-
The equation of state (EoS) of nuclear matter is a description of the macroscopic properties of nuclear matter under different thermodynamic conditions or external fields, which is critical for understanding the theory of the strong interaction—quantum chromodynamics (QCD), the nature of nuclei, the dynamics of heavy-ion collisions (HICs), the internal structure of compact stars, the merger of binary neutron stars, and other physical phenomena. Heavy-ion collisions (HICs) are the only method in laboratories to create nuclear matter with extreme conditions such as high temperatures and high densities. HICs at different energy levels offer the possibility to quantitatively study the properties of nuclear matter under diverse thermodynamic conditions. This paper mainly presents the current research status of the EoS of nuclear matter and introduces the fundamental observables in HICs that are sensitive to the EoS, as well as the typical experiments and results used to explore the EoS. The progress in studying the EoS containing strangeness is also described and its possible research directions in the future are also discussed. The status and progress of worldwide heavy-ion accelerators and experimental spectrometers in the high-baryon density region are introduced, including China’s large-scale scientific facilities, i.e HIRFL-CSR and HIAF, as well as the CEE experiment. Additionally, the opportunities and challenges for experimental research on the EoS of nuclear matter in China are discussed.
-
Keywords:
- equation of state (EoS) /
- heavy-ion collisions /
- HIRFL-CSR /
- HIAF
[1] Wilson K G 1974 Phys. Rev. D 10 2445
Google Scholar
[2] Ishii N, Aoki S, Hatsuda T 2007 Phys. Rev. Lett. 99 022001
Google Scholar
[3] Inoue T 2021 Few-Body Syst. 62 106
Google Scholar
[4] Nemura H 2011 Few-Body Syst. 50 105
Google Scholar
[5] Pásztor A 2024 EPJ Web Conf. 296 01009
Google Scholar
[6] Weinberg S 1979 Physica A 96 327
Google Scholar
[7] Weinberg S 1991 Nucl. Phys. B 363 3
Google Scholar
[8] Drischler C, Holt J W, Wellenhofer C 2021 Ann. Rev. Nucl. Part. Sci. 71 403
Google Scholar
[9] Machleidt R, Sammarruca F 2016 Phys. Scr. 91 083007
Google Scholar
[10] Drischler C, Hebeler K, Schwenk A 2016 Phys. Rev. C 93 054314
Google Scholar
[11] Lee D 2009 Prog. Part. Nucl. Phys. 63 117
Google Scholar
[12] Elhatisari S, Bovermann L, Ma Y, et al. 2024 Nature 630 59
Google Scholar
[13] 马远卓, 吕炳楠, 李宁, 王倩 2024 原子核物理评论 41 172
Google Scholar
Ma Y Z, Lv B N, Li N, Wang Q 2024 Nucl. Phys. Rev. 41 172
Google Scholar
[14] Luo X, Shi S, Xu N, Zhang Y 2020 Particles 3 278
Google Scholar
[15] Borsanyi S, Fodor Z, Guenther J N, Kara R, Katz S D, Parotto P, Pasztor A, Ratti C, Szabo K K 2020 Phys. Rev. Lett. 125 052001
Google Scholar
[16] Andronic A, Braun-Munzinger P, Redlich K, Stachel J 2018 Nature 561 321
Google Scholar
[17] McLerran L, Pisarski R D 2007 Nucl. Phys. A 796 83
Google Scholar
[18] Weber F 2001 J. Phys. G 27 465
Google Scholar
[19] Demorest P, Pennucci T, Ransom S, Roberts M, Hessels J 2010 Nature 467 1081
Google Scholar
[20] Romani R W, Kandel D, Filippenko A V, Brink T G, Zheng W 2022 Astrophys. J. Lett. 934 L17
Google Scholar
[21] Miller M C, Lamb F K, Dittmann A J, Bogdanov S, Arzoumanian Z, Gendreau K C, Guillot S, Harding A K, Ho W C G, Lattimer J M, Ludlam R M, Mahmoodifar S, Morsink S M, Ray P S, Strohmayer T E, Wood K S, Enoto T, Foster R, Okajima T, Prigozhin G, Soong Y 2019 Astrophys. J. Lett. 887 L24
Google Scholar
[22] Miller M C, Lamb F K, Dittmann A J, Bogdanov S, Arzoumanian Z, Gendreau K C, Guillot S, Ho W C G, Lattimer J M, Loewenstein M, Morsink S M, Ray P S, Wolff M T, Baker C L, Cazeau T, Manthripragada S, Markwardt C B, Okajima T, Pollard S, Cognard I, Cromartie H T, Fonseca E, Guillemot L, Kerr M, Parthasarathy A, Pennucci T T, Ransom S, Stairs I 2021 Astrophys. J. Lett. 918 L28
Google Scholar
[23] LIGO Scientific and Virgo Collaboration, Abbott B P, et al. 2017 Phys. Rev. Lett. 119 161101
Google Scholar
[24] Li B A, Krastev P G, Wen D H, Zhang N B 2019 Eur. Phys. J. A 55 117
Google Scholar
[25] LIGO Scientific and Virgo Collaboration, Abbott B P, et al. 2018 Phys. Rev. Lett. 121 161101
Google Scholar
[26] Alvarez-Castillo D E, Blaschke D B, Grunfeld A G, Pagura V P 2019 Phys. Rev. D 99 063010
Google Scholar
[27] Li B A, Cai B J, Xie W J, Zhang N B 2021 Universe 7 182
Google Scholar
[28] HADES Collaboration, Adamczewski-Musch J, et al. 2019 Nature Phys. 15 1040
Google Scholar
[29] Fuchs C, Wolter H H 2006 Eur. Phys. J. A 30 5
Google Scholar
[30] Garg U, Colò G 2018 Prog. Part. Nucl. Phys. 101 55
Google Scholar
[31] Margueron J, Hoffmann Casali R, Gulminelli F 2018 Phys. Rev. C 97 025805
Google Scholar
[32] Li B A, Cai B J, Chen L W, Xie W J, Xu J, Zhang N B 2022 Nuovo Cimento C 45 54
[33] Bleicher M, Zabrodin E, Spieles C, Bass S, Ernst C, Soff S, Bravina L, Belkacem M, Weber H, Stöcker H, Greiner W 1999 J. Phys. G 25 1859
Google Scholar
[34] Sorensen A, Agarwal K, Brown K W, Chajęcki Z, Danielewicz P, Drischler C, Gandolfi S, Holt J W, Kaminski M, Ko C M, Kumar R, Li B A, Lynch W G, McIntosh A B, Newton W G, Pratt S, Savchuk O, Stefaniak M, Tews I, Tsang M B, Vogt R, Wolter H, Zbroszczyk H, Abbasi N, Aichelin J, Andronic A, Bass S A, Becattini F, Blaschke D, Bleicher M, Blume C, Bratkovskaya E, Brown B A, Brown D A, Camaiani A, Casini G, Chatziioannou K, Chbihi A, Colonna M, Cozma M D, Dexheimer V, Dong X, Dore T, Du L, Dueñas J A, Elfner H, Florkowski W, Fujimoto Y, Furnstahl R J, Gade A, Galatyuk T, Gale C, Geurts F, Gramegna F, Grozdanov S, Hagel K, Harris S P, Haxton W, Heinz U, Heller M P, Hen O, Hergert H, Herrmann N, Huang H Z, Huang X G, Ikeno N, Inghirami G, Jankowski J, Jia J, Jiménez J C, Kapusta J, Kardan B, Karpenko I, Keane D, Kharzeev D, Kugler A, Le Fèvre A, Lee D, Liu H, Lisa M A, Llope W J, Lombardo I, Lorenz M, Marchi T, McLerran L, Mosel U, Motornenko A, Müller B, Napolitani P, Natowitz J B, Nazarewicz W, Noronha J, Noronha-Hostler J, Odyniec G, Papakonstantinou P, Paulínyová Z, Piekarewicz J, Pisarski R D, Plumberg C, Prakash M, Randrup J, Ratti C, Rau P, Reddy S, Schmidt H R, Russotto P, Ryblewski R, Schäfer A, Schenke B, Sen S, Senger P, Seto R, Shen C, Sherrill B, Singh M, Skokov V, Spaliński M, Steinheimer J, Stephanov M, Stroth J, Sturm C, Sun K J, Tang A, Torrieri G, Trautmann W, Verde G, Vovchenko V, Wada R, Wang F, Wang G, Werner K, Xu N, Xu Z, Yee H U, Yennello S, Yin Y 2024 Prog. Part. Nucl. Phys. 134 104080
Google Scholar
[35] Voloshin S, Zhang Y 1996 Z. Phys. C 70 665
Google Scholar
[36] HADES Collaboration, Adamczewski-Musch J, et al. 2023 Eur. Phys. J. A 59 80
Google Scholar
[37] ALICE Collaboration, Aamodt K, et al. 2010 Phys. Rev. Lett. 105 252302
Google Scholar
[38] Herrmann N, Wessels J P, Wienold T 1999 Ann. Rev. Nucl. Part. Sci. 49 581
Google Scholar
[39] Danielewicz P, Lacey R, Lynch W G 2002 Science 298 1592
Google Scholar
[40] Herrmann N 2022 EPJ Web Conf. 259 09001
Google Scholar
[41] MPD Collaboration, Abgaryan V, et al. 2022 Eur. Phys. J. A 58 140
Google Scholar
[42] Guo D, He X, Li P, Qin Z, Hu C, Wang B, Zhou Y, Zheng K, Zhang Y, Wei X, Yang H, Hu D, Shao M, Duan L, Yu Y, Sun Z, Wang Y, Li Q, Xiao Z 2024 Eur. Phys. J. A 60 36
Google Scholar
[43] Brown B A, Gade A, Stroberg S R, Escher J, Fossez K, Giuliani P, Hoffman C R, Nazarewicz W, Seng C Y, Sorensen A, Vassh N, Bazin D, Brown K W, Capri M A, Crawford H, Danielewic P, Drischler C, Garcia Ruiz R F, Godbey K, Grzywacz R, Hlophe L, Holt J W, Iwasaki H, Lee D, Lenzi S M, Liddick S, Lubna R, Macchiavelli A O, Martinez Pinedo G, McCoy A, Mercenne A, Minamisono K, Monteagudo B, Navratil P, Ringle R, Sargsyan G, Schatz H, Spieker M C, Volya A, Zegers R G, Zelevinsky V, Zhang X 2025 J. Phys. G 52 050501
[44] SπRIT Collaboration Shane R, et al. 2015 Nucl. Instrum. Meth. A 784 513
Google Scholar
[45] Hong B, Ahn D, Ahn J, Bae J, Bae Y, Bok J, Choi S, Do S, Heo C, Huh J, Hwang J, Jang Y, Kang B, Kim A, Kim B, Kim C, Kim E J, Kim G, Kim G, Kim H, Kim J, Kim J, Kim S, Kim Y, Kim Y, Kim Y, Kim Y, Kweon M, Lee C, Lee H, Lee H, Lee H, Lee J, Lee J, Lee J W, Lee J, Lee S, Lee S, Lim S, Moon D, Nam S, Park J, Park J, Seo J, Yang H 2023 Nucl. Instrum. Methods Phys. Res., Sect. B 541 260
Google Scholar
[46] STAR Collaboration, Abdallah M S, et al. 2022 Phys. Lett. B 827 137003
Google Scholar
[47] Li B A 2002 Phys. Rev. Lett. 88 192701
Google Scholar
[48] Chen L W, Ko C M, Li B A 2003 Nucl. Phys. A 729 809
Google Scholar
[49] Yong G C, Li B A, Xiao Z G, Lin Z W 2022 Phys. Rev. C 106 024902
Google Scholar
[50] Hartnack C, Oeschler H, Leifels Y, Bratkovskaya E L, Aichelin J 2012 Phys. Rep. 510 119
Google Scholar
[51] Gustafsson H A, Gutbrod H H, Kolb B, Löhner H, Ludewigt B, Poskanzer A M, Renner T, Riedesel H, Ritter H G, Warwick A, Weik F, Wieman H 1984 Phys. Rev. Lett. 52 1590
Google Scholar
[52] EOS Colllaboration, Partlan M D, et al. 1995 Phys. Rev. Lett. 75 2100
Google Scholar
[53] E895 Collaboration, Liu H, et al. 2000 Phys. Rev. Lett. 84 5488
Google Scholar
[54] E877 Collaboration, Barrette J, et al. 1997 Phys. Rev. C 56 3254
Google Scholar
[55] FOPI Collaboration, Gobbi A, et al. 1993 Nucl. Instrum. Meth. A 324 156
Google Scholar
[56] FOPI Collaboration, Reisdorf W, et al. 2012 Nucl. Phys. A 876 1
Google Scholar
[57] Xu H, Tsang M, Liu T, Liu X, Lynch W, Tan W, Verde G, VanderMolen A, Wagnera A, Xib H, Gelbke C, Beaulieu L, Davin B, Larochellec Y, Lefort T, de Souza R, Yanez R, Viola V, Charity R, Sobotka L 2000 Phys. Rev. Lett. 85 716
Google Scholar
[58] Zhang Y, Tian J, Cheng W, Guan F, Huang Y, Li H, Lü L, Wang R, Wang Y, Wu Q, Yi H, Zhang Z, Zhao Y, Duan L, Hu R, Huang M, Jin G, Jin S, Lu C, Ma J, Ma P, Wang J, Yang H, Yang Y, Zhang J, Zhang Y, Zhang Y, Ma C, Qiao C, Tsang M B, Xiao Z 2017 Phys. Rev. C 95 041602
[59] Roca-Maza X, Centelles M, Vinas X, Warda M 2011 Phys. Rev. Lett. 106 252501
Google Scholar
[60] Zhang W 2023 Ph. D. Dissertation (New York: Stony Brook University
[61] Donnelly T W, Dubach J, Sick I 1989 Nucl. Phys. A 503 589
Google Scholar
[62] PREX Collaboration, Adhikari D, et al. 2021 Phys. Rev. Lett. 126 172502
Google Scholar
[63] Reed B T, Fattoyev F J, Horowitz C J, Piekarewicz J 2021 Phys. Rev. Lett. 126 172503
Google Scholar
[64] FOPI Collaboration Y Leifels, et al. 1993 Phys. Rev. Lett. 71 963
Google Scholar
[65] LAND Collaboration, Blaich T, et al. 1992 Nucl. Instrum. Meth. A 314 136
Google Scholar
[66] Russotto P, Wu P, Zoric M, Chartier M, Leifels Y, Lemmon R, Li Q, Lukasik J, Pagano A, Pawlowski P, Trautmann W 2011 Phys. Lett. B 697 471
Google Scholar
[67] Cozma M D, Leifels Y, Trautmann W, Li Q, Russotto P 2013 Phys. Rev. C 88 044912
Google Scholar
[68] Russotto P, Gannon S, Kupny S, Lasko P, Acosta L, Adamczyk M, Al-Ajlan A, Al-Garawi M, Al-Homaidhi S, Amorini F, Auditore L, Aumann T, Ayyad Y, Basrak Z, Benlliure J, Boisjoli M, Boretzky K, Brzychczyk J, Budzanowski A, Caesar C, Cardella G, Cammarata P, Chajecki Z, Chartier M, Chbihi A, Colonna M, Cozma M D, Czech B, De Filippo E, Di Toro M, Famiano M, Gašparić I, Grassi L, Guazzoni C, Guazzoni P, Heil M, Heilborn L, Introzzi R, Isobe T, Kezzar K, Kiš M, Krasznahorkay A, Kurz N, La Guidara E, Lanzalone G, Le Fèvre A, Leifels Y, Lemmon R C, Li Q F, Lombardo I, Lukasik J, Lynch W G, Marini P, Matthews Z, May L, Minniti T, Mostazo M, Pagano A, Pagano E V, Papa M, Pawlowski P, Pirrone S, Politi G, Porto F, Reviol W, Riccio F, Rizzo F, Rosato E, Rossi D, Santoro S, Sarantites D G, Simon H, Skwirczynska I, Sosin Z, Stuhl L, Trautmann W, Trifirò A, Trimarchi M, Tsang M B, Verde G, Veselsky M, Vigilante M, Wang Y, Wieloch A, Wigg P, Winkelbauer J, Wolter H H, Wu P, Yennello S, Zambon P, Zetta L, Zoric M 2016 Phys. Rev. C 94 034608
Google Scholar
[69] Gaitanos T, Di Toro M, Typel S, Baran V, Fuchs C, Greco V, Wolter H H 2004 Nucl. Phys. A 732 24
Google Scholar
[70] Li Q, Li Z, Soff S, Bleicher M, Stoecker H 2005 Phys. Rev. C 72 034613
Google Scholar
[71] FOPI Collaboration, Reisdorf W, et al. 2007 Nucl. Phys. A 781 459
Google Scholar
[72] Xiao Z, Li B A, Chen L W, Yong G C, Zhang M 2009 Phys. Rev. Lett. 102 062502
Google Scholar
[73] Feng Z Q, Jin G M 2010 Phys. Lett. B 683 140
Google Scholar
[74] Xie W J, Su J, Zhu L, Zhang F S 2013 Phys. Lett. B 718 1510
Google Scholar
[75] Xu J, Chen L W, Tsang M B, Wolter H, Zhang Y X, Aichelin J, Colonna M, Cozma D, Danielewicz P, Feng Z Q, Le Fevre A, Gaitanos T, Hartnack C, Kim K, Kim Y, Ko C M, Li B A, Li Q F, Li Z X, Napolitani P, Ono A, Papa M, Song T, Su J, Tian J L, Wang N, Wang Y J, Weil J, Xie W J, Zhang F S, Zhang G Q 2016 Phys. Rev. C 93 044609
Google Scholar
[76] Xu J, Wolter H, Colonna M, Cozma M D, Danielewicz P, Ko C M, Ono A, Tsang M B, Zhang Y X, Cheng H G, Ikeno N, Kumar R, Su J, Zheng H, Zhang Z, Chen L W, Feng Z Q, Hartnack C, Le Fèvre A, Li B A, Nara Y, Ohnishi A, Zhang F S 2024 Phys. Rev. C 109 044609
Google Scholar
[77] E-0895 Collaboration, Klay J L, et al. 2003 Phys. Rev. C 68 054905
Google Scholar
[78] Wolf A, Appenheimer M, Averbeck R, Charbonnier Y, Diaz J, Doppenschmidt A, Hejny V, Hlavac S, Holzmann R, Kugler A, Lohner H, Marin A, Metag V, Novotny R, Ostendorf R, Pleskac R, Schubert A, Schutz Y, Simon R, Stratmann R, Stroher H, Tlusty P, Vogt P, Wagner V, Weiss J, Wilschut H, Wissmann F, Wolf M 1998 Phys. Rev. Lett. 80 5281
Google Scholar
[79] Wagner A, Muntz C, Oeschler H, Sturm C T, Barth R, Cieslak M, Debowski M, Grosse E, Koczon P, Mang M, Miskowiec D, Schicker R, Schwab E, Senger P, Beckerle P, Brill D, Shin Y, Strobele H, Walus W, Kohlmeyer B, Puhlhofer F, Speer J, Volkel K 1998 Phys. Lett. B 420 20
Google Scholar
[80] HADES Collaboration, Agakishiev G, et al. 2009 Eur. Phys. J. A 41 243
Google Scholar
[81] HADES Collaboration, Adamczewski-Musch J, et al. 2020 Eur. Phys. J. A 56 259
Google Scholar
[82] Kubo T, Ishihara M, Inabe N, Kumagai H, Tanihata I, Yoshida K, Nakamura T, Okuno H, Shimoura S, Asahi K 1992 Nucl. Instrum. Methods Phys. Res., Sect. B 70 309
[83] Motobayashi T 2010 Nucl. Phys. A 834 707c
Google Scholar
[84] Kurata-Nishimura M 2017 Proceedings of Science INPC2016 p218
[85] Barney J, Estee J, Lynch W, Isobe T, Jhang G, Kurata-Nishimura M, McIntosh A, Murakami T, Shane R, Tangwancharoen S, Tsang M, Cerizza G, Kaneko M, Lee J, Tsang C, Wang R, Anderson C, Baba H, Chajecki Z, Famiano M, Hodges-Showalter R, Hong B, Kobayashi T, Lasko P, Łukasik J, Nakatsuka N, Olsen R, Otsu H, Pawłowski P, Pelczar K, Powell W, Sakurai H, Santamaria C, Setiawan H, Taketani A, Winkelbauer J, Xiao Z, Yennello S, Yurkon J, Zhang Y 2021 Rev. Sci. Instrum. 92 063302
Google Scholar
[86] Lasko P, Adamczyk M, Brzychczyk J, Hirnyk P, Łukasik J, Pawłowski P, Pelczar K, Snoch A, Sochocka A, Sosin Z, Barney J, Cerizza G, Estee J, Isobe T, Jhang G, Kaneko M, Kurata-Nishimura M, Lynch W, Murakami T, Santamaria C, Tsang M, Zhang Y 2017 Nucl. Instrum. Meth. A 856 92
Google Scholar
[87] Barney J E 2019 Ph. D. Dissertation (East Lansing: Michigan State University
[88] SπRIT & TEMP Collaboration, Jhang G, et al. 2021 Phys. Lett. B 813 136016
Google Scholar
[89] Yong G C 2021 Phys. Rev. C 104 014613
Google Scholar
[90] Glendenning N K 1982 Phys. Lett. B 114 392
Google Scholar
[91] Millener D J, Dover C B, Gal A 1988 Phys. Rev. C 38 2700
Google Scholar
[92] Gal A, Hungerford E V, Millener D J 2016 Rev. Mod. Phys. 88 035004
Google Scholar
[93] Schaffner J, Mishustin I N 1996 Phys. Rev. C 53 1416
Google Scholar
[94] Schaffner-Bielich J 2010 Nucl. Phys. A 835 279
Google Scholar
[95] Yong G C 2023 Phys. Rev. D 108 L091507
Google Scholar
[96] Lonardoni D, Lovato A, Gandolfi S, Pederiva F 2015 Phys. Rev. Lett. 114 092301
Google Scholar
[97] Antoniadis J, Freire P C C, Wex N, Tauris T M, Lynch R S, van Kerkwijk M H, Kramer M, Bassa C, Dhillon V S, Driebe T, Hessels J W T, Kaspi V M, Kondratiev V I, Langer N, Marsh T R, McLaughlin M A, Pennucci T T, Ransom S M, Stairs I H, van Leeuwen J, Verbiest J P W, Whelan D G 2013 Science 340 6131
[98] Bombaci I 2017 JPS Conf. Proc. 17 101002
[99] Gerstung D, Kaiser N, Weise W 2020 Eur. Phys. J. A 56 175
Google Scholar
[100] Feng Z Q 2021 Eur. Phys. J. A 57 18
Google Scholar
[101] Ji Y 2024 EPJ Web Conf. 296 02004
Google Scholar
[102] STAR Collaboration, Aboona B, et al. 2023 Phys. Rev. Lett. 130 212301
Google Scholar
[103] Oliinychenko D, Shen C, Koch V 2021 Phys. Rev. C 103 034913
Google Scholar
[104] Neidig T, Gallmeister K, Greiner C, Bleicher M, Vovchenko V 2022 Phys. Lett. B 827 136891
Google Scholar
[105] Sun K J, Wang R, Ko C M, Ma Y G, Shen C 2024 Nat. Commun. 15 1074
Google Scholar
[106] Coci G, Gläßel S, Kireyeu V, Aichelin J, Blume C, Bratkovskaya E, Kolesnikov V, Voronyuk V 2023 Phys. Rev. C 108 014902
Google Scholar
[107] Bruce R, Alemany Fernandez R, Argyropoulos T, Bartosik H, Bracco C, Cai R, D’ Andrea M, Frasca A, Hermes P, Jowett J, Mirarchi D, Redaelli S, Solfaroli M, Triantafyllou N, Wenninger J 2023 14th International Particle Accelerator Conference (IPAC 2023) Venice, Italy, May 7–12, 2023 pMOPL021
[108] Galatyuk T 2019 Nucl. Phys. A 982 163
Google Scholar
[109] Fu W J, Pawlowski J M, Rennecke F 2020 Phys. Rev. D 101 054032
Google Scholar
[110] Gunkel P J, Fischer C S 2021 Phys. Rev. D 104 054022
Google Scholar
[111] Hippert M, Grefa J, Manning T A, Noronha J, Noronha-Hostler J, Portillo Vazquez I, Ratti C, Rougemont R, Trujillo M 2024 Phys. Rev. D 110 094006
[112] Basar G 2024 Phys. Rev. C 110 015203
Google Scholar
[113] Odyniec G 2019 Proceedings of Science CORFU2018 p151
[114] Spiller P, Balss R, Bartolome P, Blaurock J, Blell U, Boine-Frankenheim O, Bozyk L, Chorowski M, Eisel T, Frey M, Giacomini T, Kaether F, Khodzhibagiyan H, Klammes S, Klingbeil H, Koenig H, Kornilov V, Kowina P, Lens D, Meier J, Ondreka D, Petzenhauser I, Plyusnin V, Pongrac I, Pyka N, Raginel V, Rottlaender P, Roux C, Schmidt J, Schwickert M, Sugita K, Szwangruber A, Szwangruber P, Trockel R, Waldt A, Welker H, Wilfert S, Winkler T, Winters D 2020 JINST 15 T12013
Google Scholar
[115] Friman B, Hohne C, Knoll J, Leupold S , Randrup J, Rapp R, Senger P 2011 The CBM Physics Book: Compressed Baryonic Matter in Laboratory Experiments (Berlin: Springer
[116] Kapishin M 2019 Nucl. Phys. A 982 967
Google Scholar
[117] Sissakian A N, Kekelidze V D, Sorin A S 2009 Nucl. Phys. A 827 630C
Google Scholar
[118] Ahn J K, Bak S I, Blumenfeld Y, et al. 2013 Few Body Syst. 54 197
Google Scholar
[119] 夏佳文, 詹文龙, 魏宝文, 原有进, 赵红卫, 杨建成, 石健, 盛丽娜, 杨维青, 冒立军 2016 科学通报 61 467
Xia J W, Zhan W L, Wei B W, Yuan Y J, Zhao H W, Yant J C, Shi J, Sheng L N, Yang W Q, Mao L J 2016 Science Bulletin 61 467
[120] Yang J, Sun L, Yuan Y 2023 JACoW CYCLOTRONS2022 MOAI01
[121] Zhou X, Yang J 2022 AAPPS Bull. 32 35
Google Scholar
[122] Saito T R, Dou W, Drozd V, et al. 2021 Nat. Rev. Phys. 3 803
Google Scholar
[123] Mroczek D, Yao N, Zine K, Noronha-Hostler J, Dexheimer V, Haber A, Most E R 2024 arXiv:2404.01658 [astro-ph.HE]
[124] Huang M, Zhuang P 2023 Symmetry 15 541
Google Scholar
[125] Liang Z T, Wang X N 2005 Phys. Rev. Lett. 94 102301 [Erratum: Phys. Rev. Lett. 96 039901 (2006)]
Liang Z T, Wang X N 2005 Phys. Rev. Lett. 94 102301 [Erratum: Phys. Rev. Lett. 96 039901 (2006)]
[126] STAR Collaboration, Adamczyk L, et al. 2017 Nature 548 62
Google Scholar
[127] STAR Collaboration, Abdallah M S, et al. 2023 Nature 614 244
Google Scholar
[128] 梁作堂, 王群, 马余刚 2023 物理学报 72 070101
Google Scholar
Liang Z T, Wang Q, Ma Y G 2023 Acta Phys. Sin. 72 070101
Google Scholar
[129] 尹伊 2023 物理学报 72 111201
Google Scholar
Yi Y 2023 Acta Phys. Sin. 72 111201
Google Scholar
[130] 浦实, 黄旭光 2023 物理学报 72 071202
Google Scholar
Pu S, Huang X G 2023 Acta Phys. Sin. 72 071202
Google Scholar
[131] 江泽方, 吴祥宇, 余华清, 曹杉杉, 张本威 2023 物理学报 72 072504
Google Scholar
Jiang F Z, Wu X Y, Yu Q H, Cao S S, Zhang B W 2023 Acta Phys. Sin. 72 072504
Google Scholar
-
图 3 地面重离子碰撞实验和天文观测提取到$ E_\text{sym}(\rho_0) $(a)和$ L_\text{sym}(\rho_0) $(b)的结果. 图(a)和图(b)均取自文献[24]
Figure 3. $ E_\text{sym}(\rho_0) $ (a) and $ L_\text{sym}(\rho_0) $ (b) extracted from terrestrial heavy-ion experiments and astrophysical observations respectively. Panel (a) and panel (b) both are taken from Ref. [24].
图 10 KaoS实验测量$ {\mathrm{K}}^+ $介子在Au+Au和Cu+Cu碰撞中产额比随碰撞能量的变化, 来自输运模型IQMD和RQMD的硬EoS和软EoS分别用短线和点线表示. 图片取自文献[50]
Figure 10. Yield ratio of $ {\mathrm{K}}^+ $ in Au+Au and Cu+Cu collisions as a function of collision energy measured by the KaoS experiment. The hard and soft EoS from the transport models IQMD and RQMD are represented by dashed and dotted lines, respectively. Figure taken from Ref. [50].
图 11 FOPI实验测量0.4, 1.0和1.5 GeV/u的Au+Au碰撞中质子和氘核的椭圆流随快度的变化, 基于IQMD模型硬EoS和软EoS理论计算结果分别用虚线和实线表示. 图片取自文献[56]
Figure 11. Elliptic flow of proton and deuteron as a function of rapidity in Au+Au collisions at 0.4, 1.0, and 1.5 GeV/u mesured by the FOPI experiment, red dashed line and black line represent the IQMD predictions with hard EoS and soft EoS respectively. Figure taken from Ref. [56].
图 13 (a) 30 MeV/u的Ar+Au反应中, 轻带电粒子的约化中子丰度随实验室角度的变化关系, 曲线为理论模型计算结果; (b)轻核约化中子丰度小角度区的下降斜率(红色区域)与理论计算(空心圆圈)的比较. 图片取自文献[58]
Figure 13. (a) In 30 meV/u Ar+Au reactions, $ Y_{{\mathrm{n, ex}}}/Y_{{\mathrm{p, CL}}} $ as a function of polar angle, curves are theoretical calculations; (b) comparison the slope of $ Y_{{\mathrm{n, ex}}}/Y_{{\mathrm{p, CL}}} $ in $ \theta_{{\mathrm{lab}}}<100^{\circ} $ from experiment (red band) and theoretical predictions (open circles). Figure taken from Ref. [58]
图 15 不同的实验和理论给出的对称能参数$ L_\text{sym}-J_\text{sym} $的限制, 黑色空心圈为PREX-II测量结果, 红色实线和虚线表示其他实验中提取的$ L_\text{sym} = (58.9\pm16 )$ MeV的中心值和误差. 图片更新自文献[63]
Figure 15. Constraints on symmetry energy parameters $ L_\text{sym}-J_\text{sym} $, open circle presents the results of PREX-II experiment, solid and dashed horizontal lines represent the central value and error of $ L_\text{sym} = (58.9\pm16 )$ MeV, respectively. Figure was taken and updated from Ref. [63].
图 18 400 MeV/u的Au+Au半中心碰撞(b < 7.5 fm)中ASY-EOS实验测量到的中子和带电粒子椭圆流的比值$ v_2^{\mathrm{n}}/v_2^{{\mathrm{ch}}} $和横动量的关联(黑色方框), 三角和圆分别代表UrQMD在硬($ \gamma = 1.5 $)和软($ \gamma = 0.5 $)对称能时计算结果, 实线是对理论计算结果做线性延拓, 得到与实验数据符合得最好时$ \gamma = 0.75\pm0.1 $. 图片取自文献[68]
Figure 18. Elliptic flow ratio of neutron and charged particle as a function of transverse momentum, in semi-central Au+Au collisions (b < 7.5 fm) at 400 MeV/u measured by ASY-EoS experiment. Triangles and squares are UrQMD predictions with hard ($ \gamma = 1.5 $) and soft ($ \gamma = 0.5 $) symmetry energy, solid line is the linear interpolation of predictions which can describe the data best, correspond to $ \gamma = 0.75\pm0.1 $. Figure taken from Ref. [68]
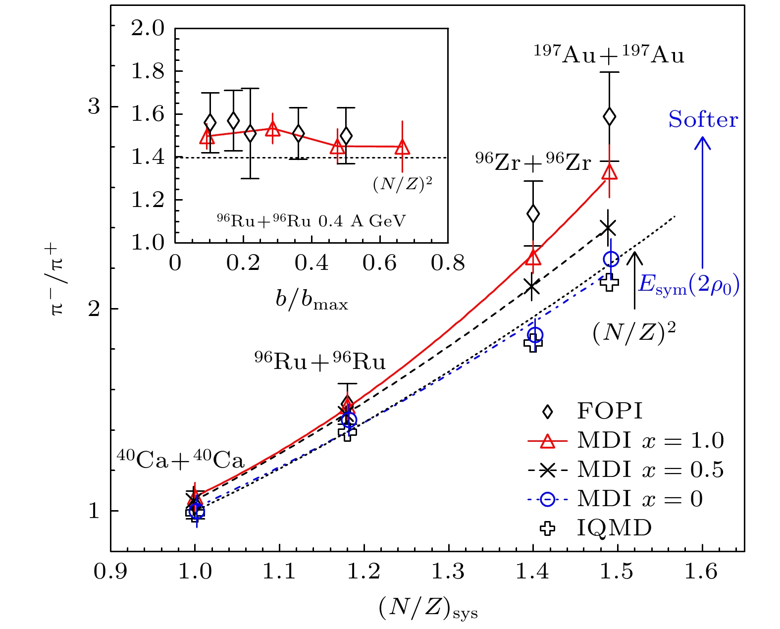
图 19 FOPI实验测量400 MeV/u的核核中心碰撞中$ {\pi}^-/{\pi}^+ $产额比对碰撞系统N/Z的依赖(空心菱形)和IBUU04模型在x = 1.0 (软EoS)、0.5 (中等EoS)和0 (硬EoS)模拟结果比较, 图片取自文献[72]
Figure 19. $ {\pi}^-/{\pi}^+ $ yield ratio measured the FOPI experiment in central nucleus-nucleus collisions at 400 MeV/u as a function of N/Z ratio of the colliding systems (open diamonds), and compared simulation results from the IBUU04 model for x = 1.0 (soft EoS), 0.5 (medium EoS), and 0 (hard EoS). Figure taken from Ref. [72]
图 20 HADES实验(方框)、FOPI实验(圆点)、Stream chamber(三角)和E895(五角星)测量到的约化π多重数与$ \langle {A}_\text{part}\rangle $的关系. 图片取自文献[81]
Figure 20. π multiplicity measured by HADES (squares), FOPI (filled circles), Stream chamber (triangles), and E895 experiment (star) as a function of $ \langle {A}_\text{part} \rangle $. Figure taken from Ref. [81]
图 23 (a) SπRIT实验测量270 MeV/u时, 不同Sn+Sn碰撞系统$ {\pi}^-/{\pi}^+ $产额比; (b)系统132Sn+124Sn和108Sn+112Sn系统双$ \pi^-/\pi^+ $产额比; 7个输运模型计算结果用不同颜色标记. 图片取自文献[88]
Figure 23. (a) $ \pi^-/\pi^+ $ yield ratio measured by the SπRIT experiment in Sn+Sn collisions with different N/Z ratio; (b) double ${\pi}^-/{\pi}^+ $ yield ratio in 132Sn+124Sn and 108Sn+112Sn, results from 7 transport models are marked by bands with different color. Figure taken from Ref. [88]
图 24 中子星质量(M)和半径(R)的关系, 其中绿色区域为核物质, 红色区域代表在核物质基础上再加入$ {\Lambda}{\mathrm{N}} $相互作用后中子星的M-R关系, 其中考虑了两种都可以描述超核数据的YNN相互作用. 图片取自文献[96]
Figure 24. The relationship between the mass (M) and radius (R) of a neutron star, where the green region represents pure nuclear matter, and the red region shows the M-R relationship of neutron stars after incorporating ΛN interactions on top of the nuclear matter, considering two types of YNN interactions that can both describe hyper-nuclear data. Figure taken from Ref. [96]
图 28 从能量为$ \sqrt{s_{{\mathrm{NN}}}} = 2—5020 $ GeV重离子碰撞数据中提取到的化学冻出温度(T)和重子化学势($ \mu_{\mathrm{B}} $). 图片取自文献[108]
Figure 28. Chemical freeze-out temperature (T) and baryon chemical potential ($ \mu_{\mathrm{B}} $) extracted from HICs with colliding energy $ \sqrt{s_{{\mathrm{NN}}}} = 2-5020 $ GeV. Figure taken from Ref. [108]
表 1 世界上重离子加速器与其典型实验, 基于文献[108]数据扩充
Table 1. Heavy-ion accelerator in the world and its typical Experiments, expanded based on data listed in Ref. [108]
Facility $ \sqrt{s_{{\mathrm{NN}}}} $/GeV Period Experiments Bevalac 2.0—2.7 1975-1993 EOS/et al. SIS18 2.4—2.7 1990—now FOPI/Hades/et al. FRIB 1.9—2.1 >2025 AT-TPC$ ^* $ RIBF 1.9—2.1 1986—now SπRIT RAON 1.9—2.0 >2030 LAMPS HIRFL 2.0—2.4 2008—now CEE/ETE Nuclotron 2.0—3.5 2000—now BM@N JPARC-HI 2.0—6.2 >2030 DHS SIS100 2.7—5.0 >2029 CBM/Hades NICA 2.7—11.0 >2025 BM@N/MPD RHIC 3.0—200 2000—2025 STAR SPS 4.5—17.3 1981—now NA49/NA61/SHINE AGS 2.7—4.8 2022—now E895/et al. HIAF 2.2—3.5 >2027 CEE+/CHNS LHC 2760 2018—now ALICE LHC 72 >2027 LHCb/ALICE-FT -
[1] Wilson K G 1974 Phys. Rev. D 10 2445
Google Scholar
[2] Ishii N, Aoki S, Hatsuda T 2007 Phys. Rev. Lett. 99 022001
Google Scholar
[3] Inoue T 2021 Few-Body Syst. 62 106
Google Scholar
[4] Nemura H 2011 Few-Body Syst. 50 105
Google Scholar
[5] Pásztor A 2024 EPJ Web Conf. 296 01009
Google Scholar
[6] Weinberg S 1979 Physica A 96 327
Google Scholar
[7] Weinberg S 1991 Nucl. Phys. B 363 3
Google Scholar
[8] Drischler C, Holt J W, Wellenhofer C 2021 Ann. Rev. Nucl. Part. Sci. 71 403
Google Scholar
[9] Machleidt R, Sammarruca F 2016 Phys. Scr. 91 083007
Google Scholar
[10] Drischler C, Hebeler K, Schwenk A 2016 Phys. Rev. C 93 054314
Google Scholar
[11] Lee D 2009 Prog. Part. Nucl. Phys. 63 117
Google Scholar
[12] Elhatisari S, Bovermann L, Ma Y, et al. 2024 Nature 630 59
Google Scholar
[13] 马远卓, 吕炳楠, 李宁, 王倩 2024 原子核物理评论 41 172
Google Scholar
Ma Y Z, Lv B N, Li N, Wang Q 2024 Nucl. Phys. Rev. 41 172
Google Scholar
[14] Luo X, Shi S, Xu N, Zhang Y 2020 Particles 3 278
Google Scholar
[15] Borsanyi S, Fodor Z, Guenther J N, Kara R, Katz S D, Parotto P, Pasztor A, Ratti C, Szabo K K 2020 Phys. Rev. Lett. 125 052001
Google Scholar
[16] Andronic A, Braun-Munzinger P, Redlich K, Stachel J 2018 Nature 561 321
Google Scholar
[17] McLerran L, Pisarski R D 2007 Nucl. Phys. A 796 83
Google Scholar
[18] Weber F 2001 J. Phys. G 27 465
Google Scholar
[19] Demorest P, Pennucci T, Ransom S, Roberts M, Hessels J 2010 Nature 467 1081
Google Scholar
[20] Romani R W, Kandel D, Filippenko A V, Brink T G, Zheng W 2022 Astrophys. J. Lett. 934 L17
Google Scholar
[21] Miller M C, Lamb F K, Dittmann A J, Bogdanov S, Arzoumanian Z, Gendreau K C, Guillot S, Harding A K, Ho W C G, Lattimer J M, Ludlam R M, Mahmoodifar S, Morsink S M, Ray P S, Strohmayer T E, Wood K S, Enoto T, Foster R, Okajima T, Prigozhin G, Soong Y 2019 Astrophys. J. Lett. 887 L24
Google Scholar
[22] Miller M C, Lamb F K, Dittmann A J, Bogdanov S, Arzoumanian Z, Gendreau K C, Guillot S, Ho W C G, Lattimer J M, Loewenstein M, Morsink S M, Ray P S, Wolff M T, Baker C L, Cazeau T, Manthripragada S, Markwardt C B, Okajima T, Pollard S, Cognard I, Cromartie H T, Fonseca E, Guillemot L, Kerr M, Parthasarathy A, Pennucci T T, Ransom S, Stairs I 2021 Astrophys. J. Lett. 918 L28
Google Scholar
[23] LIGO Scientific and Virgo Collaboration, Abbott B P, et al. 2017 Phys. Rev. Lett. 119 161101
Google Scholar
[24] Li B A, Krastev P G, Wen D H, Zhang N B 2019 Eur. Phys. J. A 55 117
Google Scholar
[25] LIGO Scientific and Virgo Collaboration, Abbott B P, et al. 2018 Phys. Rev. Lett. 121 161101
Google Scholar
[26] Alvarez-Castillo D E, Blaschke D B, Grunfeld A G, Pagura V P 2019 Phys. Rev. D 99 063010
Google Scholar
[27] Li B A, Cai B J, Xie W J, Zhang N B 2021 Universe 7 182
Google Scholar
[28] HADES Collaboration, Adamczewski-Musch J, et al. 2019 Nature Phys. 15 1040
Google Scholar
[29] Fuchs C, Wolter H H 2006 Eur. Phys. J. A 30 5
Google Scholar
[30] Garg U, Colò G 2018 Prog. Part. Nucl. Phys. 101 55
Google Scholar
[31] Margueron J, Hoffmann Casali R, Gulminelli F 2018 Phys. Rev. C 97 025805
Google Scholar
[32] Li B A, Cai B J, Chen L W, Xie W J, Xu J, Zhang N B 2022 Nuovo Cimento C 45 54
[33] Bleicher M, Zabrodin E, Spieles C, Bass S, Ernst C, Soff S, Bravina L, Belkacem M, Weber H, Stöcker H, Greiner W 1999 J. Phys. G 25 1859
Google Scholar
[34] Sorensen A, Agarwal K, Brown K W, Chajęcki Z, Danielewicz P, Drischler C, Gandolfi S, Holt J W, Kaminski M, Ko C M, Kumar R, Li B A, Lynch W G, McIntosh A B, Newton W G, Pratt S, Savchuk O, Stefaniak M, Tews I, Tsang M B, Vogt R, Wolter H, Zbroszczyk H, Abbasi N, Aichelin J, Andronic A, Bass S A, Becattini F, Blaschke D, Bleicher M, Blume C, Bratkovskaya E, Brown B A, Brown D A, Camaiani A, Casini G, Chatziioannou K, Chbihi A, Colonna M, Cozma M D, Dexheimer V, Dong X, Dore T, Du L, Dueñas J A, Elfner H, Florkowski W, Fujimoto Y, Furnstahl R J, Gade A, Galatyuk T, Gale C, Geurts F, Gramegna F, Grozdanov S, Hagel K, Harris S P, Haxton W, Heinz U, Heller M P, Hen O, Hergert H, Herrmann N, Huang H Z, Huang X G, Ikeno N, Inghirami G, Jankowski J, Jia J, Jiménez J C, Kapusta J, Kardan B, Karpenko I, Keane D, Kharzeev D, Kugler A, Le Fèvre A, Lee D, Liu H, Lisa M A, Llope W J, Lombardo I, Lorenz M, Marchi T, McLerran L, Mosel U, Motornenko A, Müller B, Napolitani P, Natowitz J B, Nazarewicz W, Noronha J, Noronha-Hostler J, Odyniec G, Papakonstantinou P, Paulínyová Z, Piekarewicz J, Pisarski R D, Plumberg C, Prakash M, Randrup J, Ratti C, Rau P, Reddy S, Schmidt H R, Russotto P, Ryblewski R, Schäfer A, Schenke B, Sen S, Senger P, Seto R, Shen C, Sherrill B, Singh M, Skokov V, Spaliński M, Steinheimer J, Stephanov M, Stroth J, Sturm C, Sun K J, Tang A, Torrieri G, Trautmann W, Verde G, Vovchenko V, Wada R, Wang F, Wang G, Werner K, Xu N, Xu Z, Yee H U, Yennello S, Yin Y 2024 Prog. Part. Nucl. Phys. 134 104080
Google Scholar
[35] Voloshin S, Zhang Y 1996 Z. Phys. C 70 665
Google Scholar
[36] HADES Collaboration, Adamczewski-Musch J, et al. 2023 Eur. Phys. J. A 59 80
Google Scholar
[37] ALICE Collaboration, Aamodt K, et al. 2010 Phys. Rev. Lett. 105 252302
Google Scholar
[38] Herrmann N, Wessels J P, Wienold T 1999 Ann. Rev. Nucl. Part. Sci. 49 581
Google Scholar
[39] Danielewicz P, Lacey R, Lynch W G 2002 Science 298 1592
Google Scholar
[40] Herrmann N 2022 EPJ Web Conf. 259 09001
Google Scholar
[41] MPD Collaboration, Abgaryan V, et al. 2022 Eur. Phys. J. A 58 140
Google Scholar
[42] Guo D, He X, Li P, Qin Z, Hu C, Wang B, Zhou Y, Zheng K, Zhang Y, Wei X, Yang H, Hu D, Shao M, Duan L, Yu Y, Sun Z, Wang Y, Li Q, Xiao Z 2024 Eur. Phys. J. A 60 36
Google Scholar
[43] Brown B A, Gade A, Stroberg S R, Escher J, Fossez K, Giuliani P, Hoffman C R, Nazarewicz W, Seng C Y, Sorensen A, Vassh N, Bazin D, Brown K W, Capri M A, Crawford H, Danielewic P, Drischler C, Garcia Ruiz R F, Godbey K, Grzywacz R, Hlophe L, Holt J W, Iwasaki H, Lee D, Lenzi S M, Liddick S, Lubna R, Macchiavelli A O, Martinez Pinedo G, McCoy A, Mercenne A, Minamisono K, Monteagudo B, Navratil P, Ringle R, Sargsyan G, Schatz H, Spieker M C, Volya A, Zegers R G, Zelevinsky V, Zhang X 2025 J. Phys. G 52 050501
[44] SπRIT Collaboration Shane R, et al. 2015 Nucl. Instrum. Meth. A 784 513
Google Scholar
[45] Hong B, Ahn D, Ahn J, Bae J, Bae Y, Bok J, Choi S, Do S, Heo C, Huh J, Hwang J, Jang Y, Kang B, Kim A, Kim B, Kim C, Kim E J, Kim G, Kim G, Kim H, Kim J, Kim J, Kim S, Kim Y, Kim Y, Kim Y, Kim Y, Kweon M, Lee C, Lee H, Lee H, Lee H, Lee J, Lee J, Lee J W, Lee J, Lee S, Lee S, Lim S, Moon D, Nam S, Park J, Park J, Seo J, Yang H 2023 Nucl. Instrum. Methods Phys. Res., Sect. B 541 260
Google Scholar
[46] STAR Collaboration, Abdallah M S, et al. 2022 Phys. Lett. B 827 137003
Google Scholar
[47] Li B A 2002 Phys. Rev. Lett. 88 192701
Google Scholar
[48] Chen L W, Ko C M, Li B A 2003 Nucl. Phys. A 729 809
Google Scholar
[49] Yong G C, Li B A, Xiao Z G, Lin Z W 2022 Phys. Rev. C 106 024902
Google Scholar
[50] Hartnack C, Oeschler H, Leifels Y, Bratkovskaya E L, Aichelin J 2012 Phys. Rep. 510 119
Google Scholar
[51] Gustafsson H A, Gutbrod H H, Kolb B, Löhner H, Ludewigt B, Poskanzer A M, Renner T, Riedesel H, Ritter H G, Warwick A, Weik F, Wieman H 1984 Phys. Rev. Lett. 52 1590
Google Scholar
[52] EOS Colllaboration, Partlan M D, et al. 1995 Phys. Rev. Lett. 75 2100
Google Scholar
[53] E895 Collaboration, Liu H, et al. 2000 Phys. Rev. Lett. 84 5488
Google Scholar
[54] E877 Collaboration, Barrette J, et al. 1997 Phys. Rev. C 56 3254
Google Scholar
[55] FOPI Collaboration, Gobbi A, et al. 1993 Nucl. Instrum. Meth. A 324 156
Google Scholar
[56] FOPI Collaboration, Reisdorf W, et al. 2012 Nucl. Phys. A 876 1
Google Scholar
[57] Xu H, Tsang M, Liu T, Liu X, Lynch W, Tan W, Verde G, VanderMolen A, Wagnera A, Xib H, Gelbke C, Beaulieu L, Davin B, Larochellec Y, Lefort T, de Souza R, Yanez R, Viola V, Charity R, Sobotka L 2000 Phys. Rev. Lett. 85 716
Google Scholar
[58] Zhang Y, Tian J, Cheng W, Guan F, Huang Y, Li H, Lü L, Wang R, Wang Y, Wu Q, Yi H, Zhang Z, Zhao Y, Duan L, Hu R, Huang M, Jin G, Jin S, Lu C, Ma J, Ma P, Wang J, Yang H, Yang Y, Zhang J, Zhang Y, Zhang Y, Ma C, Qiao C, Tsang M B, Xiao Z 2017 Phys. Rev. C 95 041602
[59] Roca-Maza X, Centelles M, Vinas X, Warda M 2011 Phys. Rev. Lett. 106 252501
Google Scholar
[60] Zhang W 2023 Ph. D. Dissertation (New York: Stony Brook University
[61] Donnelly T W, Dubach J, Sick I 1989 Nucl. Phys. A 503 589
Google Scholar
[62] PREX Collaboration, Adhikari D, et al. 2021 Phys. Rev. Lett. 126 172502
Google Scholar
[63] Reed B T, Fattoyev F J, Horowitz C J, Piekarewicz J 2021 Phys. Rev. Lett. 126 172503
Google Scholar
[64] FOPI Collaboration Y Leifels, et al. 1993 Phys. Rev. Lett. 71 963
Google Scholar
[65] LAND Collaboration, Blaich T, et al. 1992 Nucl. Instrum. Meth. A 314 136
Google Scholar
[66] Russotto P, Wu P, Zoric M, Chartier M, Leifels Y, Lemmon R, Li Q, Lukasik J, Pagano A, Pawlowski P, Trautmann W 2011 Phys. Lett. B 697 471
Google Scholar
[67] Cozma M D, Leifels Y, Trautmann W, Li Q, Russotto P 2013 Phys. Rev. C 88 044912
Google Scholar
[68] Russotto P, Gannon S, Kupny S, Lasko P, Acosta L, Adamczyk M, Al-Ajlan A, Al-Garawi M, Al-Homaidhi S, Amorini F, Auditore L, Aumann T, Ayyad Y, Basrak Z, Benlliure J, Boisjoli M, Boretzky K, Brzychczyk J, Budzanowski A, Caesar C, Cardella G, Cammarata P, Chajecki Z, Chartier M, Chbihi A, Colonna M, Cozma M D, Czech B, De Filippo E, Di Toro M, Famiano M, Gašparić I, Grassi L, Guazzoni C, Guazzoni P, Heil M, Heilborn L, Introzzi R, Isobe T, Kezzar K, Kiš M, Krasznahorkay A, Kurz N, La Guidara E, Lanzalone G, Le Fèvre A, Leifels Y, Lemmon R C, Li Q F, Lombardo I, Lukasik J, Lynch W G, Marini P, Matthews Z, May L, Minniti T, Mostazo M, Pagano A, Pagano E V, Papa M, Pawlowski P, Pirrone S, Politi G, Porto F, Reviol W, Riccio F, Rizzo F, Rosato E, Rossi D, Santoro S, Sarantites D G, Simon H, Skwirczynska I, Sosin Z, Stuhl L, Trautmann W, Trifirò A, Trimarchi M, Tsang M B, Verde G, Veselsky M, Vigilante M, Wang Y, Wieloch A, Wigg P, Winkelbauer J, Wolter H H, Wu P, Yennello S, Zambon P, Zetta L, Zoric M 2016 Phys. Rev. C 94 034608
Google Scholar
[69] Gaitanos T, Di Toro M, Typel S, Baran V, Fuchs C, Greco V, Wolter H H 2004 Nucl. Phys. A 732 24
Google Scholar
[70] Li Q, Li Z, Soff S, Bleicher M, Stoecker H 2005 Phys. Rev. C 72 034613
Google Scholar
[71] FOPI Collaboration, Reisdorf W, et al. 2007 Nucl. Phys. A 781 459
Google Scholar
[72] Xiao Z, Li B A, Chen L W, Yong G C, Zhang M 2009 Phys. Rev. Lett. 102 062502
Google Scholar
[73] Feng Z Q, Jin G M 2010 Phys. Lett. B 683 140
Google Scholar
[74] Xie W J, Su J, Zhu L, Zhang F S 2013 Phys. Lett. B 718 1510
Google Scholar
[75] Xu J, Chen L W, Tsang M B, Wolter H, Zhang Y X, Aichelin J, Colonna M, Cozma D, Danielewicz P, Feng Z Q, Le Fevre A, Gaitanos T, Hartnack C, Kim K, Kim Y, Ko C M, Li B A, Li Q F, Li Z X, Napolitani P, Ono A, Papa M, Song T, Su J, Tian J L, Wang N, Wang Y J, Weil J, Xie W J, Zhang F S, Zhang G Q 2016 Phys. Rev. C 93 044609
Google Scholar
[76] Xu J, Wolter H, Colonna M, Cozma M D, Danielewicz P, Ko C M, Ono A, Tsang M B, Zhang Y X, Cheng H G, Ikeno N, Kumar R, Su J, Zheng H, Zhang Z, Chen L W, Feng Z Q, Hartnack C, Le Fèvre A, Li B A, Nara Y, Ohnishi A, Zhang F S 2024 Phys. Rev. C 109 044609
Google Scholar
[77] E-0895 Collaboration, Klay J L, et al. 2003 Phys. Rev. C 68 054905
Google Scholar
[78] Wolf A, Appenheimer M, Averbeck R, Charbonnier Y, Diaz J, Doppenschmidt A, Hejny V, Hlavac S, Holzmann R, Kugler A, Lohner H, Marin A, Metag V, Novotny R, Ostendorf R, Pleskac R, Schubert A, Schutz Y, Simon R, Stratmann R, Stroher H, Tlusty P, Vogt P, Wagner V, Weiss J, Wilschut H, Wissmann F, Wolf M 1998 Phys. Rev. Lett. 80 5281
Google Scholar
[79] Wagner A, Muntz C, Oeschler H, Sturm C T, Barth R, Cieslak M, Debowski M, Grosse E, Koczon P, Mang M, Miskowiec D, Schicker R, Schwab E, Senger P, Beckerle P, Brill D, Shin Y, Strobele H, Walus W, Kohlmeyer B, Puhlhofer F, Speer J, Volkel K 1998 Phys. Lett. B 420 20
Google Scholar
[80] HADES Collaboration, Agakishiev G, et al. 2009 Eur. Phys. J. A 41 243
Google Scholar
[81] HADES Collaboration, Adamczewski-Musch J, et al. 2020 Eur. Phys. J. A 56 259
Google Scholar
[82] Kubo T, Ishihara M, Inabe N, Kumagai H, Tanihata I, Yoshida K, Nakamura T, Okuno H, Shimoura S, Asahi K 1992 Nucl. Instrum. Methods Phys. Res., Sect. B 70 309
[83] Motobayashi T 2010 Nucl. Phys. A 834 707c
Google Scholar
[84] Kurata-Nishimura M 2017 Proceedings of Science INPC2016 p218
[85] Barney J, Estee J, Lynch W, Isobe T, Jhang G, Kurata-Nishimura M, McIntosh A, Murakami T, Shane R, Tangwancharoen S, Tsang M, Cerizza G, Kaneko M, Lee J, Tsang C, Wang R, Anderson C, Baba H, Chajecki Z, Famiano M, Hodges-Showalter R, Hong B, Kobayashi T, Lasko P, Łukasik J, Nakatsuka N, Olsen R, Otsu H, Pawłowski P, Pelczar K, Powell W, Sakurai H, Santamaria C, Setiawan H, Taketani A, Winkelbauer J, Xiao Z, Yennello S, Yurkon J, Zhang Y 2021 Rev. Sci. Instrum. 92 063302
Google Scholar
[86] Lasko P, Adamczyk M, Brzychczyk J, Hirnyk P, Łukasik J, Pawłowski P, Pelczar K, Snoch A, Sochocka A, Sosin Z, Barney J, Cerizza G, Estee J, Isobe T, Jhang G, Kaneko M, Kurata-Nishimura M, Lynch W, Murakami T, Santamaria C, Tsang M, Zhang Y 2017 Nucl. Instrum. Meth. A 856 92
Google Scholar
[87] Barney J E 2019 Ph. D. Dissertation (East Lansing: Michigan State University
[88] SπRIT & TEMP Collaboration, Jhang G, et al. 2021 Phys. Lett. B 813 136016
Google Scholar
[89] Yong G C 2021 Phys. Rev. C 104 014613
Google Scholar
[90] Glendenning N K 1982 Phys. Lett. B 114 392
Google Scholar
[91] Millener D J, Dover C B, Gal A 1988 Phys. Rev. C 38 2700
Google Scholar
[92] Gal A, Hungerford E V, Millener D J 2016 Rev. Mod. Phys. 88 035004
Google Scholar
[93] Schaffner J, Mishustin I N 1996 Phys. Rev. C 53 1416
Google Scholar
[94] Schaffner-Bielich J 2010 Nucl. Phys. A 835 279
Google Scholar
[95] Yong G C 2023 Phys. Rev. D 108 L091507
Google Scholar
[96] Lonardoni D, Lovato A, Gandolfi S, Pederiva F 2015 Phys. Rev. Lett. 114 092301
Google Scholar
[97] Antoniadis J, Freire P C C, Wex N, Tauris T M, Lynch R S, van Kerkwijk M H, Kramer M, Bassa C, Dhillon V S, Driebe T, Hessels J W T, Kaspi V M, Kondratiev V I, Langer N, Marsh T R, McLaughlin M A, Pennucci T T, Ransom S M, Stairs I H, van Leeuwen J, Verbiest J P W, Whelan D G 2013 Science 340 6131
[98] Bombaci I 2017 JPS Conf. Proc. 17 101002
[99] Gerstung D, Kaiser N, Weise W 2020 Eur. Phys. J. A 56 175
Google Scholar
[100] Feng Z Q 2021 Eur. Phys. J. A 57 18
Google Scholar
[101] Ji Y 2024 EPJ Web Conf. 296 02004
Google Scholar
[102] STAR Collaboration, Aboona B, et al. 2023 Phys. Rev. Lett. 130 212301
Google Scholar
[103] Oliinychenko D, Shen C, Koch V 2021 Phys. Rev. C 103 034913
Google Scholar
[104] Neidig T, Gallmeister K, Greiner C, Bleicher M, Vovchenko V 2022 Phys. Lett. B 827 136891
Google Scholar
[105] Sun K J, Wang R, Ko C M, Ma Y G, Shen C 2024 Nat. Commun. 15 1074
Google Scholar
[106] Coci G, Gläßel S, Kireyeu V, Aichelin J, Blume C, Bratkovskaya E, Kolesnikov V, Voronyuk V 2023 Phys. Rev. C 108 014902
Google Scholar
[107] Bruce R, Alemany Fernandez R, Argyropoulos T, Bartosik H, Bracco C, Cai R, D’ Andrea M, Frasca A, Hermes P, Jowett J, Mirarchi D, Redaelli S, Solfaroli M, Triantafyllou N, Wenninger J 2023 14th International Particle Accelerator Conference (IPAC 2023) Venice, Italy, May 7–12, 2023 pMOPL021
[108] Galatyuk T 2019 Nucl. Phys. A 982 163
Google Scholar
[109] Fu W J, Pawlowski J M, Rennecke F 2020 Phys. Rev. D 101 054032
Google Scholar
[110] Gunkel P J, Fischer C S 2021 Phys. Rev. D 104 054022
Google Scholar
[111] Hippert M, Grefa J, Manning T A, Noronha J, Noronha-Hostler J, Portillo Vazquez I, Ratti C, Rougemont R, Trujillo M 2024 Phys. Rev. D 110 094006
[112] Basar G 2024 Phys. Rev. C 110 015203
Google Scholar
[113] Odyniec G 2019 Proceedings of Science CORFU2018 p151
[114] Spiller P, Balss R, Bartolome P, Blaurock J, Blell U, Boine-Frankenheim O, Bozyk L, Chorowski M, Eisel T, Frey M, Giacomini T, Kaether F, Khodzhibagiyan H, Klammes S, Klingbeil H, Koenig H, Kornilov V, Kowina P, Lens D, Meier J, Ondreka D, Petzenhauser I, Plyusnin V, Pongrac I, Pyka N, Raginel V, Rottlaender P, Roux C, Schmidt J, Schwickert M, Sugita K, Szwangruber A, Szwangruber P, Trockel R, Waldt A, Welker H, Wilfert S, Winkler T, Winters D 2020 JINST 15 T12013
Google Scholar
[115] Friman B, Hohne C, Knoll J, Leupold S , Randrup J, Rapp R, Senger P 2011 The CBM Physics Book: Compressed Baryonic Matter in Laboratory Experiments (Berlin: Springer
[116] Kapishin M 2019 Nucl. Phys. A 982 967
Google Scholar
[117] Sissakian A N, Kekelidze V D, Sorin A S 2009 Nucl. Phys. A 827 630C
Google Scholar
[118] Ahn J K, Bak S I, Blumenfeld Y, et al. 2013 Few Body Syst. 54 197
Google Scholar
[119] 夏佳文, 詹文龙, 魏宝文, 原有进, 赵红卫, 杨建成, 石健, 盛丽娜, 杨维青, 冒立军 2016 科学通报 61 467
Xia J W, Zhan W L, Wei B W, Yuan Y J, Zhao H W, Yant J C, Shi J, Sheng L N, Yang W Q, Mao L J 2016 Science Bulletin 61 467
[120] Yang J, Sun L, Yuan Y 2023 JACoW CYCLOTRONS2022 MOAI01
[121] Zhou X, Yang J 2022 AAPPS Bull. 32 35
Google Scholar
[122] Saito T R, Dou W, Drozd V, et al. 2021 Nat. Rev. Phys. 3 803
Google Scholar
[123] Mroczek D, Yao N, Zine K, Noronha-Hostler J, Dexheimer V, Haber A, Most E R 2024 arXiv:2404.01658 [astro-ph.HE]
[124] Huang M, Zhuang P 2023 Symmetry 15 541
Google Scholar
[125] Liang Z T, Wang X N 2005 Phys. Rev. Lett. 94 102301 [Erratum: Phys. Rev. Lett. 96 039901 (2006)]
Liang Z T, Wang X N 2005 Phys. Rev. Lett. 94 102301 [Erratum: Phys. Rev. Lett. 96 039901 (2006)]
[126] STAR Collaboration, Adamczyk L, et al. 2017 Nature 548 62
Google Scholar
[127] STAR Collaboration, Abdallah M S, et al. 2023 Nature 614 244
Google Scholar
[128] 梁作堂, 王群, 马余刚 2023 物理学报 72 070101
Google Scholar
Liang Z T, Wang Q, Ma Y G 2023 Acta Phys. Sin. 72 070101
Google Scholar
[129] 尹伊 2023 物理学报 72 111201
Google Scholar
Yi Y 2023 Acta Phys. Sin. 72 111201
Google Scholar
[130] 浦实, 黄旭光 2023 物理学报 72 071202
Google Scholar
Pu S, Huang X G 2023 Acta Phys. Sin. 72 071202
Google Scholar
[131] 江泽方, 吴祥宇, 余华清, 曹杉杉, 张本威 2023 物理学报 72 072504
Google Scholar
Jiang F Z, Wu X Y, Yu Q H, Cao S S, Zhang B W 2023 Acta Phys. Sin. 72 072504
Google Scholar
Catalog
Metrics
- Abstract views: 5289
- PDF Downloads: 182
- Cited By: 0









DownLoad: