-
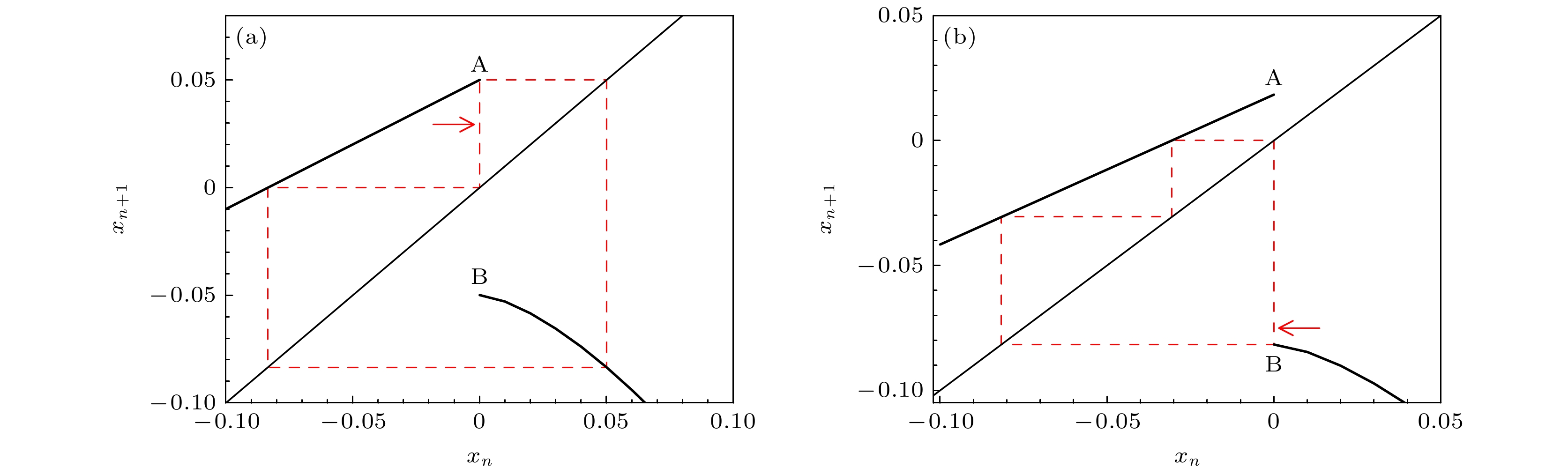
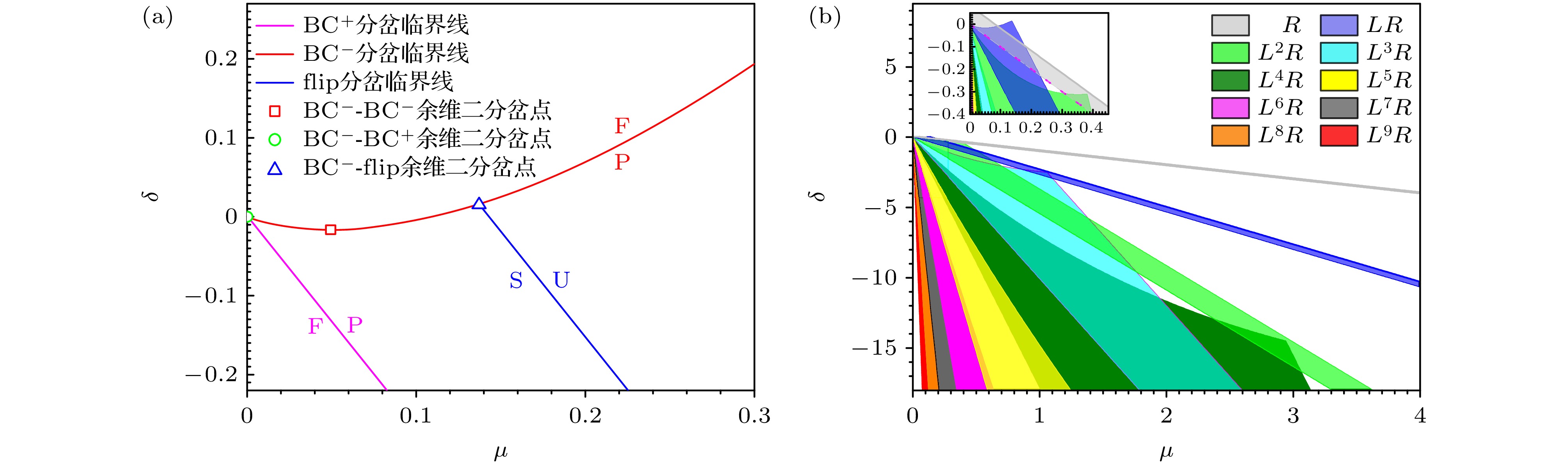
本文研究了一类分段光滑不连续一维映像的动力学, 该映像左支是一线性函数, 右支是指数为z的幂律函数. 在$x=0$处存在间断$[\mu,\mu+\delta]$, 其中μ为控制参数. 当周期轨道失稳时, 系统会进入混沌状态. 而不连续性的出现导致了边界碰撞分岔的发生, 可以使稳定的周期轨道转变为混沌状态或者另外一个稳定的周期状态. 在这类转变点的附近, 常常伴随着吸引子共存现象. 此外, 随控制参数减小出现周期递增现象. 得到了求解这类不连续映像在任意参数z和δ下边界碰撞分岔临界控制参数的一般方法, 将其归结为求解无量纲控制参数($\mu/\mu_0$, 其中$\mu_0$为$\delta=0$时的控制参数)的代数方程, 该方程对于简单的有理数或者较小的整数z, 可以解析求解; 对于任意实数z, 可以数值求解. 据此, 解析得到了$L^{n-1}R$周期轨道的稳定性和边界碰撞分岔的临界控制参数. 基于稳定性和边界碰撞分岔的解析分析, 获得了双参数$\mu\text{-}\delta$平面中系统动力学的相平面, 讨论了系统的动力学行为, 发现了三类余维-2分岔点, 并给出了坐标通式. 同时, 在相平面中还发现了余维分岔点的融合, 构成一类特殊的三相点, 并解析得到其存在的条件.
The study of chaos is an important field in science and has achieved many significant results. In the earlier days of the field, the study mainly focused on the systems that exhibit smooth behaviors throughout. Nonsmooth systems, by contrast, have received less attention. Nonsmooth dynamical systems are widely encountered in practical applications, such as impact oscillators, relaxation oscillators, switch circuits, neuron firing, epidemic models, and even economic models. They have become an active field of study in recent years. The typical characteristics of those systems are the abrupt variation of dynamics following a slow evolution over a longer period of time. Piecewise smooth maps are important models frequently used to describe the dynamics of those systems. Among them, much attention is paid to a class of generally one dimensional piecewise linear discontinuous mappings, as they are easy to handle and can display a rich variety of dynamical phenomena with new characteristics. Included in this work is a discontinuous two-piece mapping function. The left branch is a linear function with slope α, and the right branch is a power law function with exponent z. There exists a gap limited by $[\mu,\mu+\delta]$ at $x=0$, where μ is the control parameter and δ is the width of the gap. Even though the dynamics of nonsmooth and continuous mapping have been extensively studied at some special z values, their discontinuous counterparts have not been investigated at any z and discontinuous gap δ. The presence of a discontinuity may induce border collision bifurcations. The interplay between these bifurcations associated with stability analysis and the border collision bifurcations may produce complex dynamics with new characteristics. Therefore, this work investigates the dynamics of those mappings in which periodic increments, periodic adding and coexistence of attractors are observed. The border collision bifurcation often disrupts a stable periodic orbit, causing it transition into either a chaotic state or a different periodic orbit. Near the critical parameters of this bifurcation, a periodic orbit often coexists with a chaotic or another periodic attractor. A general approach is proposed to analytically and numerically calculate the critical control parameters at which the border collision bifurcations happen, which transform the problem into the solution of an algebraic equation of dimensionless control parameter μ/μ0, where μ0 is the critical control parameter when δ = 0. The solution can be obtained analytically when z is a simple rational number or small integer, and numerically for an arbitrary real number. In this way, the stability condition and critical control parameters for the periodic orbit of type $L^{n-1}R $ are analytically or numerically obtained under the arbitrary exponent z and discontinuous gap δ. The results are in accordance with the numerical simulations very well. Based on the stability and border collision bifurcation analysis, the phase diagrams in the plane of two dimensional parameters μ−δ are built for different ranges of z. Their dynamical behaviors are discussed, and three types of co-dimension-2 bifurcations are observed, and the general expressions for the coordinates at which those phenomena occur are obtained in the phase plane. Meanwhile, a specular tripe-point induced by merging of co-dimension-2 bifurcation points BC−-flip and BC−-BC− is observed in the phase plane, and the condition for its existence is analytical obtained. -
Keywords:
- discontinuous map /
- border collision bifurcation /
- stability analysis /
- co-dimensional bifurcation
[1] Makarenkov O, Lamb J S W 2012 Physica D: Nonlinear Phenomena 241 1826
Google Scholar
[2] Qin Z Y, Yang J C, Banerjee S, Jiang G R 2011 Discrete and Continuous Dynamical Systems-B 16 547
Google Scholar
[3] Biswas D, Seth S, Bor M 2020 Int. J. Bifurcation Chaos 30 2050018
Google Scholar
[4] Metri R A, Mounica M, Rajpathak B A 2020 IEEE First International Conference on Smart Technologies for Power, Energy and Control (STPEC) Nagpur, India, 2020 pp1–6
[5] Metri R, Rajpathak B, Pillai H 2023 Nonlinear Dyn. 111 9395
Google Scholar
[6] Shen Y Z, Zhang Y X 2019 Nonlinear Dyn. 96 1405
[7] Zhao Y F, Zhang Y X 2023 Chaos, Solitons & Fractals 171 113491
[8] Nordmark A B 1991 J. Sound Vib.
145 279
Google Scholar
[9] 何大韧, Habip S, Bauer M, Krueger U, Martienssen W, Christiansen B, 汪秉宏 1993 物理学报 42 711
Google Scholar
He D R, Habip S, Bauer M, Krueger U, Martienssen W, Christiansen B, Wang B H 1993 Acta Phys. Sin. 42 711
Google Scholar
[10] He D R, Wang B H, Bauer M, Habip S, Krueger U, Martienssen W, Christiansen B 1994 Physica D: Nonlinear Phenomena 79 335
Google Scholar
[11] Tse C K 1994 IEEE Trans. Circuits Syst. I: Fundamental Theory and Applications 41 16
[12] Zou Y L, Luo X S, Chen G R 2006 Chin. Phys. 15 1719
Google Scholar
[13] Avrutin V, Zhusubaliyev Z T 2020 Int. J. Bifurcation Chaos 30 2030015
Google Scholar
[14] Cardin P T 2022 Chaos: An Interdisciplinary Journal of Nonlinear Science 32 013104
Google Scholar
[15] Wang D, Mo J, Zhao X Y, Gu H G, Qu S X, Ren W 2010 Chin. Phys. Lett. 27 070503
Google Scholar
[16] Gu H G 2013 Chaos: An Interdisciplinary Journal of Nonlinear Science 23 023126
Google Scholar
[17] Carvalho T, Cristiano R, Rodrigues D S, Tonon D J 2021 Nonlinear Dyn. 105 3763
Google Scholar
[18] Panchuk A, Sushko I, Westerhoff F 2018 Chaos: An Interdisciplinary Journal of Nonlinear Science 28 055908
Google Scholar
[19] Banerjee S, Grebogi C 1999 Phys. Rev. E 59 4052
[20] di Bernardo M, Hogan S J 2010 Philos. Trans. A: Math. Phys. Eng. Sci. 368 4915
Google Scholar
[21] Qu S X, Lu Y Z, Zhang L, He D R 2008 Chin. Phy. B 17 4418
Google Scholar
[22] Simpson D J W 2016 Siam Review 58 177
Google Scholar
[23] Nusse H E, Yorke J A 1992 Physica D: Nonlinear Phenomena 57 39
Google Scholar
[24] Nusse H E, Ott E, Yorke J A 1994 Phys. Rev. E 49 1073
[25] Nusse H E, Yorke J A 1995 Int. J. Bifurcation Chaos 5 189
Google Scholar
[26] He D R, Bauer M, Habip S, Krueger U, Martienssen W, Christiansen B, Wang B H 1992 Phys. Lett. A 171 61
Google Scholar
[27] 屈世显, Christiansen B, 何大韧 1995 物理学报 44 841
Google Scholar
Qu S X, Christiansen B, He D R 1995 Acta Phys. Sin. 44 841
Google Scholar
[28] Qu S X, Wu S G, He D R 1998 Phys. Rev. E 57 402
Google Scholar
[29] 王文秀, 马明全, 吴永萍, 竹有章, 何大韧 2001 物理学报 50 1226
Google Scholar
Wang W X, Ma M Q, Wu Y P, Zhu Y Z, He D R 2001 Acta Phys. Sin. 50 1226
Google Scholar
[30] 戴俊, 褚翔升, 何大韧 2006 物理学报 55 3979
Google Scholar
Dai J, Chu X S, He D R 2006 Acta Phys. Sin. 55 3979
Google Scholar
[31] Elaskar S, del Rio E, Schulz W 2022 Symmetry 14 2519
Google Scholar
[32] Qu S X, Christiansen B, He D R 1995 Phys. Lett. A 201 413
Google Scholar
[33] Avrutin V, Panchuk A, Sushko I 2021 Proc. A
477 20210432
Google Scholar
[34] Jain P, Banerjee S 2003 Int. J. Bifurcation Chaos
13 3341
Google Scholar
[35] Halse C, Homer M, di Bernardo M 2003 Chaos, Solitons & Fractals 18 953
[36] Hogan S J, Higham L, Griffn T C L 2007 Proceedings of the Royal Society A: Mathematical, Physical and Engineering Sciences 463 49
Google Scholar
[37] Dutta P S, Banerjee S 2010 Discrete and Continuous Dynamical Systems-B 14 961
Google Scholar
[38] Kowalczyk P, Di Bernardo M, Champneys A R, Hogan S J, Homer M, Piiroinen P T, Kuznetsov Y A, Nordmark A 2006 Int. J. Bifurcation Chaos 16 601
Google Scholar
[39] Avrutin V, Schanz M, Banerjee S 2007 Phys. Rev. E 75 066205
Google Scholar
[40] Qin Z Y, Zhao Y J, Yang J C 2012 Int. J. Bifurcation Chaos 22 1250112
Google Scholar
[41] Gardini L, Avrutin V, Sushko I 2014 Int. J. Bifurcation Chaos24 1450024
Google Scholar
[42] Wang Z, Zhang C, Bi Q 2024 Chaos, Solitons & Fractals 184 115040
[43] Stiefenhofer P 2025 Phys. Lett. A 560 130935
Google Scholar
[44] Yamaguchi Y Y, Barré J 2023 Phys. Rev. E 107 054203
[45] Liu X, Liu P, Liu Y 2022 AIMS Mathematics 7 3360
Google Scholar
-
图 3 $ z=1/2 $, $ \alpha=0.6 $, $ \beta=-3 $时, $ \mu\text{-}\delta $相平面上$ L^{n-1}R $周期轨道分岔临界线和分岔图 (a) $ \mu\text{-}\delta $相平面上分岔临界线, $ L^{n-1}R^{ } $稳定周期轨道存在区域. (b)—(d) 不同δ取值时的分岔图. 绿色水平虚线标识不连续边界, 蓝色和红色和粉红色竖直虚线分别标识flip分岔和$ \rm BC^- $边界碰撞分岔临界控制参数的解析值$ \mu_{n, {\rm{flip}}} $和$ \mu_{n, {\rm{BC}}^{-}} $
Fig. 3. Critical bifurcation curve of period $ L^{n-1}R $ and bifurcation diagrams when $ z=1/2 $, $ \alpha=0.6 $ and $ \beta=-3 $: (a) Critical bifurcation curve in the $ \mu\text{-}\delta $ plane. The regions where the stable $ ^{ }L^{n-1}R $ orbits exit. (b)–(d) Bifurcation diagrams for different δ. The green dashed horizontal lines mark the discontinuous border of the map. The vertical dashed-lines of blue and red colors indicate the analytical values $ \mu_{n, {\rm{flip}}} $ and $ \mu_{n, {\rm{BC}}^{-}} $ of the critical control parameters for the flip and $ \rm BC^- $ border collision bifurcations, respectively.
图 4 $ \mu\text{-}\delta $相平面中$ L^{n-1}R $周期轨道的分岔临界线($ z=1.5 $, $ \alpha=0.6 $, $ \beta=-3 $) (a) 临界线$ n=2 $; (b) $ L^{n-1}R $周期轨道稳定存在区域
Fig. 4. Critical curves for bifurcations of $ L^{n-1}R $ periodic orbits in $ \mu\text{-}\delta $ phase plain when $ z=1.5 $, $ \alpha=0.6 $ and $ \beta=-3 $: (a) Critical curves $ n=2 $; (b) the regions where the stable $ L^{n-1}R $ orbits exit.
图 5 $ z=1.5 $, $ \alpha=0.6 $, $ \beta=-3 $, δ取值不同时的分岔图. 绿色水平虚线标识不连续边界, 蓝色、红色和粉红色竖直虚线分别标识flip分岔、BC–和BC+边界碰撞分岔临界控制参数的解析值$ \mu_{n, {\rm{flip}}} $, $ \mu_{n, {\rm{BC}}^{-}} $和$ \mu_{n, {\rm{BC}}^{+}} $
Fig. 5. Bifurcation diagrams for different δ when $ z=1.5 $, $ \alpha=0.6 $ and $ \beta=-3 $. The green dashed horizontal lines mark the discontinuous border of the map. The vertical dashed-lines of blue, red and magenta colors indicate the analytical values $ \mu_{n, {\rm{flip}}} $, $ \mu_{n, {\rm{BC}}^{-}} $ and $ \mu_{n, {\rm{BC}}^{+}} $ of the critical control parameters for the flip, BC– and BC+ border collision bifurcations, respectively.
图 6 $ \mu\text{-}\delta $相平面中$ L^{n-1}R $周期的分岔曲线, 其中, $ z=-0.6 $, $ \alpha=0.6 $, $ \beta=-3 $. 彩色区域为周期轨道稳定区域, 其蓝色左边界为fold分岔的临界线$ \mu_{n, {\rm{fold}}} $, 其红色右边界为碰撞分岔临界线$ \mu_{n, {\rm{BC}}^{-}} $, 区间外为禁止区域
Fig. 6. Critical bifurcation curves in phase space $ \mu\text{-}\delta $, where $ z=-0.6, \;\alpha=0.6 $ and $ \beta=-3 $. The stable $ L^{n-1}R $ periodic orbits are permitted in the colored areas, in which the blue-lines and the red-lines mark the critical curves $ \mu_{n, {\rm{fold}}} $ and $ \mu_{n, {\rm{BC}}^{-}} $ of the fold and border collision bifurcations, respectively. Those orbits are prohibited out of the colored regions.
表 1 $ z=1/2 $, $ \alpha=0.6 $和$ \beta=-3 $时, 三种分岔的临界控制参数
Table 1. Critical control parameters for three kinds of bifurcations when $ z=1/2 $, $ \alpha=0.6 $ and $ \beta=-3 $.
δ n $ \mu_{n, \rm BC^+} $ $ \mu^\prime_{n, \rm BC^–} $ $ \mu_{n, \rm BC^–} $ $ \mu_{n, \rm flip} $ 2 1 — — — 4.75000 2 2 — 1.00000 4.00000 — 0.4005 1 — — — 6.3495 0.4005 2 — 0.01961 8.17939 1.36856 0.4005 3 — 0.02396 0.94129 0.37277 0.4005 4 — 0.05157 0.10493 — –3 1 3.00000 — — 9.75000 –3 2 1.12500 — 14.3739 2.64375 –3 3 0.551020 — 3.10847 0.997347 –3 4 0.297794 — 1.13912 0.442522 –3 5 0.168633 — 0.510583 0.217806 –3 6 0.0978786 — 0.253545 0.115003 表 2 $ z=3/2 $, $ \alpha=0.6 $和$ \beta=-3 $时, 三种分岔的临界控制参数
Table 2. Critical control parameters for three kinds of bifurcations when $ z=3/2 $, $ \alpha=0.6 $ and $ \beta=-3 $.
δ n $ \mu_{n, \rm BC^+} $ $ \mu^\prime_{n, \rm BC^-} $ $ \mu_{n, \rm BC^-} $ $ \mu_{n, \rm flip} $ 0.002 1 — — — 0.08031 0.002 2 — — 0.11501 0.14214 –0.01 1 0.01 — — 0.0923 –0.01 2 0.00375 0.01617 0.08705 0.14664 –0.01 3 0.00184 0.00404 — — –0.01 4 0.000993 0.001882 — — –0.01 ··· ··· ··· ··· ··· –0.312 1 0.312 — — 0.39431 –0.312 2 0.117 — 0.25989 –0.312 3 0.05731 0.34237 0.36 0.38132 –0.312 4 0.03097 0.06682 — — –0.312 5 0.01754 0.03273 — — –0.312 ··· ··· ··· ··· ··· –10.5 3 1.92857 — — 2.25258 –10.5 4 1.04228 — — 1.85297 –10.5 5 0.59022 1.70563 — — –10.5 6 0.34258 0.68604 — — –10.5 7 0.2016 0.36408 — — –10.5 ··· ··· ··· ··· ··· -
[1] Makarenkov O, Lamb J S W 2012 Physica D: Nonlinear Phenomena 241 1826
Google Scholar
[2] Qin Z Y, Yang J C, Banerjee S, Jiang G R 2011 Discrete and Continuous Dynamical Systems-B 16 547
Google Scholar
[3] Biswas D, Seth S, Bor M 2020 Int. J. Bifurcation Chaos 30 2050018
Google Scholar
[4] Metri R A, Mounica M, Rajpathak B A 2020 IEEE First International Conference on Smart Technologies for Power, Energy and Control (STPEC) Nagpur, India, 2020 pp1–6
[5] Metri R, Rajpathak B, Pillai H 2023 Nonlinear Dyn. 111 9395
Google Scholar
[6] Shen Y Z, Zhang Y X 2019 Nonlinear Dyn. 96 1405
[7] Zhao Y F, Zhang Y X 2023 Chaos, Solitons & Fractals 171 113491
[8] Nordmark A B 1991 J. Sound Vib.
145 279
Google Scholar
[9] 何大韧, Habip S, Bauer M, Krueger U, Martienssen W, Christiansen B, 汪秉宏 1993 物理学报 42 711
Google Scholar
He D R, Habip S, Bauer M, Krueger U, Martienssen W, Christiansen B, Wang B H 1993 Acta Phys. Sin. 42 711
Google Scholar
[10] He D R, Wang B H, Bauer M, Habip S, Krueger U, Martienssen W, Christiansen B 1994 Physica D: Nonlinear Phenomena 79 335
Google Scholar
[11] Tse C K 1994 IEEE Trans. Circuits Syst. I: Fundamental Theory and Applications 41 16
[12] Zou Y L, Luo X S, Chen G R 2006 Chin. Phys. 15 1719
Google Scholar
[13] Avrutin V, Zhusubaliyev Z T 2020 Int. J. Bifurcation Chaos 30 2030015
Google Scholar
[14] Cardin P T 2022 Chaos: An Interdisciplinary Journal of Nonlinear Science 32 013104
Google Scholar
[15] Wang D, Mo J, Zhao X Y, Gu H G, Qu S X, Ren W 2010 Chin. Phys. Lett. 27 070503
Google Scholar
[16] Gu H G 2013 Chaos: An Interdisciplinary Journal of Nonlinear Science 23 023126
Google Scholar
[17] Carvalho T, Cristiano R, Rodrigues D S, Tonon D J 2021 Nonlinear Dyn. 105 3763
Google Scholar
[18] Panchuk A, Sushko I, Westerhoff F 2018 Chaos: An Interdisciplinary Journal of Nonlinear Science 28 055908
Google Scholar
[19] Banerjee S, Grebogi C 1999 Phys. Rev. E 59 4052
[20] di Bernardo M, Hogan S J 2010 Philos. Trans. A: Math. Phys. Eng. Sci. 368 4915
Google Scholar
[21] Qu S X, Lu Y Z, Zhang L, He D R 2008 Chin. Phy. B 17 4418
Google Scholar
[22] Simpson D J W 2016 Siam Review 58 177
Google Scholar
[23] Nusse H E, Yorke J A 1992 Physica D: Nonlinear Phenomena 57 39
Google Scholar
[24] Nusse H E, Ott E, Yorke J A 1994 Phys. Rev. E 49 1073
[25] Nusse H E, Yorke J A 1995 Int. J. Bifurcation Chaos 5 189
Google Scholar
[26] He D R, Bauer M, Habip S, Krueger U, Martienssen W, Christiansen B, Wang B H 1992 Phys. Lett. A 171 61
Google Scholar
[27] 屈世显, Christiansen B, 何大韧 1995 物理学报 44 841
Google Scholar
Qu S X, Christiansen B, He D R 1995 Acta Phys. Sin. 44 841
Google Scholar
[28] Qu S X, Wu S G, He D R 1998 Phys. Rev. E 57 402
Google Scholar
[29] 王文秀, 马明全, 吴永萍, 竹有章, 何大韧 2001 物理学报 50 1226
Google Scholar
Wang W X, Ma M Q, Wu Y P, Zhu Y Z, He D R 2001 Acta Phys. Sin. 50 1226
Google Scholar
[30] 戴俊, 褚翔升, 何大韧 2006 物理学报 55 3979
Google Scholar
Dai J, Chu X S, He D R 2006 Acta Phys. Sin. 55 3979
Google Scholar
[31] Elaskar S, del Rio E, Schulz W 2022 Symmetry 14 2519
Google Scholar
[32] Qu S X, Christiansen B, He D R 1995 Phys. Lett. A 201 413
Google Scholar
[33] Avrutin V, Panchuk A, Sushko I 2021 Proc. A
477 20210432
Google Scholar
[34] Jain P, Banerjee S 2003 Int. J. Bifurcation Chaos
13 3341
Google Scholar
[35] Halse C, Homer M, di Bernardo M 2003 Chaos, Solitons & Fractals 18 953
[36] Hogan S J, Higham L, Griffn T C L 2007 Proceedings of the Royal Society A: Mathematical, Physical and Engineering Sciences 463 49
Google Scholar
[37] Dutta P S, Banerjee S 2010 Discrete and Continuous Dynamical Systems-B 14 961
Google Scholar
[38] Kowalczyk P, Di Bernardo M, Champneys A R, Hogan S J, Homer M, Piiroinen P T, Kuznetsov Y A, Nordmark A 2006 Int. J. Bifurcation Chaos 16 601
Google Scholar
[39] Avrutin V, Schanz M, Banerjee S 2007 Phys. Rev. E 75 066205
Google Scholar
[40] Qin Z Y, Zhao Y J, Yang J C 2012 Int. J. Bifurcation Chaos 22 1250112
Google Scholar
[41] Gardini L, Avrutin V, Sushko I 2014 Int. J. Bifurcation Chaos24 1450024
Google Scholar
[42] Wang Z, Zhang C, Bi Q 2024 Chaos, Solitons & Fractals 184 115040
[43] Stiefenhofer P 2025 Phys. Lett. A 560 130935
Google Scholar
[44] Yamaguchi Y Y, Barré J 2023 Phys. Rev. E 107 054203
[45] Liu X, Liu P, Liu Y 2022 AIMS Mathematics 7 3360
Google Scholar
计量
- 文章访问数: 672
- PDF下载量: 8
- 被引次数: 0








下载: