-
由于忆阻器具有独特的非线性特性和记忆效应, 基于忆阻器的混沌系统成为目前研究的热点. 然而, 关于忆阻混沌系统不稳定周期轨道的研究目前较少. 本文通过引入三角函数忆阻器改进三维混沌系统, 构建了一个新型四维忆阻混沌系统. 通过Lyapunov指数、庞加莱截面、相图、时域波动图对系统进行动力学行为分析. 针对变分法在寻找可靠圈猜想受限的问题, 创新性地提出了一种基于三角函数物理特性的优化策略. 通过该优化策略, 结合符号动力学对新系统的不稳定周期轨道进行了系统分析, 并进一步采用自适应反步法控制已知轨道的稳定性. 对新型忆阻混沌系统序列进行NIST测试, 发现该序列具有良好的伪随机性, 适用于图像加密算法的应用. 设计了基于新系统的图像加密算法, 忆阻混沌系统的应用显著提高了密钥空间和密钥敏感度, 增强了图像加密的安全性. 算法首先通过红、绿、蓝三个通道之间的跨平面置乱对彩色图像像素首次置乱, 随后进行单平面的二次置乱, 充分改变图像像素. 算法采用异或运算进行扩散, 其像素数变化率和统一平均变化强度的平均值表明其具有强大的差分攻击能力. 此外, 通过直方图、相关性、抗剪切攻击及运行时间等测试验证其可靠性. 最后, 在DPS平台上验证了实验结果与数值分析结果的一致性.Due to their unique nonlinear characteristics and memory effects, memristor-based chaotic systems have become a significant focus of research. However, studies on unstable periodic orbits in memristive chaotic systems are still relatively scarce. In this work, a novel four-dimensional memristive chaotic system is constructed by introducing a trigonometric-function-based memristor to enhance a three-dimensional chaotic system. The dynamical behaviors of the system are analyzed using Lyapunov exponents, Poincaré sections, phase portraits, and time-domain plots. The proposed memristive chaotic system exhibits rich dynamical characteristics, including transient behavior, intermittent chaos, and diverse attractor dynamics under parameter variations. To overcome the limitations of the variational method in finding reliable initial guesses for unstable periodic orbits, an innovative optimization strategy that utilizes the physical properties of trigonometric functions is proposed. Integrated with symbolic dynamics, this strategy can quickly obtain robust initial guesses for unstable periodic orbits within specific intervals. Furthermore, it enables these guesses to migrate into other regions of the attractor, ultimately achieving full coverage of the attractor's unstable periodic orbits. After a systematic analysis of the unstable periodic orbits in the new system, the adaptive backstepping method is employed to control the stability of the known unstable periodic orbits, namely 320 and 0*1*3. The pseudorandom sequences generated by the novel memristive chaotic system successfully passes the NIST suite, with all test items yielding P-values greater than 0.01, which confirms their excellent pseudo-random properties. Using this system for image encryption results in a key space of 10120, significantly enhancing the key space and key sensitivity of the algorithm. The encryption process begins with cross-plane scrambling operations among the RGB color channels for initial pixel processing, followed by intra-plane scrambling to further disrupt the pixel arrangement. XOR operations are then employed for pixel value diffusion. The algorithm exhibits outstanding resistance to differential attacks, with average NPCR and UACI values reaching 99.6041% and 33.4933%, respectively. Comprehensive security analyses, including histogram analysis, correlation analysis, resistance to cropping attacks, and runtime evaluation, verify that the proposed encryption scheme not only possesses strong security capabilities but also maintains high computational efficiency, making it highly suitable for practical image encryption applications. Finally, the realizability of the system is verified by utilizing a DSP circuit.
-
Keywords:
- chaotic system /
- memristor /
- periodic orbit /
- image encryption
-
图 5 吸引子的三维相图 (a) c取值为35, 45, 55, 65和75; (b) f分别取值为1, 2, 3, 4, 5, 6和7; (c) c取值分别为35, 45和55, f取值分别为1, 2和3
Fig. 5. The 3D phase diagram of the attractor: (a) The values of c is 35, 45, 55, 65 and 75; (b) values of f are 1, 2, 3, 4, 5, 6 and 7; (c) the values of c are 35, 45 and 55, and f values are 1, 2 and 3.
图 7 在参数$ \left(a,\; b,\; c,\; \text{f}\right)=\left(35,\; -36.2,\; 35,\; 1\right) $下拓扑长度二以内的不稳定周期轨道 (a) 0轨道; (b) 01轨道; (c) 02轨道; (d) 0*轨道; (e) 0*1*轨道; (f) 0*2*轨道
Fig. 7. Unstable periodic orbits within topological length 2 under the parameters $ \left(a,\; b,\; c,\; \text{f}\right)=\left(35,\; -36.2,\; 35,\; 1\right) $: (a) 0 orbit; (b) 01 orbit; (c) 02 orbit; (d) 0* orbit; (e) 0*1* orbit; (f) 0*2* orbit.
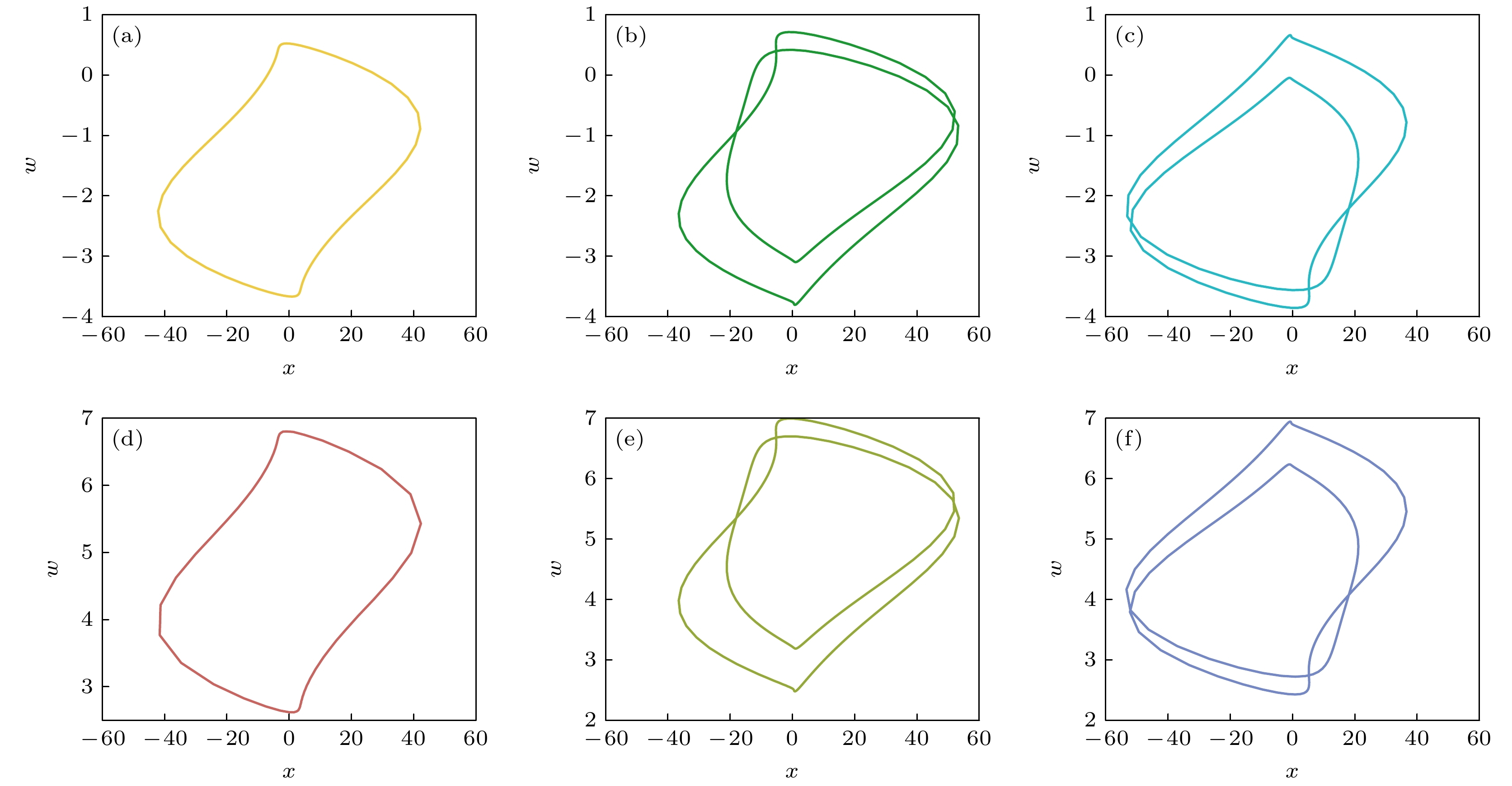
图 8 在参数$ \left(a,\; b,\; c,\; f\right)=\left(35,\; -36.2,\; 35,\; -1\right) $下拓扑长度三的不稳定周期轨道 (a) 001轨道; (b) 002轨道; (c) 012轨道; (d) 0*0*1*轨道; (e) 0*0*2*轨道; (f) 0*1*2*轨道; (g) 1*32轨道; (h) 0*1*3轨道; (i) 320轨道
Fig. 8. Unstable periodic orbits with topological length 3 under the parameters $ \left(a,\; b,\; c,\; f\right)=\left(35,\; -36.2,\; 35,\; -1\right) $: (a) 001 orbit; (b) 002 orbit; (c) 012 orbit; (d) 0*0*1* orbit; (e) 0*0*2* orbit; (f) 0*1*2* orbit; (g) 1*32 orbit; (h) 0*1*3 orbit; (i) 320 orbit.
图 9 在参数$ \left(a,\; b,\; c,\; f\right)=\left(35,\; -36.2,\; 35,\; 1\right) $下拓扑长度为4的6条不稳定周期轨道 (a) 0001轨道; (b) 0002轨道; (c) 0*0*1*2*轨道; (d) 1*302轨道; (e) 0*1*32轨道; (f) 3200轨道
Fig. 9. Six unstable periodic orbits with topological length 4 under the parameters $ \left(a,\; b,\; c,\; f\right)=\left(35,\; -36.2,\; 35,\; 1\right) $: (a) 0001 orbit; (b) 0002 orbit; (c) 0*0*1*2* orbit; (d) 1*302 orbit; (e) 0*1*32 orbit; (f) 3200 orbit.
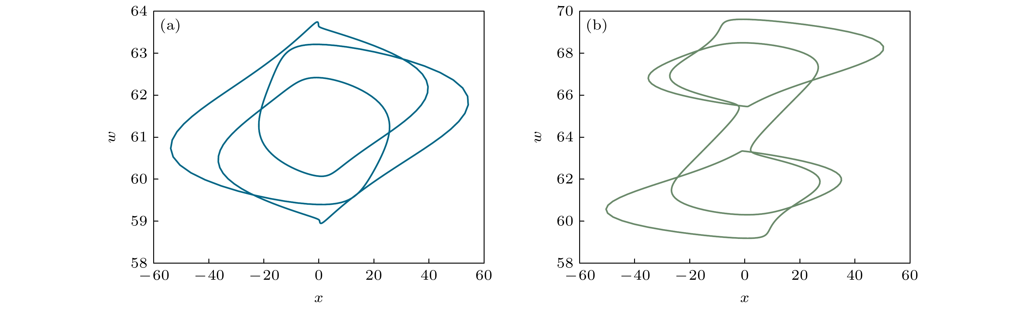
图 10 在区间$ w\in\left[1+18\text{π} ,\; 1+22\text{π} \right] $下拓扑长度为三的两条不稳定周期轨道 (a) $ \overline{012} $轨道; (b) $ \overline{{1}^{*}32} $轨道
Fig. 10. Two unstable periodic orbits with a topology length of three under the interval $ w\in\left[1+18\text{π} ,\; 1+22\text{π} \right] $: (a) $ \overline{012} $ orbit; (b) $ \overline{{1}^{*}32} $ orbit.
图 17 参数设定为$ a=35 $, $ b=-36.2 $, $ c=35 $, $ f=1 $, 初始值设定为$ \left({x}_{0},\; {y}_{0},\; {z}_{0},\; {w}_{0}\right)=\left(1,\; 1,\; 1,\; 1\right) $ (a) 密文1; (b) 密文2; (c) 使用密钥1解密密文2的解密结果
Fig. 17. The parameters are set to $ a=35 $, $ b=-36.2 $, $ c=35 $, $ f=1 $, with initial values set to $ \left({x}_{0},\; {y}_{0}, $$ {z}_{0},\; {w}_{0}\right)=\left(1,\; 1,\; 1,\; 1\right) $: (a) Ciphertext 1; (b) ciphertext 2; (c) decrypt the ciphertext 2 using key 1.
图 19 红色通道的相关性测试结果 (a), (b), (c) Baboon明文图像的水平、垂直和对角的相关分布情况; (d), (e), (f) Baboon密文图像的水平、垂直和对角的相关分布情况
Fig. 19. Correlation test results of R channel: (a), (b), (c) Correlated distribution of the horizontal, vertical, and diagonal profiles of the plain Baboon; (d), (e), (f) correlated distribution of the horizontal, vertical, and diagonal profiles of the cipher Baboon.
表 1 拓扑长度4以内的所有周期轨道
Table 1. Cycles up to topological length of 4.
拓扑长度 符号序列 轨道周期 x y z w 1 0 0.720501 6.508735 –5.193225 41.855578 0.451683 0* 0.719589 19.159465 –3.340987 45.182861 6.502664 2 01 1.585344 –14.017948 –0.514095 41.851147 –3.447184 02 1.584797 –52.744691 –13.324618 57.892876 –1.989351 0*1* 1.585358 –10.746542 –0.069079 41.104410 2.759155 0*2* 1.584889 –53.375862 –10.332951 58.963471 4.165480 3 001 2.323788 –11.143467 0.033567 39.319552 –3.425712 002 2.323284 –53.026000 –16.050180 57.472512 –1.913304 012 2.127497 –7.104980 –14.025361 9.400224 0.553446 0*0*1* 2.323795 –8.723310 0.240497 38.646657 2.800545 0*0*2* 2.323298 –54.508742 –8.379375 60.298472 4.049096 0*1*2* 2.127497 –7.104981 –14.025362 9.400225 6.836631 1*32 2.924806 1.064943 1.863679 30.347879 2.633903 0*1*3 2.943648 –14.135816 –27.126044 35.429683 0.855768 320 2.944150 3.597257 6.294294 17.559580 0.539793 4 0001 3.032393 –8.728522 0.229785 38.691885 –3.484834 0002 3.031796 –54.515385 –8.259054 60.352881 –2.236145 0102 2.932908 8.272250 –0.178298 38.094909 0.334115 0*0*0*1* 3.032393 –8.728526 0.229785 38.691885 2.798351 0*0*0*2* 3.031796 –54.515385 –8.259054 60.352881 4.047040 0*0*1*2* 2.932907 6.107148 –0.297469 37.321756 6.667555 1*302 3.648558 28.637701 12.674657 40.441601 –1.625792 0*1*32 3.648558 2.455802 3.769204 29.525836 2.773197 0*0*1*3 3.651440 –14.149188 –26.444524 35.946004 0.777711 3200 3.652068 3.584203 6.281986 18.925329 0.570854 表 2 NIST测试结果
Table 2. NIST test results.
编号 测试项 P值 结果 01 频率测试 0.470061 成功 02 块频率测试 0.171867 成功 03 累积和测试 0.456689 成功 04 运行测试 0.249284 成功 05 最大1游程长度测试 0.469760 成功 06 二值矩阵秩测试 0.437274 成功 07 离散傅里叶变换测试 0.166882 成功 08 非重叠模板匹配测试 0.478474 成功 09 重叠模板匹配测试 0.540033 成功 10 通用测试 0.757132 成功 11 近似熵测试 0.142808 成功 12 随机游走测试 0.353437 成功 13 随机游走变体测试 0.398799 成功 14 序列测试 0.783624 成功 15 线性复杂度测试 0.883171 成功 表 3 不同算法的NPCR和UACI值比较
Table 3. Comparison of NPCR and UACI values of different algorithms.
NPCR UACI R G B R G B 本文 99.5998 99.6120 99.6006 33.4525 33.4426 33.4574 Dehghani et al.[46] 99.5697 99.6368 99.6078 33.6510 33.5045 33.5231 Xin et al.[47] 99.6299 99.6037 99.6090 33.4236 33.4326 33.4886 Wang et al.[48] 99.6002 99.6094 99.6155 33.4128 33.4347 33.4488 Xiao et al.[49] 99.6227 99.6304 99.6052 33.3952 33.4674 33.4584 表 4 不同尺寸图像的加密时间
Table 4. Encryption time of different image sizes.
图像尺寸 运行时间 128×128 0.140711 256×256 0.287916 512×512 0.64476 1024×1024 2.970142 -
[1] Sella Y, Broderick N A, Stouffer K M, McEwan D L, Ausubel F M, Casadevall A, Bergman A 2024 Msystems 9 e01110-23
[2] Han Z T, Sun B, Banerjee S, Mou J 2024 Chaos, Solitons Fractals 184 115020
Google Scholar
[3] Xu Q, Ding X C, Wang N, Chen B, Parastesh F, Chen M 2024 Chaos, Solitons Fractals 187 115339
Google Scholar
[4] Murphy K A, Bassett D S 2017 Phys. Rev. Lett. 132 197201
[5] X Yan, Q Hu, L Teng, Y Su 2024 Chaos, Solitons Fractals 185 115146
Google Scholar
[6] Vogl M 2024 Commun Nonlinear Sci. Numer. Simul. 130 107760
Google Scholar
[7] Rehman Z U, Boulaaras S, Jan R, Ahmad I, Bahramand S 2024 J. Comput Sci. 75 102204
Google Scholar
[8] Li L 2024 Expert Syst. Appl. 252 124316
Google Scholar
[9] Umar T, Nadeem M, Anwer F 2004 Expert Syst. Appl. 257 125050
[10] Wang C H, Tang D, Lin H, Yu F, Sun Y C 2024 Expert Syst. Appl. 242 122513
Google Scholar
[11] Leonov G, Kuznetsov N 2013 Int. J. Bifurcation Chaos 23 1330002
Google Scholar
[12] Dong C W, Yang M 2024 Chin. J. Phys. 89 930
Google Scholar
[13] Dong C W, Yang M, Jia L, Li Z R 2024 Physica A 633 129391
Google Scholar
[14] Wei D S, Dong C W 2024 Phys. Scr. 99 085251
Google Scholar
[15] Dong C W 2022 Fractal Fract. 6 547
Google Scholar
[16] Dong C W, Yang M 2024 Fractal Fract. 8 266
Google Scholar
[17] Dong C W, Iu H H C 2025 Chin. J. Phys. 97 433
Google Scholar
[18] 王培杰, 吴国祯 2005 物理学报 54 3034
Google Scholar
Wang P J, Wu G Z 2005 Acta Phys. Sin. 54 3034
Google Scholar
[19] Sanchez J, Net M. 2010 Int. J. Bifuration Chaos 20 43
Google Scholar
[20] Lan Y, Cvitanović P 2004 Phys. Rev. E 69 016217
Google Scholar
[21] 董成伟 2018 物理学报 67 240501
Google Scholar
Dong C W 2018 Acta Phys. Sin. 67 240501
Google Scholar
[22] Chua L O 1971 IEEE Trans. Circuit Theor. 18 507
Google Scholar
[23] Strukov D B, Snider G S, Stewart D R, Stanley W R 2008 Nature 453 80
Google Scholar
[24] Xiao Y Y, Jiang B, Zhang Z, Ke S W, Jin Y Y, Wen X, Ye C 2023 Sci. Technol. Adv. Mater. 24 2162323
Google Scholar
[25] Zhang L, Li Z, Peng Y 2024 Chaos, Solitons Fractals 185 115109
Google Scholar
[26] Diao Y F, Huang S F, Huang L Q, Xiong X M, Yang J, Cai S T 2024 Chaos, Solitons Fractals 188 115526
Google Scholar
[27] An X L, Liu S Y, Xiong L, Zhang J G, Li XY 2024 Expert Syst. Appl. 243 122899
Google Scholar
[28] Kong X, Yu F, Yao W, Cai S, Zhang J, Lin H 2024 Neural Networks 171 85
Google Scholar
[29] He S, Hu K, Wang M, Wang H, Wu X 2024 Chaos, Solitons Fractals 188 115517
Google Scholar
[30] 赖强, 王君 2024 物理学报 73 180503
Google Scholar
Lai Q, Wang J 2024 Acta Phys. Sin. 73 180503
Google Scholar
[31] Njitacke Z T, Takembo C N, Awrejcewicz J, Fouda H P E, Kengne J 2022 Chaos, Solitons Fractals 160 112211
Google Scholar
[32] Zhang X, Xu J, Moshayedi A J 2024 Chaos, Solitons Fractals 179 114460
Google Scholar
[33] Lampartová A, Lampart M 2024 Chaos, Solitons Fractals 182 114863
Google Scholar
[34] 武花干, 边逸轩, 陈墨, 徐权 2024 电子与信息学报 46 3818
Wu H G, Bian Y X, Chen M, Xu Q 2024 J. Electron. Inf. Technol. 46 3818
[35] Hua C C, Guan X P 2004 Chaos, Solitons Fractals 22 55
[36] Konishi K, Hirai M, Kokame H 1998 Phys. Lett. A 245 511
Google Scholar
[37] Dadras S, Momeni H R 2009 Chaos, Solitons Fractals 42 3140
Google Scholar
[38] Pan Y, Ji W, Liang H 2022 IEEE Trans. Circuits Syst. Express Briefs. 69 5064
Google Scholar
[39] Zhang X L, Yang X Y, Huang C D, Cao J D, Liu H 2024 Inf. Sci. 661 120148
Google Scholar
[40] 王震, 李永新, 惠小健, 吕雷 2011 物理学报 60 010513
Google Scholar
Wang Z, Li Y X, Hui X J, Lü L 2011 Acta Phys. Sin. 60 010513
Google Scholar
[41] Wu F, Wang G, Zhuang S, Wang K, Keimer A, Stoica I, Bayen A 2023 IEEE Trans. Autom. Sci. Eng. 21 2088
[42] Guo P, Shi Q, Jian Z, Zhang J, Ding Q, Yan W 2024 Chaos, Solitons Fractals 180 114524
Google Scholar
[43] Li X J, Sun B, Bi X G, Yan H Z, Wang L N 2024 Mobile Networks Appl. 29 583
Google Scholar
[44] Chen J X, Zhu Z L, Zhang L B, Zhang Y S, Yang B Q 2017 Signal Process. 142 340
[45] Wang L N, Zhou N R, Sun B, Cao Y H, Mou J 2024 Chin. Phys. B 33 050501
Google Scholar
[46] Dehghani R, Kheiri H 2024 Multimedia Tools Appl. 83 17429
[47] Xin J, Hu H, Zheng J 2023 Nonlinear Dyn. 111 7859
Google Scholar
[48] Wang Q, Zhang X, Zhao X 2023 Nonlinear Dyn. 111 22679
Google Scholar
[49] Xiao W, Xuemei X, Kehui S, Zhaohui J, Mingjun L, Jun W 2023 Nonlinear Dyn. 111 14513
Google Scholar
[50] Zhang Z Y, Cao Y H, Zhou N R, Xu X Y, Mou J 2025 Appl. Intell. 55 61
Google Scholar
[51] Cao H L, Cao Y H, Qin L, Mou J 2025 Chaos, Solitons Fractals 191 115857
Google Scholar
计量
- 文章访问数: 677
- PDF下载量: 20
- 被引次数: 0








下载: