-
本文基于具有守恒性与相容性的N相相场模型, 发展了一种用于高效模拟N相非混溶不可压流体流动的正则化格子Boltzmann方法. 通过设计辅助矩, 该方法能够精确恢复二阶Allen-Cahn方程与修正的动量方程. 通过数值模拟三相液滴透镜铺展与三相Kelvin-Helmholtz不稳定性现象, 验证了所发展的N相正则化格子Boltzmann方法的正确性与有效性. 最后, 对三相Rayleigh-Taylor不稳定性进行了数值模拟与分析, 重点探究了雷诺数在$500\leqslant Re \leqslant 20000$范围内(特别是高雷诺数$Re=20000$工况下)相界面的演化过程, 定量分析了两个界面处气泡与尖钉的振幅以及无量纲化速度的变化规律.
-
关键词:
- 相场模型 /
- N相不可压流体 /
- 格子Boltzmann方法 /
- Rayleigh-Taylor不稳定性
This paper develops a regularized lattice Boltzmann method for efficiently simulating the flow of N-phase immiscible incompressible fluids based on the phase field model that satisfies conservation and compatibility. By designing auxiliary moments, this method can accurately recover the second-order Allen-Cahn equation and the modified momentum equation. The correctness and effectiveness of the developed N-phase regularized lattice Boltzmann method are validated through numerical simulations of three-phase liquid lens spreading and Kelvin-Helmholtz instability phenomena. Finally, numerical simulations and analyses of three-phase Rayleigh-Taylor instabilities (RTI) were conducted, focusing on the evolution of the phase interface within the Reynolds number range of $ 500 \leqslant Re \leqslant 20000 $ (particularly under high Reynolds number condition of $ Re = 20000 $). Quantitative analyses were performed on the amplitude variations of bubbles and spikes at the two interfaces, as well as the changes in dimensionless velocity. We found that as the Reynolds number increases, the phase interface curls up at multiple locations due to Kelvin-Helmholtz instability, making the fluid more prone to dispersion and fragmentation. This study also simulated the evolution of RTI under different interface perturbations. The results indicate that RTI first develops at the perturbed interface, and its evolution gradually triggers instability at another interface.-
Keywords:
- phase field model /
- N-phase incompressible fluid /
- lattice Boltzmann method /
- Rayleigh-Taylor instability
-
图 2 不同界面张力比下的三相液体透镜平衡态 (a) $ \sigma_{12}:\sigma_{13}:\sigma_{23}=1:1:1 $, (b) $ \sigma_{12}:\sigma_{13}:\sigma_{23}=1:\sqrt{2}:1 $, (c) $ \sigma_{12}:\sigma_{13}: $$ \sigma_{23}=1:\sqrt{3}:1 $
Fig. 2. The equilibrium shapes of liquid by ternary fluids: (a) $ \sigma_{12}:\sigma_{13}:\sigma_{23}=1:1:1 $, (b) $ \sigma_{12}:\sigma_{13}:\sigma_{23}=1:\sqrt{2}:1 $, (c) $ \sigma_{12}:\sigma_{13}:\sigma_{23}=1:\sqrt{3}:1 $.
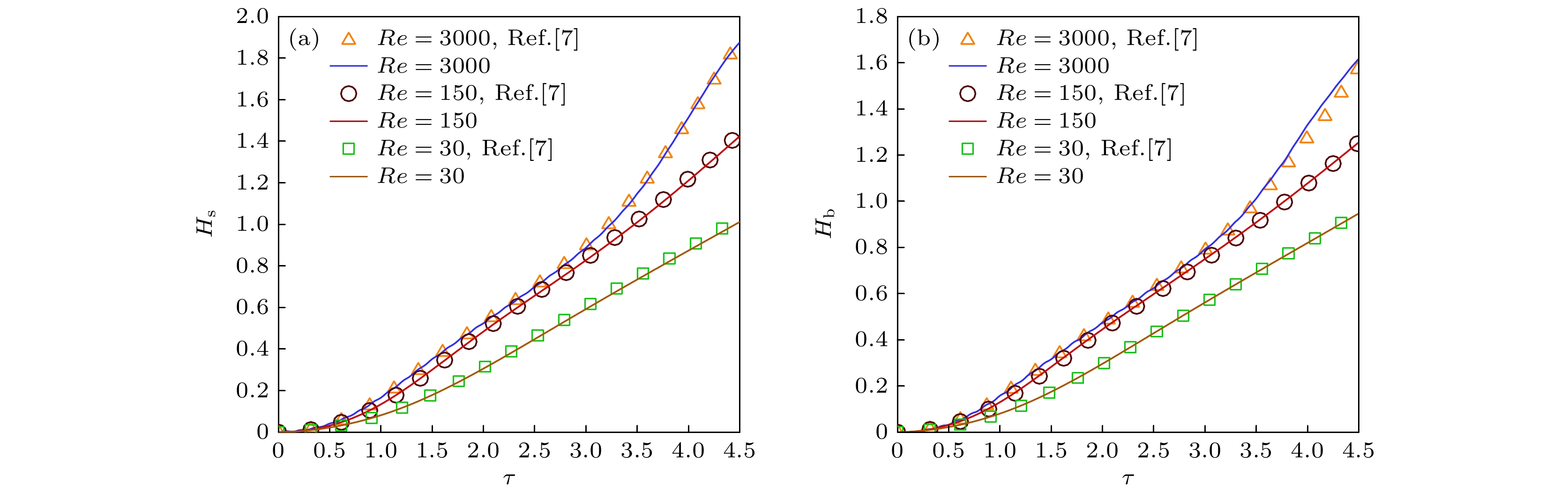
图 7 两相情况相界面扰动演化过程 (a) $ Re=30 $, (b) $ Re=150 $, (c) $ Re=3000 $, (d) $ Re=30 $[7], (e) $ Re=150 $[7], (f)$ Re=3000 $[7]
Fig. 7. Phase interface disturbance evolution process in two-phase situation: (a) $ Re=30 $, (b)$ Re=150 $, (c) $ Re=3000 $, (d) $ Re= $$ 30 $[7], (e) $ Re=150 $[7], (f) $ Re=3000 $[7].
表 1 不同表面张力比下液体透镜的长度d和高度$ h_1 $, $ h_2 $
Table 1. The length d, $ h_1 $ and $ h_2 $ at equilibrium state with different surface tension ratios.
$ \sigma_{12}:\sigma_{13}:\sigma_{23} $ 解析解 数值解 相对误差 d $ h_1 $ $ h_2 $ d $ h_1 $ $ h_2 $ d $ h_1 $ $ h_2 $ $ 1:1:1 $ 83.10 23.99 23.99 84.26 24.45 24.42 1.40% 1.92% 1.80% $ 1:\sqrt{2}:1 $ 72.67 36.34 15.05 74.02 37.03 15.34 1.86% 1.90% 1.93% $ 1:\sqrt{3}:1 $ 55.05 47.67 7.38 55.83 48.42 7.48 1.42% 1.57% 1.36% -
[1] Barber J L, Kadau K, Germann T C, Alder B J 2008 Eur. Phys. J. B 64 271
Google Scholar
[2] Celani A, Mazzino A, Bjorkholm J E, Vozella L 2006 Phys. Rev. Lett. 96 134504
Google Scholar
[3] Moin P 1991 Comput. Methods Appl. Mech. Eng. 87 329
Google Scholar
[4] 郭照立, 郑楚光 2009 格子 Boltzmann 方法的原理及应用 (北京: 科学出版社)
Guo Z L, Zheng C G 2009 Theory and Applications of Lattice Boltzmann Method (Beijing: Science Press
[5] 何雅玲, 王勇, 李庆 2009 格子 Boltzmann 方法的理论及应用 (北京: 科学出版社)
He Y L, Wang Y, Li Q 2009 Lattice Boltzmann Method: Theory and Applications (Beijing: Science Press
[6] He X Y, Chen S Y, Zhang R Y 1999 J. Comput. Phys. 152 642
Google Scholar
[7] Liang H, Shi B C, Guo Z L, Chai Z H 2014 Phys. Rev. E 89 053320
Google Scholar
[8] Liang H, Li Q X, Shi B C, Chai Z H 2016 Phys. Rev. E 93 033133
[9] Liang H, Xia Z H, Huang H W 2021 Phys. Fluids 33 082103
Google Scholar
[10] 李洋, 苏婷, 梁宏, 徐江荣 2022 物理学报 67 224701
Li Y, Su T, Liang H, Xu J R 2022 Acta Phys. Sin. 67 224701
[11] 马聪, 刘斌, 梁宏 2022 物理学报 71 044701
Google Scholar
Ma C, Liu B, Liang H 2022 Acta Phys. Sin. 71 044701
Google Scholar
[12] 李德梅, 赖惠林, 许爱国, 张广财, 林传栋, 甘延标 2018 物理学报 67 080501
Google Scholar
Li D M, Lai H L, Chen S Y, Zhang G C, Lin C D, Gan Y B 2018 Acta Phys. Sin. 67 080501
Google Scholar
[13] Zhang R Y, He X Y, Chen S Y 2000 Comput. Phys. Commun. 129 121
Google Scholar
[14] 胡晓亮, 梁宏, 王会利 2020 物理学报 69 044701
Google Scholar
Hu X L, Liang H, Wang H L 2020 Acta Phys. Sin. 69 044701
Google Scholar
[15] Zhan C J, Liu X, Chai Z H, Shi B C 2024 Commun. Comput. Phys 36 850
Google Scholar
[16] Kalantarpour R, Ebadi A, Hosseinalipour S M, Liang H 2020 Comput. & Fluids 204 104480
[17] Boyer F, Lapuerta C 2006 ESAIM: Math. Model. Numer. Anal. 40 653
Google Scholar
[18] Boyer F, Lapuerta C, Minjeaud S et al 2010 Transp. Porous Media 82 463
Google Scholar
[19] Dong S 2018 J. Comput. Phys. 361 1
Google Scholar
[20] Zheng L, Zheng S, Zhai Q L 2020 Phys. Rev. E 101 043302
Google Scholar
[21] Mirjalili S, Mani A 2024 J. Comput. Phys. 498 112657
Google Scholar
[22] Xia Q, Yang J X, Li Y B 2023 Phys. Fluids 35 012120
Google Scholar
[23] Latt J, Chopard B 2006 Math. Comput. Simulat. 72 165
Google Scholar
[24] Montessori A, Falcucci G, Prestininzi P, et al 2014 Phys. Rev. E 89 053317
Google Scholar
[25] Liu X, Chen Y, Chai Z H, Shi B C 2024 Phys. Rev. E 109 025301
Google Scholar
[26] Huang Y H, Chen X M, Chai Z H, Shi B C 2025 Adv. Appl. Math. Mech. 17 1370
Google Scholar
[27] 黄皓伟, 梁宏, 徐江荣 2021 物理学报 70 114701
Google Scholar
Huang H W, Liang H, Xu J R 2021 Acta Phys. Sin. 70 114701
Google Scholar
[28] 李春熠, 郭照立 2025 物理学报 74 064702
Google Scholar
Li C Y, Guo Z L 2025 Acta Phys. Sin. 74 064702
Google Scholar
[29] Huang Z Y, Lin G, Ardekani A M 2021 J. Comput. Phys. 434 110229
Google Scholar
[30] Mirjalili S, Mani A 2021 J. Comput. Phys. 426 109918
Google Scholar
[31] Qian Y H, d'Humières D, Lallemand P 1992 Europhys. Lett. 17 479
Google Scholar
[32] Yang X F, Zhao J, Wang Q, Shen J 2017 Math. Models Methods Appl. Sci. 27 1993
Google Scholar
[33] Hu Y, Li D C, He Q 2020 Int. J. Multiph. Flow 132 103432
Google Scholar
[34] Yuan X L, Shi B C, Zhan C J, Chai Z H 2022 Phys. Fluids 34 023311
Google Scholar
[35] Wu J W, Yang J X, Tan Z J 2022 Comput. Methods Appl. Mech. Eng. 398 115291
Google Scholar
[36] 章诗婷, 肖鸿威, 周锦翔, 牛小东 2022 空气动力学学报 40 75
Zhang S T, Xiao H W, Zhou H X, Niu X D 2022 Acta Aerodyn. Sin. 40 75
[37] Fakhari A, Lee T 2013 Phys. Rev. E 87 023304
Google Scholar
[38] Fakhari A, Geier M, Lee T 2016 J. Comput. Phys. 315 434
Google Scholar
[39] Zhou X, Dong B, Zhan C J, Li W Z 2020 Int. J. Aerosp. Eng. 2020 8885226
[40] Ramaprabhu P, Dimonte G, Lee T 2016 Phys. Rev. E 74 066308
计量
- 文章访问数: 469
- PDF下载量: 14
- 被引次数: 0








下载: