-
The rapid development of optoelectronic technologies has raised increasingly requirements for the photoelectric properties of semiconductor materials, thereby promoting the exploration of more efficient and controllable modulation strategies. High-pressure technology, as a clean and effective external-field method, can accurately modulate the crystal structure and electronic states of materials. This modulation can induce novel phase transitions and physical effects, thereby significantly improving performance. In recent years, high-pressure technique has emerged as a powerful tool for optimizing photoelectric properties of semiconductor materials, providing new perspectives for enhancing performance and demonstrating significant research value and application potential. This review paper comprehensively summarizes recent research progress of pressure-induced evolution of photoelectric properties in various material systems, such as two-dimensional transition metal dichalcogenides, metal and non-metal halides, perovskites, and other representative semiconductors. These materials exhibit a wide variety of pressure-induced structural transformations, accompanied by photocurrent enhancement, broadband spectral response, self-powered photoresponse, and polarity reversal. Furthermore, the intrinsic links between these structural evolutions and the corresponding photoelectric behaviors are systematically examined. Scientific issues and development bottlenecks in this area are also discussed. Despite notable advances, there are still several challenges, including the insufficient understanding of intrinsic correlations between structure and photoelectric properties, the lack of comprehensive evaluation parameters. How to realize pressure-enhanced photoelectric properties for applications under ambient conditions is another key challenge. Addressing these issues will be essential for advancing both fundamental understanding and practical applications. Overall, pressure modulated photoelectric properties present both significant challenges and exciting opportunities, providing valuable guidance for designing advanced optoelectronic materials and devices. -
Keywords:
- high-pressure physics /
- photoresponse characteristics /
- structural phase transition /
- in-situ high-pressure characterization
[1] Wang X M, Cheng Z Z, Xu K, Tsang H K, Xu J B 2013 Nat. Photonics 7 888
Google Scholar
[2] Youngblood N, Chen C, Koester S J, Li M 2015 Nat. Photonics 9 247
Google Scholar
[3] Koepfli S M, Baumann M, Koyaz Y, Gadola R, Güngör A, Keller K, Horst Y, Nashashibi S, Schwanninger R, Doderer M, Passerini E, Fedoryshyn Y, Leuthold J 2023 Science 380 1169
Google Scholar
[4] Chetia A, Bera J, Betal A, Sahu S 2022 Mater. Today Commun. 30 103224
Google Scholar
[5] Wang H Y, Li Z X, Li D Y, Chen P, Pi L J, Zhou X, Zhai T Y 2021 Adv. Funct. Mater. 31 2103106
Google Scholar
[6] Liu C Y, Guo J S, Yu L W, Li J, Zhang M, Li H, Shi Y C, Dai D X 2021 Light Sci. Appl. 10 123
Google Scholar
[7] Li C Y, Li W J, Cheng M M, Yang W Y, Tan Q H, Wang Q J, Liu Y K 2021 Adv. Opt. Mater. 9 2100927
Google Scholar
[8] Liu J, Xia F N, Xiao D, Garcia de Abajo F J, Sun D 2020 Nat. Mater. 19 830
Google Scholar
[9] Rao G F, Wang X P, Wang Y, Wangyang P H, Yan C Y, Chu J W, Xue L X, Gong C H, Huang J W, Xiong J, Li Y R 2019 InfoMat 1 272
Google Scholar
[10] Tian W, Liu D, Cao F R, Li L 2017 Adv. Opt. Mater. 5 1600468
Google Scholar
[11] Ezhilmaran B, Patra A, Benny S, M. R S, V. V A, Bhat S V, Rout C S 2021 J. Mater. Chem. C 9 6122
Google Scholar
[12] Allain A, Kang J, Banerjee K, Kis A 2015 Nat. Mater. 14 1195
Google Scholar
[13] Cheng P, Wang Y F, Ye T T, Chu L Q, Yang J, Zeng H, Yao D Y, Pan X M, Zhang J, Jiang H C, Su F H, Ding J F 2022 Appl. Phys. Lett. 120 212104
Google Scholar
[14] Pan X M, Xin B J, Zeng H, Cheng P, Ye T T, Yao D Y, Xue E Q, Ding J F, Wang W H 2023 J. Phys. Chem. Lett. 14 3320
Google Scholar
[15] Pan X M, Xue E Q, Li W G, Pan W J, Yao D Y, Zhang X, Yin Y W, Cheng P, Liu Q J, Ding J F 2025 Phys. Rev. B 111 115104
Google Scholar
[16] Mao H K, Chen X J, Ding Y, Li B, Wang L 2018 Rev. Mod. Phys. 90 015007
Google Scholar
[17] Jiang S Q, Holtgrewe N, Lobanov S S, Su F H, Mahmood M F, McWilliams R S, Goncharov A F 2018 Nat. Commun. 9 2624
Google Scholar
[18] Cheng P, Ye T T, Zeng H, Ding J F 2020 AIP Adv. 10 045110
Google Scholar
[19] 尤悦, 李尚升, 宿太超, 胡美华, 胡强, 王君卓, 高广进, 郭明明, 聂媛 2020 物理学报 69 238101
Google Scholar
You Y, Li S S, Su T C, Hu M H, Hu Q, Wang J Z, Gao G J, Guo M M, Nie Y 2020 Acta Phys. Sin. 69 238101
Google Scholar
[20] 秦晓玲, 朱栩量, 曹靖雯, 王浩诚, 张鹏 2021 物理学报 70 146301
Google Scholar
Qin X L, Zhu X L, Cao J W, Wang H C, Zhang P 2021 Acta Phys. Sin. 70 146301
Google Scholar
[21] Li Q, Zhang Y J, Xiang Z N, Zhang Y H, Zhu X Y, Wen H H 2024 Chin. Phys. Lett. 41 017401
Google Scholar
[22] Hou J, Yang P T, Liu Z Y, Li J Y, Shan P F, Ma L, Wang G, Wang N N, Guo H Z, Sun J P, Uwatoko Y, Wang M, Zhang G M, Wang B S, Cheng J G 2023 Chin. Phys. Lett. 40 117302
Google Scholar
[23] Zhang L J, Wang Y C, Lv J, Ma Y M 2017 Nat. Rev. Mater. 2 17005
Google Scholar
[24] Guo S H, Bu K J, Li J W, Hu Q Y, Luo H, He Y H, Wu Y H, Zhang D Z, Zhao Y S, Yang W G, Kanatzidis M G, Lü X J 2021 J. Am. Chem. Soc. 143 2545
Google Scholar
[25] Shi Y, Zhou Y, Ma Z W, Xiao G J, Wang K, Zou B 2020 J. Mater. Chem. C 8 12755
Google Scholar
[26] Attique S, Ali N, Imran T, Rauf S, Khesro A, Ali S, Wang W J, Khatoon R, Abbas A, Ullah khan E, Yang S K, Wu H Z 2022 Sol. Energy 239 198
Google Scholar
[27] Wang L R, Yao P P, Wang F, Li S F, Chen Y P, Xia T Y, Guo E J, Wang K, Zou B, Guo H Z 2020 Adv. Sci. 7 1902900
Google Scholar
[28] An C, Du X L, Chen X L, Zhou Y, Zhang M, Zhou Y H, Zhou J, Yang Z R 2023 Phys. Rev. B 107 134501
Google Scholar
[29] Qi M Y, Ye M Y, Ma S L, Feng J M, Du M Y, Huang H Y, Song H, Cui T 2024 J. Mater. Chem. C 12 12372
Google Scholar
[30] Shen Z W, Wu Z Y, Wang S J, Wang H C, Li H K, Song J, Gao G Y, Wang L, Tian Y J 2024 Chin. Phys. Lett. 41 117101
Google Scholar
[31] Shi Y Y, Wu M, Yue L, Wang K, Li Q J, Wu Y, Ye G L, Huang H J 2024 Appl. Phys. Lett. 124 094103
Google Scholar
[32] Wang N, Zhang G Z, Wang G Y, Feng Z B, Li Q, Zhang H W, Li Y W, Liu C L 2024 Small 20 e2400216
Google Scholar
[33] Feng J M, Qi M Y, Song H, Ye M Y, Runowski M, Hu Z Y, Huang L K, Lian M, Zhao X B, Dan Y Q, Ma S L, Cui T 2025 Chem. Eng. J. 515 163611
Google Scholar
[34] Mak K F, Lee C, Hone J, Shan J, Heinz T F 2010 Phys. Rev. Lett. 105 136805
Google Scholar
[35] Wang Q H, Kalantar-Zadeh K, Kis A, Coleman J N, Strano M S 2012 Nat. Nanotechnol. 7 699
Google Scholar
[36] Song X F, Guo Z X, Zhang Q C, Zhou P, Bao W Z, Zhang D W 2017 Small 13 1700098
Google Scholar
[37] Khan K, Tareen A K, Aslam M, Wang R H, Zhang Y P, Mahmood A, Ouyang Z B, Zhang H, Guo Z Y 2020 J. Mater. Chem. C 8 387
Google Scholar
[38] Liu Y, Duan X D, Huang Y, Duan X F 2018 Chem. Soc. Rev. 47 6388
Google Scholar
[39] Choi W, Choudhary N, Han G H, Park J, Akinwande D, Lee Y H 2017 Mater. Today 20 116
Google Scholar
[40] Nayak A P, Bhattacharyya S, Zhu J, Liu J, Wu X, Pandey T, Jin C Q, Singh A K, Akinwande D, Lin J F 2014 Nat. Commun. 5 3731
Google Scholar
[41] Yuan Y F, Zhang Z T, Wang W K, Zhou Y H, Chen X L, An C, Zhang R R, Zhou Y, Gu C C, Li L, Li X J, Yang Z R 2018 Chin. Phys. B 27 066201
Google Scholar
[42] Wang P, Wang Y G, Qu J Y, Zhu Q, Yang W G, Zhu J L, Wang L P, Zhang W W, He D W, Zhao Y S 2018 Phys. Rev. B 97 235202
Google Scholar
[43] Zhang X T, Dong Q, Li Z L, Jing X L, Liu R, Liu B, Zhao T T, Lin T, Li Q J, Liu B B 2022 Mater. Res. Lett. 10 547
Google Scholar
[44] Wang N, Moutaabbid H, Feng Z B, Wang G Y, Zhang H W, Zhang G Z, Cao Z Y, Li Y W, Liu C L 2024 Appl. Phys. Lett. 125 093904
Google Scholar
[45] Aji Suleiman A, Zhou X, Zhai T Y 2021 J. Phys. D: Appl. Phys. 54 013002
Google Scholar
[46] Cheng P, Ye T T, Yan J W, Zhang K, Yao D Y, Pan X M, Wang Y F, Xue E, Su F H, Zhang J, Ding J F 2023 Adv. Opt. Mater. 11 2300316
Google Scholar
[47] Li Z, Li Q, Li H, Tian F, Du M, Fang S, Liu R, Zhang L, Liu B 2022 Small Methods 6 2201044
Google Scholar
[48] Yue L, Tian F Y, Liu R, Li Z L, Li R X, Li C Y, Li Y C, Yang D L, Li X D, Li Q J, Zhang L J, Liu B B 2025 Natl. Sci. Rev. 12 nwae419
Google Scholar
[49] Li Z L, Chen S X, Tian F Y, Fang S X, Li Q J, Du M Y, Yuan B, Kang L, Zhang L J, Liu B B 2024 Acta Mater. 278 120263
Google Scholar
[50] Xing S Y, Chen S X, Fang S X, Tian F Y, Li Z L, Jin X L, Li Q J, Liu B B 2024 Adv. Opt. Mater. 12 202401433
Google Scholar
[51] Li Z L, Li Q J, Li H Y, Yue L, Zhao D L, Tian F Y, Dong Q, Zhang X T, Jin X L, Zhang L J, Liu R, Liu B B 2021 Adv. Funct. Mater. 32 2108636
Google Scholar
[52] Lu R H, Li Z L, Yue L, Song L Y, Fang S X, Liu T Y, Shen P F, Li Q J, Jin X L, Liu B B 2024 Mater. Today Phys. 42 101381
Google Scholar
[53] Fang Y Q, Kong L P, Wang R Q, Zhang Z, Li Z Y, Wu Y H, Bu K J, Liu X Q, Yan S, Hattori T, Li N N, Li K, Liu G, Huang F Q 2023 Mater. Today Phys. 34 101083
Google Scholar
[54] Li Z L, Gao D X, Chen S X, Yue L, Yuan B, Shen X D, Kang L, Li Q J, Liu B B 2025 J. Mater. Chem. A 13 9801
Google Scholar
[55] Zhan X H, Jiang X M, Lv P, Xu J, Li F J, Chen Z L, Liu X B 2022 Angew. Chem. Int. Ed. 61 e202205491
Google Scholar
[56] Yan H C, Ou T J, Jiao H, Wang T Y, Wang Q L, Liu C L, Liu X Z, Han Y H, Ma Y Z, Gao C X 2017 J. Phys. Chem. Lett. 8 2944
Google Scholar
[57] Zhang H F, Yang J Z, Li Q J, You W W, Mao Y L 2023 Appl. Phys. Lett. 123 021107
Google Scholar
[58] Ou T J, Liu C L, Yan H C, Han Y H, Wang Q L, Liu X Z, Ma Y Z, Gao C X 2019 Appl. Phys. Lett. 114 062105
Google Scholar
[59] Jing X L, Zhou D L, Sun R, Zhang Y, Li Y C, Li X D, Li Q J, Song H W, Liu B B 2021 Adv. Funct. Mater. 31 2100930
Google Scholar
[60] Lü X J, Wang Y G, Stoumpos C C, Hu Q Y, Guo X F, Chen H J, Yang L X, Smith J S, Yang W G, Zhao Y S, Xu H W, Kanatzidis M G, Jia Q X 2016 Adv. Mater. 28 8663
Google Scholar
[61] Li Z L, Jia B X, Fang S X, Li Q J, Tian F Y, Li H Y, Liu R, Liu Y C, Zhang L J, Liu S Z, Liu B B 2022 Adv. Sci. 10 2205837
Google Scholar
[62] Yue L, Li Z L, Yu L C, Xu K B, Liu R, Li C Y, Li Y C, Yang D L, Li X D, Li Q J, Liu B B 2024 J. Am. Chem. Soc. 146 25245
Google Scholar
[63] Liu T B, Bu K J, Zhang Q, Zhang P J, Guo S H, Liang J Y, Wang B H, Zheng H Y, Wang Y G, Yang W G, Lü X J 2022 Materials 15 3845
Google Scholar
[64] Yu H, Shi R, Zhao Y, Bian T, Zhao Y, Zhou C, Waterhouse G I N, Wu L Z, Tung C H, Zhang T 2017 Adv. Mater. 29 1605148
Google Scholar
[65] Cheng P, Ye T, Yi M, Cheng W, Zhang L, Hong P, Sun C, Xie Y, Yao D, Pan X, Xue E, Zhang X, Shen C, Ding J 2025 Appl. Phys. Lett. 126 251902
Google Scholar
[66] Cheng P, Yao D Y, Yan J W, Ye T T, Liu H H, Zeng H, Pan X M, Zhang G Q, Ding J F 2023 Phys. Rev. Appl. 19 024048
Google Scholar
[67] Li Y Z, Yang X G, Lü C F, Qin J X, Zhang C, Zhang Z F, Chen X X, Zang J H, Lou Q, Dong L, Shan C X 2022 Carbon 199 453
Google Scholar
[68] Fang S X, Dong Q, Li Z L, Tian H, Liu T Y, Li R X, Jing X L, Yue L, Li C Y, Liu R, Li Q J, Liu B B 2023 J. Phys. Chem. C 127 8383
Google Scholar
[69] Fang S X, Li Q J, Li Z L, Dong Q, Jing X L, Li C Y, Li H Y, Liu B, Liu R, Liu B B 2022 Mater. Res. Lett. 11 134
Google Scholar
[70] Zhang G H, Zhang Q, Hu Q Y, Wang B H, Yang W G 2019 J. Mater. Chem. A 7 4019
Google Scholar
[71] Yue L, Cui D D, Tian F B, Liu S, Li Z L, Liu R, Yao Z, Li Y C, Yang D L, Li X D, Li Q J, Du Y, Liu B B 2024 Acta Mater. 263 119529
Google Scholar
[72] Zhang G H, Liu F L, Gu T T, Zhao Y S, Li N N, Yang W G, Feng S H 2017 Adv. Electron. Mater. 3 600498
Google Scholar
[73] Rahman S, Samanta S, Kuzmin A, Errandonea D, Saqib H, Brewe D L, Kim J, Lu J L, Wang L 2019 Adv. Sci. 6 1901132
Google Scholar
[74] Li C, Liu K, Peng S, Feng Q, Jiang D Q, Wen T, Xiao H, Yue B B, Wang Y G 2023 Chem. Mater. 35 1449
Google Scholar
[75] Li C, Liu K, Jiang D Q, Wen T, Chen E, Ma Y Y, Yue B B, Chu S Q, Wang Y G 2023 Chem. Mater. 35 4821
Google Scholar
[76] Li C Y, Liu R, Zhao T T, Li Z L, Yue L, Lin T, Zhang X T, Li Q J, Liu B B 2022 Appl. Phys. Lett. 121 042102
Google Scholar
[77] Ye M Y, Li Y, Tang R L, Liu S Y, Ma S L, Liu H Z, Tao Q, Yang B, Wang X, Yue H J, Zhu P W 2022 Nanoscale 14 2668
Google Scholar
[78] Wang L R, Wang K, Xiao G J, Zeng Q S, Zou B 2016 J. Phys. Chem. Lett. 7 5273
Google Scholar
[79] Wang L, Wang K, Zou B 2016 J. Phys. Chem. Lett. 7 2556
Google Scholar
[80] Wang F, Tan M P, Li C, Niu C Y, Zhao X 2019 Org. Electron. 67 89
Google Scholar
[81] Morana M, Malavasi L 2021 Sol. RRL 5 2100550
Google Scholar
[82] Zhang W W, Tang G, Sahoo M P K, Liang Y T, Zhang Y J 2022 Phys. Rev. B 105 075150
Google Scholar
[83] Mączka M, Dybała F, Herman A P, Paraguassu W, Barros dos Santos A J, Kudrawiec R 2024 RSC Adv. 14 38514
Google Scholar
[84] Feng H C, Zhang G Z, Feng Z B, Li Q, Wang G Y, Li Y W, Fang Y Y, Liu C L 2024 Appl. Phys. Lett. 124 043902
Google Scholar
-
图 2 TMDs材料高压下的光电响应行为 (a) PtS2在高压下的光电流[41]; (b) 块状和单晶ReS2样品的光电流-压力依赖性关系[42]; (c) 980, 1270, 1450和1650 nm近红外波长下层状WS2的光电流-压力依赖性关系[43]; (d) 不同近红外波长照射下, WS2的响应度和外量子效率与压力的变化关系[43]. 图片已获得授权
Figure 2. The photoelectric response behavior of TMDs materials under high pressure: (a) Photocurrent of the PtS2 at elevated pressures[41]; (b) photocurrent-pressure dependence of bulk and single-crystal ReS2 samples[42]; (c) photocurrent-pressure dependence of layered WS2 with 980, 1270, 1450, and 1650 nm NIR wavelengths[43]; (d) R and EQE of WS2 as a function of pressure under illumination of selected near-infrared wavelengths[43]. Reproduced with permission.
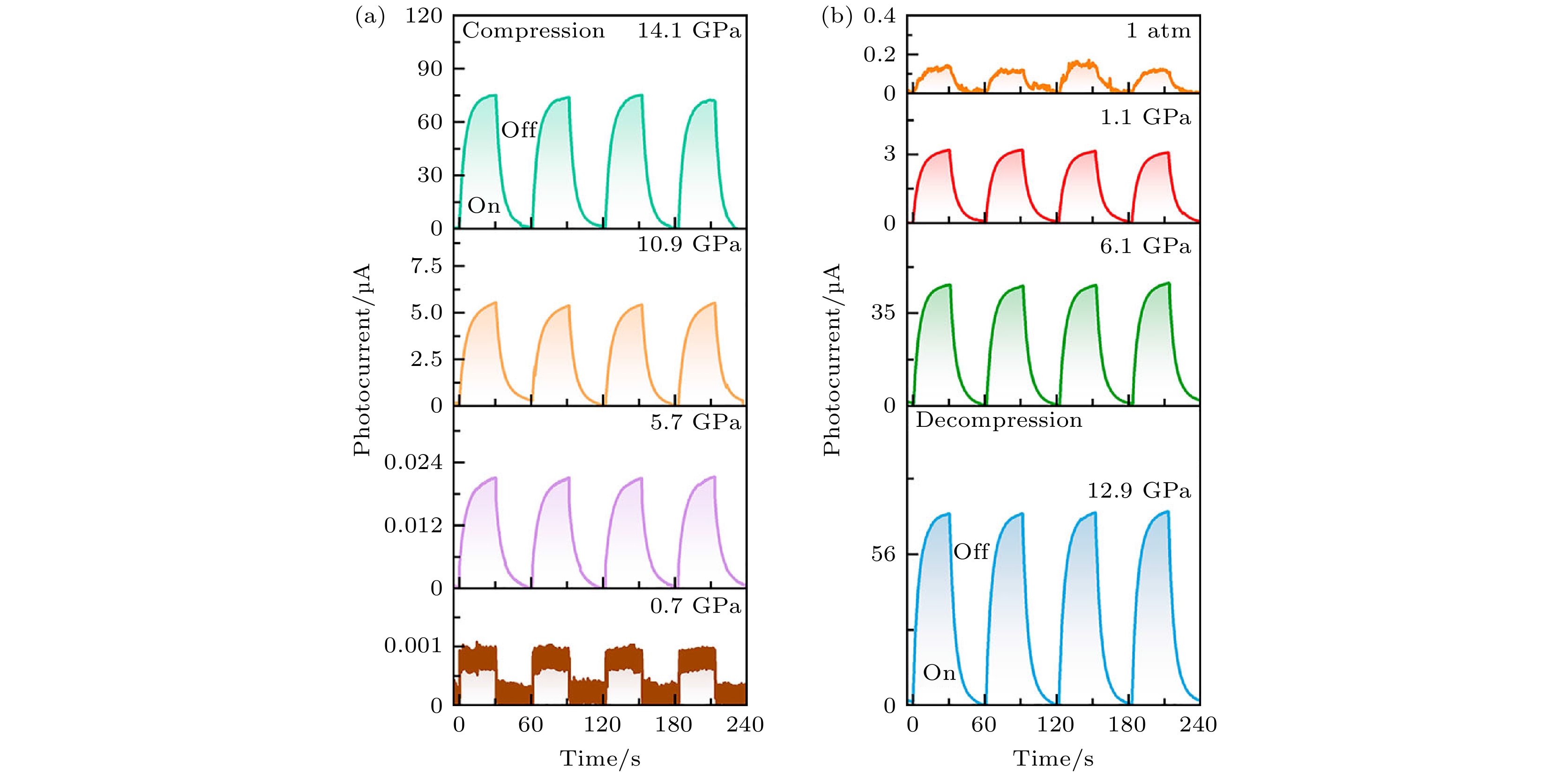
图 3 BiI3在高压下的自驱动光电流极性反转行为 (a), (b) 在520 nm波长激光照射下, BiI3在零偏压下的高压光响应[48]; (c) 在24.0 GPa时, 激光在两电极间移动时BiI3的光电流分布[48]; (d) 不同光照强度下BiI3的光电流响应[48]; (e) 不同光照区域下光电流随压力的变化[48]; (f) 位置A (电极与样品接触区域)处光热电压随压力的变化[48]; (g) BiI3的霍尔系数随压力的变化关系[48]. 图片已获得授权
Figure 3. Pressure-induced polarity reversal of self-driven photocurrent in BiI3: (a), (b) Photoresponse of BiI3 under 520 nm laser illumination a with zero bias under pressure[48]; (c) photocurrent distribution of BiI3 at 24.0 GPa as the laser moves between the two electrodes[48]; (d) photocurrent of BiI3 at 24.0 GPa with varying illumination intensity[48]; (e) variation in photocurrent with pressure at different illumination positions[48]; (f) changes in photothermoelectric voltage with pressure at illumination position A[48]; (g) pressure-dependent Hall coefficient of BiI3[48]. Reproduced with permission.
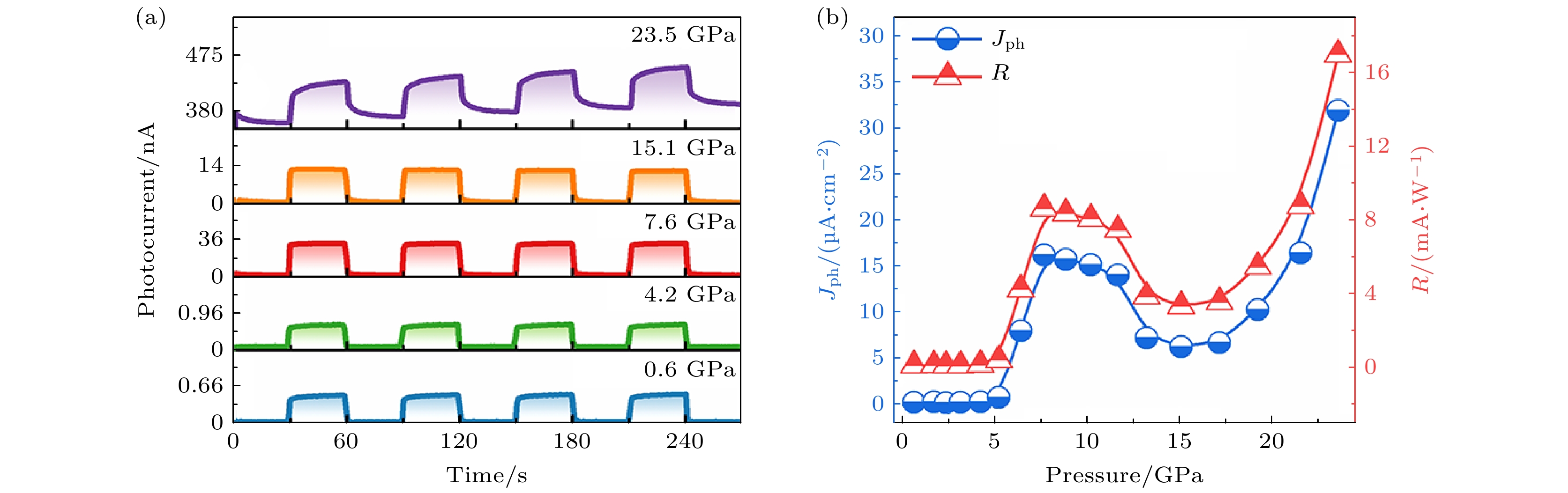
图 4 不同波长激光照射下Cs3Bi2I9在高压下的光电响应特性[61] (a) 在1650 nm 激光与10 V偏压下, Cs3Bi2I9样品在位置A加压过程中的光电流变化; (b) 不同位置在1650 nm 激光照射下的高压光电流密度; (c) 在26.3 GPa和10 V偏压下, 在不同波长光照下位置A处的光电流响应. 图片已获得授权
Figure 4. Photoresponse properties of Cs3Bi2I9 under laser illumination of different wavelengths[61]: (a) Photocurrent evolution of Cs3Bi2I9 during compression with 1650 nm laser illumination and 10 V bias at position A; (b) pressure-dependent photocurrent density Jph of Cs3Bi2I9 under 1650 nm laser illumination at different positions; (c) photocurrent of Cs3Bi2I9 under laser illumination of different wavelengths at position A under a 10 V bias at 26.3 GPa. Reproduced with permission.
图 5 NbOI2半导体-半导体相变过程中压力诱导的n-p导电类型可逆切换[62] (a) NbOI2加压过程中温度-电阻关系; (b) 在300 K时NbOI2的电阻随压强的变化关系, 插图为样品和电极在金刚石对顶砧中的光学图像; (c) 光学带隙值随压强的变化; (d)在6.2 GPa和14.0 GPa时, NbOI2在300 K下的霍尔电阻随磁场的变化; (e) 霍尔系数随压强的变化; (f) NbOI2的载流子密度随压强的变化. 图片已获得授权
Figure 5. Pressure-induced n-p conduction type switching in semiconductor-to-semiconductor transition of NbOI2[62]: (a) Representative temperature-dependent resistance curves of NbOI2 during compression; (b) pressure-dependent resistance of NbOI2 measured at 300 K, inset: the optical photo of the sample and electrodes in diamond anvil cell; (c) optical bandgap as a function of pressure; (d) Hall resistance of NbOI2 as a function of the magnetic field at 300 K under pressures of 6.2 and 14.0 GPa; (e) derived Hall coefficient as a function of pressure; (f) carrier density of NbOI2 as a function of pressure]. Reproduced with permission.
图 6 (a), (b) SbSI分别在0和5 V偏置电压下的高压光电流[63]; (c) 不同偏置电压下的光电流与压力的关系[63]; (d) SbSI在高压下的电阻率[63]. 图片已获得授权
Figure 6. (a), (b) Pressure-dependent photocurrent of SbSI at 0 and 5 V bias voltages[63]; (c) photocurrent as a function of pressure at different bias voltages[63]; (d) the resistivity of SbSI under high pressures[63]. Reproduced with permission.
表 1 相关材料在高压下的光电响应特性.
Table 1. Optoelectronic response characteristics of selected materials under high pressure.
材料名称 压力范围/GPa 光电流较常压数值 其他现象 参考文献 多层MoS2 0—35.0 — 光电流增益–7.5%/GPa、金属化 [40] PtS2 0—26.8 约6倍 — [41] 块状ReS2 0—50.0 2个数量级 金属化 [42] WS2 0—17.2 2个数量级 宽谱响应 [43] ZrSe2 0—26.5 3个数量级 金属化、负光电导 [44] PbI2 0—32.6 2个数量级 宽谱响应、自驱动光响应 [46,47] BiI3 0—30.0 3个数量级 宽谱响应、自驱动光响应 [48] SbI3 0—10.0 近10倍 自驱动光响应 [49,50] CsI3 0—16.7 近5个数量级 宽谱响应 [51] SnI4 0—11.5 约5个数量级 金属化 [52] RhI3 0—30.0 约5个数量级 金属化 [53] AsI3 0—12.0 约2倍 — [54] (C6H5CH2NH3)2CuBr4 0—40.0 28 GPa光电导率达到峰值* — [55] Cs2PbI2Cl2 0—26.9 3个数量级 — [24] CH3NH3PbBr3 0—5.6 0.7 GPa达到峰值* — [56] CH3NH3PbI3 0—8.3 4.5倍 “记忆效应” [57] CsPbBr3 0—9.2 1.4 GPa达到峰值* — [58] CsPbCl3 0—22.1 近2倍 — [59] CH3NH3SnI3 0—31.0 约1—2个数量级 非晶化 [60] Cs3Bi2I9 0—26.7 5个数量级 非晶化、宽谱响应 [61] NbOI2 0—23.8 3个数量级 宽谱响应、导电类型切换 [62] SbSI 0—28.5 14 GPa达到峰值* 自驱动光响应 [63] g-C3N4 0—46.0 约50% 带隙减小、非晶化、“记忆效应” [66,67] CuInP2S6 0—23.5 2个数量级 金属化、自驱动光响应 [68] NiPS3 0—50.1 5个数量级 宽谱响应、“记忆效应” [69] Bi9O7.5S6 0—58.1 4个数量级 — [70] BiOBr 0—25.0 1个数量级 — [71] KBiFe2O5 0—35.0 2个数量级 — [72] WO3/CuO异质结 0—33.0 — 负光电导 [73] CrSb2 0—41.0 — 负光电导 [74] Cr2Se3 0—31.8 3.7倍 负光电导 [75] 块状Si 0—20.8 1—2个数量级 金属化、负光电导 [76] CuInS2纳米晶 0—50.2 近4倍 带隙增大 [77] Bi2S3 0—34.3 5.6倍 宽谱响应、负光电导 [84] 注: *代表文献中未提及光电流具体变化数值. -
[1] Wang X M, Cheng Z Z, Xu K, Tsang H K, Xu J B 2013 Nat. Photonics 7 888
Google Scholar
[2] Youngblood N, Chen C, Koester S J, Li M 2015 Nat. Photonics 9 247
Google Scholar
[3] Koepfli S M, Baumann M, Koyaz Y, Gadola R, Güngör A, Keller K, Horst Y, Nashashibi S, Schwanninger R, Doderer M, Passerini E, Fedoryshyn Y, Leuthold J 2023 Science 380 1169
Google Scholar
[4] Chetia A, Bera J, Betal A, Sahu S 2022 Mater. Today Commun. 30 103224
Google Scholar
[5] Wang H Y, Li Z X, Li D Y, Chen P, Pi L J, Zhou X, Zhai T Y 2021 Adv. Funct. Mater. 31 2103106
Google Scholar
[6] Liu C Y, Guo J S, Yu L W, Li J, Zhang M, Li H, Shi Y C, Dai D X 2021 Light Sci. Appl. 10 123
Google Scholar
[7] Li C Y, Li W J, Cheng M M, Yang W Y, Tan Q H, Wang Q J, Liu Y K 2021 Adv. Opt. Mater. 9 2100927
Google Scholar
[8] Liu J, Xia F N, Xiao D, Garcia de Abajo F J, Sun D 2020 Nat. Mater. 19 830
Google Scholar
[9] Rao G F, Wang X P, Wang Y, Wangyang P H, Yan C Y, Chu J W, Xue L X, Gong C H, Huang J W, Xiong J, Li Y R 2019 InfoMat 1 272
Google Scholar
[10] Tian W, Liu D, Cao F R, Li L 2017 Adv. Opt. Mater. 5 1600468
Google Scholar
[11] Ezhilmaran B, Patra A, Benny S, M. R S, V. V A, Bhat S V, Rout C S 2021 J. Mater. Chem. C 9 6122
Google Scholar
[12] Allain A, Kang J, Banerjee K, Kis A 2015 Nat. Mater. 14 1195
Google Scholar
[13] Cheng P, Wang Y F, Ye T T, Chu L Q, Yang J, Zeng H, Yao D Y, Pan X M, Zhang J, Jiang H C, Su F H, Ding J F 2022 Appl. Phys. Lett. 120 212104
Google Scholar
[14] Pan X M, Xin B J, Zeng H, Cheng P, Ye T T, Yao D Y, Xue E Q, Ding J F, Wang W H 2023 J. Phys. Chem. Lett. 14 3320
Google Scholar
[15] Pan X M, Xue E Q, Li W G, Pan W J, Yao D Y, Zhang X, Yin Y W, Cheng P, Liu Q J, Ding J F 2025 Phys. Rev. B 111 115104
Google Scholar
[16] Mao H K, Chen X J, Ding Y, Li B, Wang L 2018 Rev. Mod. Phys. 90 015007
Google Scholar
[17] Jiang S Q, Holtgrewe N, Lobanov S S, Su F H, Mahmood M F, McWilliams R S, Goncharov A F 2018 Nat. Commun. 9 2624
Google Scholar
[18] Cheng P, Ye T T, Zeng H, Ding J F 2020 AIP Adv. 10 045110
Google Scholar
[19] 尤悦, 李尚升, 宿太超, 胡美华, 胡强, 王君卓, 高广进, 郭明明, 聂媛 2020 物理学报 69 238101
Google Scholar
You Y, Li S S, Su T C, Hu M H, Hu Q, Wang J Z, Gao G J, Guo M M, Nie Y 2020 Acta Phys. Sin. 69 238101
Google Scholar
[20] 秦晓玲, 朱栩量, 曹靖雯, 王浩诚, 张鹏 2021 物理学报 70 146301
Google Scholar
Qin X L, Zhu X L, Cao J W, Wang H C, Zhang P 2021 Acta Phys. Sin. 70 146301
Google Scholar
[21] Li Q, Zhang Y J, Xiang Z N, Zhang Y H, Zhu X Y, Wen H H 2024 Chin. Phys. Lett. 41 017401
Google Scholar
[22] Hou J, Yang P T, Liu Z Y, Li J Y, Shan P F, Ma L, Wang G, Wang N N, Guo H Z, Sun J P, Uwatoko Y, Wang M, Zhang G M, Wang B S, Cheng J G 2023 Chin. Phys. Lett. 40 117302
Google Scholar
[23] Zhang L J, Wang Y C, Lv J, Ma Y M 2017 Nat. Rev. Mater. 2 17005
Google Scholar
[24] Guo S H, Bu K J, Li J W, Hu Q Y, Luo H, He Y H, Wu Y H, Zhang D Z, Zhao Y S, Yang W G, Kanatzidis M G, Lü X J 2021 J. Am. Chem. Soc. 143 2545
Google Scholar
[25] Shi Y, Zhou Y, Ma Z W, Xiao G J, Wang K, Zou B 2020 J. Mater. Chem. C 8 12755
Google Scholar
[26] Attique S, Ali N, Imran T, Rauf S, Khesro A, Ali S, Wang W J, Khatoon R, Abbas A, Ullah khan E, Yang S K, Wu H Z 2022 Sol. Energy 239 198
Google Scholar
[27] Wang L R, Yao P P, Wang F, Li S F, Chen Y P, Xia T Y, Guo E J, Wang K, Zou B, Guo H Z 2020 Adv. Sci. 7 1902900
Google Scholar
[28] An C, Du X L, Chen X L, Zhou Y, Zhang M, Zhou Y H, Zhou J, Yang Z R 2023 Phys. Rev. B 107 134501
Google Scholar
[29] Qi M Y, Ye M Y, Ma S L, Feng J M, Du M Y, Huang H Y, Song H, Cui T 2024 J. Mater. Chem. C 12 12372
Google Scholar
[30] Shen Z W, Wu Z Y, Wang S J, Wang H C, Li H K, Song J, Gao G Y, Wang L, Tian Y J 2024 Chin. Phys. Lett. 41 117101
Google Scholar
[31] Shi Y Y, Wu M, Yue L, Wang K, Li Q J, Wu Y, Ye G L, Huang H J 2024 Appl. Phys. Lett. 124 094103
Google Scholar
[32] Wang N, Zhang G Z, Wang G Y, Feng Z B, Li Q, Zhang H W, Li Y W, Liu C L 2024 Small 20 e2400216
Google Scholar
[33] Feng J M, Qi M Y, Song H, Ye M Y, Runowski M, Hu Z Y, Huang L K, Lian M, Zhao X B, Dan Y Q, Ma S L, Cui T 2025 Chem. Eng. J. 515 163611
Google Scholar
[34] Mak K F, Lee C, Hone J, Shan J, Heinz T F 2010 Phys. Rev. Lett. 105 136805
Google Scholar
[35] Wang Q H, Kalantar-Zadeh K, Kis A, Coleman J N, Strano M S 2012 Nat. Nanotechnol. 7 699
Google Scholar
[36] Song X F, Guo Z X, Zhang Q C, Zhou P, Bao W Z, Zhang D W 2017 Small 13 1700098
Google Scholar
[37] Khan K, Tareen A K, Aslam M, Wang R H, Zhang Y P, Mahmood A, Ouyang Z B, Zhang H, Guo Z Y 2020 J. Mater. Chem. C 8 387
Google Scholar
[38] Liu Y, Duan X D, Huang Y, Duan X F 2018 Chem. Soc. Rev. 47 6388
Google Scholar
[39] Choi W, Choudhary N, Han G H, Park J, Akinwande D, Lee Y H 2017 Mater. Today 20 116
Google Scholar
[40] Nayak A P, Bhattacharyya S, Zhu J, Liu J, Wu X, Pandey T, Jin C Q, Singh A K, Akinwande D, Lin J F 2014 Nat. Commun. 5 3731
Google Scholar
[41] Yuan Y F, Zhang Z T, Wang W K, Zhou Y H, Chen X L, An C, Zhang R R, Zhou Y, Gu C C, Li L, Li X J, Yang Z R 2018 Chin. Phys. B 27 066201
Google Scholar
[42] Wang P, Wang Y G, Qu J Y, Zhu Q, Yang W G, Zhu J L, Wang L P, Zhang W W, He D W, Zhao Y S 2018 Phys. Rev. B 97 235202
Google Scholar
[43] Zhang X T, Dong Q, Li Z L, Jing X L, Liu R, Liu B, Zhao T T, Lin T, Li Q J, Liu B B 2022 Mater. Res. Lett. 10 547
Google Scholar
[44] Wang N, Moutaabbid H, Feng Z B, Wang G Y, Zhang H W, Zhang G Z, Cao Z Y, Li Y W, Liu C L 2024 Appl. Phys. Lett. 125 093904
Google Scholar
[45] Aji Suleiman A, Zhou X, Zhai T Y 2021 J. Phys. D: Appl. Phys. 54 013002
Google Scholar
[46] Cheng P, Ye T T, Yan J W, Zhang K, Yao D Y, Pan X M, Wang Y F, Xue E, Su F H, Zhang J, Ding J F 2023 Adv. Opt. Mater. 11 2300316
Google Scholar
[47] Li Z, Li Q, Li H, Tian F, Du M, Fang S, Liu R, Zhang L, Liu B 2022 Small Methods 6 2201044
Google Scholar
[48] Yue L, Tian F Y, Liu R, Li Z L, Li R X, Li C Y, Li Y C, Yang D L, Li X D, Li Q J, Zhang L J, Liu B B 2025 Natl. Sci. Rev. 12 nwae419
Google Scholar
[49] Li Z L, Chen S X, Tian F Y, Fang S X, Li Q J, Du M Y, Yuan B, Kang L, Zhang L J, Liu B B 2024 Acta Mater. 278 120263
Google Scholar
[50] Xing S Y, Chen S X, Fang S X, Tian F Y, Li Z L, Jin X L, Li Q J, Liu B B 2024 Adv. Opt. Mater. 12 202401433
Google Scholar
[51] Li Z L, Li Q J, Li H Y, Yue L, Zhao D L, Tian F Y, Dong Q, Zhang X T, Jin X L, Zhang L J, Liu R, Liu B B 2021 Adv. Funct. Mater. 32 2108636
Google Scholar
[52] Lu R H, Li Z L, Yue L, Song L Y, Fang S X, Liu T Y, Shen P F, Li Q J, Jin X L, Liu B B 2024 Mater. Today Phys. 42 101381
Google Scholar
[53] Fang Y Q, Kong L P, Wang R Q, Zhang Z, Li Z Y, Wu Y H, Bu K J, Liu X Q, Yan S, Hattori T, Li N N, Li K, Liu G, Huang F Q 2023 Mater. Today Phys. 34 101083
Google Scholar
[54] Li Z L, Gao D X, Chen S X, Yue L, Yuan B, Shen X D, Kang L, Li Q J, Liu B B 2025 J. Mater. Chem. A 13 9801
Google Scholar
[55] Zhan X H, Jiang X M, Lv P, Xu J, Li F J, Chen Z L, Liu X B 2022 Angew. Chem. Int. Ed. 61 e202205491
Google Scholar
[56] Yan H C, Ou T J, Jiao H, Wang T Y, Wang Q L, Liu C L, Liu X Z, Han Y H, Ma Y Z, Gao C X 2017 J. Phys. Chem. Lett. 8 2944
Google Scholar
[57] Zhang H F, Yang J Z, Li Q J, You W W, Mao Y L 2023 Appl. Phys. Lett. 123 021107
Google Scholar
[58] Ou T J, Liu C L, Yan H C, Han Y H, Wang Q L, Liu X Z, Ma Y Z, Gao C X 2019 Appl. Phys. Lett. 114 062105
Google Scholar
[59] Jing X L, Zhou D L, Sun R, Zhang Y, Li Y C, Li X D, Li Q J, Song H W, Liu B B 2021 Adv. Funct. Mater. 31 2100930
Google Scholar
[60] Lü X J, Wang Y G, Stoumpos C C, Hu Q Y, Guo X F, Chen H J, Yang L X, Smith J S, Yang W G, Zhao Y S, Xu H W, Kanatzidis M G, Jia Q X 2016 Adv. Mater. 28 8663
Google Scholar
[61] Li Z L, Jia B X, Fang S X, Li Q J, Tian F Y, Li H Y, Liu R, Liu Y C, Zhang L J, Liu S Z, Liu B B 2022 Adv. Sci. 10 2205837
Google Scholar
[62] Yue L, Li Z L, Yu L C, Xu K B, Liu R, Li C Y, Li Y C, Yang D L, Li X D, Li Q J, Liu B B 2024 J. Am. Chem. Soc. 146 25245
Google Scholar
[63] Liu T B, Bu K J, Zhang Q, Zhang P J, Guo S H, Liang J Y, Wang B H, Zheng H Y, Wang Y G, Yang W G, Lü X J 2022 Materials 15 3845
Google Scholar
[64] Yu H, Shi R, Zhao Y, Bian T, Zhao Y, Zhou C, Waterhouse G I N, Wu L Z, Tung C H, Zhang T 2017 Adv. Mater. 29 1605148
Google Scholar
[65] Cheng P, Ye T, Yi M, Cheng W, Zhang L, Hong P, Sun C, Xie Y, Yao D, Pan X, Xue E, Zhang X, Shen C, Ding J 2025 Appl. Phys. Lett. 126 251902
Google Scholar
[66] Cheng P, Yao D Y, Yan J W, Ye T T, Liu H H, Zeng H, Pan X M, Zhang G Q, Ding J F 2023 Phys. Rev. Appl. 19 024048
Google Scholar
[67] Li Y Z, Yang X G, Lü C F, Qin J X, Zhang C, Zhang Z F, Chen X X, Zang J H, Lou Q, Dong L, Shan C X 2022 Carbon 199 453
Google Scholar
[68] Fang S X, Dong Q, Li Z L, Tian H, Liu T Y, Li R X, Jing X L, Yue L, Li C Y, Liu R, Li Q J, Liu B B 2023 J. Phys. Chem. C 127 8383
Google Scholar
[69] Fang S X, Li Q J, Li Z L, Dong Q, Jing X L, Li C Y, Li H Y, Liu B, Liu R, Liu B B 2022 Mater. Res. Lett. 11 134
Google Scholar
[70] Zhang G H, Zhang Q, Hu Q Y, Wang B H, Yang W G 2019 J. Mater. Chem. A 7 4019
Google Scholar
[71] Yue L, Cui D D, Tian F B, Liu S, Li Z L, Liu R, Yao Z, Li Y C, Yang D L, Li X D, Li Q J, Du Y, Liu B B 2024 Acta Mater. 263 119529
Google Scholar
[72] Zhang G H, Liu F L, Gu T T, Zhao Y S, Li N N, Yang W G, Feng S H 2017 Adv. Electron. Mater. 3 600498
Google Scholar
[73] Rahman S, Samanta S, Kuzmin A, Errandonea D, Saqib H, Brewe D L, Kim J, Lu J L, Wang L 2019 Adv. Sci. 6 1901132
Google Scholar
[74] Li C, Liu K, Peng S, Feng Q, Jiang D Q, Wen T, Xiao H, Yue B B, Wang Y G 2023 Chem. Mater. 35 1449
Google Scholar
[75] Li C, Liu K, Jiang D Q, Wen T, Chen E, Ma Y Y, Yue B B, Chu S Q, Wang Y G 2023 Chem. Mater. 35 4821
Google Scholar
[76] Li C Y, Liu R, Zhao T T, Li Z L, Yue L, Lin T, Zhang X T, Li Q J, Liu B B 2022 Appl. Phys. Lett. 121 042102
Google Scholar
[77] Ye M Y, Li Y, Tang R L, Liu S Y, Ma S L, Liu H Z, Tao Q, Yang B, Wang X, Yue H J, Zhu P W 2022 Nanoscale 14 2668
Google Scholar
[78] Wang L R, Wang K, Xiao G J, Zeng Q S, Zou B 2016 J. Phys. Chem. Lett. 7 5273
Google Scholar
[79] Wang L, Wang K, Zou B 2016 J. Phys. Chem. Lett. 7 2556
Google Scholar
[80] Wang F, Tan M P, Li C, Niu C Y, Zhao X 2019 Org. Electron. 67 89
Google Scholar
[81] Morana M, Malavasi L 2021 Sol. RRL 5 2100550
Google Scholar
[82] Zhang W W, Tang G, Sahoo M P K, Liang Y T, Zhang Y J 2022 Phys. Rev. B 105 075150
Google Scholar
[83] Mączka M, Dybała F, Herman A P, Paraguassu W, Barros dos Santos A J, Kudrawiec R 2024 RSC Adv. 14 38514
Google Scholar
[84] Feng H C, Zhang G Z, Feng Z B, Li Q, Wang G Y, Li Y W, Fang Y Y, Liu C L 2024 Appl. Phys. Lett. 124 043902
Google Scholar
Catalog
Metrics
- Abstract views: 1477
- PDF Downloads: 43
- Cited By: 0









DownLoad: