搜索

x

留言板

尊敬的读者、作者、审稿人, 关于本刊的投稿、审稿、编辑和出版的任何问题, 您可以本页添加留言。我们将尽快给您答复。谢谢您的支持!

姓名
邮箱
手机号码
标题
留言内容
验证码

量子点阵列几何构型对电子跃迁输运的调控

王博维 商姊萌 韩伟华

引用本文:
Citation:

量子点阵列几何构型对电子跃迁输运的调控

王博维, 商姊萌, 韩伟华
cstr: 32037.14.aps.74.20250784

Transport of electron hopping regulated by geometric configuration of quantum-dot arrays

WANG Bowei, SHANG Zimeng, HAN Weihua
cstr: 32037.14.aps.74.20250784
Article Text (iFLYTEK Translation)
PDF
HTML
导出引用
  • 硅基纳米结构中杂质原子量子点阵列因其在量子计算、量子模拟等领域的巨大应用潜力而备受关注. 基于线形、环形和网状等不同几何结构排列的量子点阵列因拓扑特性的差异以及长程库仑相互作用的影响, 展现出各异的电子输运特性. 同时, 通过调控电子隧穿和波函数相位相干性, 可以深刻影响电子的跃迁输运行为. 本文致力于构建硅基纳米结构中杂质原子量子点阵列的通用Fermi-Hubbard模型, 探讨量子点分布的几何构型对电子的跃迁输运行为的调控机制. 特别以环形量子点阵列为例, 深入分析了不同几何结构和电子跃迁模式下的电子添加能谱与电导特性, 揭示了在位电子库仑排斥能、位间电子库仑排斥能、电子-离子实长程库仑吸引能与量子点耦合对电子跃迁行为的影响, 为理解量子点阵列几何分布对跳跃电子输运特性的调控机制提供了基本理论框架.
    Dopant-induced quantum dot arrays in silicon-based nanostructures have received much attention due to their great potential applications in fields such as quantum computing and quantum simulation. When quantum dots are arranged in different geometric configurations such as linear, annular, or grid shapes, the differences in their inherent topological properties will lead to significantly different spatial distributions of the Coulomb interaction potential. The potential field distribution directly affects the phase coherence of electron wavefunctions, thereby regulating the dynamic behaviors of electrons such as electron tunneling and hopping between quantum dots, and greatly influencing the electron transport properties in the system.Our study aims to establish a basic theoretical framework to clarify the regulation mechanism of quantum dot geometric configurations on electron hopping transport. Therefore, we construct a generalized Fermi-Hubbard model for silicon-based dopant-induced quantum dot arrays. The model defines the distance between quantum dots through an effective Euclidean distance matrix ( D ), which uniquely determines the geometric shape of the array, and defines the allowed electron hopping modes through an adjacency matrix ( A ). Using the framework and exact diagonalization method, we perform detailed numerical simulations on the electron transport properties in the traditional unit cell of two-dimensional ordered distribution dopant-induced quantum dot arrays. Generally, the primitive unit of a two-dimensional orderly distributed dopant-induced quantum dot array is a regular polygon that satisfies specific translational and rotational symmetries. We thereby refer to the quantum dot arrays distributed according to regular polygons as annular arrays.The geometric features of annular quantum dot arrays and the electron hopping modes including nearest-neighbor hopping (NNH), next-nearest-neighbor hopping (NNNH) and long-range hopping (LRH), exhibit significant regulation of the electron addition energy and quantum conductance. The regulation arises from interactions of key energy parameters, including coupling strength (t), on-site Coulomb repulsion (U) and inter-site Coulomb repulsion (W). In the electron addition energy spectrum, such a regulation is manifested in two aspects: energy band broadening and Coulomb gap size. Band broadening is co-regulated by t and W. Under weak coupling conditions, the broadening Δt induced by coupling strength is proportional to t, with its proportional coefficient increasing with the number of hopping paths (LRH > NNNH > NNH). The broadening ΔW caused by inter-site Coulomb repulsion is proportional to W, with the proportional coefficient being β, which is a geometry-dependent correlation broadening coefficient. In multi-site annular arrays, β exhibits a logarithmic relationship with the site number N. The size of Coulomb gap is co-influenced by U, t and W. The competition between U and W determines the electron configuration mode (dominated by single-electron occupation of sites or double-electrons occupation of spaced sites), with a critical value α for electron configuration reconstruction that causes a change in electron configuration across the threshold. When U/W > α, single-electron occupation dominates, and the gap is determined by the competition between U and t; when U/W < α, double-electrons occupation dominates, the gap expands under the influence of W, accompanied by the formation of sub-bands.In the quantum conductance spectrum, regulation is reflected by the distribution of conductance peak intensity. Geometric configurations significantly affect peak intensity distribution. Linear arrays exhibit concentrated peak intensities due to edge states formed by open boundaries, while annular arrays with periodic boundaries and no edge states show more uniform peak distributions. Additionally, in annular arrays, the electron transport direction is non-collinear with the inter-site repulsion direction, endowing them with stronger robustness against transport inhibition induced by W. The influence of hopping modes is twofold. More hopping paths (LRH > NNNH > NNH) result in more non-zero hopping matrix elements, which causes higher average conductance. Meanwhile, hopping paths affect the phase coherence of wavefunctions, modulating the intensity of individual conductance peaks and forming distinct distribution.In conclusion, we establish a theoretical framework to clarify the physical mechanism, in which the geometric configurations and electron hopping modes of silicon-based dopant-induced quantum dot arrays regulate electron transport properties through synergistic interactions with key energy parameters (t, U, W). Electron addition energy spectra and quantum conductance spectra reveal the regulatory rules of these factors on electron transport behaviors, providing a theoretical guidance for optimally designing silicon-based quantum devices.
      通信作者: 韩伟华, weihua@semi.ac.cn
    • 基金项目: 国家自然科学基金(批准号: 62374157)资助的课题.
      Corresponding author: HAN Weihua, weihua@semi.ac.cn
    • Funds: Project supported by the National Natural Science Foundation of China (Grant No. 62374157).
    [1]

    Prati E, Hori M, Guagliardo F, Ferrari G, Shinada T 2012 Nat. Nanotechnol. 7 443Google Scholar

    [2]

    Wang X Q, Khatami E, Fei F, Wyrick J, Namboodiri P, Kashid R, Rigosi A F, Bryant G, Silver R 2022 Nat. Commun. 13 6824Google Scholar

    [3]

    Hubbard J 1963 Proc. Ro. Soc. London A 276 238Google Scholar

    [4]

    Beenakker C W J 1991 Phys. Rev. B 44 1646Google Scholar

    [5]

    Chen G, Klimeck G, Datta S, Chen G, Goddard W A 1994 Phys. Rev. B 50 8035Google Scholar

    [6]

    Yu Z M, Johnson A T, Heinzel T 1998 Phys. Rev. B 58 13830Google Scholar

    [7]

    Le N H, Fisher A J, Ginossar E 2017 Phys. Rev. B 96 245406Google Scholar

    [8]

    Wang S S, Li K, Dai Y M, Wang H H, Zhang Y C, Zhang Y Y 2023 Sci. Rep. 13 5763Google Scholar

    [9]

    Devi S, Ahluwalia P K, Chand S 2020 Pramana 94 60Google Scholar

    [10]

    Gamble J K, Jacobson N T, Nielsen E, Baczewski A D, Moussa J E, Montaño I, Muller R P 2015 Phys. Rev. B 91 235318Google Scholar

    [11]

    Hu X, Koiller B, Das Sarma S 2005 Phys. Rev. B 71 235332Google Scholar

    [12]

    Weber B, Mahapatra S, Ryu H, Lee S, Fuhrer A, Reusch T C G, Thompson D L, Lee W C T, Klimeck G, Hollenberg L C L, Simmons M Y 2012 Science 335 64Google Scholar

    [13]

    Voisin B, Bocquel J, Tankasala A, Usman M, Salfi J, Rahman R, Simmons M, Hollenberg L, Rogge S 2020 Nat. Commun. 11 6124Google Scholar

    [14]

    Slater J C, Koster G F 1954 Phys. Rev. 94 1498Google Scholar

    [15]

    Grzybowski P R, Chhajlany R W 2012 Phys. Status Solidi B 249 2231Google Scholar

    [16]

    Janod E, Tranchant J, Corraze B, Querré M, Stoliar P, Rozenberg M, Cren T, Roditchev D, Phuoc V T, Besland M P 2015 Adv. Funct. Mater. 25 6287Google Scholar

    [17]

    Morgan N Y, Abusch-Magder D, Kastner M A, Takahashi Y, Tamura H, Murase K 2001 J. Appl. Phys. 89 410Google Scholar

    [18]

    Cha M H, Hwang J 2020 Sci. Rep. 10 16701Google Scholar

    [19]

    Ochoa M A, Liu K, Zieliński M, Bryant G 2024 Phys. Rev. B 109 205412Google Scholar

    [20]

    Gerace D, Pavarini E, Andreani L C 2002 Phys. Rev. B 65 155331Google Scholar

    [21]

    Yi K S, Trivedi K, Floresca H C, Yuk H, Hu W, Kim M J 2011 Nano Lett. 11 5465Google Scholar

  • 图 1  硅基杂质原子晶体管结构示意

    Fig. 1.  The schematic structure of silicon-based dopant atom transistor.

    图 2  (a) 环形阵列杂质原子分布; (b) 正多边形的几何关系

    Fig. 2.  (a) The distribution of annular array dopant atoms; (b) the geometric relationships of regular polygons.

    图 3  (a) 束缚在硅中孤立P杂质原子上的电子基态1sA1多谷耦合波函数; (b) 沿[100]晶向排列的杂质原子的耦合强度tij随杂质原子间间距dij的关系; (c) 沿[110]晶向排列的杂质原子的耦合强度tij随杂质原子间间距dij的关系; (d) 沿[100]晶向排列的杂质原子的长程库仑吸引能Vij位间电子排斥能Wij随杂质原子间间距dij的关系; (e) 沿[110]晶向排列的杂质原子的长程库仑吸引能Vij位间电子排斥能Wij随杂质原子间间距dij的关系

    Fig. 3.  (a) The ground state 1sA1 multi-valley coupled wavefunction of the electron bound to isolated P donor atoms in silicon; (b) the relationship between the coupling strength tij of dopant atoms arranged along the [100] crystal direction and the distance dij between dopant atoms; (c) the relationship between the coupling strength tij of dopant atoms arranged along the [110] crystal direction and the distance dij between dopant atoms; (d) the relationship between the long-range Coulomb attraction energy Vij, the inter-site electron repulsion energy Wij and the distance dij between impurity atoms arranged along the [100] crystal direction; (e) the relationship between the long-range Coulomb attraction energy Vij, the inter-site electron repulsion energy Wij and the distance dij between impurity atoms arranged along the [110] crystal direction.

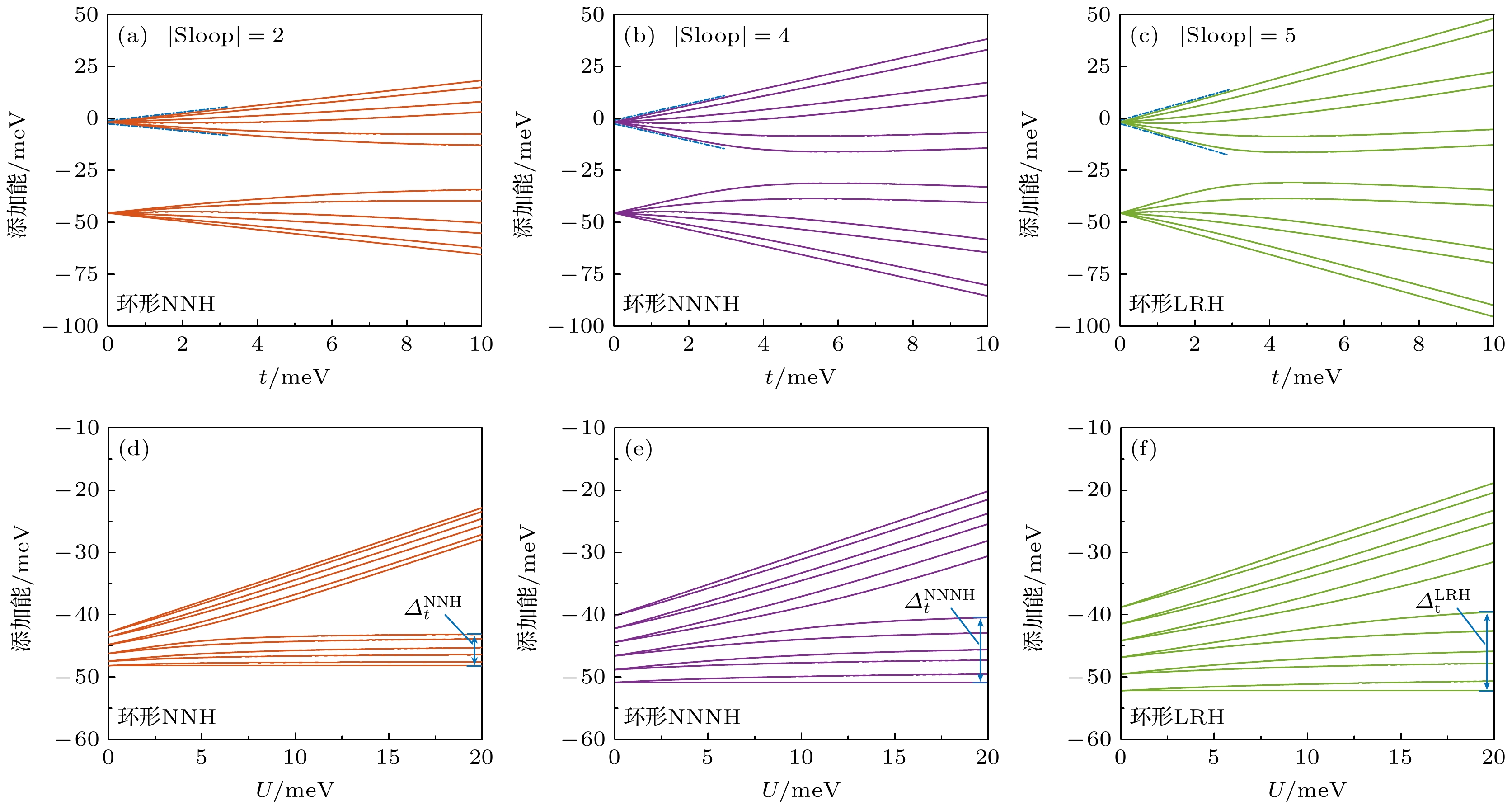
    图 4  环形阵列($N = 6$)的电子添加能, 红色为NNH模型、紫色为NNNH模型、绿色为LRH模型 (a)—(c) 耦合强度对阵列电子添加能的影响($U = 43.86\ {\text{meV}}$); (d)—(f) 位间电子排斥能对于阵列电子添加能的影响($t = 1.34\ {\text{meV}}$)

    Fig. 4.  The addition energy spectra of a 6-site annular array with the red representing NNH model, the purple representing NNNH model, and the green representing LRH model: (a)–(c) the influence of coupling strength tij on addition energy spectra of the array; (d)–(f) the influence of inter-site Coulomb interaction U on addition energy spectra of the array.

    图 5  最近邻库仑排斥能W对6位点环形阵列电子添加能谱的调制作用 (a) NNH模型; (b) NNNH模型; (c) LRH模型

    Fig. 5.  The modulation effect of the nearest-neighbor Coulomb repulsion energy W on the electron addition energy spectrum of a 6-site annular array: (a) NNH model; (b) NNNH model; (c) LRH model.

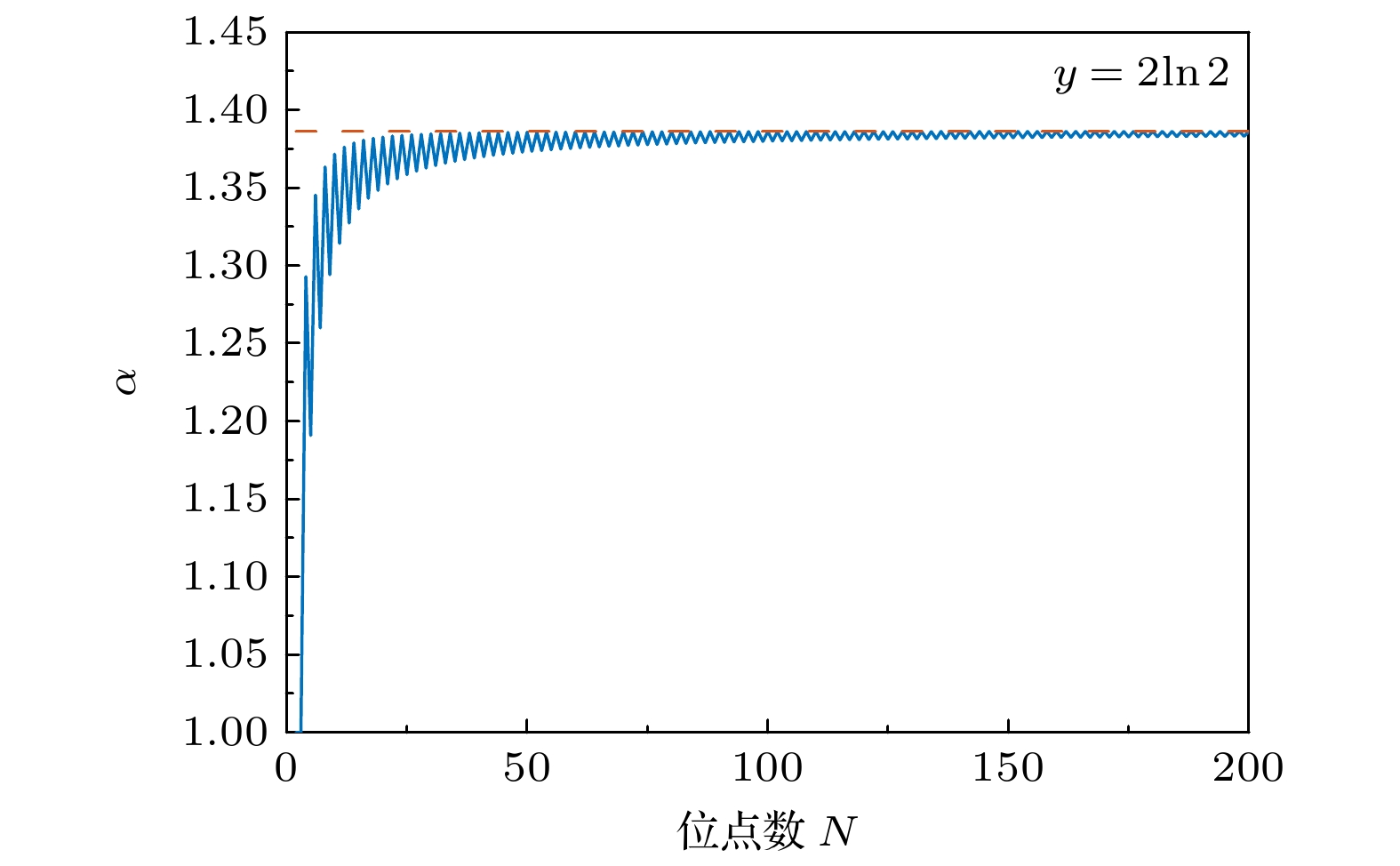
    图 6  电子排布重构临界点$\alpha $随位点数N的变化关系

    Fig. 6.  Relationship between the criticality index α of electronic configuration restruction and the site number N

    图 7  环形阵列中关联展宽系数$\beta $随位点数N的关系

    Fig. 7.  Relationship between the correlation broadening coefficient β and the number of sites N in an annular array.

    图 8  杂质原子阵列的电导特性对能量参数的响应规律 (a)—(d) 耦合强度t对电导特性的影响; (e)—(h) 在位电子排斥能U对电导特性的影响; (i)—(l) 最近邻位间电子排斥能W对电导特性的影响; (a), (e), (i) 仅存在最近邻跃迁的一维阵列; (b), (f), (j) NNH环形阵列; (c), (g), (k) NNNH环形阵列; (d), (h), (l) LRH环形阵列

    Fig. 8.  The response of conductance characteristics to energy parameters in dopant-atom arrays: (a)–(d) The influence of coupling strength t on conductance; (e)–(h) the influence of on-site electron repulsion energy U on conductance; (i)–(l) the influence of nearest-neighbor inter-site electron repulsion energy W on conductance; (a), (e), (i) An 1D dopant-atom array with only nearest-neighbor hopping electrons; (b), (f), (j) NNH annular array; (c), (g), (k) NNH annular array; (d), (h), (l) LRH annular array.

    图 9  不同杂质原子阵列的温度依赖的电导特性 (a)—(d) 无位间电子排斥能和长程库仑吸引能体系; (e)—(h) 存在位间电子排斥能和长程库仑吸引能体系; (a), (e) 仅存在最近邻跃迁的一维阵列; (b), (f) NNH环形阵列; (c), (g) NNNH环形阵列; (d), (h) LRH环形阵列

    Fig. 9.  Temperature-dependent conductance characteristics of the dopant-atom arrays: (a)–(d) Systems without inter-site repulsion Wij and long-range attraction Vij; (e)–(h) systems with inter-site repulsion Wij and long-range attraction Vij; (a), (e) An 1D dopant-atom array with only nearest-neighbor hopping electrons; (b), (f) NNH annular array; (c), (g) NNNH annular array; (d), (h) LRH annular array.

    图 10  电子添加能能级间距(电导子峰间距)$\varDelta {E_{{\text{ad}}}}$随最近邻杂质原子间距d的变化关系 (a) NNH模型; (b) NNNH模型; (c) LRH模型

    Fig. 10.  Dependence of electron addition energy level spacing $\varDelta {E_{{\text{ad}}}}$(corresponding to conductance sub-peak spacing) spacing on nearest-neighbor dopant-induced separation d: (a) NNH model; (b) NNNH model; (c) LRH model.

  • [1]

    Prati E, Hori M, Guagliardo F, Ferrari G, Shinada T 2012 Nat. Nanotechnol. 7 443Google Scholar

    [2]

    Wang X Q, Khatami E, Fei F, Wyrick J, Namboodiri P, Kashid R, Rigosi A F, Bryant G, Silver R 2022 Nat. Commun. 13 6824Google Scholar

    [3]

    Hubbard J 1963 Proc. Ro. Soc. London A 276 238Google Scholar

    [4]

    Beenakker C W J 1991 Phys. Rev. B 44 1646Google Scholar

    [5]

    Chen G, Klimeck G, Datta S, Chen G, Goddard W A 1994 Phys. Rev. B 50 8035Google Scholar

    [6]

    Yu Z M, Johnson A T, Heinzel T 1998 Phys. Rev. B 58 13830Google Scholar

    [7]

    Le N H, Fisher A J, Ginossar E 2017 Phys. Rev. B 96 245406Google Scholar

    [8]

    Wang S S, Li K, Dai Y M, Wang H H, Zhang Y C, Zhang Y Y 2023 Sci. Rep. 13 5763Google Scholar

    [9]

    Devi S, Ahluwalia P K, Chand S 2020 Pramana 94 60Google Scholar

    [10]

    Gamble J K, Jacobson N T, Nielsen E, Baczewski A D, Moussa J E, Montaño I, Muller R P 2015 Phys. Rev. B 91 235318Google Scholar

    [11]

    Hu X, Koiller B, Das Sarma S 2005 Phys. Rev. B 71 235332Google Scholar

    [12]

    Weber B, Mahapatra S, Ryu H, Lee S, Fuhrer A, Reusch T C G, Thompson D L, Lee W C T, Klimeck G, Hollenberg L C L, Simmons M Y 2012 Science 335 64Google Scholar

    [13]

    Voisin B, Bocquel J, Tankasala A, Usman M, Salfi J, Rahman R, Simmons M, Hollenberg L, Rogge S 2020 Nat. Commun. 11 6124Google Scholar

    [14]

    Slater J C, Koster G F 1954 Phys. Rev. 94 1498Google Scholar

    [15]

    Grzybowski P R, Chhajlany R W 2012 Phys. Status Solidi B 249 2231Google Scholar

    [16]

    Janod E, Tranchant J, Corraze B, Querré M, Stoliar P, Rozenberg M, Cren T, Roditchev D, Phuoc V T, Besland M P 2015 Adv. Funct. Mater. 25 6287Google Scholar

    [17]

    Morgan N Y, Abusch-Magder D, Kastner M A, Takahashi Y, Tamura H, Murase K 2001 J. Appl. Phys. 89 410Google Scholar

    [18]

    Cha M H, Hwang J 2020 Sci. Rep. 10 16701Google Scholar

    [19]

    Ochoa M A, Liu K, Zieliński M, Bryant G 2024 Phys. Rev. B 109 205412Google Scholar

    [20]

    Gerace D, Pavarini E, Andreani L C 2002 Phys. Rev. B 65 155331Google Scholar

    [21]

    Yi K S, Trivedi K, Floresca H C, Yuk H, Hu W, Kim M J 2011 Nano Lett. 11 5465Google Scholar

  • [1] 王东升. 通用量子计算模型: 一个资源理论的视角. 物理学报, 2024, 73(22): 220302. doi: 10.7498/aps.73.20240893
    [2] 孟腾飞, 田剑锋, 周瑶瑶. 准Λ型四能级系统选择反射光谱. 物理学报, 2020, 69(1): 014206. doi: 10.7498/aps.69.20191099
    [3] 程景, 单传家, 刘继兵, 黄燕霞, 刘堂昆. Tavis-Cummings模型中的几何量子失协特性. 物理学报, 2018, 67(11): 110301. doi: 10.7498/aps.67.20172699
    [4] 李群, 屈媛, 班士良. 缓冲层对量子阱二能级系统中电子子带间跃迁光吸收的影响. 物理学报, 2017, 66(7): 077301. doi: 10.7498/aps.66.077301
    [5] 胡锐, 范志强, 张振华. 三角形石墨烯量子点阵列的磁电子学特性和磁输运性质. 物理学报, 2017, 66(13): 138501. doi: 10.7498/aps.66.138501
    [6] 郭红. Bose-Hubbard模型中系统初态对量子关联的影响. 物理学报, 2015, 64(22): 220301. doi: 10.7498/aps.64.220301
    [7] 罗晓华. Schrödinger方程的一般解与超晶格多量子阱的电子跃迁. 物理学报, 2014, 63(1): 017302. doi: 10.7498/aps.63.017302
    [8] 任学藻, 贺树, 丛红璐, 王旭文. 两格点两电子Hubbard-Holstein模型极化子的量子纠缠特性. 物理学报, 2012, 61(12): 124207. doi: 10.7498/aps.61.124207
    [9] 伍冬兰, 谢安东, 万慧军, 阮文. 聚合型硼氢化物(BH3)n(n=13)的几何结构与光谱的研究. 物理学报, 2011, 60(10): 103101. doi: 10.7498/aps.60.103101
    [10] 杨晓杰, 王 青, 马文全, 陈良惠. InGaAs/GaAs量子点阵列中的能级计算. 物理学报, 2007, 56(9): 5429-5435. doi: 10.7498/aps.56.5429
    [11] 阎世英, 马美仲, 朱正和. B2H6分子的几何构型. 物理学报, 2005, 54(7): 3106-3110. doi: 10.7498/aps.54.3106
    [12] 徐秀莲, 王锋, 张丰收, 曾祥华. 几何构型不同的Na团簇碰撞动力学研究. 物理学报, 2002, 51(1): 31-35. doi: 10.7498/aps.51.31
    [13] 沈汉鑫, 朱梓忠, 黄美纯. NiAl的几何与电子结构. 物理学报, 2001, 50(1): 95-98. doi: 10.7498/aps.50.95
    [14] 汪蓉, 朱正和, 杨传路. C42+的几何构型和Jahn Teller效应. 物理学报, 2001, 50(9): 1675-1680. doi: 10.7498/aps.50.1675
    [15] 赖云忠, 李卫东, 梁九卿. Kerr介质中电子的绝热跃迁转移现象和光场的量子统计性质. 物理学报, 1998, 47(9): 1489-1497. doi: 10.7498/aps.47.1489
    [16] 应和平, 季达人, 王志坚. 量子Monte Carlo簇团迭代法关于蜂窝状点阵QHAF模型研究. 物理学报, 1995, 44(11): 1839-1846. doi: 10.7498/aps.44.1839
    [17] 魏国柱. Hubbard-Hirsch模型中的电子相关效应. 物理学报, 1994, 43(11): 1828-1832. doi: 10.7498/aps.43.1828
    [18] 魏国柱, 聂惠权, 张开义. Hubbard模型的局域方法近似. 物理学报, 1988, 37(1): 87-94. doi: 10.7498/aps.37.87
    [19] 杨奇斌, 叶恒强. 点阵平面几何学. 物理学报, 1980, 29(8): 1033-1038. doi: 10.7498/aps.29.1033
    [20] 黄昆. 晶体中电子跃迁的理论. 物理学报, 1958, 14(3): 191-203. doi: 10.7498/aps.14.191
计量
  • 文章访问数:  839
  • PDF下载量:  29
  • 被引次数: 0
出版历程
  • 收稿日期:  2025-06-18
  • 修回日期:  2025-08-05
  • 上网日期:  2025-08-12
  • 刊出日期:  2025-10-05

/

返回文章
返回