-
二维Janus磁性体系因空间反演对称性破缺, 易产生较大的DMI作用项(Dzyaloshinskii Moriya interaction), 为探索磁拓扑结构及发展新一代赛道级磁存储器件提供了理想的平台. 在该研究领域中, 寻找具有高居里温度的体系至关重要, 这直接关系到材料在实际高温环境下的磁性能稳定性与应用潜力. 本研究基于已有文献报道与开源数据库, 构建了包含16880种ABC型二维材料的数据集. 以材料的化学计量比、元素固有属性及电子结构特征为描述符, 分别采用随机森林、梯度提升决策树、极端梯度提升和极端随机树4种机器学习模型, 对二维材料的居里温度展开预测训练, 并通过十折交叉验证评估模型的学习性能. 研究结果表明, 极端梯度提升模型对居里温度的预测精度最高且具备最优的泛化能力. 基于最优模型, 对4024种尚未探索的二维Janus结构材料进行了居里温度预测, 最终筛选出54种同时具备热稳定性、高磁矩、高居里温度的二维Janus材料. 为验证预测结果的可靠性, 研究进一步结合第一性原理计算与海森伯模型, 对随机选取的4种候选Janus体系进行了理论验证. 本研究为加速发掘兼具稳定性与高居里温度的二维Janus磁性材料提供了新的技术途径, 对推动二维磁性材料在信息存储等领域的应用具有重要意义.
-
关键词:
- 机器学习 /
- 二维磁性Janus材料 /
- 居里温度 /
- 第一性原理计算
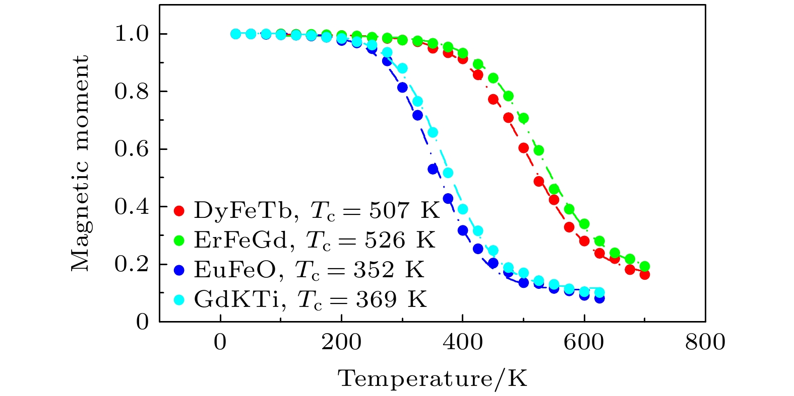
Magnetic skyrmions, characterized by their topological properties, serve as core components for developing next-generation non-volatile memory devices that demand high density, high speed, and low power consumption. Two-dimensional Janus magnetic materials inherently break spatial inversion symmetry, and easily generate strong DMI, providing an ideal platform for skyrmion generation and novel racetrack memory applications. Identifying high Curie temperature (Tc) materials is essential for ensuring magnetic stability and high-temperature application viability. This study integrates literature and open-source databases to construct a dataset of 16880 ABC-type two-dimensional materials. By utilizing stoichiometric ratios, intrinsic elemental properties, and electronic structure features as descriptors, four machine learning models, i.e. random forest (RF), gradient boosting decision tree (GBDT), extreme gradient boosting (XGBoost), and extra trees (ET) are employed for Tc prediction. Model performance is evaluated via ten-fold cross-validation, revealing that the XGBoost model exhibits superior prediction accuracy and generalization capability. Leveraging this model, Tc is predicted for 4024 unexplored two-dimensional Janus materials. This screening identifies 54 promising candidates possessing thermal stability, high magnetic moment, and a Tc exceeding 300 K. To verify reliability, four candidate systems (EuFeO, GdKTi, DyFeTb, ErFeGd) are randomly chosen for theoretical validation by using first-principles calculations combined with the Heisenberg model. For systems exhibiting strong correlation effects (containing d-orbital electrons), the Hubbard U parameter is included to describe on-site Coulomb repulsion. Exchange coupling constants are derived using the VASP software package. Subsequently, Tc values are calculated via classical Monte Carlo simulations performed using the MCSOLVER program. The research results show that the mean absolute error (MAE) of the predicted Tc is in good agreement with the model calculations for EuFeO and GdKTi, while larger deviations are observed for DyFeTb and ErFeGd. Nevertheless, the calculated Tc values for all four candidates exceed room temperature. This work establishes a new computational framework for the efficient screening of high-performance two-dimensional Janus magnetic materials, contributing to the advancement of magnetic storage technologies.-
Keywords:
- machine learning /
- two-dimensional magnetic Janus materials /
- Curie temperature /
- first-principles calculations
[1] Novoselov K S, Geim A K, Morozov S V, et al. 2004 Science 306 666
Google Scholar
[2] Zhang Z W, Lang Y F, Zhu H P, Li B, Zhao Y Q, Wei B, Zhou W X 2024 Phys. Rev. Appl. 21 064012
Google Scholar
[3] Liu B, Feng X X, Long M Q, Cai M Q, Yang J L 2022 Phys. Rev. Appl. 18 054036
Google Scholar
[4] 熊祥杰, 钟防, 张资文, 陈芳, 罗婧澜, 赵宇清, 朱慧平, 蒋绍龙 2024 物理学报 73 137101
Google Scholar
Xiong X J, Zhong F, Zhang Z W, Chen F, Luo J L, Zhao Y Q, Zhu H P, Jiang S L 2024 Acta Phys. Sin. 73 137101
Google Scholar
[5] Zhao Y Q, Liu Z S, Nie G Z, Zhu Z H, Chai Y F, Wang J N, Cai M Q, Jiang S L 2021 Appl. Phys. Lett. 118 173104
Google Scholar
[6] Lang Y F, Zou D F, Xu Y, Jiang S L, Zhao Y Q, Ang Y S 2024 Appl. Phys. Lett. 124 052903
Google Scholar
[7] Liao C S, Ding Y F, Zhao Y Q, Cai M Q 2021 Appl. Phys. Lett. 119 182903
Google Scholar
[8] Tan W, Zhang Z W, Zhou X Y, Yu Z L, Zhao Y Q, Jiang S L, Ang Y S 2024 Phys. Rev. Mater. 8 094414
Google Scholar
[9] Lu X B, Fei R X, Yang L 2019 Phys. Rev. B 100 205409
Google Scholar
[10] Jiang Z, Wang P, Jiang X, Zhao J 2018 Nanoscale Horiz. 3 335
Google Scholar
[11] Sanvito S, Oses C, Xue J, Tiwari A, Zic M, Archer T, Tozman P, Venkatesan M, Coey M, Curtarolo S 2017 Sci. Adv. 3 e1602241
Google Scholar
[12] Zhang S Q, Xu R Z, Luo N N, Zou X L 2021 Nanoscale 13 1398
Google Scholar
[13] Dai C Y, He P, Luo L X, Zhan P X, Guan B, Zheng J 2023 Sci. China Mater. 66 859
Google Scholar
[14] Wang P, Zong Y X, Wen H Y, Xia J B, Wei Z M 2021 Acta Phys. Sin. 70 026801
Google Scholar
[15] Ren K, Wang K, Zhang G 2022 ACS Appl. Electron. Mater. 4 4507
Google Scholar
[16] Peng Z L, Huang J X, Guo Z G 2021 Nanoscale 13 18839
Google Scholar
[17] Zhang L, Yang Z J F, Gong T, Pan R K, Wang H D, Guo Z N, Zhang H, Fu X 2020 J. Mater. Chem. A 8 8813
Google Scholar
[18] Vafaeezadeh M, Thiel W R 2022 Angew. Chem. Int. Edit. 61 e202206403
Google Scholar
[19] Mukherjee T, Kar S, Ray S 2022 J. Mater. Res. 37 3418
Google Scholar
[20] Li C Q, An Y K 2022 Phys. Rev. B 106 115417
Google Scholar
[21] Zhang L, Zhao Y, Liu Y Q, Gao G Y 2023 Nanoscale 15 18910
Google Scholar
[22] Xu L J, Wan W H, Peng Y R, Ge Y F, Liu Y 2024 Ann. Phys. 536 2300388
Google Scholar
[23] Gao Z Y, Mao G Y, Chen S Y, Bai Y, Gao P, Wu C C, Gates I D, Yang W J, Ding X L, Yao J X 2022 Phys. Chem. Chem. Phys. 24 3460
Google Scholar
[24] Liu H, Sun J T, Liu M, Meng S 2018 J. Phys. Chem. Lett. 9 6709
Google Scholar
[25] Nelson J, Sanvito S 2019 Phys. Rev. Mater. 3 104405
Google Scholar
[26] Belot J F, Taufour V, Sanvito S, Hart G L 2023 Appl. Phys. Lett. 123 042405
Google Scholar
[27] Miyazato I, Tanaka Y, Takahashi K 2018 J. Phys.: Condens. Matter 30 06LT01
Google Scholar
[28] Lu S H, Zhou Q H, Guo Y L, Zhang Y H, Wu Y L, Wang J L 2020 Adv. Mater. 32 2002658
Google Scholar
[29] Ma X Y, Lü H Y, Hao K R, Zhao Y M, Qian X F, Yan Q B, Su G 2021 Sci. Bull. 66 233
Google Scholar
[30] Huang T, Yang Z X, Li L, Wan H, Leng C, Huang G F, Hu W Y, Huang W Q 2024 J. Phys. chem. Lett. 15 2428
Google Scholar
[31] Chaney G, Ibrahim A, Ersan F, Çakır D, Ataca C 2021 ACS Appl. Mater. Interfaces 13 36388
Google Scholar
[32] Yan X H, Zheng J M, Zhao X, Zhao P J, Guo P, Jiang Z Y 2024 Phys. Status Solidi Rapid Res. Lett. 18 2300468
Google Scholar
[33] Xin C, Yin Y, Song B, Fan Z, Song Y, Pan F 2023 Chip 2 100071
Google Scholar
[34] Jung S G, Jung G, Cole J M 2024 J. Chem. Inf. Model. 64 6388
Google Scholar
[35] Zhang Q, Tan W, Ning Y Q, Nie G Z, Cai M Q, Wang J N, Zhu H P, Zhao Y Q 2024 Acta Phys. Sin. 73 230201 (in Chinese) [张桥, 谭薇, 宁勇祺, 聂国政, 蔡孟秋, 王俊年, 朱慧平, 赵宇清 2024 物理学报 73 230201]
Google Scholar
Zhang Q, Tan W, Ning Y Q, Nie G Z, Cai M Q, Wang J N, Zhu H P, Zhao Y Q 2024 Acta Phys. Sin. 73 230201 (in Chinese)
Google Scholar
[36] Ward L, Dunn A, Faghaninia A, Zimmermann N E, Bajaj S, Wang Q, Montoya J, Chen J, Bystrom K, Dylla M, Chard K, Asta M, Persson K A, Snyder G J, Foster I, Jain A 2018 Comp. Mater. Sci. 152 60
Google Scholar
[37] Pedregosa F, Varoquaux G, Gramfort A, Michel V, Thirion B, Grisel O, Blondel M, Prettenhofer P, Weiss R, Dubourg V, Vanderplas J, Passos A, Cournapeau D, Brucher M, Perrot M, Duchesnay E 2011 J. Mach. Learn. Res. 12 2825
Google Scholar
[38] Ester M, Kriegel H P, Xu X 2023 Geogr. Anal. 55 207
Google Scholar
[39] Wu J, Chen X Y, Zhang H, Xiong L D, Lei H, Deng S H 2019 J. Electron. Sci. Technol. 17 26
Google Scholar
[40] Ma Q Y, Wan W H, Ge Y F, Li Y M, Liu Y 2022 J. Magn. Magn. Mater. 605 172314
Google Scholar
[41] Yin W J, Tan H J, Ding P J, Wen B, Li X B, Teobaldi G, Liu L M 2021 Mater. Adv. 2 7543
Google Scholar
-
表 1 4种算法模型的最优超参数
Table 1. Optimal hyperparameters of four algorithmic models.
模型 超参数 RF $ D_{{\rm{max}}} $ = 16, $ F_{{\rm{max}}} $ = 0.20, $ N_{{\rm{e}}} $ = 150,
$ L_{{\rm{min}}} $ = 2, $ S_{{\rm{min}}} $ = 6GBDT $ L_{{\rm{r}}} $ = 0.04006057, $ N_{{\rm{e}}} $ = 400, $ D_{{\rm{max}}} $ = 9,
$ {\mathrm{Sub}} $ = 0.8, $ L_{{\rm{min}}} $ = 6, $ S_{{\rm{min}}} $ = 4XGB $ L_{{\rm{r}}} $ = 0.01, $ D_{{\rm{max}}} $ = 14, $ N_{{\rm{e}}} $ = 550,
$ {\mathrm{Sub}} $ = 0.72422896, $\gamma$ = 0.4, $ C_{{\rm{b}}} $ = 0.15ET $ D_{{\rm{max}}} $ = 15, $ F_{{\rm{max}}} $ = 0.46545387, $ N_{{\rm{e}}} $ = 200,
$ L_{{\rm{min}}} $ = 3, $ S_{{\rm{min}}} $ = 5表 2 居里温度预测: 4种机器学习模型的评价指标
Table 2. Curie temperature prediction: Evaluation metrics for four machine learning models.
模型 MAE RMSE R2 RF 39.9912 82.2442 0.9175 GBDT 36.5400 79.1969 0.9235 XGB 33.5953 76.5587 0.9285 ET 40.7323 81.8218 0.9184 -
[1] Novoselov K S, Geim A K, Morozov S V, et al. 2004 Science 306 666
Google Scholar
[2] Zhang Z W, Lang Y F, Zhu H P, Li B, Zhao Y Q, Wei B, Zhou W X 2024 Phys. Rev. Appl. 21 064012
Google Scholar
[3] Liu B, Feng X X, Long M Q, Cai M Q, Yang J L 2022 Phys. Rev. Appl. 18 054036
Google Scholar
[4] 熊祥杰, 钟防, 张资文, 陈芳, 罗婧澜, 赵宇清, 朱慧平, 蒋绍龙 2024 物理学报 73 137101
Google Scholar
Xiong X J, Zhong F, Zhang Z W, Chen F, Luo J L, Zhao Y Q, Zhu H P, Jiang S L 2024 Acta Phys. Sin. 73 137101
Google Scholar
[5] Zhao Y Q, Liu Z S, Nie G Z, Zhu Z H, Chai Y F, Wang J N, Cai M Q, Jiang S L 2021 Appl. Phys. Lett. 118 173104
Google Scholar
[6] Lang Y F, Zou D F, Xu Y, Jiang S L, Zhao Y Q, Ang Y S 2024 Appl. Phys. Lett. 124 052903
Google Scholar
[7] Liao C S, Ding Y F, Zhao Y Q, Cai M Q 2021 Appl. Phys. Lett. 119 182903
Google Scholar
[8] Tan W, Zhang Z W, Zhou X Y, Yu Z L, Zhao Y Q, Jiang S L, Ang Y S 2024 Phys. Rev. Mater. 8 094414
Google Scholar
[9] Lu X B, Fei R X, Yang L 2019 Phys. Rev. B 100 205409
Google Scholar
[10] Jiang Z, Wang P, Jiang X, Zhao J 2018 Nanoscale Horiz. 3 335
Google Scholar
[11] Sanvito S, Oses C, Xue J, Tiwari A, Zic M, Archer T, Tozman P, Venkatesan M, Coey M, Curtarolo S 2017 Sci. Adv. 3 e1602241
Google Scholar
[12] Zhang S Q, Xu R Z, Luo N N, Zou X L 2021 Nanoscale 13 1398
Google Scholar
[13] Dai C Y, He P, Luo L X, Zhan P X, Guan B, Zheng J 2023 Sci. China Mater. 66 859
Google Scholar
[14] Wang P, Zong Y X, Wen H Y, Xia J B, Wei Z M 2021 Acta Phys. Sin. 70 026801
Google Scholar
[15] Ren K, Wang K, Zhang G 2022 ACS Appl. Electron. Mater. 4 4507
Google Scholar
[16] Peng Z L, Huang J X, Guo Z G 2021 Nanoscale 13 18839
Google Scholar
[17] Zhang L, Yang Z J F, Gong T, Pan R K, Wang H D, Guo Z N, Zhang H, Fu X 2020 J. Mater. Chem. A 8 8813
Google Scholar
[18] Vafaeezadeh M, Thiel W R 2022 Angew. Chem. Int. Edit. 61 e202206403
Google Scholar
[19] Mukherjee T, Kar S, Ray S 2022 J. Mater. Res. 37 3418
Google Scholar
[20] Li C Q, An Y K 2022 Phys. Rev. B 106 115417
Google Scholar
[21] Zhang L, Zhao Y, Liu Y Q, Gao G Y 2023 Nanoscale 15 18910
Google Scholar
[22] Xu L J, Wan W H, Peng Y R, Ge Y F, Liu Y 2024 Ann. Phys. 536 2300388
Google Scholar
[23] Gao Z Y, Mao G Y, Chen S Y, Bai Y, Gao P, Wu C C, Gates I D, Yang W J, Ding X L, Yao J X 2022 Phys. Chem. Chem. Phys. 24 3460
Google Scholar
[24] Liu H, Sun J T, Liu M, Meng S 2018 J. Phys. Chem. Lett. 9 6709
Google Scholar
[25] Nelson J, Sanvito S 2019 Phys. Rev. Mater. 3 104405
Google Scholar
[26] Belot J F, Taufour V, Sanvito S, Hart G L 2023 Appl. Phys. Lett. 123 042405
Google Scholar
[27] Miyazato I, Tanaka Y, Takahashi K 2018 J. Phys.: Condens. Matter 30 06LT01
Google Scholar
[28] Lu S H, Zhou Q H, Guo Y L, Zhang Y H, Wu Y L, Wang J L 2020 Adv. Mater. 32 2002658
Google Scholar
[29] Ma X Y, Lü H Y, Hao K R, Zhao Y M, Qian X F, Yan Q B, Su G 2021 Sci. Bull. 66 233
Google Scholar
[30] Huang T, Yang Z X, Li L, Wan H, Leng C, Huang G F, Hu W Y, Huang W Q 2024 J. Phys. chem. Lett. 15 2428
Google Scholar
[31] Chaney G, Ibrahim A, Ersan F, Çakır D, Ataca C 2021 ACS Appl. Mater. Interfaces 13 36388
Google Scholar
[32] Yan X H, Zheng J M, Zhao X, Zhao P J, Guo P, Jiang Z Y 2024 Phys. Status Solidi Rapid Res. Lett. 18 2300468
Google Scholar
[33] Xin C, Yin Y, Song B, Fan Z, Song Y, Pan F 2023 Chip 2 100071
Google Scholar
[34] Jung S G, Jung G, Cole J M 2024 J. Chem. Inf. Model. 64 6388
Google Scholar
[35] Zhang Q, Tan W, Ning Y Q, Nie G Z, Cai M Q, Wang J N, Zhu H P, Zhao Y Q 2024 Acta Phys. Sin. 73 230201 (in Chinese) [张桥, 谭薇, 宁勇祺, 聂国政, 蔡孟秋, 王俊年, 朱慧平, 赵宇清 2024 物理学报 73 230201]
Google Scholar
Zhang Q, Tan W, Ning Y Q, Nie G Z, Cai M Q, Wang J N, Zhu H P, Zhao Y Q 2024 Acta Phys. Sin. 73 230201 (in Chinese)
Google Scholar
[36] Ward L, Dunn A, Faghaninia A, Zimmermann N E, Bajaj S, Wang Q, Montoya J, Chen J, Bystrom K, Dylla M, Chard K, Asta M, Persson K A, Snyder G J, Foster I, Jain A 2018 Comp. Mater. Sci. 152 60
Google Scholar
[37] Pedregosa F, Varoquaux G, Gramfort A, Michel V, Thirion B, Grisel O, Blondel M, Prettenhofer P, Weiss R, Dubourg V, Vanderplas J, Passos A, Cournapeau D, Brucher M, Perrot M, Duchesnay E 2011 J. Mach. Learn. Res. 12 2825
Google Scholar
[38] Ester M, Kriegel H P, Xu X 2023 Geogr. Anal. 55 207
Google Scholar
[39] Wu J, Chen X Y, Zhang H, Xiong L D, Lei H, Deng S H 2019 J. Electron. Sci. Technol. 17 26
Google Scholar
[40] Ma Q Y, Wan W H, Ge Y F, Li Y M, Liu Y 2022 J. Magn. Magn. Mater. 605 172314
Google Scholar
[41] Yin W J, Tan H J, Ding P J, Wen B, Li X B, Teobaldi G, Liu L M 2021 Mater. Adv. 2 7543
Google Scholar
计量
- 文章访问数: 1167
- PDF下载量: 42
- 被引次数: 0








下载: