搜索

x

留言板

尊敬的读者、作者、审稿人, 关于本刊的投稿、审稿、编辑和出版的任何问题, 您可以本页添加留言。我们将尽快给您答复。谢谢您的支持!

姓名
邮箱
手机号码
标题
留言内容
验证码

亚化学计量金属氢化物热散射律数据计算分析

马宇图 祖铁军 吴宏春 曹良志

引用本文:
Citation:

亚化学计量金属氢化物热散射律数据计算分析

马宇图, 祖铁军, 吴宏春, 曹良志
cstr: 32037.14.aps.74.20250928

Calculation and analysis of thermal scattering law data of sub-stoichiometric metal hydrides

MA Yutu, ZU Tiejun, WU Hongchun, CAO Liangzhi
cstr: 32037.14.aps.74.20250928
Article Text (iFLYTEK Translation)
PDF
HTML
导出引用
在线预览
  • 金属氢化物是先进反应堆研发中具有重要应用前景的中子慢化剂材料, 其热中子散射数据对反应堆设计精度具有重要影响. 本文通过准随机结构和第一性原理晶格动力学方法, 计算了亚化学计量氢化锆和氢化钇的声子态密度等参数, 以此为基础, 基于核数据处理程序NECP-Atlas计算获得了不同亚化学计量氢化物的热中子散射律数据, 并分析了氢含量对氢化物热散射截面以及临界装置有效增殖系数的影响. 研究表明: 氢化物中氢含量的变化导致热散射截面存在差异, 进而影响核反应堆的计算结果, 对于装载氢化锆的ICT003和ICT013系列基准题(H/Zr约为1.6), 采用其他氢含量氢化锆的热散射律数据导致有效增殖系数最大偏差为104 pcm; 对于装载ZrH2的HCM003系列基准题, 采用其他氢含量氢化锆热散射律数据导致有效增殖系数最大偏差为147 pcm. 本文数据集可在科学数据银行数据库https://www.doi.org/10.57760/sciencedb.j00213.00179中访问获取.
    Metal hydrides are promising moderator materials in advanced reactors, where their thermal neutron scattering cross sections significantly affect the accuracy of reactor design. This study uses special quasi random structure (SQS) and first-principles lattice dynamics methods to calculate parameters such as the phonon densities of states of sub-stoichiometric zirconium hydride (ZrHx) and yttrium hydride (YHx). Based on these parameters, thermal scattering law (TSL) data for sub-stoichiometric hydrides are generated using the nuclear data processing code NECP-Atlas. The influences of hydrogen content on the thermal scattering cross sections of hydrides and the effective multiplication factor (keff) values of critical assemblies are analyzed. The result shows that variations in hydrogen content within hydrides lead to differences in thermal scattering cross sections, consequently affecting the neutron transport calculations of nuclear reactor. For the ICT003 and ICT013 benchmarks loaded with ZrHx (with H/Zr ≈ 1.6), using the TSL data derived from ZrHx with other hydrogen content results in a maximum deviation of 104 pcm in keff. For the HCM003 benchmarks loaded with ZrH2, the use of TSL from ZrHx with other hydrogen content leads to a maximum deviation of 147 pcm in keff.
      通信作者: 祖铁军, tiejun@mail.xjtu.edu.cn
    • 基金项目: 国家自然科学基金(批准号: 12135019)和国家重点研发计划(批准号: 2022YFB1902600)资助的课题.
      Corresponding author: ZU Tiejun, tiejun@mail.xjtu.edu.cn
    • Funds: Project supported by the National Natural Science Foundation of China (Grant No. 12135019) and the National Key Research and Development Program of China (Grant No. 2022YFB1902600).
    [1]

    Handbook on the Material Properties of Yttrium Hydride for High Temperature Moderator Applications, Hu X X, Wang H, Linton K, Le Coq A, Terrani K A https://www.osti.gov/servlets/purl/1808171/ [2021-7-15]

    [2]

    Paramonov D V, El-Genk M S 1994 Nucl. Technol. 108 157Google Scholar

    [3]

    Evans J A, Sweet R T, Medvedev P G, Wagner A R, Parisi C, Lange T L, Perez E, Rice F, Jue J F, Woolstenhulme E, Arafat Y 2024 J. Nucl. Mater. 598 25Google Scholar

    [4]

    Snoj L, Zerovnik G, Trkov A 2012 Appl. Radiat. Isotopes 70 483Google Scholar

    [5]

    Betzler B R, Ade B J, Jain P K, Wysocki A, Chesser P C, Kirkland W M, Cetiner M S, Bergeron A, Heidet F, Terrani K 2022 Nucl. Sci. Eng. 196 1399Google Scholar

    [6]

    Mehta V, Vogel S, Kotlyar D, Cooper M 2022 Metals 12 199Google Scholar

    [7]

    Wang X, Tang M, Jiang M X, Chen Y C, Liu Z X, Deng H Q 2024 Chin. Phys. B 33 076103Google Scholar

    [8]

    Mehta V K, Vogel S C, Shivprasad A P, Luther E P, Andersson D A, Rao D V, Kotlyar D, Clausen B, Cooper M W D 2021 J. Nucl. Mater. 547 152837Google Scholar

    [9]

    ENDF-6 Formats Manual, Brown D A https://www.nndc.bnl.gov/endfdocs/ENDF-102-2023.pdf [2023-9-28]

    [10]

    Tang Y Q, Zu T J, Yi S Y, Cao L Z, Wu H C 2020 Annals of Nuclear Energy 153 108044Google Scholar

    [11]

    Squires G L 1996 Introduction to the Theory of Thermal Neutron Scattering (Massachusetts: Courier Corporation) p30

    [12]

    Zu T J, Tang Y Q, Wang L P, Cao L Z, Wu H C 2021 Ann. Nucl. Energy 161 108489Google Scholar

    [13]

    Wang L P, Wan C H, Cao L Z, Wu H C, Sjstrand H 2021 Ann. Nucl. Energy 151 107920Google Scholar

    [14]

    Švajger I, Fleming N, Hawari A, Laramee B, Noguere G, Snoj L, Trkov A 2025 Nucl. Eng. Technol. 57 103834Google Scholar

    [15]

    Mehta V K, Cooper M W D, Wilkerson R B, Kotlyar D, Rao D V, Vogel S C 2021 Nucl. Sci. Eng. 195 563Google Scholar

    [16]

    Mehta V K, Rehn D A, Olsson P A T 2024 J. Nucl. Eng. 5 330Google Scholar

    [17]

    Trainer A, Forget B, Holmes J, Wormald J, Zerkle M 2025 Ann. Nucl. Energy 212 111034Google Scholar

    [18]

    Wormald J, Zerkle M, Holmes J 2021 J. Nucl. Eng. 2 105Google Scholar

    [19]

    Zerkle M L, Holmes J C, Wormald J L 2021 EPJ Web Conf. 247 09015Google Scholar

    [20]

    Ge Z G, Xu R R, Wu H C, Zhang Y, Chen G C, Jin Y L, Shu N C, Chen Y J, Tao X, Tian Y, Liu P, Qian J, Wang J M, Zhang H Y, Liu L L, Huang X L 2020 EPJ Web Conf. 239 09001Google Scholar

    [21]

    Zu T J, Wu C Y, Feng H, Ma Y T, Cao L Z, Wu H C, Tang Y Q 2024 Prog. Nucl. Energy 177 105420Google Scholar

    [22]

    Placzek G 1952 Phys. Rev. 86 377Google Scholar

    [23]

    Coherent Scattering Law for Polycrystalline Beryllium, Borgonovi G M https://www.osti.gov/servlets/purl/4049796 [1969-5-16]

    [24]

    Fleming N C 2021 Ph. D. Dissertation (North Carolina: North Carolina State University

    [25]

    Jain A, Ong S P, Hautier G, Chen W, Richards W D, Dacek S, Cholia S, Gunter D, Skinner D, Ceder G, Persson K A 2013 APL Mater. 1 011002Google Scholar

    [26]

    Kresse G, Furthmüller J 1996 Comput. Mater. Sci. 6 15Google Scholar

    [27]

    Gonze X, Lee C 1997 Phys. Rev. B 55 10355Google Scholar

    [28]

    Gajdos M, Hummer K, Kresse G, Furthmueller J, Bechstedt F 2006 Phys. Rev. B 73 045112Google Scholar

    [29]

    He Q M, Zheng Q, Li J, Wu H C, Shen W, Cao L Z, Liu Z Y, Xu J L 2021 Ann. Nucl. Energy 151 107978Google Scholar

    [30]

    Briggs J B, Scott L, Nouri A 2003 Nucl. Sci. Eng. 145 1Google Scholar

  • 图 1  δ-ZrH1.41, δ-ZrH1.59, δ-ZrH1.69的超晶胞

    Fig. 1.  Super cell of δ-ZrH1.41, δ-ZrH1.59 and δ-ZrH1.69.

    图 2  δ-YH1.31, δ-YH1.59, δ-YH1.81的超晶胞

    Fig. 2.  Super cell of δ-YH1.31, δ-YH1.59 and δ-YH1.81.

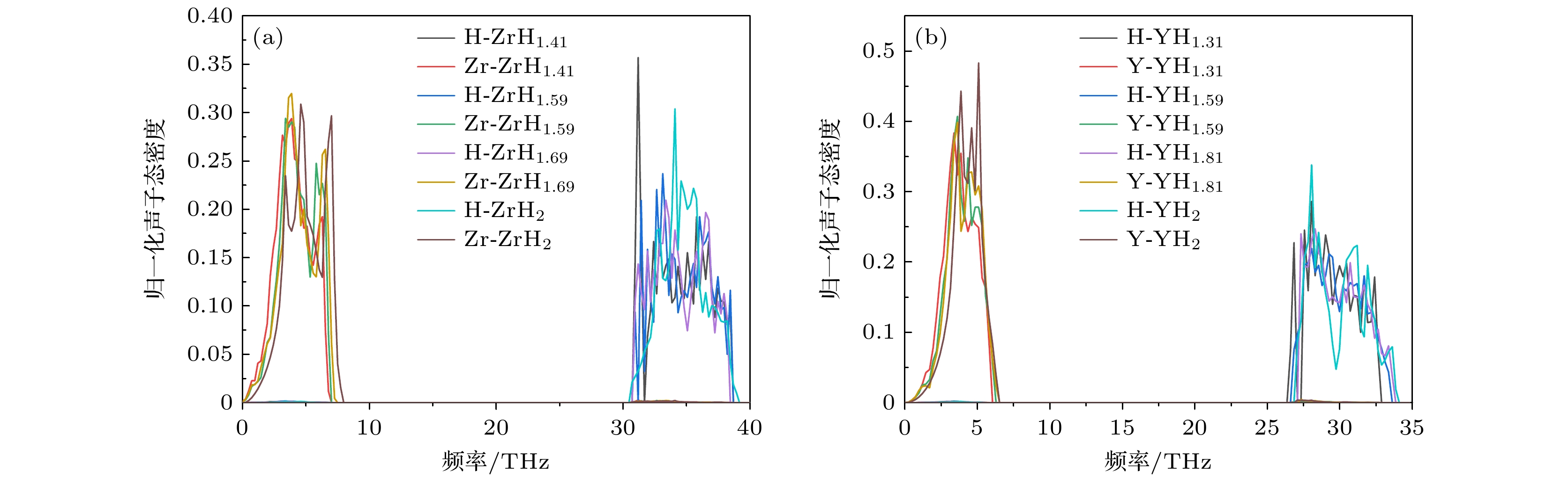
    图 3  不同氢含量下氢化物的归一化声子态密度 (a) ZrHx; (b) YHx

    Fig. 3.  Normalized phonon density of state of hydrides with different hydrogen contents: (a) ZrHx; (b) YHx.

    图 4  不同氢含量下ZrHx的热散射截面 (a) 氢的非弹性散射截面; (b) 氢的非相干弹性散射截面; (c) 锆的非弹性散射截面; (d) 锆的相干弹性散射截面

    Fig. 4.  Thermal scattering cross sections of ZrHx with different hydrogen contents: (a) Inelastic scattering cross section of H; (b) incoherent elastic scattering cross section of H; (c) inelastic scattering cross section of Zr; (d) coherent elastic scattering cross section of Zr

    图 5  不同氢含量下YHx的热散射截面 (a) 氢的非弹性散射截面; (b) 氢的非相干弹性散射截面; (c) 钇的非弹性散射截面; (d) 钇的相干弹性散射截面

    Fig. 5.  Thermal scattering cross sections of YHx with different hydrogen contents: (a) Inelastic scattering cross section of H; (b) incoherent elastic scattering cross section of H; (c) inelastic scattering cross section of Y; (d) coherent elastic scattering cross section of Y.

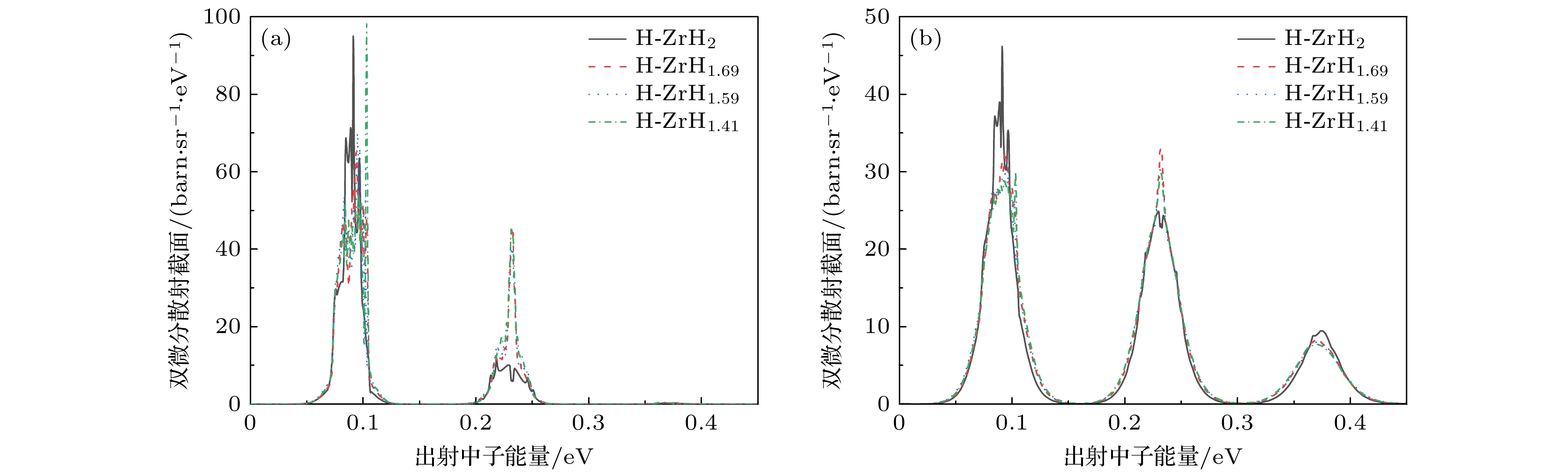
    图 6  不同氢含量ZrHx中H的双微分散射截面 (a) 293.6 K; (b) 1200 K

    Fig. 6.  Double differential scattering cross sections of H in ZrHx with different hydrogen contents: (a) 293.6 K; (b) 1200 K.

    图 7  不同氢含量YHx中H的双微分散射截面 (a) 293.6 K; (b) 1200 K

    Fig. 7.  Double differential scattering cross sections of H in YHx with different hydrogen contents: (a) 293.6 K; (b) 1200 K.

    表 1  ICT003和ICT013系列基准题有效增殖系数计算结果

    Table 1.  The calculated effective multiplication factor for the ICT003 and ICT013 benchmarks.

    基准题序号ZrH1.59ZrH2ZrH1.69ZrH1.41
    keffkeff偏差/pcmkeff偏差/pcmkeff偏差/pcm
    ICT003_11.003081.00205–1031.00375671.00412104
    ICT003_21.007911.00697–941.00866751.0086473
    ICT013_11.012041.01194–101.01263591.0127470
    ICT013_21.011891.01167–221.01256671.0127283
    下载: 导出CSV

    表 2  HCM003系列基准题有效增殖系数计算结果

    Table 2.  The calculated effective multiplication factor for the HCM003 benchmarks.

    基准题序号ZrH2ZrH1.69ZrH1.59ZrH1.41
    keffkeff偏差/pcmkeff偏差/pcmkeff偏差/pcm
    HCM003_10.997600.99673–870.9976440.99705–55
    HCM003_20.997980.99692–1060.99776–220.99686–112
    HCM003_30.997780.99685–930.99745–330.99689–89
    HCM003_40.998180.99718–1000.99784–340.99693–125
    HCM003_50.998380.99691–1470.99789–490.99707–131
    HCM003_60.997950.99678–1170.99741–540.99705–90
    下载: 导出CSV
  • [1]

    Handbook on the Material Properties of Yttrium Hydride for High Temperature Moderator Applications, Hu X X, Wang H, Linton K, Le Coq A, Terrani K A https://www.osti.gov/servlets/purl/1808171/ [2021-7-15]

    [2]

    Paramonov D V, El-Genk M S 1994 Nucl. Technol. 108 157Google Scholar

    [3]

    Evans J A, Sweet R T, Medvedev P G, Wagner A R, Parisi C, Lange T L, Perez E, Rice F, Jue J F, Woolstenhulme E, Arafat Y 2024 J. Nucl. Mater. 598 25Google Scholar

    [4]

    Snoj L, Zerovnik G, Trkov A 2012 Appl. Radiat. Isotopes 70 483Google Scholar

    [5]

    Betzler B R, Ade B J, Jain P K, Wysocki A, Chesser P C, Kirkland W M, Cetiner M S, Bergeron A, Heidet F, Terrani K 2022 Nucl. Sci. Eng. 196 1399Google Scholar

    [6]

    Mehta V, Vogel S, Kotlyar D, Cooper M 2022 Metals 12 199Google Scholar

    [7]

    Wang X, Tang M, Jiang M X, Chen Y C, Liu Z X, Deng H Q 2024 Chin. Phys. B 33 076103Google Scholar

    [8]

    Mehta V K, Vogel S C, Shivprasad A P, Luther E P, Andersson D A, Rao D V, Kotlyar D, Clausen B, Cooper M W D 2021 J. Nucl. Mater. 547 152837Google Scholar

    [9]

    ENDF-6 Formats Manual, Brown D A https://www.nndc.bnl.gov/endfdocs/ENDF-102-2023.pdf [2023-9-28]

    [10]

    Tang Y Q, Zu T J, Yi S Y, Cao L Z, Wu H C 2020 Annals of Nuclear Energy 153 108044Google Scholar

    [11]

    Squires G L 1996 Introduction to the Theory of Thermal Neutron Scattering (Massachusetts: Courier Corporation) p30

    [12]

    Zu T J, Tang Y Q, Wang L P, Cao L Z, Wu H C 2021 Ann. Nucl. Energy 161 108489Google Scholar

    [13]

    Wang L P, Wan C H, Cao L Z, Wu H C, Sjstrand H 2021 Ann. Nucl. Energy 151 107920Google Scholar

    [14]

    Švajger I, Fleming N, Hawari A, Laramee B, Noguere G, Snoj L, Trkov A 2025 Nucl. Eng. Technol. 57 103834Google Scholar

    [15]

    Mehta V K, Cooper M W D, Wilkerson R B, Kotlyar D, Rao D V, Vogel S C 2021 Nucl. Sci. Eng. 195 563Google Scholar

    [16]

    Mehta V K, Rehn D A, Olsson P A T 2024 J. Nucl. Eng. 5 330Google Scholar

    [17]

    Trainer A, Forget B, Holmes J, Wormald J, Zerkle M 2025 Ann. Nucl. Energy 212 111034Google Scholar

    [18]

    Wormald J, Zerkle M, Holmes J 2021 J. Nucl. Eng. 2 105Google Scholar

    [19]

    Zerkle M L, Holmes J C, Wormald J L 2021 EPJ Web Conf. 247 09015Google Scholar

    [20]

    Ge Z G, Xu R R, Wu H C, Zhang Y, Chen G C, Jin Y L, Shu N C, Chen Y J, Tao X, Tian Y, Liu P, Qian J, Wang J M, Zhang H Y, Liu L L, Huang X L 2020 EPJ Web Conf. 239 09001Google Scholar

    [21]

    Zu T J, Wu C Y, Feng H, Ma Y T, Cao L Z, Wu H C, Tang Y Q 2024 Prog. Nucl. Energy 177 105420Google Scholar

    [22]

    Placzek G 1952 Phys. Rev. 86 377Google Scholar

    [23]

    Coherent Scattering Law for Polycrystalline Beryllium, Borgonovi G M https://www.osti.gov/servlets/purl/4049796 [1969-5-16]

    [24]

    Fleming N C 2021 Ph. D. Dissertation (North Carolina: North Carolina State University

    [25]

    Jain A, Ong S P, Hautier G, Chen W, Richards W D, Dacek S, Cholia S, Gunter D, Skinner D, Ceder G, Persson K A 2013 APL Mater. 1 011002Google Scholar

    [26]

    Kresse G, Furthmüller J 1996 Comput. Mater. Sci. 6 15Google Scholar

    [27]

    Gonze X, Lee C 1997 Phys. Rev. B 55 10355Google Scholar

    [28]

    Gajdos M, Hummer K, Kresse G, Furthmueller J, Bechstedt F 2006 Phys. Rev. B 73 045112Google Scholar

    [29]

    He Q M, Zheng Q, Li J, Wu H C, Shen W, Cao L Z, Liu Z Y, Xu J L 2021 Ann. Nucl. Energy 151 107978Google Scholar

    [30]

    Briggs J B, Scott L, Nouri A 2003 Nucl. Sci. Eng. 145 1Google Scholar

  • [1] 谭博宇, 王朝辉, 吴鸿毅, 韩银录, 肖石良, 王昊, 汪文烨, 王记民, 李昱兆, 刘颖一, 王金成, 陶曦, 阮锡超. 中子诱发52Cr非弹性散射截面测量. 物理学报, 2025, 74(7): 072901. doi: 10.7498/aps.74.20241660
    [2] 李明, 金平实, 曹逊. 稀土含氧氢化物光致变色薄膜研究现状. 物理学报, 2022, 71(21): 218101. doi: 10.7498/aps.71.20221046
    [3] 王立鹏, 江新标, 吴宏春, 樊慧庆. 氮化铀热中子截面的第一性原理计算. 物理学报, 2018, 67(20): 202801. doi: 10.7498/aps.67.20180834
    [4] 高潭华, 吴顺情, 张鹏, 朱梓忠. 表面氢化的双层氮化硼的结构和电子性质. 物理学报, 2014, 63(1): 016801. doi: 10.7498/aps.63.016801
    [5] 袁健美, 毛宇亮. 氢化与非氢化石墨烯纳米条带的密度泛函研究. 物理学报, 2011, 60(10): 103103. doi: 10.7498/aps.60.103103
    [6] 郭立强, 丁建宁, 杨继昌, 王书博, 叶枫, 程广贵, 凌智勇, 范慧娟, 袁宁一, 王秀琴. 氢化硅薄膜光吸收近似特性研究. 物理学报, 2010, 59(11): 8184-8190. doi: 10.7498/aps.59.8184
    [7] 李世彬, 吴志明, 袁 凯, 廖乃镘, 李 伟, 蒋亚东. 氢化非晶硅薄膜的热导率研究. 物理学报, 2008, 57(5): 3126-3131. doi: 10.7498/aps.57.3126
    [8] 李世彬, 吴志明, 李 伟, 于军胜, 蒋亚东, 廖乃镘. 氢化硅薄膜的晶化机理研究. 物理学报, 2008, 57(11): 7114-7118. doi: 10.7498/aps.57.7114
    [9] 杜晓明, 吴尔冬, 董宝中, 吴忠华, 苑学众. Ti-Mo合金氢化物微观缺陷的小角X射线散射研究. 物理学报, 2008, 57(9): 5782-5787. doi: 10.7498/aps.57.5782
    [10] 朱美芳. 氢化非晶硅的低温输运. 物理学报, 1996, 45(3): 499-505. doi: 10.7498/aps.45.499
    [11] 沈皓, 承焕生, 汤家镛, 杨福家. 碳对α的非卢瑟福背散射截面研究. 物理学报, 1994, 43(10): 1569-1575. doi: 10.7498/aps.43.1569
    [12] 陈光华, 于工, 张仿清, 吴天喜. 氢化非晶锗碳薄膜中的自旋缺陷态. 物理学报, 1992, 41(10): 1700-1705. doi: 10.7498/aps.41.1700
    [13] 鲍希茂, 黄信凡, 邢昆山. 氢化非晶硅激光结晶温场控制模型. 物理学报, 1987, 36(1): 74-77. doi: 10.7498/aps.36.74
    [14] 戴国才, 关大任, 邓从豪. 晶态硅中氢化单空位的络合物模型. 物理学报, 1986, 35(6): 709-715. doi: 10.7498/aps.35.709
    [15] 阮景辉, 陈桂英, 张南宁. 氢化锆(ZrH1.7)和钯氢(PdH0.7)光学声子的温度效应. 物理学报, 1986, 35(3): 389-392. doi: 10.7498/aps.35.389
    [16] 曹明中, 王福元, 汪根时, 宋德瑛, 陈桂英, 阮景辉. 金属氢化物LaNi4.5Mn0.5Hx的热中子非弹性散射谱. 物理学报, 1985, 34(5): 689-693. doi: 10.7498/aps.34.689
    [17] 阮景辉, 成之绪, 陈桂英. 金属氢化物(AlH3)n的热中子非弹性散射谱. 物理学报, 1981, 30(4): 538-541. doi: 10.7498/aps.30.538
    [18] 陈桂英, 成之绪, 吴享南, 阮景辉. 钯氢的热中子非弹性散射. 物理学报, 1980, 29(2): 257-259. doi: 10.7498/aps.29.257
    [19] 陆挺, 阮景辉, 李竹起, 萨本豪, 董秀芳. 氢化锆中氢的热中子散射总截面. 物理学报, 1975, 24(3): 210-214. doi: 10.7498/aps.24.210
    [20] 周同庆, 吴学周, 柳大纲. 水中火花所生氢化铜之吸收光带. 物理学报, 1937, 3(1): 20-26. doi: 10.7498/aps.3.20
计量
  • 文章访问数:  400
  • PDF下载量:  10
  • 被引次数: 0
出版历程
  • 收稿日期:  2025-07-13
  • 修回日期:  2025-08-20
  • 上网日期:  2025-09-24
  • 刊出日期:  2025-11-20

/

返回文章
返回