-
神经形态计算的硬件实现, 正从传统架构转向对生物神经元内在物理机制的更精细模拟. 聚焦于电场-磁场能量交换这一核心过程, 本文提出一种基于荷控忆阻器的无电容嵌入式神经元电路设计方法. 通过构建无量纲动力学方程并采用雅可比矩阵特征值分析, 验证了该模型的稳定性特征. 研究结果表明, 该模型不仅可通过外界刺激、反转电位及离子通道导通性等参数灵活调控神经元放电模式, 还展现出良好的噪声鲁棒性与能量效率. 进一步通过电阻参数优化策略, 使电路能耗得到显著控制. 本文可为发展高集成度、低能耗的下一代神经形态计算电路提供理论支撑与设计参考.
To address the issues of high dynamic power consumption and substantial occupation of silicon integration resources in traditional capacitor-containing neuronal circuits, this study proposes a capacitor-free neuronal circuit based on a charge-controlled memristor. By taking the intrinsic parameters of the charge-controlled memristor as the reference for scaling transformation, dimensionless dynamical equations are derived. The local asymptotic stability of the system is verified using Jacobian matrix eigenvalue decomposition and the Routh-Hurwitz criterion. Gaussian white noise is introduced to simulate the interference for detecting coherent resonance, while energy characteristics are analyzed by combining Hamiltonian energy formulas and resistance energy consumption expressions. Additionally, the fourth-order Runge-Kutta method is adopted to conduct numerical simulations. The research results indicate that external stimulus, ionic channel conductance, and reversal potential can flexibly regulate the periodic/chaotic firing modes of the neuron. In the periodic state, the proportion of electric field energy of the charge-controlled memristor in the total energy is higher; in the chaotic state, however, the proportion of magnetic field energy of the inductive coils increases. The circuit exhibits coherent resonance under the influence of noise, and resistor is the main energy-consuming component. The conclusion proves that the circuit is feasible in principle, with rich dynamical characteristics and good noise robustness. Adjusting the resistance value can enhance energy efficiency while preserving multiple firing modes, thereby providing theoretical support and optimization direction for designing high-integration, low-power neuromorphic computing circuits. -
Keywords:
- memristive neural circuits /
- stability analysis /
- coherent resonance /
- energy consumption control
-
图 1 无电容嵌入式忆阻神经元电路示意图. M(q)表示荷控忆阻器, L1, L2表示感应线圈, E1, E2表示恒定电压源, R1, R2, R3表示恒定电阻
Fig. 1. Schematic diagram of the capacitor-free embedded memristive neural circuit. M(q) denotes the charge-controlled memristor, L1 and L2 denote inductive coils, E1 and E2 denote constant voltage sources, and R1, R2, and R3 denote constant resistors.
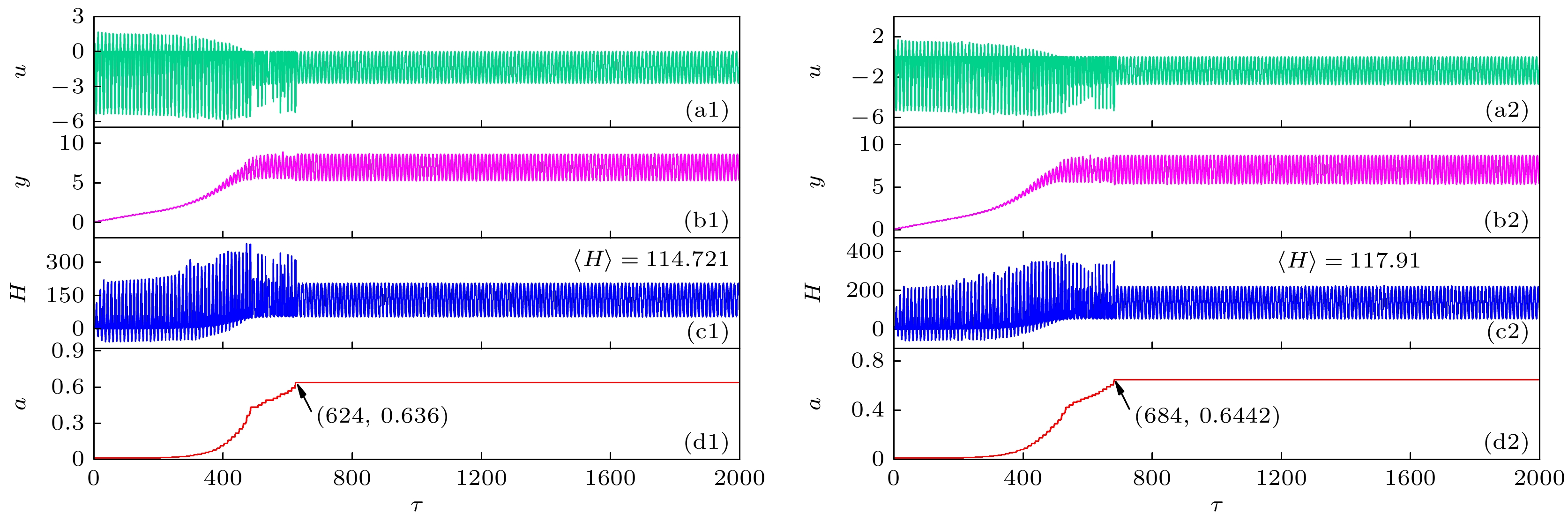
图 11 参数a依据方程(23)的能量自适应调节模式进行演化时, 不同阈值ε下(a1), (a2) u, (b1), (b2) y的时序图; (c1), (c2)哈密顿能量H和(d1), (d2)参数a随时间的演化曲线. 参考实际能量值对ε直接取值(a) ε1 = 262.7, σ1 = 0.1; (b) ε2 = 280.7, σ2 = 0.1. a的初始值ainitial = 0.001
Fig. 11. When parameter a evolves according to the energy adaptive adjustment mode in Eq.(23), time series of (a1), (a2) u and (b1), (b2) y under different thresholds ε; (c1), (c2) the time evolution curves of Hamilton energy H, and (d1), (d2) parameter a. The threshold values ε are directly set with reference to the actual energy values: (a) ε1 = 262.7, σ1 = 0.1; (b) ε2 = 280.7, σ2 = 0.1. ainitial = 0.001 (initial value of parameter a).
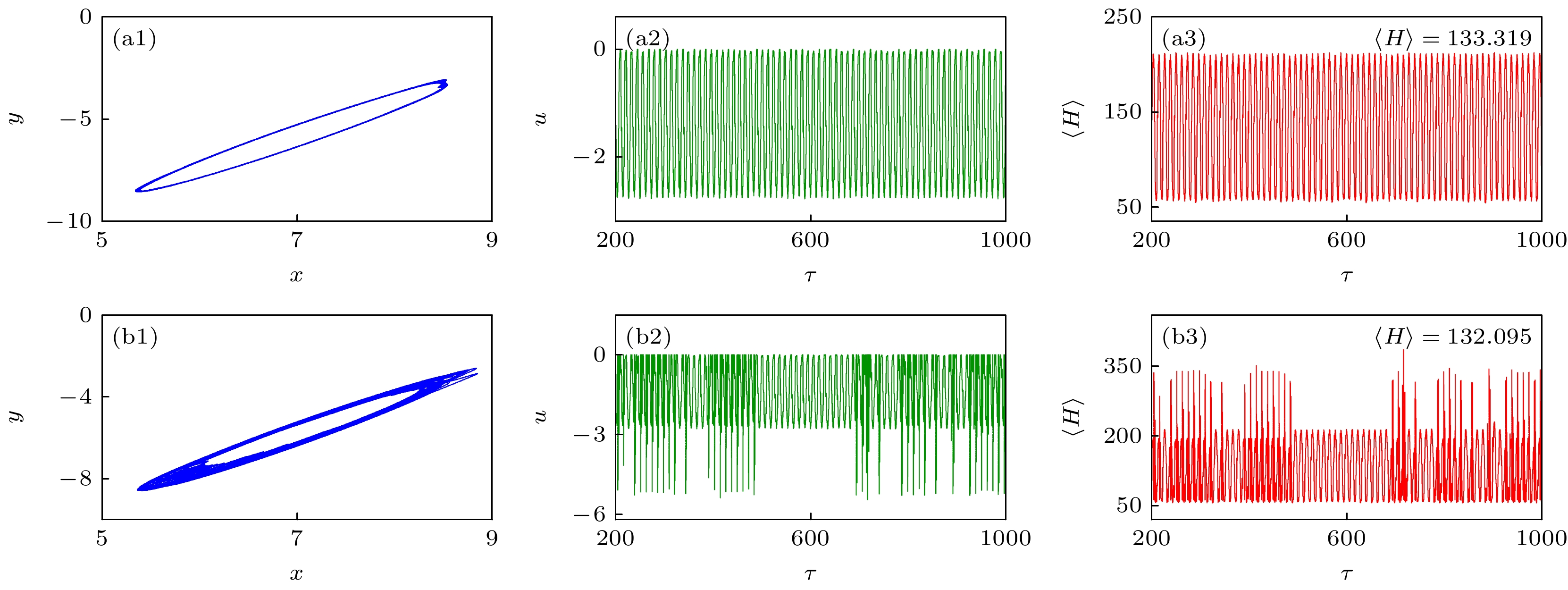
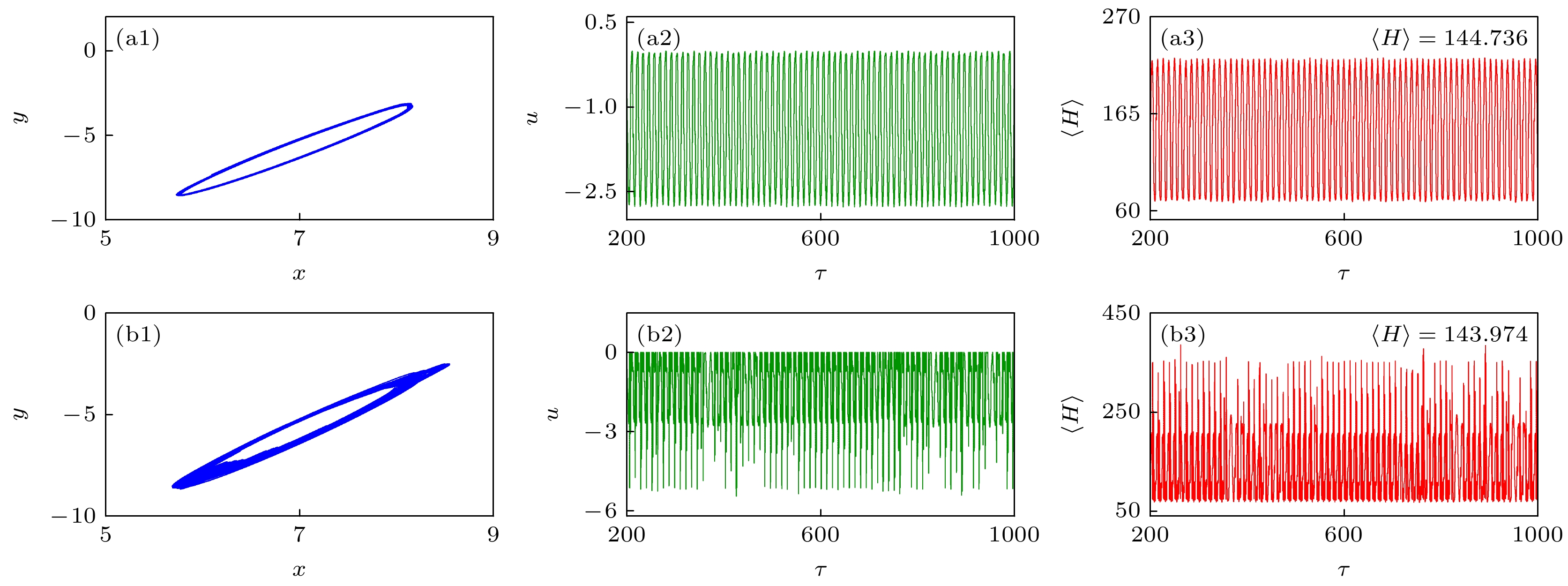
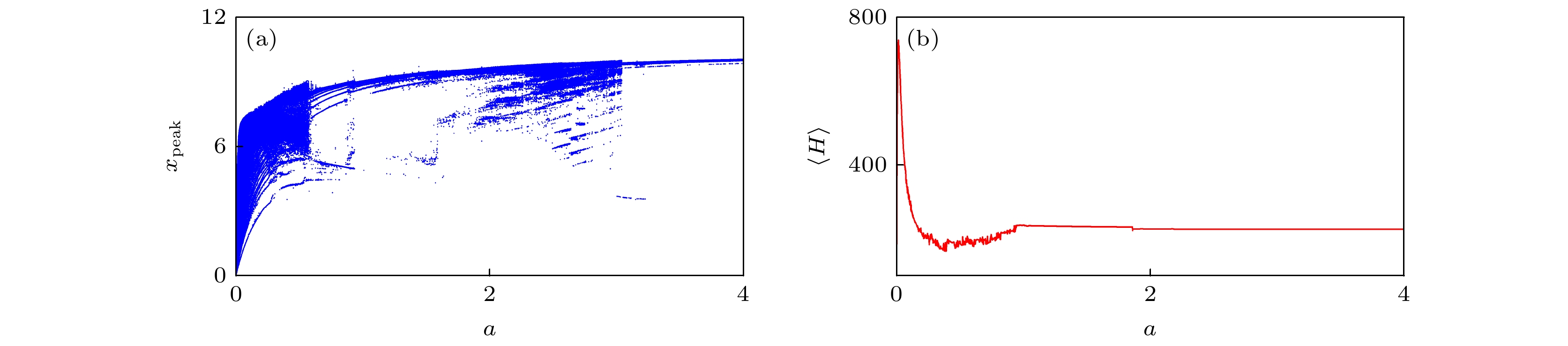
图 13 神经元工作过程中分别处于(a) 周期放电b = 0.991和(b) 混沌放电b = 0.928时, 电阻R1, R2和R3对应的能量消耗占比情况; (c) b = 1.72时变量x的峰值xpeak对参数g的分岔图
Fig. 13. Proportion of energy consumption for resistors R1, R2 and R3 during neural operation under (a) periodic firing b = 0.991 and (b) chaotic firing b = 0.928; (c) bifurcation diagram of the peak value xpeak of variable g.
-
[1] Izhikevich E M 2003 IEEE Trans. Neural Netw. 14 1569
Google Scholar
[2] Hodgkin A L, Huxley A F 1952 J. Physiol. 117 500
Google Scholar
[3] Fitzhugh R 1960 J. Gen. Physiol. 43 867
Google Scholar
[4] Feali M S 2025 AEU-Int. J. Electron. Commun. 191 155679
Google Scholar
[5] Harerimana G, Kim I G, Kim J W, Jang B 2023 IEEE Access 11 106334
Google Scholar
[6] Chen C A, Mathalon D H, Roach B J, Cavus I, Spencer D D, Ford J M 2011 J. Cogn. Neurosci. 23 2892
Google Scholar
[7] Montano N, Furlan R, Guzzetti S, McAllen R M, Julien C 2009 Phil. Trans. R. Soc. A 367 1265
Google Scholar
[8] Shao J, Liu Y H, Gao D S, Tu J, Yang F 2021 Front. Cell. Neurosci. 15 741292
Google Scholar
[9] Koch N A, Sonnenberg L, Hedrich U B, Lauxmann S, Benda J 2023 Front. Neurol. 14 1194811
Google Scholar
[10] Dai Y, Cheng Y, Fedirchuk B, Jordan L M, Chu J H 2018 J. Neurophysiol. 120 1840
Google Scholar
[11] Velasco E, Alvarez J L, Meseguer V M, Gallar J, Talavera Karel 2022 Pain 163 64
Google Scholar
[12] Izhikevich E M 2000 Int. J. Bifurcat. Chaos 10 1171
Google Scholar
[13] Xu Y H, Zhang S, Zhao Q Y, You S N, Dun W J, Zhao M K, Xu G Z 2023 Life Sci. Instrum. 21 64 [徐亦豪, 张帅, 赵清扬, 由胜男, 杜文静, 赵明康, 徐桂芝 2023 生命科学仪器 21 64]
Xu Y H, Zhang S, Zhao Q Y, You S N, Dun W J, Zhao M K, Xu G Z 2023 Life Sci. Instrum. 21 64
[14] Bao H, Xi M Q, Tang H G, Zhang X, Xu Q, Bao B C 2025 IEEE Trans. Ind. Inform. 21 1862
Google Scholar
[15] Zhang D K, Li Y Q, Rasch M J, Wu S 2013 Front. Comput. Neurosci. 7 56
[16] Kobylarz T J, Kobylarz E J 2021 Clin. Neurophysiol. 132 e1
[17] Wang Y Q, Ding G H, Yao W 2023 Appl. Math. 3 758
[18] Yuan Z X, Feng P H, Fan Y C, Yu Y Y, Wu Y 2022 Cogn. Neurodyn. 16 183
Google Scholar
[19] Zhang S, Cui K, Shi X, Wang Z, Xu G Z 2019 Trans. China Electrotech. Soc. 34 3741 [张帅, 崔琨, 史勋, 王卓, 徐桂芝 2019 电工技术学报 34 3741]
Zhang S, Cui K, Shi X, Wang Z, Xu G Z 2019 Trans. China Electrotech. Soc. 34 3741
[20] Yang F F, Song X L, Yu Z H 2024 Chaos Soliton. Fract. 188 115496
Google Scholar
[21] Chen Y X, Guo Q, Zhang X F, Wang C N 2024 Chaos Soliton. Fract. 189 115738
Google Scholar
[22] Kumar P, Erturk V S 2025 Chin. Phys. B 34 018704
Google Scholar
[23] Hodgkin A L, Huxley A F 1952 J. Physiol. 116 473
Google Scholar
[24] Hodgkin, A L, Huxley, A F 1952 J. Physiol. 116 497
Google Scholar
[25] FitzHugh R 1961 Biophys. J. 1 445
Google Scholar
[26] Nagumo J, Arimoto S, Yoshizawa S 1962 Proc. IRE 50 2061
Google Scholar
[27] Izhikevich E M 2004 IEEE Trans. Neural Netw. 15 1063
Google Scholar
[28] Izhikevich E M, Edelman G M 2008 Proc. Natl. Acad. Sci. U. S. A. 105 3593
Google Scholar
[29] Li X Y, Min F H, Xiang W K, Cao Y 2023 J. Nanjing Norm. Univ. (Eng. Technol. Ed. ) 23 1 [李馨雅, 闵富红, 相惟康, 曹弋 2023 南京师范大学学报(工程技术版) 23 1]
Li X Y, Min F H, Xiang W K, Cao Y 2023 J. Nanjing Norm. Univ. (Eng. Technol. Ed. ) 23 1
[30] Bao H, Zhang J, Wang N, Kuznetsov N V, Bao B C 2022 Chaos 32 123101
Google Scholar
[31] Wang S C, Lu Z Z, Liang Y, Wang G Y 2022 Acta Phys. Sin. 71 050502 [王世场, 卢振洲, 梁燕, 王光义 2022 物理学报 71 050502]
Google Scholar
Wang S C, Lu Z Z, Liang Y, Wang G Y 2022 Acta Phys. Sin. 71 050502
Google Scholar
[32] Zhang S H, Wang C, Zhang H L, Lin H R 2023 Chaos 33 083138
Google Scholar
[33] Jeyasothy A, Sundaram S, Sundarajan N 2019 IEEE Trans. Neural Netw. Learn. Syst. 30 1231
Google Scholar
[34] Wang B C, Lv M, Zhang X, Ma J 2024 Phys. Scr. 99 055225
Google Scholar
[35] Jia J E, Yang F F, Ma J 2024 Chaos Soliton. Fract. 173 113689
[36] Jia J E, Wang C N, Ren G D 2025 Chin. J. Phys. 95 978
Google Scholar
[37] Li R H, Ding R H. 2021 Int. J. Mod. Phys. B 35 2150166
Google Scholar
[38] Xu L, Qi G, Ma J 2022 Appl. Math. Model. 101 503
Google Scholar
[39] Yakopcic C, Hasan R, Taha T M, McLean M, Palmer D 2014 Electron. Lett. 50 492
Google Scholar
[40] Shi S Y, Liang Y, Li Y Q, Lu Z Z, Dong Y J 2024 Chaos Soliton. Fract. 180 114534
Google Scholar
[41] Shen H, Yu F, Wang C H, Sun J R, Cai S 2022 Nonlinear Dyn. 110 3807
Google Scholar
[42] Miranda E, Sune J 2020 Materials 13 938
Google Scholar
[43] Yang F F, Ma J, Wu F Q 2024 Chaos Soliton. Fract. 187 115361
Google Scholar
[44] Li Y N, Guo Q, Wang C N, Ma J 2024 Commun. Nonlinear Sci. Numer. Simul. 139 108320
Google Scholar
[45] Yu J, Li C, Zhang X M, Liu Q, Liu M 2025 Sci. China Inf. Sci. 55 749 [余杰, 李超, 张续猛, 刘琦, 刘明 2025 中国科学: 信息科学 55 749]
Yu J, Li C, Zhang X M, Liu Q, Liu M 2025 Sci. China Inf. Sci. 55 749
[46] Gong Y C, Ming J Y, Wu S Q, Yi M D, Xie L H, Huang W, Ling H F 2024 Acta Phys. Sin. 73 207302 [贡以纯, 明建宇, 吴思齐, 仪明东, 解令海, 黄维, 凌海峰 2024 物理学报 73 207302]
Google Scholar
Gong Y C, Ming J Y, Wu S Q, Yi M D, Xie L H, Huang W, Ling H F 2024 Acta Phys. Sin. 73 207302
Google Scholar
[47] Ma D, Jin X F, Sun S C, Li Y T, Wu X D, Hu Y N, Yang F C, Tang H J, Zhu X L, Lin P, Pan G 2024 Natl. Sci. Rev. 11 nwae102
Google Scholar
[48] Sun B, Guo C B, Cui C Q, Zhang G H 2021 Microelectron. Reliab. 121 114123
Google Scholar
[49] Hernandez-Balaguera E, Vara H, Polo J L 2018 J. Electrochem. Soc. 165 G3099
Google Scholar
[50] Kim D, Kwon K, Kim Hea, Jin S, Yang H, Kim J, Park J 2019 ECS Meet. Abstr. MA2019-01 1169
[51] Lee J, Cha M, Kwon M 2023 Appl. Sci. 13 2628
Google Scholar
[52] Joop M K, Azghadi M R, Behbahani F, Al-Shidaifat A, Song H J 2023 IEEE Access 11 133451
Google Scholar
[53] Zhou P J, Zuo Y, Qiao G C, Zhang C M, Zhang Z, Meng L W, Yu Q, Liu Y, Hu G S 2023 IEEE Trans. Biomed. Circuits Syst. 17 1319
Google Scholar
[54] Yang F F, Song X L, Ma J 2024 Chin. J. Phys. 91 287
Google Scholar
计量
- 文章访问数: 17
- PDF下载量: 0
- 被引次数: 0








下载: