搜索

x

留言板

尊敬的读者、作者、审稿人, 关于本刊的投稿、审稿、编辑和出版的任何问题, 您可以本页添加留言。我们将尽快给您答复。谢谢您的支持!

姓名
邮箱
手机号码
标题
留言内容
验证码

全介质超表面连续域束缚态多参数调控与灵敏度调谐

龙鑫琳 杨惟智 陈智全 许辉 侯海良 张小姣 董玉兰 贺龙辉

引用本文:
Citation:

全介质超表面连续域束缚态多参数调控与灵敏度调谐

龙鑫琳, 杨惟智, 陈智全, 许辉, 侯海良, 张小姣, 董玉兰, 贺龙辉
cstr: 32037.14.aps.74.20250859

Multi-parameter control and sensitivity tuning of all-dielectric bound states in the continuum metasurface

LONG Xinlin, YANG Weizhi, CHEN Zhiquan, XU Hui, HOU Hailiang, ZHANG Xiaojiao, DONG Yulan, HE Longhui
cstr: 32037.14.aps.74.20250859
Article Text (iFLYTEK Translation)
PDF
HTML
导出引用
  • 基于连续域束缚态(bound states in the continuum, BIC)的全介质超表面因其具有超高品质因子(quality factor, Q), 能有效地增强光与物质的相互作用, 而被广泛应用于微纳生物传感领域. 本文提出了一种基于BIC的矩形全介质双聚体超表面, 并采用有限元方法进行仿真模拟以及使用时域耦合模进行理论分析. 针对超表面中两长方对的角度、折射率、宽度和高度等参数, 分别设计了4种系统破缺方式, 均实现了对称保护型BIC (symmetry-protected BIC, SP-BIC)向准BIC (quasi-BIC, QBIC)模式的转变, 获得的最大Q因子高达1.75×104. 引入相同的不对称参数后, 4种调控方式下的超表面灵敏度几乎处于同一水平, 而传感品质因数(figure of merit, FOM)的差异可达103数量级. 在同一调控方式下, 当破缺参数绝对值相等时, 正向破缺的超表面的灵敏度和FOM都高于负向破缺. 经优化调节后, 超表面的灵敏度和FOM分别达到了395 nm/RIU和3502 RIU–1, 其综合性能指标已优于大部分现有研究. 该超表面为生物、医疗领域的传感检测提供了有效手段, 同时该研究为基于BIC的折射率传感器的设计提供了新思路.
    All-dielectric metasurfaces based on bound states in the continuum (BIC) are widely used in the field of micro-nano biosensors due to their ultra-high quality factor (Q), which can effectively enhance the interaction between light and matter. In this paper, a rectangular all-dielectric dimer metasurface based on BIC is proposed. The finite element method is used for simulation, and time-domain coupled mode theory is employed for theoretical analysis. For the parameters of the two rectangular components in the metasurface, such as their angles, refractive indices, widths, and heights, four different symmetry-breaking modes are designed. All of these modes realize the transformation from symmetry-protected BIC (SP-BIC) to quasi-BIC (QBIC), with the maximum Q factor reaching 1.75 × 104. These four breaking methods cover the current common SP-BIC breaking methods and provide choice for designing devices. After introducing the same asymmetric parameters, the QBIC resonance excited by the metasurface under the four control modes is dominated by magnetic dipoles. The sensitivity of the designed sensor device is almost at the same level, while the difference in figure of merit (FOM) can reach three orders of magnitude. In addition, under the same control mode, the sensitivity and FOM of the metasurface with positive breaking are higher than those with negative breaking when the absolute values of the breaking parameters are equal. After optimization and adjustment, the sensitivity and FOM of the metasurface reach 395 nm/RIU and 3502 RIU–1, respectively, and its comprehensive performance index is better than those in most of existing studies. The metasurface provides an effective means for sensing detection in the biological and medical fields. At the same time, this research offers a new insight into the design of refractive index sensors based on BIC.
      通信作者: 陈智全, zqchen0106@qq.com
    • 基金项目: 湘江实验室重点项目(批准号: 23XJ02001)、湖南省自然科学基金(批准号: 2023JJ40218, 2022JJ30201)、长沙市自然科学基金(批准号: kq2202298)、湖南省教育厅资助科研项目(批准号: 21B0574, 21B0556)和湖南工商大学研究生科研创新项目(批准号: CX2024YB007)资助的课题.
      Corresponding author: CHEN Zhiquan, zqchen0106@qq.com
    • Funds: Project supported by the Key Project of Xiangjiang Laboratory, China (Grant No. 23XJ02001), the Natural Science Foundation of Hunan Province, China (Grant Nos. 2023JJ40218, 2022JJ30201), the Changsha Municipal Natural Science Foundation, China (Grant No. kq2202298), the Scientific Research Foundation of Hunan Provincial Education Department, China (Grant Nos. 21B0574, 21B0556), and the Hunan University of Technology and Business Graduate Scientific Research Innovation Project, China (Grant No. CX2024YB007).
    [1]

    Liu Z C, Guo T B, Tan Q, Hu Z P, Sun Y W, Fan H X, Zhang Z, Jin Y, He S L 2023 Nano Lett. 23 10441Google Scholar

    [2]

    Chen Z Q, Li P, Zhang S, Chen Y Q, Liu P, Duan H G 2019 Nanotechnology 30 335201Google Scholar

    [3]

    成昱轩, 许辉, 于鸿飞, 黄林琴, 谷志超, 陈玉峰, 贺龙辉, 陈智全, 侯海良 2025 物理学报 74 067801Google Scholar

    Cheng Y X, Xu H, Yu H F, Huang L Q, Gu Z C, Chen Y F, He L H, Chen Z Q, Hou H L 2025 Acta Phys. Sin. 74 067801Google Scholar

    [4]

    Yang H, Peng M Y, He H R, et al. 2025 Laser Photonics Rev. 19 2401398Google Scholar

    [5]

    He H R, Yu D, Gu Y J, et al. 2025 Laser Photonics Rev. e00564Google Scholar

    [6]

    Yang H, Ou K, Liu Q, Peng M Y, Xie Z W, Jiang Y T, Jia H H, Cheng X B, Jing H, Hu Y Q 2025 Light: Sci. Appl. 14 63Google Scholar

    [7]

    Yang H, Ou K, Wan H Y, Hu Y Q, Wei Z Y, Jia H H, Cheng X B, Liu N, Duan H G 2023 Mater. Today 67 424Google Scholar

    [8]

    Marinica D C, Borisov A G, Shabanov S V 2008 Phys. Rev. Lett. 100 183902Google Scholar

    [9]

    Li Z L, Nie G Z, Wang J H, Zhong F, Zhan S P 2024 Phys. Rev. Appl. 21 034039Google Scholar

    [10]

    Sadrieva Z F, Sinev I S, Koshelev K L, et al. 2017 ACS Photonics 4 723Google Scholar

    [11]

    Plotnik Y, Peleg O, Dreisow F, Heinrich M, Nolte S, Szameit A, Segev M 2011 Phys. Rev. Lett. 107 183901Google Scholar

    [12]

    Cong L Q, Singh R 2019 Adv. Opt. Mater. 7 1900383Google Scholar

    [13]

    Jahani Y, Arvelo E R, Yesilkoy F, et al. 2021 Nat. Commun. 12 3246Google Scholar

    [14]

    Song S Z, Yu S L, Li H, Zhao T G 2022 Laser Phys. 32 025403Google Scholar

    [15]

    Chen W J, Li M, Zhang W H, Chen Y H 2023 Nanophotonics 12 1147Google Scholar

    [16]

    Zhao J J, Fan X Y, Fang W J, Xiao W X, Sun F X, Li C C, Wei X, Tao J F, Wang Y L, Kumar S 2024 Sensors 24 3943Google Scholar

    [17]

    Li Z L, Xie M X, Nie G Z, Wang J H, Huang L J 2023 J. Phys. Chem. Lett. 14 10762Google Scholar

    [18]

    Zhang T, Huo Y P, Xu C M, Li J M, Zhang Z L 2024 J. Opt. Soc. Am. B: Opt. Phys. 42 50Google Scholar

    [19]

    刘会刚, 张翔宇, 南雪莹, 赵二刚, 刘海涛 2024 物理学报 73 047802Google Scholar

    Liu H G, Zhang X Y, Nan X Y, Zhao E G, Liu H T 2024 Acta Phys. Sin. 73 047802Google Scholar

    [20]

    Li N, Chen H, Zhao Y X, Wang Y T, Su Z X, Liu Y, Huang L L 2025 Nanophotonics 14 485Google Scholar

    [21]

    Xu Y L, Yang Y Y, Li H X, Ren L R 2025 J. Mater. Chem. C 13 1747Google Scholar

    [22]

    Yang N N, Lang T T, Cen W Y, Yu Z Y, Xiao M Y, Zhang J H, Qiu Y Q 2023 J. Opt. Soc. Am. B: Opt. Phys. 40 366Google Scholar

    [23]

    Liu J K, Dai H X, Ju J Q, Cheng K 2024 Phys. Chem. Chem. Phys. 26 9462Google Scholar

    [24]

    Liu J K, Lu Z N, Dai H X, Ju J Q, Zhao H W, Cao K Q 2024 J. Opt. 27 015001Google Scholar

    [25]

    Liu W J, Liang Z Z, Qin Z, Shi X Y, Yang F M, Meng D J 2022 Results Phys. 32 105125Google Scholar

    [26]

    Yu S L, Wang Y S, Gao Z, Li H, Song S Z, Yu J G, Zhao T G 2022 Opt. Express 30 4084Google Scholar

    [27]

    Gao J Y, Liu J, Yang H M, Liu H S, Zeng G H, Huang B 2023 Opt. Express 31 44703Google Scholar

    [28]

    Wu Q H, Wang J, Wang W, Lin J, Jin P, Liu S T, Zhou K Y 2024 Opt. Lett. 49 4186Google Scholar

    [29]

    陈智全, 阳弘黎, 龙鑫琳, 肖云鹏, 贺龙辉, 聂国政, 侯海良, 鲁潇, 许辉 2025 中国科学: 物理学 力学 天文学 55 264212Google Scholar

    Chen Z Q, Yang H L, Long X L, Xiao Y P, He L H, Nie G Z, Hou H L, Lu X, Xu H 2025 Sci. China-Phys. Mech. Astron. 55 264212Google Scholar

    [30]

    Wang P F, He F Y, Liu J J, Shu F Z, Fang B, Lang T T, Jing X F, Hong Z 2022 Photonics Res. 10 2743Google Scholar

    [31]

    Fan S, Suh W, Joannopoulos J D 2003 J. Opt. Soc. Am. A: 20 569Google Scholar

    [32]

    Yu J B, Yao W Z, Qiu M, Li Q 2025 Light: Sci. Appl. 14 174Google Scholar

    [33]

    Koshelev K, Lepeshov S, Liu M K, Bogdanov A, Kivshar Y 2018 Phys. Rev. Lett. 121 193903Google Scholar

    [34]

    Chen W J, Chen Y T, Liu W 2019 Phys. Rev. Lett. 122 153907Google Scholar

    [35]

    Chen W J, Chen Y T, Liu W 2019 Laser Photonics Rev. 13 1900067Google Scholar

    [36]

    Koshelev K, Favraud G, Bogdanov A, Kivshar Y, Fratalocchi A 2019 Nanophotonics 8 725Google Scholar

    [37]

    Papasimakis N, Fedotov V A, Marinov K, Zheludev N I 2009 Phys. Rev. Lett. 103 093901Google Scholar

    [38]

    Kaelberer T, Fedotov V A, Papasimakis N, Tsai D P, Zheludev N I 2010 Science 330 1510Google Scholar

    [39]

    Huang Y W, Chen W T, Wu P C, et al. 2012 Opt. Express 20 1760Google Scholar

    [40]

    龙鑫琳, 陈智全, 阳弘黎, 肖云鹏, 贺龙辉, 聂国政, 张小姣, 鲁潇, 侯海良, 许辉 2025 光学学报 45 1023001Google Scholar

    Long X L, Chen Z Q, Yang H L, Xiao Y P, He L H, Nie G Z, Zhang X J, Lu X, Hou H L, Xu H 2025 Acta Opt. Sin. 45 1023001Google Scholar

    [41]

    Wiersig J 2014 Phys. Rev. Lett. 112 203901Google Scholar

    [42]

    Hodaei H, Hassan A U, Wittek S, et al. 2017 Nature 548 187Google Scholar

    [43]

    Yan D, Shalin A S, Wang Y, Lai Y, Xu Y D, Hang Z H, Cao F, Gao L, Luo J 2025 Phys. Rev. Lett. 134 243802Google Scholar

    [44]

    范辉颖, 罗杰 2022 物理学报 71 247802Google Scholar

    Fan H Y, Luo J 2022 Acta Phys. Sin. 71 247802Google Scholar

    [45]

    Özdemir Ş K, Rotter S, Nori F, Yang L 2019 Nat. Mater. 18 783Google Scholar

  • 图 1  矩形全介质超表面 (a) 阵列结构示意图; (b) 元胞xy二维平面图; (c) 4种破缺方式下的元胞结构; (d) 时域耦合模式理论模型示意图

    Fig. 1.  Rectangular all-dielectric metasurface: (a) Schematic diagram of the array structure; (b) two-dimensional planar graph of the unit cell in the xy-plane; (c) cell structures under four types of breaking modes; (d) schematic diagram of the time-coupled model theory.

    图 2  Mode Ⅰ调谐下超表面的仿真结果与理论分析 (a) 元胞的xy二维平面图; (b) 不同对称破缺角度θ下的仿真透射光谱与拟合曲线; (c) Q因子和共振波长随旋转角度θ的变化关系; (d) Q因子与不对称参数α的关系; (e), (f) θ = 6°, θ = 12°时, QBIC共振处硅棒中心xz截面电场分布

    Fig. 2.  Simulation results and theoretical analysis of the metasurface tuned by Mode I: (a) Two-dimensional planar graph of the unit cell in the xy-plane; (b) the simulated transmission spectra and fitting curves at different symmetry breaking angles θ; (c) relationship between the Q factor and the resonance wavelength as a function of the rotation angle θ; (d) relationship between the Q factor and the asymmetric parameter α; (e)–(f) when θ = 6° and θ = 12°, the electric field distribution in the xz section at the center of the silicon rod at QBIC resonance.

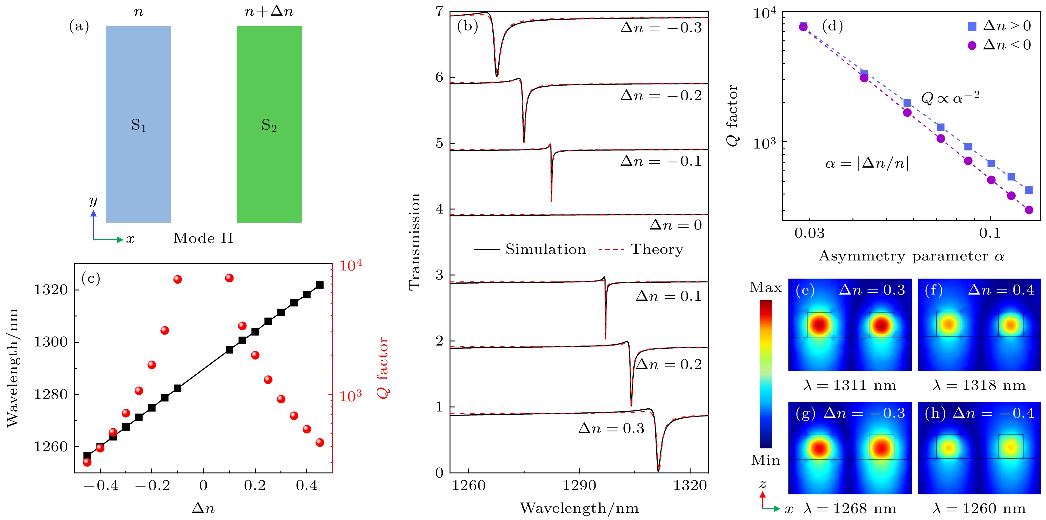
    图 3  Mode Ⅱ调谐下超表面的仿真结果与理论分析 (a) 元胞的xy二维平面图; (b) 不同对称破缺折射率Δn下的仿真透射光谱与拟合曲线; (c) Q因子和共振波长随折射率Δn的变化关系; (d) Q因子与不对称参数α的关系; (e)—(h) Δn = ±0.3, Δn = ±0.4时QBIC共振处硅棒中心xz截面电场分布

    Fig. 3.  Simulation results and theoretical analysis of the metasurface tuned by Mode II: (a) Two-dimensional plane graph of the unit cell in the xy-plane; (b) simulated transmission spectra and fitting curves under different symmetry-breaking refractive index Δn; (c) relationship between the Q factor and the resonance wavelength as a function of the refractive index Δn; (d) relationship between the Q factor and the asymmetric parameter α; (e)–(h) when Δn = ±0.3 and Δn = ±0.4, the electric field distribution in the xz cross section at the center of the silicon rod at QBIC resonance.

    图 4  Mode Ⅲ调谐下超表面的仿真结果与理论分析 (a) 元胞的xy二维平面图; (b) 不同对称破缺宽度Δw下的仿真透射光谱与拟合曲线; (c) Q因子和共振波长随宽度Δw的变化关系; (d) Q因子与不对称参数α的关系; (e)—(h) Δw = ±30 nm, Δw = ±40 nm时QBIC共振处硅棒中心xz截面电场分布

    Fig. 4.  Simulation results and theoretical analysis of the metasurface tuned by Mode III: (a) Two-dimensional planar graph of the unit cell in the xy-plane; (b) simulated transmission spectra and fitting curves under different symmetry-breaking widths Δw; (c) relationship between the Q factor and the resonance wavelength as a function of the width Δw; (d) relationship between the Q factor and the asymmetric parameter α; (e)–(h) when Δw = ±30 nm and Δw = ±40 nm, the electric field distribution in the xz cross section at the center of the silicon rod at QBIC resonance.

    图 5  Mode Ⅳ调控下超表面的仿真结果与理论分析 (a) 元胞的xy二维平面图; (b) 不同对称破缺高度Δh下的仿真透射光谱与拟合曲线; (c) Q因子和共振波长随宽度Δh的变化关系; (d) Q因子与不对称参数α的关系; (e)—(h) Δh = ±30 nm, Δh = ±40 nm时QBIC共振处硅棒中心xz截面电场分布

    Fig. 5.  Simulation results and theoretical analysis of the metasurface under the control of Mode IV: (a) Two-dimensional planar graph of the unit cell in the xy-plane; (b) simulated transmission spectra and fitting curves at different symmetry-breaking heights Δh; (c) variation of the Q factor and the resonance wavelength as a function of the width Δh; (d) relationship between the Q factor and the asymmetric parameter α; (e)–(h) when Δh = ±30 nm and Δh = ±40 nm, the electric field distribution in the xz section at the center of the silicon rod at QBIC resonance.

    图 6  多极子分解对QBIC机理的分析. Mode Ⅰ调控 (a) 不同极矩散射功率; (b) 元胞内部xy截面下电场分布情况; (c) 不对称参数为0.1时, 4种破缺方式下的多极矩贡献情况

    Fig. 6.  Multipole decomposition analysis of the QBIC mechanism. Mode I control: (a) Different polar scattering powers; (b) the electric field distribution in the xy section of the cell; (c) when the asymmetry parameter is 0.1, the multipole moment contributions under the four breaking modes.

    图 7  α = 0.1时, 对4种破缺方式下超表面的传感性能进行研究 (a) 4种破缺方式下QBIC共振的透射光谱; (b) Mode Ⅰ破缺模式下, 超表面在不同折射率传感介质中的透射谱; (c) 4种破缺模式下的QBIC共振波长与环境折射率的关系; (d) 4种破缺模式下的灵敏度; (e) 4种破缺模式下的FOM

    Fig. 7.  When the asymmetry parameter α = 0.1, the sensing performance of the metasurface under four damage modes is studied: (a) Transmission spectra of QBIC resonance under four different breaking modes; (b) transmission spectra of the metasurface in different refractive index sensing media in Mode I broken mode; (c) relationship between the QBIC resonance wavelength and the ambient refractive index in four broken modes; (d) sensitivity under four breaking modes; (e) FOM values under four breaking modes.

    图 8  正、负向破缺对超表面传感性能的影响. Mode Ⅲ调控 (a) 传感性能与破缺程度Δw的关系; (b)—(e) Δw = ±40 nm时, QBIC共振处柱体内部的xy平面和表面的xz端面的电场分布. Mode Ⅳ调控 (f) 传感性能与破缺程度Δh的关系; (g)—(j) Δh = ±40 nm时, QBIC共振处柱体内部的xy平面和表面的xz端面的电场分布

    Fig. 8.  Effect of positive and negative breaks on the sensing performance of the metasurface. Mode III regulation: (a) Relationship between sensing performance and Δw; (b)–(e) when Δw = ±40 nm, the electric field distribution in the xy plane inside the cylinder and on the xz end face of the surface at QBIC resonance. Mode IV regulation: (f) Relationship between sensing performance and Δh; (g)–(j) when Δh = ±40 nm, the electric field distribution in the xy plane inside the cylinder and on the xz end face of the surface at QBIC resonance.

    表 1  矩形全介质双聚体超表面传感性能与前期研究的对比

    Table 1.  Comparison of sensing performance of the rectangular all-dielectric dimer metasurface with previous studies.

    Sensitivity
    /(nm·RIU–1)
    Q factor FOM/RIU–1 Ref.
    305 1.78×102 68 [13]
    160 8.43×103 575 [14]
    122 4.15×102 [15]
    262 1.01×104 2183 [16]
    136 4.16×103 145 [23]
    395 1.75×104 3502 This work
    下载: 导出CSV
  • [1]

    Liu Z C, Guo T B, Tan Q, Hu Z P, Sun Y W, Fan H X, Zhang Z, Jin Y, He S L 2023 Nano Lett. 23 10441Google Scholar

    [2]

    Chen Z Q, Li P, Zhang S, Chen Y Q, Liu P, Duan H G 2019 Nanotechnology 30 335201Google Scholar

    [3]

    成昱轩, 许辉, 于鸿飞, 黄林琴, 谷志超, 陈玉峰, 贺龙辉, 陈智全, 侯海良 2025 物理学报 74 067801Google Scholar

    Cheng Y X, Xu H, Yu H F, Huang L Q, Gu Z C, Chen Y F, He L H, Chen Z Q, Hou H L 2025 Acta Phys. Sin. 74 067801Google Scholar

    [4]

    Yang H, Peng M Y, He H R, et al. 2025 Laser Photonics Rev. 19 2401398Google Scholar

    [5]

    He H R, Yu D, Gu Y J, et al. 2025 Laser Photonics Rev. e00564Google Scholar

    [6]

    Yang H, Ou K, Liu Q, Peng M Y, Xie Z W, Jiang Y T, Jia H H, Cheng X B, Jing H, Hu Y Q 2025 Light: Sci. Appl. 14 63Google Scholar

    [7]

    Yang H, Ou K, Wan H Y, Hu Y Q, Wei Z Y, Jia H H, Cheng X B, Liu N, Duan H G 2023 Mater. Today 67 424Google Scholar

    [8]

    Marinica D C, Borisov A G, Shabanov S V 2008 Phys. Rev. Lett. 100 183902Google Scholar

    [9]

    Li Z L, Nie G Z, Wang J H, Zhong F, Zhan S P 2024 Phys. Rev. Appl. 21 034039Google Scholar

    [10]

    Sadrieva Z F, Sinev I S, Koshelev K L, et al. 2017 ACS Photonics 4 723Google Scholar

    [11]

    Plotnik Y, Peleg O, Dreisow F, Heinrich M, Nolte S, Szameit A, Segev M 2011 Phys. Rev. Lett. 107 183901Google Scholar

    [12]

    Cong L Q, Singh R 2019 Adv. Opt. Mater. 7 1900383Google Scholar

    [13]

    Jahani Y, Arvelo E R, Yesilkoy F, et al. 2021 Nat. Commun. 12 3246Google Scholar

    [14]

    Song S Z, Yu S L, Li H, Zhao T G 2022 Laser Phys. 32 025403Google Scholar

    [15]

    Chen W J, Li M, Zhang W H, Chen Y H 2023 Nanophotonics 12 1147Google Scholar

    [16]

    Zhao J J, Fan X Y, Fang W J, Xiao W X, Sun F X, Li C C, Wei X, Tao J F, Wang Y L, Kumar S 2024 Sensors 24 3943Google Scholar

    [17]

    Li Z L, Xie M X, Nie G Z, Wang J H, Huang L J 2023 J. Phys. Chem. Lett. 14 10762Google Scholar

    [18]

    Zhang T, Huo Y P, Xu C M, Li J M, Zhang Z L 2024 J. Opt. Soc. Am. B: Opt. Phys. 42 50Google Scholar

    [19]

    刘会刚, 张翔宇, 南雪莹, 赵二刚, 刘海涛 2024 物理学报 73 047802Google Scholar

    Liu H G, Zhang X Y, Nan X Y, Zhao E G, Liu H T 2024 Acta Phys. Sin. 73 047802Google Scholar

    [20]

    Li N, Chen H, Zhao Y X, Wang Y T, Su Z X, Liu Y, Huang L L 2025 Nanophotonics 14 485Google Scholar

    [21]

    Xu Y L, Yang Y Y, Li H X, Ren L R 2025 J. Mater. Chem. C 13 1747Google Scholar

    [22]

    Yang N N, Lang T T, Cen W Y, Yu Z Y, Xiao M Y, Zhang J H, Qiu Y Q 2023 J. Opt. Soc. Am. B: Opt. Phys. 40 366Google Scholar

    [23]

    Liu J K, Dai H X, Ju J Q, Cheng K 2024 Phys. Chem. Chem. Phys. 26 9462Google Scholar

    [24]

    Liu J K, Lu Z N, Dai H X, Ju J Q, Zhao H W, Cao K Q 2024 J. Opt. 27 015001Google Scholar

    [25]

    Liu W J, Liang Z Z, Qin Z, Shi X Y, Yang F M, Meng D J 2022 Results Phys. 32 105125Google Scholar

    [26]

    Yu S L, Wang Y S, Gao Z, Li H, Song S Z, Yu J G, Zhao T G 2022 Opt. Express 30 4084Google Scholar

    [27]

    Gao J Y, Liu J, Yang H M, Liu H S, Zeng G H, Huang B 2023 Opt. Express 31 44703Google Scholar

    [28]

    Wu Q H, Wang J, Wang W, Lin J, Jin P, Liu S T, Zhou K Y 2024 Opt. Lett. 49 4186Google Scholar

    [29]

    陈智全, 阳弘黎, 龙鑫琳, 肖云鹏, 贺龙辉, 聂国政, 侯海良, 鲁潇, 许辉 2025 中国科学: 物理学 力学 天文学 55 264212Google Scholar

    Chen Z Q, Yang H L, Long X L, Xiao Y P, He L H, Nie G Z, Hou H L, Lu X, Xu H 2025 Sci. China-Phys. Mech. Astron. 55 264212Google Scholar

    [30]

    Wang P F, He F Y, Liu J J, Shu F Z, Fang B, Lang T T, Jing X F, Hong Z 2022 Photonics Res. 10 2743Google Scholar

    [31]

    Fan S, Suh W, Joannopoulos J D 2003 J. Opt. Soc. Am. A: 20 569Google Scholar

    [32]

    Yu J B, Yao W Z, Qiu M, Li Q 2025 Light: Sci. Appl. 14 174Google Scholar

    [33]

    Koshelev K, Lepeshov S, Liu M K, Bogdanov A, Kivshar Y 2018 Phys. Rev. Lett. 121 193903Google Scholar

    [34]

    Chen W J, Chen Y T, Liu W 2019 Phys. Rev. Lett. 122 153907Google Scholar

    [35]

    Chen W J, Chen Y T, Liu W 2019 Laser Photonics Rev. 13 1900067Google Scholar

    [36]

    Koshelev K, Favraud G, Bogdanov A, Kivshar Y, Fratalocchi A 2019 Nanophotonics 8 725Google Scholar

    [37]

    Papasimakis N, Fedotov V A, Marinov K, Zheludev N I 2009 Phys. Rev. Lett. 103 093901Google Scholar

    [38]

    Kaelberer T, Fedotov V A, Papasimakis N, Tsai D P, Zheludev N I 2010 Science 330 1510Google Scholar

    [39]

    Huang Y W, Chen W T, Wu P C, et al. 2012 Opt. Express 20 1760Google Scholar

    [40]

    龙鑫琳, 陈智全, 阳弘黎, 肖云鹏, 贺龙辉, 聂国政, 张小姣, 鲁潇, 侯海良, 许辉 2025 光学学报 45 1023001Google Scholar

    Long X L, Chen Z Q, Yang H L, Xiao Y P, He L H, Nie G Z, Zhang X J, Lu X, Hou H L, Xu H 2025 Acta Opt. Sin. 45 1023001Google Scholar

    [41]

    Wiersig J 2014 Phys. Rev. Lett. 112 203901Google Scholar

    [42]

    Hodaei H, Hassan A U, Wittek S, et al. 2017 Nature 548 187Google Scholar

    [43]

    Yan D, Shalin A S, Wang Y, Lai Y, Xu Y D, Hang Z H, Cao F, Gao L, Luo J 2025 Phys. Rev. Lett. 134 243802Google Scholar

    [44]

    范辉颖, 罗杰 2022 物理学报 71 247802Google Scholar

    Fan H Y, Luo J 2022 Acta Phys. Sin. 71 247802Google Scholar

    [45]

    Özdemir Ş K, Rotter S, Nori F, Yang L 2019 Nat. Mater. 18 783Google Scholar

  • [1] 张昀昊, 何霄, 应嘉禾, 刘冬林, 陶广益, 戴宇琛, 党郅博, 方哲宇. Si3N4光子晶体连续域准束缚态表征及调控. 物理学报, 2025, 74(18): 184204. doi: 10.7498/aps.74.20250757
    [2] 董耀勇, 吴仪, 郑学军, 王登龙, 赵鹏. 双腔光力系统中基于连续域束缚态的超高分辨率质量传感. 物理学报, 2025, 74(13): 134201. doi: 10.7498/aps.74.20250063
    [3] 王军辉, 李德琼, 聂国政, 詹杰, 甘龙飞, 陈智全, 兰林锋. 基于准连续体束缚态的近红外高Q全介质超表面生物传感器. 物理学报, 2025, 74(10): 107801. doi: 10.7498/aps.74.20241752
    [4] 任洋, 李振雄, 张磊, 崔巍, 吴雄雄, 霍亚杉, 何智慧. 基于法布里-珀罗腔的可调谐连续域束缚态及应用. 物理学报, 2024, 73(17): 174205. doi: 10.7498/aps.73.20240861
    [5] 张向, 王玥, 张婉莹, 张晓菊, 罗帆, 宋博晨, 张狂, 施卫. 单壁碳纳米管太赫兹超表面窄带吸收及其传感特性. 物理学报, 2024, 73(2): 026102. doi: 10.7498/aps.73.20231357
    [6] 夏兆生, 刘宇行, 包正, 王丽华, 吴博, 王刚, 王辉, 任信钢, 黄志祥. 基于准连续域束缚态的强圆二色性超表面. 物理学报, 2024, 73(17): 178102. doi: 10.7498/aps.73.20240834
    [7] 王玥, 王豪杰, 崔子健, 张达篪. 双谐振环金属超表面中的连续域束缚态. 物理学报, 2024, 73(5): 057801. doi: 10.7498/aps.73.20231556
    [8] 刘会刚, 张翔宇, 南雪莹, 赵二刚, 刘海涛. 基于准连续域束缚态的全介质超构表面双参数传感器. 物理学报, 2024, 73(4): 047802. doi: 10.7498/aps.73.20231514
    [9] 闫梦, 孙珂, 宁廷银, 赵丽娜, 任莹莹, 霍燕燕. 基于共振波导光栅结构准连续域束缚态的低阈值纳米激光器的数值研究. 物理学报, 2023, 72(4): 044202. doi: 10.7498/aps.72.20221894
    [10] 张伟, 万静, 蒙列, 罗曜伟, 郭明瑞. D型光纤与微管耦合的微流控折射率传感器. 物理学报, 2022, 71(21): 210701. doi: 10.7498/aps.71.20221137
    [11] 孟令俊, 王梦宇, 沈远, 杨煜, 徐文斌, 张磊, 王克逸. 具有内参考热补偿功能的三层膜结构微球腔折射率传感器. 物理学报, 2020, 69(1): 014203. doi: 10.7498/aps.69.20191265
    [12] 张文杰, 刘郁松, 郭浩, 韩星程, 蔡安江, 李圣昆, 赵鹏飞, 刘俊. 双螺线圈射频共振结构增强硅空位自旋传感灵敏度方法. 物理学报, 2020, 69(23): 234206. doi: 10.7498/aps.69.20200765
    [13] 廖文英, 范万德, 李海鹏, 隋佳男, 曹学伟. 准晶体结构光纤表面等离子体共振传感器特性研究. 物理学报, 2015, 64(6): 064213. doi: 10.7498/aps.64.064213
    [14] 王俊平, 戚苏阳, 刘士钢. 基于版图优化的综合灵敏度模型. 物理学报, 2014, 63(12): 128503. doi: 10.7498/aps.63.128503
    [15] 李辉栋, 傅海威, 邵敏, 赵娜, 乔学光, 刘颖刚, 李岩, 闫旭. 基于光纤气泡和纤芯失配的Mach-Zehnder干涉液体折射率传感器. 物理学报, 2013, 62(21): 214209. doi: 10.7498/aps.62.214209
    [16] 刘颖刚, 车伏龙, 贾振安, 傅海威, 王宏亮, 邵敏. 微纳光纤布拉格光栅折射率传感特性研究. 物理学报, 2013, 62(10): 104218. doi: 10.7498/aps.62.104218
    [17] 江莺, 梁大开, 曾捷, 倪晓宇. 监测点波长对高双折射光纤环镜轴向应变灵敏度的影响. 物理学报, 2013, 62(6): 064216. doi: 10.7498/aps.62.064216
    [18] 梁瑞冰, 孙琪真, 沃江海, 刘德明. 微纳尺度光纤布拉格光栅折射率传感的理论研究. 物理学报, 2011, 60(10): 104221. doi: 10.7498/aps.60.104221
    [19] 龚元, 郭宇, 饶云江, 赵天, 吴宇, 冉曾令. 光纤法布里-珀罗复合结构折射率传感器的灵敏度分析. 物理学报, 2011, 60(6): 064202. doi: 10.7498/aps.60.064202
    [20] 侯建平, 宁韬, 盖双龙, 李鹏, 郝建苹, 赵建林. 基于光子晶体光纤模间干涉的折射率测量灵敏度分析. 物理学报, 2010, 59(7): 4732-4737. doi: 10.7498/aps.59.4732
计量
  • 文章访问数:  1060
  • PDF下载量:  41
  • 被引次数: 0
出版历程
  • 收稿日期:  2025-07-01
  • 修回日期:  2025-07-30
  • 上网日期:  2025-08-12
  • 刊出日期:  2025-10-05

/

返回文章
返回