-
变厚度环型径向振动压电超声换能器可以实现阻抗变换、能量集中, 具有辐射面积大、全指向性等优点, 在功率超声、水声等领域被广泛应用. 由于求解复杂变厚度金属圆环径向振动的波动方程比较困难, 本文使用传输矩阵法将变厚度金属圆环的径向振动转化为
$ N $ 个等厚度金属圆环径向振动的叠加, 得到了任意变厚度金属薄圆环径向振动的等效电路图、共振频率方程和位移放大系数表达式, 分析了锥型、幂函数型、指数型、悬链线型金属圆环的位移放大系数与几何尺寸的关系. 在此基础上, 推导了由任意变厚度金属圆环和等厚度压电圆环复合而成的压电超声换能器径向振动的等效电路和共振频率方程. 为了验证理论结果的正确性, 使用有限元软件进行仿真, 所得一阶、二阶的共振频率和位移放大系数的数值解与理论解符合较好. 本研究给出了任意变厚度金属圆环径向振动的普适解, 为设计和优化径向压电超声换能器提供了理论指导.The variable thickness annular radial piezoelectric ultrasonic transducer can realize impedance transformation and energy concentration, has the advantages of large radiation area and full directivity, and is widely used in power ultrasound, underwater acoustic and other fields. Because solving complex variable thickness metal ring radial vibration wave equation is more difficult, in this paper, the radial vibration of metal rings with variable thickness is transformed into the superposition of the radial vibrations of N metal rings with equal thickness by using the transfer matrix method. The equivalent circuit diagram, the resonance frequency equation and the expression of the displacement amplification coefficient of the radial vibration of the metal thin ring with arbitrary thickness are obtained. The relationship between the displacement amplification coefficient and the geometric size of the cone, power function, exponential and catenary metal rings is analyzed. On this basis, the equivalent circuit and resonance frequency equation of radial vibration of piezoelectric ultrasonic transducer which is composed of a metal ring with variable thickness and a piezoelectric ring with equal thickness are derived. In order to verify the correctness of the theoretical results, the finite element software is used in simulation, and the numerical solutions of the first and second order resonance frequency and displacement amplification coefficients are in good agreement with the theoretical solutions. In this paper, the universal solution of radial vibration of metal ring with arbitrary variable thickness is given, which provides theoretical guidance for designing and optimizing the radial piezoelectric ultrasonic transducers.-
Keywords:
- annular piezoelectric ultrasonic transducer /
- radial vibration /
- transfer matrix method /
- equivalent circuit
[1] 孙淑珍, 李俊宝 2019 声学学报 44 743
Google Scholar
Sun S Z, Li J B 2019 Acta Acust. 44 743
Google Scholar
[2] 刘世清, 杨先莉, 张志良, 陈赵江 2013 声学学报 38 188
Google Scholar
Liu S Q, Yang X L, Zhang Z L, Chen Z J 2013 Acta Acust. 38 188
Google Scholar
[3] Jin O K, Jung G L 2007 J. Sound Vib. 300 241
Google Scholar
[4] Wang H M, Luo D S 2016 Appl. Math. Model. 40 2549
Google Scholar
[5] Hyun K L, Dabin J 2020 Optik (Stuttg) 222 165480
Google Scholar
[6] Luka P, Duje M, Fran M, Marko S, Marko B, Sven L 2022 IEEE Int. Ultrason. Symp. 124 106737
Google Scholar
[7] Kai X Z, Huang S M, Wu L, Ran T, Peng Y J, Mao Z M, Chen F, Li G R 2019 J. Mater. Sci. Technol. 35 2107
Google Scholar
[8] Feng J J, Liu L, Ma X Hong, Yuan J H, Wang A J 2017 Int. J. Hydrogen Energy 42 2071
Google Scholar
[9] Mohammad J B, Ammad M, Thomas L, Jochen B, Konrad K 2022 Bioresour Technol. 348 126785
Google Scholar
[10] Liu H B, Wang X K, Qin S, Lai W J, Yang X, Xu S Y 2021 Sci. Total Environ. 789 147862
Google Scholar
[11] Li S, Wang Y H, Wu S S, Niu W D, Yang S Q 2022 Appl. Math. Model. 109 455
Google Scholar
[12] Liu Z Y, Miao K, Tan Z M 2022 Appl. Acoust. 187 108497
Google Scholar
[13] 王晓宇, 林书玉 2021 声学学报 46 271
Google Scholar
Wang X Y, Lin S Y 2021 Acta Acust. 46 271
Google Scholar
[14] 刘垚, 李斌 2017 电加工与模具 03 61
Google Scholar
Liu Y, Li B 2017 Electromach. Mould. 03 61
Google Scholar
[15] 李井, 丁艳红, 梁欣 2016 机械设计与制造 7 197
Google Scholar
Li J, Ding Y H, Liang X 2016 Mach. Design Manufact. 7 197
Google Scholar
[16] 巩建辉, 王晨丰, 吴承启 2022 机械工程师 1 151
Google Scholar
Gong J H, Wang C F, Wu C Q 2022 Mech. Engineer. 1 151
Google Scholar
[17] Wang S, Shan J J, Lin S Y 2022 IEEE Int. Ultrason. Symp. 120 106640
Google Scholar
[18] 陈诚, 林书玉 2021 物理学报 70 017701
Google Scholar
Chen C, Lin S Y 2021 Acta Phys. Sin. 70 017701
Google Scholar
[19] Hu L Q, Wang S, Lin S Y 2022 Chin. Phys. B 31 508
Google Scholar
[20] 许龙, 李伟东 2019 声学学报 44 826
Google Scholar
Xu L, Li W D 2019 Acta Acust. 44 826
Google Scholar
[21] 许龙, 范秀梅 2021 应用声学 40 878
Google Scholar
Xu L, Fan X M 2021 J. Appl. Acoust. 40 878
Google Scholar
[22] 刘世清, 林书玉, 郭建中 2006 压电与声光 03 347
Google Scholar
Liu S Q, Lin S Y, Guo J Z 2006 Piezoelect. Acoustoop. 03 347
Google Scholar
[23] 王晓宇, 林书玉 2020 陕西师范大学学报(自然科学版) 48 107
Google Scholar
Wang X Y, Lin S Y 2020 J. Shaanxi Normal Univ. (Nat. Sci. Ed.) 48 107
Google Scholar
[24] 邓婷婷, 傅波 2017 机械工程师 1 36
Google Scholar
Deng T T, Fu B 2017 Mech. Engineer. 1 36
Google Scholar
[25] Lin S Y, Xu L 2012 IEEE Int. Ultrason. Symp. 52 103
Google Scholar
[26] Lin S Y 2007 Sens. Actuators A Phys. 134 505
Google Scholar
-
图 4 4种变厚度金属圆环一阶、二阶径向共振频率与
$ {h}_{{\rm{a}}}/{h}_{{\rm{b}}} $ 的关系 (a)一阶径向共振; (b)二阶径向共振Fig. 4. The relationship between the first and second order radial resonance frequencies of four kinds of variable thickness metal rings and thickness ratio
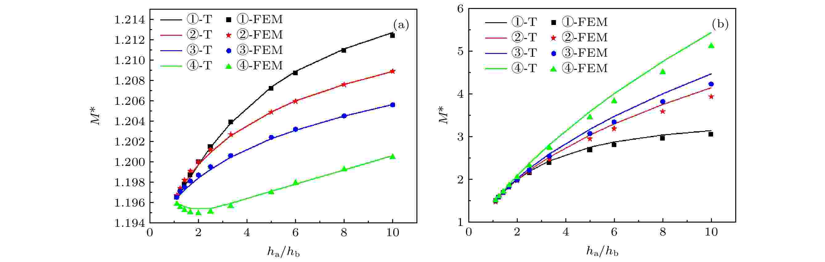
$ {h}_{{\rm{a}}}/{h}_{{\rm{b}}} $ : (a) First-order radial resonance; (b) second-order radial resonance.图 5 4种变厚度环型聚能器一阶和二阶径向共振位移放大系数随
$ {h}_{{\rm{a}}}/{h}_{{\rm{b}}} $ 的变化曲线 (a)一阶径向共振; (b)二阶径向共振Fig. 5. The relationship between the first and second order radial resonance displacement amplification coefficient and thickness ratio
$ {h}_{{\rm{a}}}/{h}_{{\rm{b}}} $ of four kinds of variable thickness metal rings: (a) First-order radial resonance; (b) second-order radial resonance.图 10 锥型变厚度环型压电超声换能器一阶、二阶径向共振频率和反共振频率与
$ {h}_{{\rm{a}}}/{h}_{{\rm{b}}} $ 的关系 (a)一阶共振和反共振; (b)二阶共振和反共振Fig. 10. The relationship between the first and second order radial resonance frequency and the anti-resonance frequency and the thickness ratio
$ {h}_{{\rm{a}}}/{h}_{{\rm{b}}} $ of a conical variable thickness annular piezoelectric ultrasonic transducer: (a) The first-order radial resonance and anti-resonance; (b) the second-order radial resonance and anti-resonance.表 1 变厚度金属圆环径向一阶、二阶共振频率
Table 1. Radial first and second order resonance frequencies of metal rings with variable thickness.
$ {h}_{{\rm{b}}}/{\rm{m}}{\rm{m}} $ $ {h}_{{\rm{a}}}/{\rm{m}}{\rm{m}} $ $ {f}_{{\rm{r}}1}/{\rm{H}}{\rm{z}} $ ${ {f}^{ {\rm{*} } }_{ {\rm{r} }1} }/{\rm{H} }{\rm{z} }$ ${\varDelta }_{ {f}_{ {\rm{r} }1} }/{\rm{\%} }$ $ {f}_{{\rm{r}}2}/{\rm{H}}{\rm{z}} $ ${ {f}^{*}_{r2} }/{\rm{H} }{\rm{z} }$ ${\varDelta }_{ {f}_{ {\rm{r} }2} }/{\rm{\%} }$ 锥型 6 10 21894 21892 0.01 112380 110790 1.44 幂函数型 5 10 21679 21679 0 113330 111720 1.44 指数型 4 10 21401 21399 0.01 112770 111480 1.16 悬链线型 3 10 20968 20957 0.05 109700 108890 0.74 表 2 变厚度金属圆环径向一阶、二阶共振位移放大系数
Table 2. Radial first and second order resonance displacement amplification coefficients of metal rings with variable thickness.
$ {h}_{{\rm{b}}}/{\rm{m}}{\rm{m}} $ $ {h}_{{\rm{a}}}/{\rm{m}}{\rm{m}} $ $ {M}_{{\rm{r}}1}^{{\rm{*}}} $ $ {M}_{{\rm{r}}1}^{{\rm{*}}{\rm{*}}} $ ${\varDelta }_{ {M}_{ {\rm{r} }1}^{*} }$/% $ {M}_{{\rm{r}}2}^{{\rm{*}}} $ $ {M}_{{\rm{r}}2}^{{\rm{*}}{\rm{*}}} $ ${\varDelta }_{ {M}_{ {\rm{r} }2}^{*} }/{\rm{\%} }$ 锥型 6 10 1.1985 1.1987 0.02 1.8304 1.8160 0.79 幂函数型 5 10 1.1997 1.2000 0.02 1.9876 1.9670 1.04 指数型 4 10 1.1992 1.1995 0.02 2.2501 2.2135 1.16 悬链线型 3 10 1.1959 1.1956 0.02 2.8118 2.7359 2.77 表 3 锥型变厚度环型压电换能器一阶共振频率和反共振频率
Table 3. The first-order resonant frequency and anti-resonant frequency of conical variable thickness annular piezoelectric transducer.
$ {h}_{{\rm{b}}}/{\rm{m}}{\rm{m}} $ $ {h}_{{\rm{a}}}/{\rm{m}}{\rm{m}} $ $ {f}_{{\rm{r}}1}/{\rm{H}}{\rm{z}} $ ${ {f}^{*}_{ {\rm{r} }1} }/{\rm{H} }{\rm{z} }$ ${\varDelta }_{ {f}_{ {\rm{r} }1} }/$% $ {f}_{{\rm{a}}1}/{\rm{H}}{\rm{z}} $ ${ {f}^{*}_{ {\rm{a} }1} }/{\rm{H} }{\rm{z} }$ ${\varDelta }_{ {f}_{ {\rm{a} }1} }/$% $ {K}_{{\rm{e}}{\rm{f}}{\rm{f}}1} $ $ {K}_{{\rm{e}}{\rm{f}}{\rm{f}}1}^{{\rm{*}}} $ 9 10 22002 21989 0.06 22276 22269 0.03 0.156 0.158 6 10 21059 21042 0.08 21355 21348 0.03 0.166 0.169 3 10 19886 19856 0.15 20209 20192 0.08 0.178 0.182 表 4 锥型变厚度环型压电换能器二阶共振频率和反共振频率
Table 4. The second-order resonant frequency and anti-resonant frequency of conical variable thickness annular piezoelectric transducer.
$ {h}_{{\rm{b}}}/{\rm{m}}{\rm{m}} $ $ {h}_{{\rm{a}}}/{\rm{m}}{\rm{m}} $ $ {f}_{{\rm{r}}2}/{\rm{H}}{\rm{z}} $ ${ {f}^{*}_{ {\rm{r} }2} }/{\rm{H} }{\rm{z} }$ ${\varDelta }_{ {f}_{ {\rm{r} }2} }/$% $ {f}_{{\rm{a}}2}/{\rm{H}}{\rm{z}} $ ${ {f}^{*}_{ {\rm{a} }2} }/{\rm{H} }{\rm{z} }$ ${\varDelta }_{ {f}_{ {\rm{a} }2} }/$% $ {K}_{{\rm{e}}{\rm{f}}{\rm{f}}2} $ $ {K}_{{\rm{e}}{\rm{f}}{\rm{f}}2}^{{\rm{*}}} $ 9 10 95014 93401 1.73 96069 94814 1.32 0.148 0.172 6 10 98432 96383 2.13 99471 97922 1.58 0.144 0.177 3 10 105005 102020 2.93 106094 103830 2.18 0.143 0.186 -
[1] 孙淑珍, 李俊宝 2019 声学学报 44 743
Google Scholar
Sun S Z, Li J B 2019 Acta Acust. 44 743
Google Scholar
[2] 刘世清, 杨先莉, 张志良, 陈赵江 2013 声学学报 38 188
Google Scholar
Liu S Q, Yang X L, Zhang Z L, Chen Z J 2013 Acta Acust. 38 188
Google Scholar
[3] Jin O K, Jung G L 2007 J. Sound Vib. 300 241
Google Scholar
[4] Wang H M, Luo D S 2016 Appl. Math. Model. 40 2549
Google Scholar
[5] Hyun K L, Dabin J 2020 Optik (Stuttg) 222 165480
Google Scholar
[6] Luka P, Duje M, Fran M, Marko S, Marko B, Sven L 2022 IEEE Int. Ultrason. Symp. 124 106737
Google Scholar
[7] Kai X Z, Huang S M, Wu L, Ran T, Peng Y J, Mao Z M, Chen F, Li G R 2019 J. Mater. Sci. Technol. 35 2107
Google Scholar
[8] Feng J J, Liu L, Ma X Hong, Yuan J H, Wang A J 2017 Int. J. Hydrogen Energy 42 2071
Google Scholar
[9] Mohammad J B, Ammad M, Thomas L, Jochen B, Konrad K 2022 Bioresour Technol. 348 126785
Google Scholar
[10] Liu H B, Wang X K, Qin S, Lai W J, Yang X, Xu S Y 2021 Sci. Total Environ. 789 147862
Google Scholar
[11] Li S, Wang Y H, Wu S S, Niu W D, Yang S Q 2022 Appl. Math. Model. 109 455
Google Scholar
[12] Liu Z Y, Miao K, Tan Z M 2022 Appl. Acoust. 187 108497
Google Scholar
[13] 王晓宇, 林书玉 2021 声学学报 46 271
Google Scholar
Wang X Y, Lin S Y 2021 Acta Acust. 46 271
Google Scholar
[14] 刘垚, 李斌 2017 电加工与模具 03 61
Google Scholar
Liu Y, Li B 2017 Electromach. Mould. 03 61
Google Scholar
[15] 李井, 丁艳红, 梁欣 2016 机械设计与制造 7 197
Google Scholar
Li J, Ding Y H, Liang X 2016 Mach. Design Manufact. 7 197
Google Scholar
[16] 巩建辉, 王晨丰, 吴承启 2022 机械工程师 1 151
Google Scholar
Gong J H, Wang C F, Wu C Q 2022 Mech. Engineer. 1 151
Google Scholar
[17] Wang S, Shan J J, Lin S Y 2022 IEEE Int. Ultrason. Symp. 120 106640
Google Scholar
[18] 陈诚, 林书玉 2021 物理学报 70 017701
Google Scholar
Chen C, Lin S Y 2021 Acta Phys. Sin. 70 017701
Google Scholar
[19] Hu L Q, Wang S, Lin S Y 2022 Chin. Phys. B 31 508
Google Scholar
[20] 许龙, 李伟东 2019 声学学报 44 826
Google Scholar
Xu L, Li W D 2019 Acta Acust. 44 826
Google Scholar
[21] 许龙, 范秀梅 2021 应用声学 40 878
Google Scholar
Xu L, Fan X M 2021 J. Appl. Acoust. 40 878
Google Scholar
[22] 刘世清, 林书玉, 郭建中 2006 压电与声光 03 347
Google Scholar
Liu S Q, Lin S Y, Guo J Z 2006 Piezoelect. Acoustoop. 03 347
Google Scholar
[23] 王晓宇, 林书玉 2020 陕西师范大学学报(自然科学版) 48 107
Google Scholar
Wang X Y, Lin S Y 2020 J. Shaanxi Normal Univ. (Nat. Sci. Ed.) 48 107
Google Scholar
[24] 邓婷婷, 傅波 2017 机械工程师 1 36
Google Scholar
Deng T T, Fu B 2017 Mech. Engineer. 1 36
Google Scholar
[25] Lin S Y, Xu L 2012 IEEE Int. Ultrason. Symp. 52 103
Google Scholar
[26] Lin S Y 2007 Sens. Actuators A Phys. 134 505
Google Scholar
计量
- 文章访问数: 6516
- PDF下载量: 111
- 被引次数: 0









下载:





