_2+{{\text{N}}_2} $ 2×10–37 — [10] 68 $ {\text{O}}_2^ - +{\text{O}}_2^ + +{{\text{N}}_2} \to 2\text{O}_2+{{\text{N}}_2} $ 2×10–37 — [10] 69 $ {\text{O}}_2^ - +{\text{O}}_2^ + + {\text{He}} \to 2\text{O}_2 + {\text{He}} $ 2×10–37 — [10] 70 $ {\text{He + O + H}} \to \text{He}{\text{ + OH}} $ 3.2×10–45×T–1 — [10] 71 $ {\text{O + 2}}{{\text{O}}_2} \to {\mathrm{O}}_3+{{\text{O}}_2} $ 6×10–46×(T/300)–2.8 — [56] 72 $ 2 {\text{O}} + {{\text{O}}_2} \to {{\mathrm{O}}_3}+{\text{O}} $ 3.4×10–46×(T/300)–1.2 — [56] 73 $ {\text{O + }}{{\text{O}}_2}+{{\text{N}}_2} \to \text{N}_2+{{\text{O}}_3} $ 1.1×10–46×exp(510/T) — [56] 74 $ {\text{O + }}{{\text{O}}_2}+{\text{He}} \to \text{He}+{{\text{O}}_3} $ 3.4×10–46×(T/300)–1.2 — [56] 75 $ {{\text{O}}_3}+{\text{O}} \to 2{{\text{O}}_2} $ 8×10–18×exp(–2060/T) — [56] 76 $ {2}{{\text{O}}_3} \to {\text{O + }}{{\text{O}}_2}+{{\text{O}}_3} $ 1.6×10–15×exp(–11400/T) — [56] 77 $ {{\text{O}}_3}+{{\text{N}}_2} \to {\text{O}} + {{\text{O}}_2}+{{\text{N}}_2} $ 1.6×10–15×exp(–11400/T) — [56] 78 $ {\text{He}} + {{\text{O}}_3} \to \text{He} + {\text{O}} + {{\text{O}}_2} $ 1.56×10–15×exp(–11400/T) — [56] 注: f(c, ε)代表该反应的速率系数是使用碰撞横截面与电子能的函数和电子能量分布函数计算得到的; Te 为电子温度, 单位为 eV; He*代表He(23S)和He(21S); He2*代表He2 (${\mathrm{a}}^3\Sigma_{\rm u}^+$); N2代表N2 (v = 1), N2 (v = 2), N2 (v = 3), N2 (v = 4)和N2 (v = 5); O2代表O2 (v = 3), O2 (v = 4), O2 (a1), O2 (b1)和O2 (EXC); O代表O (1D); 双体和三体反应的速率系数单位分别为m3·s–1和m6·s–1 [10,43]. -
[1] Zhang S, Oehrlein G S 2021 J. Phys. D: Appl. Phys. 54 213001
Google Scholar
[2] Chen Z T, Chen G J, Obenchain R, Zhang R, Bai F, Fang T X, Wang H W, Lu Y J, Wirz R E, Gu Z 2022 Mater. Today 54 153
Google Scholar
[3] Poggemann H-F, Schüttler S, Schöne A L, Jeß E, Schücke L, Jacob T, Gibson A R, Golda J, Jung C 2025 J. Phys. D: Appl. Phys. 58 135208
Google Scholar
[4] Zhou B S, Zhao H G, Yang X, Cheng J-H 2024 Food Res. Int. 196 115117
Google Scholar
[5] Woedtke T, Laroussi M, Gherardi M 2022 Plasma Sources Sci. Technol. 31 054002
Google Scholar
[6] Moldgy A, Nayak G, Aboubakr H A, Goyal S M, Bruggeman P J 2020 J. Phys. D: Appl. Phys. 53 434004
Google Scholar
[7] Konchekov E M, Gusein-zade N, Burmistrov D E, Kolik L V, Dorokhov A S, Izmailov A Y, Shokri B, Gudkov S V 2023 Int. J. Mol. Sci. 24 15093
Google Scholar
[8] Hamdan A, Diamond J, Herrmann A 2021 J. Phys. Commun. 5 035005
Google Scholar
[9] Srivastava T, Simeni Simeni M, Nayak G, Bruggeman P J 2022 Plasma Sources Sci. Technol. 31 085010
Google Scholar
[10] Ling Y, Dai D, Chang J X, Wang B A 2024 Plasma Sci. Technol. 26 094002
Google Scholar
[11] Kovačević V V, Sretenović G B, Obradović B M, Kuraica M M 2022 J. Phys. D: Appl. Phys. 55 473002
Google Scholar
[12] Toth J R, Abuyazid N H, Lacks D J, Renner J N, Sankaran R M 2020 ACS Sustainable Chem. Eng. 8 14845
Google Scholar
[13] Zhao Z G, Liu D P, Xia Y, Li G F, Niu C J, Qi Z H, Wang X, Zhao Z L 2022 Phys. Plasmas 29 043507
Google Scholar
[14] Wang X P, Zhao D M, Tan X M, Chen Y X, Chen Z H, Xiao H 2017 Chem. Eng. J. 328 708
Google Scholar
[15] Sebih L, Carbone E, Hamdan A 2025 J. Phys. D: Appl. Phys. 58 045206
Google Scholar
[16] Kruszelnicki J, Lietz A M, Kushner M J 2019 J. Phys. D: Appl. Phys. 52 355207
Google Scholar
[17] Nayak G, Oinuma G, Yue Y F, Sousa J S, Bruggeman P J 2021 Plasma Sources Sci. Technol. 30 115003
Google Scholar
[18] Oinuma G, Nayak G, Du Y J, Bruggeman P J 2020 Plasma Sources Sci. Technol. 29 095002
Google Scholar
[19] Samukawa S, Hori M, Rauf S, Tachibana K, Bruggeman P, Kroesen G, Whitehead J C, Murphy A B, Gutsol A F, Starikovskaia S 2012 J. Phys. D: Appl. Phys. 45 253001
Google Scholar
[20] Wang R X, Nian W F, Wu H Y, Feng H Q, Zhang K, Zhang J, Zhu W D, Becker K H, Fang J 2012 Eur. Phys. J. D 66 276
Google Scholar
[21] Yan A, Kong X H, Xue S, Guo P W, Chen Z T, Li D L, Liu Z W, Zhang H B, Ning W J, Wang R X 2024 Plasma Sources Sci. Technol. 33 105011
Google Scholar
[22] Konina K, Kruszelnicki J, Meyer M E, Kushner M J 2022 Plasma Sources Sci. Technol. 31 115001
Google Scholar
[23] Ning W J, Lai J, Kruszelnicki J, Foster J E, Dai D, Kushner M J 2021 Plasma Sources Sci. Technol. 30 015005
Google Scholar
[24] Meyer M, Nayak G, Bruggeman P J, Kushner M J 2022 J. Appl. Phys. 132 083303
Google Scholar
[25] Li D C, Li C, Liang T Y, Li J W, Yang Z W, Fu Q X, Zhang M, Yang Y, Yu K X, Du Y P, Zhao X G 2024 Phys. Fluids 36 122020
Google Scholar
[26] Adesina K, Lin T C, Huang Y W, Locmelis M, Han D 2024 IEEE Trans. Radiat. Plasma Med. Sci. 8 295
Google Scholar
[27] Massines F, Gouda G, Gherardi N, Duran M, Croquesel E 2001 Plasmas Polym. 6 35
Google Scholar
[28] Wang Q, Ning W J, Dai D, Zhang Y H, Ouyang J T 2019 J. Phys. D: Appl. Phys. 52 205201
Google Scholar
[29] Wang Q, Dai D, Ning W J, Zhang Y H 2021 J. Phys. D: Appl. Phys. 54 115203
Google Scholar
[30] Sudarsan A, Keener K M 2022 LWT-Food Sci. Technol. 155 112903
Google Scholar
[31] Lee H, Kim J E, Chung M-S, Min S C 2015 Food Microbiol. 51 74
Google Scholar
[32] Ziuzina D, Misra N N, Han L, Cullen P J, Moiseev T, Mosnier J P, Keener K, Gaston E, Vilaró I, Bourke P 2020 Innov. Food Sci. Emerg. Technol. 59 102229
Google Scholar
[33] Min S C, Roh S H, Niemira B A, Boyd G, Sites J E, Uknalis J, Fan X T 2017 Food Microbiol. 65 1
Google Scholar
[34] Tan J Z, Karwe M V 2021 Innovative Food Sci. Emerg. Technol. 74 102868
Google Scholar
[35] Min S C, Roh S H, Niemira B A, Sites J E, Boyd G, Lacombe A 2016 Int. J. Food Microbiol. 237 114
Google Scholar
[36] Wang Q, Zhou X Y, Dai D, Huang Z N, Zhang D M 2021 Plasma Sources Sci. Technol. 30 05LT01
Google Scholar
[37] Lu L, Ku K M, Palma-Salgado S P, Storm A P, Feng H, Juvik J A, Nguyen T H 2015 PLoS ONE 10 e0132841
Google Scholar
[38] Sipahioglu O, Barringer S A 2003 J. Food Sci. 68 234
Google Scholar
[39] Nelson S O 2003 IEEE Antennas Propag. Soc. Int. Symp. 4 46
[40] Liu J, Yang Y, Nie L, Liu D, Lu X 2024 J. Phys. D: Appl. Phys. 57 275201
Google Scholar
[41] Huang Z M, Hao Y P, Yang L, Han Y X, Li L C 2015 Phys. Plasmas 22 123509
Google Scholar
[42] Boeuf J P, Bernecker B, Callegari T, Blanco S, Fournier R 2012 Appl. Phys. Lett. 100 244108
Google Scholar
[43] 王乔 2022 博士学位论文 (广州: 华南理工大学)
Wang Q 2022 Ph. D. Dissertation (Guangzhou: South China University of Technology
[44] Lubarda V A, Talke K A 2011 Langmuir 27 10705
Google Scholar
[45] Wang Q, Ning W J, Dai D, Zhang Y H 2020 Plasma Process. Polym. 17 1900182
Google Scholar
[46] Zhou X Y, Wang Q, Dai D, Huang Z N 2021 Plasma Sci. Technol. 23 064003
Google Scholar
[47] Zhang Y H, Ning W J, Dai D, Wang Q 2019 Plasma Sources Sci. Technol. 28 104001
Google Scholar
[48] Yatom S, Dobrynin D 2022 J. Phys. D: Appl. Phys. 55 485203
Google Scholar
[49] Bruggeman P J, Iza F, Brandenburg R 2017 Plasma Sources Sci. Technol. 26 123002
Google Scholar
[50] Katsigiannis A S, Bayliss D L, Walsh J L 2022 Compr. Rev. Food Sci. Food Saf. 21 1086
Google Scholar
[51] Hasan M I, Walsh J L 2016 J. Appl. Phys. 119 203302
Google Scholar
[52] Chen X Y, Li Y H, Li M Q, Xiong Z L 2022 Plasma Sci. Technol. 24 124015
Google Scholar
[53] Yang X, Keener K M, Cheng J-H 2025 J. Food Eng. 388 112389
Google Scholar
[54] Mayer S E 1969 J. Phys. Chem. 73 3941
Google Scholar
[55] Lxcat program, Phelps database https://us.lxcat.net/data/set_databases.php [2024-11-16]
[56] Hasan M I, Bradley J W 2015 J. Phys. D: Appl. Phys. 48 435201
Google Scholar
Catalog
Metrics
- Abstract views: 560
- PDF Downloads: 7
- Cited By: 0









DownLoad: