-
元素镁和铝是地壳中丰度较高且被广泛应用于工业工程中的金属材料, 其在高压下能以单质形式形成电子化合物, 导致丰富多彩的晶体结构和电子性质. 本研究采用第一性原理结构搜索方法系统地对0—500 GPa压力范围内镁铝合金的可能结构进行探索, 获得了8种可在不同压强范围下稳定存在的晶体结构和2种亚稳的富镁合金结构, 其中6种稳定结构具有电子化合物特征. 通过计算分析验证了电子化合物中间隙准原子对晶格振动特性的影响, 同时在富镁合金结构中发现铝原子具有独特的–5e超高氧化价态, 形成满壳层电子结构. 本研究丰富了镁铝合金的高压相图, 并为开发新型高压功能材料提供了理论参考.Magnesium and aluminum are abundant metals in the Earth’s crust and widely utilized in industrial engineering. Under high pressure, these elements can form elemental compounds into single substances, resulting in a variety of crystal structures and electronic properties. In this study, the possible structures of magnesium-aluminum alloys are systematically investigated in a pressure range of 0–500 GPa by using the first-principles structure search method, with energy and electronic structure calculations conducted using the VASP package. Bader charge analysis elucidates atomic and interstitial quasi-atom (ISQ) valence states, while lattice dynamics are analyzed using the PHONOPY package via the small-displacement supercell approach. Eight stable phases(MgAl3-Pm${\bar {3}} $m, MgAl3-P63/mmc, MgAl-P4/mmm, MgAl-Pmmb, MgAl-Fd${\bar {3}} $m, Mg2Al-P${\bar {3}} $m1, Mg3Al-P63/mmc, Mg3Al-Fm${\bar {3}} $m) and two metastable phases (Mg4Al-I4/m, Mg5Al-P${\bar {3}} $m1) are identified. The critical pressures and stable intervals for phase transitions are precisely determined. Notably, MgAl-Fd${\bar {3}} $m, Mg2Al-P${\bar {3}} $m1, Mg4Al-I4/m and Mg5Al-P${\bar {3}} $m1 represent newly predicted structures. Analysis of electronic localization characteristics reveals that six stable structures (MgAl3-Pm${\bar {3}} $m, MgAl3-P63/mmc, MgAl-Pmmb, MgAl-Fd${\bar {3}} $m, Mg2Al-P${\bar {3}} $m1 and Mg3Al-P63/mmc) exhibit electronic properties of electrides. The ISQs primarily originate from charge transfer of Mg atoms. In the metastable phase Mg4Al-I4/m, Al atoms are predicted to achieve an Al5–valence state, filling the p shell. This finding demonstrates that by adjusting the Mg/Al ratio and pressure conditions, a transition from traditional electrides to high negative valence states can be realized, offering new insights into the development of novel high-pressure functional materials. Furthermore, all Mg-Al compounds display metallic behaviors, with their stability attributed to Al-p-d orbital hybridization, which significantly contributes to the Al-3p/3d orbitals near the Fermi level. Additionally, LA-TA splitting is observed in MgAl3-Pm${\bar {3}} $m, with a splitting value of 45.49 cm–1, confirming the unique regulatory effect of ISQs on lattice vibrational properties. These results elucidate the rich structural and electronic properties of magnesium-aluminum alloys as electrodes, offering deeper insights into their behavior under high pressure and inspiring further exploration of structural and property changes in high-pressure alloys composed of light metal elements and p-electron metals.
-
Keywords:
- magnesium-aluminum alloys /
- high-pressure structure and phase transition /
- electrides /
- density functional theory
[1] Grochala W, Hoffmann R, Feng J, Ashcroft N W 2007 Angew. Chem. Int. Ed. 46 3620
Google Scholar
[2] Pickard C J, Needs R J 2011 Phys. Rev. Lett. 107 87201
Google Scholar
[3] Dong X, Oganov A R, Goncharov A F, Stavrou E, Lobanov S, Saleh G, Qian G R, Zhu Q, Gatti C, Deringer V L 2017 Nat. Chem. 9 440
Google Scholar
[4] 田城, 蓝剑雄, 王苍龙, 翟鹏飞, 刘杰 2022 物理学报 71 017102
Google Scholar
Tian C, Lan J X, Wang C L, Zhai P F, Liu J 2022 Acta Phys. Sin. 71 017102
Google Scholar
[5] 熊浩智, 王云江 2025 物理学报 74 086101
Google Scholar
Xiong H Z, Wang Y J 2025 Acta Phys. Sin. 74 086101
Google Scholar
[6] Miao M, Hoffmann R 2015 J. Am. Chem. Soc. 137 3631
Google Scholar
[7] Dye J L 1990 Science 247 663
Google Scholar
[8] Dye J L 2003 Science 301 607
Google Scholar
[9] Toda Y, Matsuishi S, Hayashi K, Ueda K, Kamiya T, Hirano M, Hosono H 2004 Adv. Mater. 16 685
Google Scholar
[10] 李凡, 张忻, 张久兴 2019 物理学报 68 206801
Google Scholar
Li F, Zhang X, Zhang J X 2019 Acta Phys. Sin. 68 206801
Google Scholar
[11] Menamparambath M M, Park J H, Yoo H S, Patole S P, Yoo J B, Kim S W, Baik S 2014 Nanoscale 6 8844
Google Scholar
[12] He H M, Li Y, Yang H, Yu D, Li S Y, Wu D, Hou J H, Zhong R L, Zhou Z J, Gu F L 2017 J. Phys. Chem. C 121 958
Google Scholar
[13] Guo Z X, Bergara A, Zhang X H, Li X, Ding S C, Yang G C 2024 Phys. Rev. B 109 134505
Google Scholar
[14] Wei J H, Zhong T, Sun J C, Liu H Y, Zhu L, Zhang S T 2025 Phys. Rev. B 111 184508
Google Scholar
[15] Wang C, Liu P Y, Liu Z, Cui T 2024 Results Phys. 60 107703
Google Scholar
[16] Wang D, Song H X, Hao Q D, Yang G F, Wang H, Zhang L L, Chen Y, Chen X R, Geng H Y 2024 J. Phys. Chem. C 129 689
Google Scholar
[17] Hu J P, Xu B, Yang S Y, Guan S, Ouyang C Y, Yao Y G 2015 ACS Appl. Mater. Interfaces 7 24016
Google Scholar
[18] Chen G H, Bai Y, Li H, Li Y, Wang Z H, Ni Q, Liu L, Wu F, Yao Y G, Wu C 2017 ACS Appl. Mater. Interfaces 9 6666
Google Scholar
[19] Druffel D L, Pawlik J T, Sundberg J D, McRae L M, Lanetti M G, Warren S C 2020 J. Phys. Chem. Lett. 11 9210
Google Scholar
[20] Ye T N, Li J, Kitano M, Hosono H 2017 Green Chem. 19 749
Google Scholar
[21] Toda Y, Hirayama H, Kuganathan N, Torrisi A, Sushko P V, Hosono H 2013 Nat. Commun. 4 2378
Google Scholar
[22] Zhang X H, Yang G C 2020 J. Phys. Chem. Lett. 11 3841
Google Scholar
[23] Zhou J, Feng Y P, Shen L 2020 Phys. Rev. B 102 180407
Google Scholar
[24] Lee S Y, Hwang J Y, Park J, Nandadasa C N, Kim Y, Bang J, Lee K, Lee K H, Zhang Y, Ma Y 2020 Nat. Commun. 11 1526
Google Scholar
[25] Hirayama M, Matsuishi S, Hosono H, Murakami S 2018 Phys. Rev. X 8 031067
Google Scholar
[26] Hosono H, Kitano M 2021 Chem. Rev. 121 3121
Google Scholar
[27] Miao M S, Hoffmann R 2014 Acc. Chem. Res. 47 1311
Google Scholar
[28] Sui X L, Wang J F, Duan W H 2019 J. Phys. Chem. C 123 5003
Google Scholar
[29] Yan J Q, Ochi M, Cao H B, Saparov B, Cheng J G, Uwatoko Y, Arita R, Sales B C, Mandrus D G 2018 J. Phys.: Condens. Matter 30 135801
Google Scholar
[30] Lu Y F, Wang J J, Li J, Wu J Z, Kanno S, Tada T, Hosono H 2018 Phys. Rev. B 98 125128
Google Scholar
[31] Wang X M, Wang Y, Wang J J, Pan S N, Lu Q, Wang H T, Xing D Y, Sun J 2022 Phys. Rev. Lett. 129 246403
Google Scholar
[32] Nakashima P N, Smith A E, Etheridge J, Muddle B C 2011 Science 331 1583
Google Scholar
[33] Liu C, Nikolaev S A, Ren W, Burton L A 2020 J. Mater. Chem. C 8 10551
Google Scholar
[34] Pickard C J, Needs R J 2010 Nat. Mater. 9 624
Google Scholar
[35] Li P F, Gao G Y, Wang Y C, Ma Y M 2010 J. Phys. Chem. C 114 21745
Google Scholar
[36] Zhu Q, Oganov A R, Lyakhov A O 2013 Phys. Chem. Chem. Phys. 15 7696
Google Scholar
[37] Miao M S, Wang X L, Brgoch J, Spera F, Jackson M G, Kresse G, Lin H Q 2015 J. Am. Chem. Soc. 137 14122
Google Scholar
[38] Li C, Yang W G, Sheng H W 2022 Phys. Rev. Mater. 6 033601
Google Scholar
[39] Li C, Li W W, Zhang X L, Du L C, Sheng H W 2022 Phys. Chem. Chem. Phys. 24 12260
Google Scholar
[40] Mao H K, Chen X J, Ding Y, Li B, Wang L 2018 Rev. Mod. Phys. 90 015007
Google Scholar
[41] Polsin D N, Fratanduono D E, Rygg J R, Lazicki A, Smith R F, Eggert J H, Gregor M C, Henderson B H, Delettrez J A, Kraus R G 2017 Phys. Rev. Lett. 119 175702
Google Scholar
[42] Wang Y C, Lv J, Zhu L, Ma Y M 2012 Comput. Phys. Commun. 183 2063
Google Scholar
[43] Wang Y C, Lv J, Zhu L, Ma Y M 2010 Phys. Rev. B 82 094116
Google Scholar
[44] Oganov A R, Glass C W 2006 J. Chem. Phys. 124 244704
Google Scholar
[45] Oganov A R, Lyakhov A O, Valle M 2011 Acc. Chem. Res. 44 227
Google Scholar
[46] Lyakhov A O, Oganov A R, Stokes H T, Zhu Q 2013 Comput. Phys. Commun. 184 1172
Google Scholar
[47] Kohn W, Sham L J 1965 Phys. Rev. 137 A1697
Google Scholar
[48] Hohenberg P, Kohn W 1964 Phys. Rev. 136 B864
Google Scholar
[49] Kresse G, Furthmüller J 1996 Phys. Rev. B 54 11169
Google Scholar
[50] Kresse G, Furthmüller J 1996 Comput. Mater. Sci. 6 15
Google Scholar
[51] Kresse G, Joubert D 1999 Phys. Rev. B 59 1758
Google Scholar
[52] Perdew J P, Burke K, Ernzerhof M 1996 Phys. Rev. Lett. 77 3865
Google Scholar
[53] Yu M, Trinkle D R 2011 J. Chem. Phys. 134 064111
Google Scholar
[54] Togo A, Tanaka I 2015 Scr. Mater. 108 1
Google Scholar
[55] Olijnyk H, Holzapfel W B 1985 Phys. Rev. B 31 4682
Google Scholar
[56] Akahama Y, Nishimura M, Kinoshita K, Kawamura H, Ohishi Y 2006 Phys. Rev. Lett. 96 045505
Google Scholar
[57] Tambe M J, Bonini N, Marzari N 2008 Phys. Rev. B 77 172102
Google Scholar
[58] Owen E A, Liu Y H 1947 Lond. Edinb. Dublin Philos. Mag. J. Sci. 38 354
Google Scholar
[59] Lyubimtsev A L, Baranov A I, Fischer A, Kloo L, Popovkin B A 2002 J. Alloys Compd. 340 167
Google Scholar
[60] Chang L C 1951 Acta Cryst. Sect. A 4 320
Google Scholar
[61] Kuriyama K, Saito S, Iwamura K 1979 J. Phys. Chem. Solids 40 457
Google Scholar
[62] Williams A 1989 J. Phys. : Condens. Matter 1 2569
Google Scholar
[63] Zhang L L, Wu Q, Li S R, Sun Y, Yan X Z, Chen Y, Geng H Y 2021 ACS Appl. Mater. Interfaces 13 6130
Google Scholar
[64] Zhang L L, Geng H Y, Wu Q 2021 Matter Radiat. Extremes 6 038403
Google Scholar
[65] Kang M G, Fang S A, Ye L D, Po H C, Denlinger J, Jozwiak C, Bostwick A, Rotenberg E, Kaxiras E, Checkelsky J G 2020 Nat. Commun. 11 4004
Google Scholar
-
图 3 (a) MgAl3的P63/mmc相对于Pm${\bar {3}} $m相在0—500 GPa范围内的焓差曲线; (b) MgAl的Pmmb相和Fd${\bar {3}} $m相对于P4/mmm相在0—500 GPa范围内的焓差曲线; (c) Mg3Al的Fm${\bar {3}} $m相对于P63/mmc相在0—500 GPa范围内的焓差曲线
Fig. 3. (a) Enthalpy difference curve of the P63/mmc phase of MgAl3 relative to the Pm${\bar {3}} $m phase within the range of 0−500 GPa; (b) the enthalpy difference curves of the Pmmb phase and Fd${\bar {3}} $m phase of MgAl relative to the P4/mmm phase within the range of 0−500 GPa; (c) the enthalpy difference curve of the Fm${\bar {3}} $m phase of Mg3Al relative to the P63/mmc phase within the range of 0−500 GPa.
图 4 稳定MgmAln化合物的晶体结构图(橙色和蓝色球分别代表Mg原子和Al原子) (a) MgAl3-Pm${\bar {3}} $m在100 GPa的结构; (b) MgAl3-P63/mmc在200 GPa的结构; (c) MgAl-P4/mmm在40 GPa的结构; (d) MgAl-Pmmb在95 GPa的结构; (e) MgAl-Fd${\bar {3}} $m在350 GPa的结构; (f) Mg2Al-P${\bar {3}} $m1在500 GPa的结构; (g) Mg3Al-P63/mmc在50 GPa的结构; (h) Mg3Al-Fm${\bar {3}} $m在350 GPa的结构
Fig. 4. Crystal structure of the predicted stable MgmAln compounds: (a) MgAl3-Pm${\bar {3}} $m at 100 GPa; (b) MgAl3-P63/mmc at 200 GPa; (c) MgAl-P4/mmm at 40 GPa; (d) MgAl-Pmmb at 95 GPa; (e) MgAl-Fd${\bar {3}} $m at 350 GPa; (f) Mg2Al-P${\bar {3}} $m1 at 500 GPa; (g) Mg3Al-P63/mmc at 50 GPa; (h) Mg3Al-Fm${\bar {3}} $m at 350 GPa. Orange and blue spheres represent Mg and Al atoms, respectively.
图 5 高压下MgmAln 结构的声子色散曲线 (a), (b) 在0 GPa和100 GPa下的MgAl3-Pm${\bar {3}} $m结构; (c)—(e) 在100 GPa, 200 GPa 和250 GPa下的MgAl3-P63/mmc结构; (f), (g) 在0 GPa和40 GPa下的MgAl-P4/mmm结构; (h)—(j) 在50 GPa, 95 GPa和150 GPa下的MgAl-Pmmb结构; (k)—(m) 在150 GPa, 350 GPa和500 GPa下的MgAl-Fd${\bar {3}} $m结构; (n), (o) 在55 GPa和500 GPa下的Mg2Al-P${\bar {3}} $m1结构; (p), (q) 在0 GPa和50 GPa下的Mg3Al-P63/mmc结构; (r)—(t) 在60 GPa, 350 GPa和500 GPa下的Mg3Al-Fm${\bar {3}} $m结构; (u), (v) 在0 GPa和500 GPa下的Mg4Al-I4/m结构; (w), (x) 在35 GPa和500 GPa下的Mg5Al-P${\bar {3}} $m1结构
Fig. 5. Phonon dispersion curves of the predicted MgmAln structures under high pressure: (a), (b) MgAl3-Pm${\bar {3}} $m at 0 GPa and 100 GPa; (c)–(e) MgAl3-P63/mmc at 100 GPa, 200 GPa and 250 GPa; (f), (g) MgAl-P4/mmm at 0 GPa and 40 GPa; (h)–(j) MgAl-Pmmb at 50 GPa, 95 GPa and 150 GPa; (k)–(m) MgAl-Fd${\bar {3}} $m at 150 GPa, 350 GPa and 500 GPa; (n), (o) Mg2Al-P${\bar {3}} $m1 at 55 GPa and 500 GPa; (p), (q) Mg3Al-P63/mmc at 0 GPa and 50 GPa; (r)–(t) Mg3Al-Fm${\bar {3}} $m at 60 GPa, 350 GPa and 500 GPa; (u), (v) Mg4Al-I4/m at 0 GPa and 500 GPa; (w), (x) Mg5Al-P${\bar {3}} $m1 at 35 GPa and 500 GPa.
图 6 MgmAln化合物的原子间距离直方图 (a) 100 GPa的MgAl3-Pm${\bar {3}} $m结构; (b) 200 GPa的MgAl3-P63/mmc结构; (c) 40 GPa的MgAl-P4/mmm结构; (d) 95 GPa的MgAl-Pmmb结构; (e) 350 GPa的MgAl-Fd${\bar {3}} $m结构; (f) 500 GPa的Mg2Al-P${\bar {3}} $m1结构; (g) 50 GPa的Mg3Al-P63/mmc结构; (h) 350 GPa的Mg3Al-Fm${\bar {3}} $m结构
Fig. 6. Histograms of interatomic distances for MgmAln structures: (a) MgAl3-Pm${\bar {3}} $m at 100 GPa; (b) MgAl3-P63/mmc at 200 GPa; (c) MgAl-P4/mmm at 40 GPa; (d) MgAl-Pmmb at 95 GPa; (e) MgAl-Fd${\bar {3}} $m at 350 GPa; (f) Mg2Al-P${\bar {3}} $m1 at 500 GPa; (g) Mg3Al-P63/mmc at 50 GPa; (h) Mg3Al-Fm${\bar {3}} $m at 350 GPa.
图 7 稳定的MgmAln化合物的电子局域化函数(ELF)图 (a) 100 GPa的MgAl3-Pm${\bar {3}} $m结构, ELF等值面为0.65; (b) 200 GPa的MgAl3-P63/mmc结构, 等值面为0.70; (c) 40 GPa的MgAl-P4/mmm结构, 等值面为0.70; (d) 95 GPa的MgAl-Pmmb结构, 等值面为0.70; (e) 350 GPa的MgAl-Fd${\bar {3}} $m结构, 等值面为0.70; (f) 500 GPa的Mg2Al-P${\bar {3}} $m1结构, 等值面为0.70; (g) 50 GPa的Mg3Al-P63/mmc结构, 等值面为0.60; (h) 350 GPa的Mg3Al-Fm${\bar {3}} $m结构, 等值面为0.65. 橙色球和蓝色球分别代表Mg原子和Al原子, 粉色小球代表间隙准原子中心
Fig. 7. Electron localization function (ELF) isosurface of stable MgmAln compounds: (a) MgAl3-Pm${\bar {3}} $m structure at 100 GPa, ELF isosurface is 0.65; (b) MgAl3-P63/mmc structure at 200 GPa, isosurface is 0.70; (c) MgAl-P4/mmm structure at 40 GPa, isosurface is 0.70; (d) MgAl-Pmmb structure at 95 GPa, isosurface is 0.70; (e) MgAl-Fd${\bar {3}} $m structure at 350 GPa, isosurface is 0.70; (f) Mg2Al-P${\bar {3}} $m1 structure at 500 GPa, isosurface is 0.70; (g) Mg3Al-P63/mmc structure at 50 GPa, isosurface is 0.60; (h) Mg3Al-Fm${\bar {3}} $m structure at 350 GPa, isosurface is 0.65. Orange and blue spheres represent Mg and Al atoms respectively, and pink small spheres represent the center of interstitial quasiatoms.
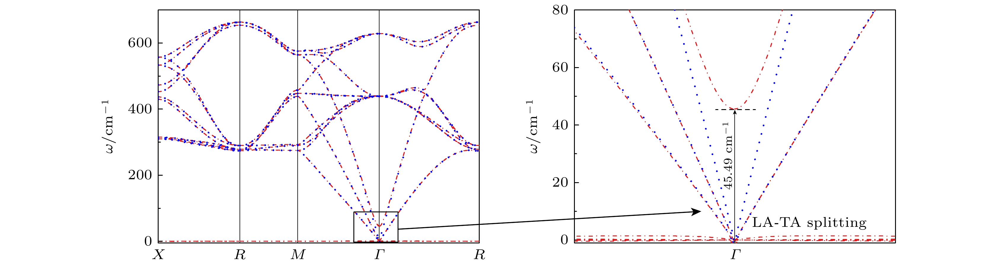
图 8 100 GPa压力下MgAl3-Pm${\bar {3}} $m结构的声子色散曲线, 图中蓝色点线是不考虑间隙电子影响的结果, 红色点划线是考虑了Bader电荷近似作为原子/ISQ有效电荷引起的库仑长程相互作用导致的LA-TA劈裂结果
Fig. 8. Phonon dispersion curves of the MgAl3-Pm${\bar {3}} $m structure at 100 GPa. The blue dotted lines in the figure represent the results without considering the influence of interstitial electrons, while the red dashed lines show the LA-TA splitting induced by the long-range interaction of approximating Bader charges of atom/ISQ.
图 9 稳定的MgmAln化合物的电子投影态密度(PDOS)图 (a) 100 GPa的 MgAl3-Pm${\bar {3}} $m结构; (b) 200 GPa的MgAl3-P63/mmc结构; (c) 40 GPa的 MgAl-P4/mmm结构; (d) 95 GPa的 MgAl-Pmmb结构; (e) 350 GPa的MgAl-Fd${\bar {3}} $m结构; (f) 500 GPa的 Mg2Al- P${\bar {3}} $m1结构; (g) 50 GPa的Mg3Al-P63/mmc结构; (h) 350 GPa的 Mg3Al-Fm${\bar {3}} $m结构
Fig. 9. Electronic projected density of states (PDOS) diagrams of stable MgmAln compounds: (a) MgAl3-Pm${\bar {3}} $m at 100 GPa; (b) MgAl3-P63/mmc at 200 GPa; (c) MgAl-P4/mmm at 40 GPa; (d) MgAl-Pmmb at 95 GPa; (e) MgAl-Fd${\bar {3}} $m at 350 GPa; (f) Mg2Al-P${\bar {3}} $m1 at 500 GPa; (g) Mg3Al-P63/mmc at 50 GPa; (h) Mg3Al-Fm${\bar {3}} $m at 350 GPa.
图 10 稳定的 MgmAln化合物的能带图 (a) 100 GPa的MgAl3-Pm${\bar {3}} $m结构; (b) 200 GPa的MgAl3-P63/mmc结构; (c) 40 GPa的MgAl-P4/mmm结构; (d) 95 GPa的MgAl-Pmmb结构; (e) 350 GPa的MgAl-Fd${\bar {3}} $m结构; (f) 500 GPa的Mg2Al-P${\bar {3}} $m1结构; (g) 50 GPa的Mg3Al-P63/mmc结构; (h) 350 GPa的Mg3Al-Fm${\bar {3}} $m结构
Fig. 10. Band structure of stable MgmAln compounds: (a) MgAl3-Pm${\bar {3}} $m at 100 GPa; (b) MgAl3-P63/mmc at 200 GPa; (c) MgAl-P4/mmm at 40 GPa; (d) MgAl-Pmmb at 95 GPa; (e) MgAl-Fd${\bar {3}} $m at 350 GPa; (f) Mg2Al- P${\bar {3}} $m1 at 500 GPa; (g) Mg3Al-P63/mmc at 50 GPa; (h) Mg3Al-Fm${\bar {3}} $m at 350 GPa.
表 1 给定压强下 MgAl3-Pm${\bar {3}} $m, MgAl3-P63/mmc, MgAl-P4/mmm, MgAl-Pmmb, MgAl-Fd${\bar {3}} $m, Mg2Al-P${\bar {3}} $m1, Mg3Al-P63/mmc和Mg3Al-Fm${\bar {3}} $m中Mg, Al原子的价态、间隙准原子的电荷量(e/site)和总的局域电荷量(e/cell)
Table 1. Valence state of Mg and Al atoms and the charge quantity per site (e/site) of interstitial quasiatom, as well as the total local charge quantity per cell (e/cell) in MgAl3-Pm${\bar {3}} $m, MgAl3-P63/mmc, MgAl-P4/mmm, MgAl-Pmmb, MgAl-Fd${\bar {3}} $m, Mg2Al-P${\bar {3}} $m1, Mg3Al-P63/mmc and Mg3Al-Fm${\bar {3}} $m at given pressure.
Phase Mg/atom Al/atom ISQ/(e·site–1) ISQ/(e·cell–1) Pm${\bar {3}} $m MgAl3 (100 GPa) +1.48 +1.07 0.39 4.68 P63/mmc MgAl3 (200 GPa) +1.45 +1.65 ISQ1: 1.69; ISQ2: 1.57;
ISQ3: 1.60; ISQ4: 1.5612.81 P4/mmm MgAl (40 GPa) +1.47 –1.47 — — Pmmb MgAl (95 GPa) +1.44 –0.40 ISQ1: 0.53; ISQ2: 0.51 2.09 Fd${\bar {3}} $m MgAl (350 GPa) +1.36 +1.53 1.44 23.07 P${\bar {3}} $m1 Mg2Al (500 GPa) +1.32 +0.70 ISQ1: 0.35; ISQ2: 0.26 3.33 P63/mmc Mg3Al (50 GPa) +1.37 –3.96 0.15 0.30 Fm${\bar {3}} $m Mg3Al (350 GPa) +1.31 –3.95 — — I4/m Mg4Al (300 GPa) +1.23 –4.91 — — I4/m Mg4Al (350 GPa) +1.23 –1.76 0.79 6.32 表 A1 MgAl3-Pm${\bar {3}} $m, MgAl3-P63/mmc, MgAl-P4/mmm, MgAl-Pmmb, MgAl-Fd${\bar {3}} $m, Mg2Al-P${\bar {3}} $m1, Mg3Al-P63/mmc, Mg3Al-Fm${\bar {3}} $m, Mg4Al-I4/m和Mg5Al-P${\bar {3}} $m1在给定压强下的晶格参数和原子位置
Table A1. Lattice parameters and atomic coordinates of MgAl3-Pm${\bar {3}} $m, MgAl3-P63/mmc, MgAl-P4/mmm, MgAl-Pmmb, MgAl-Fd${\bar {3}} $m, Mg2Al-P${\bar {3}} $m1, Mg3Al-P63/mmc, Mg3Al-Fm${\bar {3}} $m, Mg4Al-I4/m and Mg5Al-P${\bar {3}} $m1 at given pressure.
Phase Lattice
parameters/ÅAtom Site Atomic coordinates Pm${\bar {3}} $m MgAl3
(100 GPa)a = b = c = 3.4807,
α = β = γ = 90°Mg 1a (0.00000 0.00000 0.00000) Al 3c (0.50000 0.50000 0.00000) P63/mmc MgAl3
(200 GPa)a = b = 4.6192, c = 3.7511,
α = β = 90°, γ = 120°Mg 2d (0.33333 0.66667 0.75000) Al 6h (0.16575 0.33150 0.25000) P4/mmm MgAl
(40 GPa)a = b = 2.6468, c = 3.8386,
α = β = γ = 90°Mg 1d (0.50000 0.50000 0.50000) Al 1a (0.00000 0.00000 0.00000) Pmmb MgAl
(95 GPa)a = 4.0475, b = 2.4798, c = 4.3490,
α = β = γ = 90°Mg 2f (0.25000 0.50000 0.33732) Al 2e (0.25000 0.00000 0.83940) Fd${\bar {3}} $m MgAl
(350 GPa)a = b = c = 4.8837,
α = β = γ = 90°Mg 8a (0.50000 0.50000 0.00000) Al 8b (0.50000 0.00000 0.00000) P${\bar {3}} $m1 Mg2Al
(500 GPa)a = b = 3.3248, c = 2.0093,
α = β = 90°, γ = 120°Mg 2d (0.33333 0.66667 0.49763) Al 1a (0.00000 0.00000 0.00000) P63/mmc Mg3Al
(50 GPa)a = b = 5.3284, c = 4.3022,
α = β = 90°, γ = 120°Mg 6h (0.16784 0.83216 0.25000) Al 2d (0.66667 0.33333 0.25000) Fm${\bar {3}} $m Mg3Al
(350 GPa)a = b = c = 4.8981,
α = β = γ = 90°Mg 4b (0.50000 0.50000 0.50000) 8c (0.75000 0.75000 0.75000) Al 4a (0.00000 0.00000 0.00000) I4/m Mg4Al
(500 GPa)a = b = 4.4643, c = 3.2322,
α = β = γ = 90°Mg 8h (0.09518 0.70193 0.50000) Al 2a (0.00000 0.00000 0.00000) P${\bar {3}} $m1 Mg5Al
(500 GPa)a = b = 3.3132, c = 4.0870,
α = β = 90°, γ = 120°Mg 2d (0.66667 0.33333 0.31434) 2d (0.66667 0.33333 0.81145) 1a (0.00000 0.00000 0.00000) Al 1b (0.00000 0.00000 0.50000) -
[1] Grochala W, Hoffmann R, Feng J, Ashcroft N W 2007 Angew. Chem. Int. Ed. 46 3620
Google Scholar
[2] Pickard C J, Needs R J 2011 Phys. Rev. Lett. 107 87201
Google Scholar
[3] Dong X, Oganov A R, Goncharov A F, Stavrou E, Lobanov S, Saleh G, Qian G R, Zhu Q, Gatti C, Deringer V L 2017 Nat. Chem. 9 440
Google Scholar
[4] 田城, 蓝剑雄, 王苍龙, 翟鹏飞, 刘杰 2022 物理学报 71 017102
Google Scholar
Tian C, Lan J X, Wang C L, Zhai P F, Liu J 2022 Acta Phys. Sin. 71 017102
Google Scholar
[5] 熊浩智, 王云江 2025 物理学报 74 086101
Google Scholar
Xiong H Z, Wang Y J 2025 Acta Phys. Sin. 74 086101
Google Scholar
[6] Miao M, Hoffmann R 2015 J. Am. Chem. Soc. 137 3631
Google Scholar
[7] Dye J L 1990 Science 247 663
Google Scholar
[8] Dye J L 2003 Science 301 607
Google Scholar
[9] Toda Y, Matsuishi S, Hayashi K, Ueda K, Kamiya T, Hirano M, Hosono H 2004 Adv. Mater. 16 685
Google Scholar
[10] 李凡, 张忻, 张久兴 2019 物理学报 68 206801
Google Scholar
Li F, Zhang X, Zhang J X 2019 Acta Phys. Sin. 68 206801
Google Scholar
[11] Menamparambath M M, Park J H, Yoo H S, Patole S P, Yoo J B, Kim S W, Baik S 2014 Nanoscale 6 8844
Google Scholar
[12] He H M, Li Y, Yang H, Yu D, Li S Y, Wu D, Hou J H, Zhong R L, Zhou Z J, Gu F L 2017 J. Phys. Chem. C 121 958
Google Scholar
[13] Guo Z X, Bergara A, Zhang X H, Li X, Ding S C, Yang G C 2024 Phys. Rev. B 109 134505
Google Scholar
[14] Wei J H, Zhong T, Sun J C, Liu H Y, Zhu L, Zhang S T 2025 Phys. Rev. B 111 184508
Google Scholar
[15] Wang C, Liu P Y, Liu Z, Cui T 2024 Results Phys. 60 107703
Google Scholar
[16] Wang D, Song H X, Hao Q D, Yang G F, Wang H, Zhang L L, Chen Y, Chen X R, Geng H Y 2024 J. Phys. Chem. C 129 689
Google Scholar
[17] Hu J P, Xu B, Yang S Y, Guan S, Ouyang C Y, Yao Y G 2015 ACS Appl. Mater. Interfaces 7 24016
Google Scholar
[18] Chen G H, Bai Y, Li H, Li Y, Wang Z H, Ni Q, Liu L, Wu F, Yao Y G, Wu C 2017 ACS Appl. Mater. Interfaces 9 6666
Google Scholar
[19] Druffel D L, Pawlik J T, Sundberg J D, McRae L M, Lanetti M G, Warren S C 2020 J. Phys. Chem. Lett. 11 9210
Google Scholar
[20] Ye T N, Li J, Kitano M, Hosono H 2017 Green Chem. 19 749
Google Scholar
[21] Toda Y, Hirayama H, Kuganathan N, Torrisi A, Sushko P V, Hosono H 2013 Nat. Commun. 4 2378
Google Scholar
[22] Zhang X H, Yang G C 2020 J. Phys. Chem. Lett. 11 3841
Google Scholar
[23] Zhou J, Feng Y P, Shen L 2020 Phys. Rev. B 102 180407
Google Scholar
[24] Lee S Y, Hwang J Y, Park J, Nandadasa C N, Kim Y, Bang J, Lee K, Lee K H, Zhang Y, Ma Y 2020 Nat. Commun. 11 1526
Google Scholar
[25] Hirayama M, Matsuishi S, Hosono H, Murakami S 2018 Phys. Rev. X 8 031067
Google Scholar
[26] Hosono H, Kitano M 2021 Chem. Rev. 121 3121
Google Scholar
[27] Miao M S, Hoffmann R 2014 Acc. Chem. Res. 47 1311
Google Scholar
[28] Sui X L, Wang J F, Duan W H 2019 J. Phys. Chem. C 123 5003
Google Scholar
[29] Yan J Q, Ochi M, Cao H B, Saparov B, Cheng J G, Uwatoko Y, Arita R, Sales B C, Mandrus D G 2018 J. Phys.: Condens. Matter 30 135801
Google Scholar
[30] Lu Y F, Wang J J, Li J, Wu J Z, Kanno S, Tada T, Hosono H 2018 Phys. Rev. B 98 125128
Google Scholar
[31] Wang X M, Wang Y, Wang J J, Pan S N, Lu Q, Wang H T, Xing D Y, Sun J 2022 Phys. Rev. Lett. 129 246403
Google Scholar
[32] Nakashima P N, Smith A E, Etheridge J, Muddle B C 2011 Science 331 1583
Google Scholar
[33] Liu C, Nikolaev S A, Ren W, Burton L A 2020 J. Mater. Chem. C 8 10551
Google Scholar
[34] Pickard C J, Needs R J 2010 Nat. Mater. 9 624
Google Scholar
[35] Li P F, Gao G Y, Wang Y C, Ma Y M 2010 J. Phys. Chem. C 114 21745
Google Scholar
[36] Zhu Q, Oganov A R, Lyakhov A O 2013 Phys. Chem. Chem. Phys. 15 7696
Google Scholar
[37] Miao M S, Wang X L, Brgoch J, Spera F, Jackson M G, Kresse G, Lin H Q 2015 J. Am. Chem. Soc. 137 14122
Google Scholar
[38] Li C, Yang W G, Sheng H W 2022 Phys. Rev. Mater. 6 033601
Google Scholar
[39] Li C, Li W W, Zhang X L, Du L C, Sheng H W 2022 Phys. Chem. Chem. Phys. 24 12260
Google Scholar
[40] Mao H K, Chen X J, Ding Y, Li B, Wang L 2018 Rev. Mod. Phys. 90 015007
Google Scholar
[41] Polsin D N, Fratanduono D E, Rygg J R, Lazicki A, Smith R F, Eggert J H, Gregor M C, Henderson B H, Delettrez J A, Kraus R G 2017 Phys. Rev. Lett. 119 175702
Google Scholar
[42] Wang Y C, Lv J, Zhu L, Ma Y M 2012 Comput. Phys. Commun. 183 2063
Google Scholar
[43] Wang Y C, Lv J, Zhu L, Ma Y M 2010 Phys. Rev. B 82 094116
Google Scholar
[44] Oganov A R, Glass C W 2006 J. Chem. Phys. 124 244704
Google Scholar
[45] Oganov A R, Lyakhov A O, Valle M 2011 Acc. Chem. Res. 44 227
Google Scholar
[46] Lyakhov A O, Oganov A R, Stokes H T, Zhu Q 2013 Comput. Phys. Commun. 184 1172
Google Scholar
[47] Kohn W, Sham L J 1965 Phys. Rev. 137 A1697
Google Scholar
[48] Hohenberg P, Kohn W 1964 Phys. Rev. 136 B864
Google Scholar
[49] Kresse G, Furthmüller J 1996 Phys. Rev. B 54 11169
Google Scholar
[50] Kresse G, Furthmüller J 1996 Comput. Mater. Sci. 6 15
Google Scholar
[51] Kresse G, Joubert D 1999 Phys. Rev. B 59 1758
Google Scholar
[52] Perdew J P, Burke K, Ernzerhof M 1996 Phys. Rev. Lett. 77 3865
Google Scholar
[53] Yu M, Trinkle D R 2011 J. Chem. Phys. 134 064111
Google Scholar
[54] Togo A, Tanaka I 2015 Scr. Mater. 108 1
Google Scholar
[55] Olijnyk H, Holzapfel W B 1985 Phys. Rev. B 31 4682
Google Scholar
[56] Akahama Y, Nishimura M, Kinoshita K, Kawamura H, Ohishi Y 2006 Phys. Rev. Lett. 96 045505
Google Scholar
[57] Tambe M J, Bonini N, Marzari N 2008 Phys. Rev. B 77 172102
Google Scholar
[58] Owen E A, Liu Y H 1947 Lond. Edinb. Dublin Philos. Mag. J. Sci. 38 354
Google Scholar
[59] Lyubimtsev A L, Baranov A I, Fischer A, Kloo L, Popovkin B A 2002 J. Alloys Compd. 340 167
Google Scholar
[60] Chang L C 1951 Acta Cryst. Sect. A 4 320
Google Scholar
[61] Kuriyama K, Saito S, Iwamura K 1979 J. Phys. Chem. Solids 40 457
Google Scholar
[62] Williams A 1989 J. Phys. : Condens. Matter 1 2569
Google Scholar
[63] Zhang L L, Wu Q, Li S R, Sun Y, Yan X Z, Chen Y, Geng H Y 2021 ACS Appl. Mater. Interfaces 13 6130
Google Scholar
[64] Zhang L L, Geng H Y, Wu Q 2021 Matter Radiat. Extremes 6 038403
Google Scholar
[65] Kang M G, Fang S A, Ye L D, Po H C, Denlinger J, Jozwiak C, Bostwick A, Rotenberg E, Kaxiras E, Checkelsky J G 2020 Nat. Commun. 11 4004
Google Scholar
计量
- 文章访问数: 1688
- PDF下载量: 31
- 被引次数: 0








下载: