-
密度泛函理论(Density Functional Theory, DFT)在当代电子结构计算中占据主导地位,然而其计算复杂度随体系规模呈立方增长,制约了其在复杂体系或高精度计算中的应用。近年来,机器学习(Machine Learning,ML)与第一性原理计算的结合,为这一问题提供了新的解决方案。本文对ML加速电子结构计算的方法进行了综述,重点讨论现有研究在加速材料电子结构计算中所取得的重要进展。此外,对未来研究中基于ML技术进一步克服电子结构计算的精度和效率瓶颈、扩展适用范围、实现在大尺度材料体系中计算模拟与实验测量的深度融合做了展望。Density functional theory (DFT) stands as the predominant workhorse for electronic structure calculation across physics, chemistry, and materials science. However, its practical application is fundamentally constrained by a computational cost that scales cubically with system size, rendering high-precision studies of complex or large-scale materials prohibitively expensive. This review addresses the pivotal challenge by surveying the rapidly evolving paradigm of integrating machine learning (ML) with first-principles calculations to dramatically accelerate and scale electronic structure prediction. Our primary objective is to provide a comprehensive and critical overview of the methodological advances, physical outcomes, and transformative potential of this interdisciplinary field.
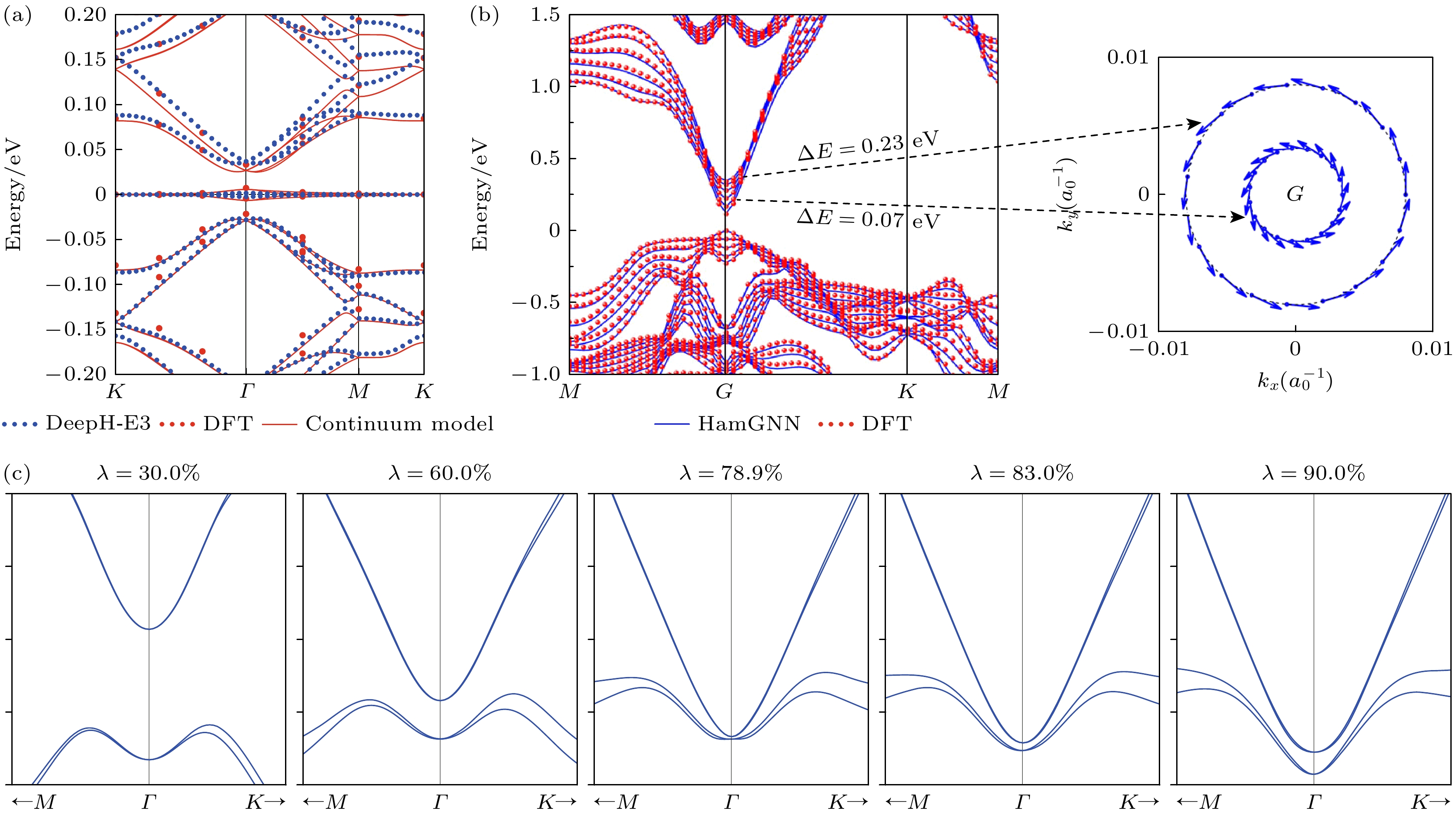
The core methodological progression involves a shift from black-box property predictors to symmetry-preserving, transferable models that learn the fundamental Hamiltonian—the central quantity from which diverse electronic properties derive. We detail this evolution, beginning with pioneering applications in molecular systems using graph neural networks (e.g., SchNOrb, DimeNet) to predict energies, wavefunctions, and Hamiltonian matrices with meV-level accuracy. The review then focuses on the critical extension to periodic solids, where preserving symmetries like E(3)-equivariance and handling vast configurational spaces are paramount. We systematically analyze three leading model families that define the state-of-the-art: the DeepH series, which employs local coordinate message passing and E(3)-equivariant networks to achieve sub-meV accuracy and linear scaling; the HamGNN framework, built on rigorous equivariant tensor decomposition, excelling in modeling systems with spin-orbit coupling and charged defects; and the DeePTB approach, which leverages deep learning for tight-binding Hamiltonian parameterization, enabling quantum-accurate simulations of millions of atoms.
These methods yield significant physical results and computational breakthroughs. Key outcomes include: 1) Unprecedented accuracy and speed. Models consistently achieve Hamiltonian prediction mean absolute errors (MAE) below 1 meV (e.g., DeepH-E3: ~0.4 meV in graphene; HamGNN: ~1.5 meV in QM9 molecules), coupled with computational speedups of 3 to 5 orders of magnitude compared to conventional DFT. 2) Scale bridging. Successful applications now span from small molecules to defect-containing supercells with over 10,000 atoms (e.g., HamGNN-Q on a 13,824-atom GaAs defect) and even to millions of atoms for optoelectronic property simulations (DeePTB). 3) Expanded application scope. The review highlights how these ML-accelerated tools are revolutionizing research in previously intractable areas: predicting spectroscopic properties of molecules (e.g., DetaNet for NMR/UV-Vis spectra), elucidating electronic structures of topological materials and magnetic moiré systems, computing electron-phonon coupling and carrier mobility with DFT-level accuracy but far greater efficiency (HamEPC framework), and enabling high-throughput screening for materials design.
In conclusion, ML-accelerated electronic structure calculation has matured into a powerful paradigm, transitioning from a proof-of-concept to a tool capable of delivering DFT-fidelity results at dramatically reduced cost for systems of realistic scale and complexity. However, challenges remain, including model interpretability ("black-box" nature), transferability to unseen elements, and seamless integration with existing plane-wave DFT databases. Future directions point towards physics-constrained unsupervised learning (e.g., DeepH-zero), development of more universal and element-agnostic architectures, and the creation of closed-loop, artificial intelligence (AI)-driven discovery pipelines. By overcoming current limitations, these methods hold the potential to fundamentally reshape the materials research landscape, accelerating the journey from atomistic simulation to rational material design and discovery.-
Keywords:
- Machine Learning /
- Graph Neural Networks /
- First-Principles /
- Electronic Structure
-
[1] Hohenberg P, Kohn W 1964 Phys. Rev. 136 B864
[2] Kohn W, Sham L J 1965 Phys. Rev. 140 A1133
[3] Medvedev M G, Bushmarinov I S, Sun J W, Perdew J P, Lyssenko K A 2017 Science 355 49
[4] Verma P, Truhlar D G 2020 Trends. in Chem. 2 302
[5] Bloch F 1929 Zeitschrift für Phys. 52 555
[6] Ihm J, Zunger A and Cohen M L 1979 J. Phys.C: Solid State Phys. 12 4409
[7] Ihm J, Zunger A and Cohen M L 1980 J. Phys. C: Solid State Phys. 13 516
[8] Hegde G, Bowen R C 2017 Sci. Rep. 7 42669
[9] Friedman J, Hastie T, Tibshirani R 2001 The Elements of Statistical Learning (Vol. 1) (Springer Series in Statistics, Springer, Berlin)
[10] Bartók A P, Payne M C, Kondor R, Csányi G 2010 Phys. Rev. Lett. 104 136403
[11] Schütt K T, Arbabzadah F, Chmiela S, Müller K R, Tkatchenko A 2017 Nat. Commun. 8 13890
[12] Wu Z, Ramsundar B, Feinberg E N, Gomes J, Geniesse C, Pappu A S, Leswing K, Pande V 2018 Chem. Sci. 9 513
[13] Hu C, Michaud-Rioux V, Kong X, Guo H 2017 Phys. Rev. Mater. 1 061003 (R)
[14] Simm G N, Vaucher A C, Reiher M 2019 J. Phys. Chem. A 123 385
[15] Rumelhart D E, Hinton G E, Williams R J 1986 Nature 323 6088
[16] Agrawal P M, Raff L M, Hagan M T, Komanduri R 2005 J. Chem. Phys. 122 084104
[17] Lorenz S, Scheffler M, Gross A 2006 Phys. Rev. B 73 115431
[18] Hu W, Ye S, Zhang Y J, Li T, Zhang G, Luo Y, Mukamel S, Jiang J 2019 J. Phys. Chem. Lett. 10 6026
[19] Kazan H, Ray D, Chan E T, Hughes T R, Morris Q 2010 PLOS. Comput. Biol. 6 1000832
[20] Soares T A, Nunes-Alves A, Mazzolari A et al 2022 J. Chem. Inf. Model. 62 S317
[21] de Pablo J J, Jackson N E, Webb M A, Chen L-Q, Moore J E, Morgan D, Jacobs R, Pollock T, Schlom D G, Toberer E S, Analytis J, Dabo I, DeLongchamp D M, Fiete G A, Grason G M, Hautier G, Mo Y, Rajan K, Reed E J, Rodriguez E, Stevanovic V, Suntivich J, Thornton K, Zhao J-C 2019 npj Comput. Mater. 5 41
[22] Hegde G, Bowen R C 2017 Sci. Rep. 7 42669
[23] Hastie T, Tibshirani R, Friedman J 2009 The Elements of Statistical Learning: Data Mining, Inference, and Prediction (2nd ed.) (New York: Springer) p167(in American)
[24] Bartók A P, Payne M C, Kondor R, Csányi G 2010 Phys. Rev. Lett. 104 136403
[25] Scarselli F, Gori M, Tsoi A C, Hagenbuchner M, Monfardini G 2009 IEEE Trans. Neural Netw. 20 61
[26] Schütt K T, Arbabzadah F, Chmiela S, Müller K R, Tkatchenko A 2017 Nat. Commun. 8 13890
[27] Wu Z, Ramsundar B, Feinberg E N, Gomes J, Geniesse C, Pappu A S, Leswing K, Pande V 2018 Chem Sci. 9 513–530
[28] Schütt K T, Gastegger M, Tkatchenko A, Müller K-R, Maurer R J 2019 Nat. Commun. 10 5024
[29] Gasteiger J, Groß J, Günnemann S 2020 Proceedings of the 15th International Conference on Learning Representations. Addis Ababa, 2020
[30] Ramakrishnan R, Dral P O, Rupp M, von Lilienfeld O A 2014 Quantum chemistry structures and properties of 134 kilo molecules Sci. Data 1 140022
[31] Bhat H S, Ranka K, Isborn C M 2020 Int. J. Dyn. Control 8 1089–1101
[32] Unke O T, Bogojeski M, Gastegger M, Geiger M, Smidt T, Müller K-R 2021 Proceedings of the 35th International Conference on Neural Information Processing Systems Canada December 6-14 2021 p14434
[33] Westermayr J, Gastegger M, Marquetand P 2020 J. Phys. Chem. Lett. 11 3828
[34] Nigam J, Willatt M J, Ceriotti M 2022 J. Chem. Phys. 156 014115
[35] Cignoni E, Cupellini L, Mennucci B 2023 J. Chem. Theor. Comput. 19 965
[36] Shao X, Paetow L, Tuckerman M E, Pavanello M 2023 Nat. Commun. 14 6281
[37] Shao X, Paetow L, Tuckerman M E, Pavanello M 2024 Nat. Comput. Sci. 4 210
[38] Ying C, Cai T, Luo S, Zheng S, Ke G, He D, Shen Y, Liu T-Y 2021 35th Conference on Neural Information Processing Systems (NeurIPS 2021) Online December 6-14, 2021 p28877
[39] Tang H, Xiao B, He W, Subasic P, Harutyunyan A R, Wang Y, Liu F, Xu H, Li J 2025 Nat. Comput. Sci. 5 144
[40] Raghavachari K, Trucks G W, Pople J A, Head-Gordon M 1989 Chem. Phys. Lett. 157 479
[41] Venturella C, Li J, Hillenbrand C, Peralta X L, Liu J, Zhu T 2025 Nat. Comput. Sci. 5 502
[42] Hedin L 1965 Phys. Rev. 139 A796
[43] Salpeter E E, Bethe H A 1951 Phys. Rev. 84 1232
[44] Li J Q, He T J, Wang J, Liu F Z 1990 Introduction to the Structure of Matter (Hefei: China University of Science and Technology Press) p112 (in Chinese) [李俊清,何天敬,王俭,刘凡镇 1990 物质结构导论(合肥:中国科学技术大学出版社)第112页]
[45] Li H, Wang Z, Zou N, Ye M, Xu R, Gong X, Duan W, Xu Y 2022 Nat. Comput. Sci. 2 367
[46] Li H, Tang Z, Gong X, Zou N, Duan W, Xu Y 2023 Nat. Comput. Sci. 3 321
[47] Gong X, Li H, Zou N, Xu R, Duan W, Xu Y 2023 Nat. Commun. 14 2848
[48] Wang Y, Li Y, Tang Z, Li H, Yuan Z, Tao H, Zou N, Bao T, Liang X, Chen Z, Xu S, Bian C, Xu Z, Wang C, Si C, Duan W, Xu Y 2024 Sci. Bull. 69 2514
[49] Wang Y, Li H, Tang Z, Tao H, Wang Y, Yuan Z, Chen Z, Duan W, Xu Y 2024 arXiv:2401.17015v1
[50] Li Y, Tang Z, Chen Z, Sun M, Zhao B, Li H, Tao H, Yuan Z, Duan W, Xu Y 2024 Phys. Rev. Lett. 133 076401
[51] Zhong Y, Yu H, Su M, Gong X, Xiang H 2023 npj Comput. Mater. 9 182
[52] Zhong Y, Yu H, Yang J, Guo X, Xiang H, Gong X 2024 Chin. Phys. Lett. 41 077103
[53] Zhong Y, Liu S, Zhang B, Tao Z, Sun Y, Chu W, Gong X-G, Yang J-H, Xiang H 2024 Nat. Comput. Sci. 4 615
[54] Ma Y, Yu H, Zhong Y, Chen S, Gong X, Xiang H 2025 Appl. Phys. Lett. 126 044103
[55] Gu Q, Zhouyin Z, Pandey S K, Zhang P, Zhang L, E W 2024 Nat. Commun. 15 6772
[56] Zhouyin Z H, Gan Z, Pandey S K et al 2025 The Thirteenth International Conference on Learning Representations(ICLR) Vienna, Austria, Apr 24-28 2025
[57] Gilmer J, Schoenholz S S, Riley P F, Vinyals O, Dahl G E2017 Proceedings of the 34th International Conference on Machine Learning (ICML) Sydney, Australia, August 6-11, 2017 p1263
[58] Kohn W 1996 Phys. Rev. Lett. 76 3168
[59] Taco S C, Welling M 2016 Proceedings of the 33rd International Conference on Machine Learning USA June 20-22, 2016 p2990
[60] Tung W K 1985 Group Theory in Physics (Singapore: World Scientific Publishing) p205
[61] Tokura Y, Yasuda K, Tsukazaki A 2019 Nat. Rev. Phys. 1 126
[62] Thomas N, Smidt T, Kearnes S, Yang L, Li L, Kohlhoff K, Riley P 2019 arXiv:1802.08219v3
[63] Griffiths D J 2005 Introduction to Quantum Mechanics (2nd ed.) (Upper Saddle River: Pearson Prentice Hall) p186
[64] Vaswani A, Shazeer N, Parmar N, Uszkoreit J, Jones L, Gomez A N, Kaiser Ł, Polosukhin I 2017 Neural Information Processing Systems (NeurIPS) USA December 4-9, 2017 p6000
[65] Jain A, Ong S P, Hautier G, Chen W, Richards W D, Dacek S, Cholia S, Gunter D, Skinner D, Ceder G, Persson K A 2013 APL Mater. 1 011002
[66] Huber S P, Zoupanos S, Uhrin M, Talirz L, Kahle L, Häuselmann R, Gresch D, Müller T, Yakutovich A V, Andersen C W, Ramirez F F, Adorf C S, Gargiulo F, Kumbhar S, Passaro E, Johnston C, Merkys A, Cepellotti A, Mounet N, Marzari N, Kozinsky B, Pizzi G 2020 Sci. Data 7 300
[67] Perdew J P, Burke K, Ernzerhof M 1996 Phys. Rev. Lett. 77 3865
[68] Anderson B M, Hy T S, Kondor R 2019 Neural Information Processing Systems (NeurIPS) Canda December 5-14, 2019 p14537
[69] Ramakrishnan R, Dral P O, Rupp M, von Lilienfeld O A2014 Sci. Data. 1 140022
[70] Gu Q Q, Zhang L F, Feng J 2022 Sci. Bull. 67 29
[71] Yuan S, De Raedt H, Katsnelson M I 2010 Phys. Rev. B 82 115448
[72] Zhang Z, Wang J, Zhang Y, Xu J, Long R2022 J. Phys. Chem. Lett. 13 10734
[73] Wang B, Winkler L, Wu Y, Müller K-R, Sauceda H E, Prezhdo O V2023 J. Phys. Chem. Lett. 14 7092
[74] Cignoni E, Cupellini L, Mennucci B 2023 J. Chem. Theor. Comput. 19 965
[75] Fu L, Wu Y, Shang H, Yang J 2024 J. Chem. Theor. Comput. 20 6218
[76] Shang H, Guo C, Wu Y, Li Z, Yang J 2024 arXiv: 2307.09343
[77] Rumelhart D E, Hinton G E, Williams R J 1986 Nature 323 533
[78] Slater J C 1929 Phys. Rev. 34 1293
[79] Cho Y, Choi G, Ham G, Shin M, Kim D 2024 Mach. Learn.: Sci. Technol. 5 035060
[80] Chapelle O, Schölkopf B, Zien A 2009 Semi-Supervised Learning (Cambridge: MIT Press)
[81] Cao B, Dong J, Wang Z, Wang L 2025 J. Phys. Chem. Lett. 16 4907
[82] Zhang L, Han J, Wang H, Car R, E W 2018 Phys. Rev. Lett. 120 143001
[83] Behler J, Parrinello M 2007 Phys. Rev. Lett. 98 146401
[84] Zou Z, Zhang Y, Liang L, Wei M, Leng J, Jiang J, Luo Y, Hu W 2023 Nat. Comput. Sci. 3 957
[85] Freysoldt C, Neugebauer J, Van de Walle C G 2009 Phys. Rev. Lett. 102 016402
[86] Van de Walle C G, Neugebauer J 2004 J. Appl. Phys. 95 3851
[87] Batatia I, Kovács D P, Simm G N C, Ortner C, Csányi G2022 36th Conference on Neural Information Processing Systems (NeurIPS 2022) USA November 28-December 9, 2022 p11423
[88] Bartók A P, Payne M C, Kondor R, Csányi G 2010 Phys. Rev. Lett. 104 136403
[89] Merchant A, Batzner S, Schoenholz S S, Aykol M, Cheon G, Cubuk E D 2023 Nature 624 80
[90] Mott N F 1949 Proc. Phys. Soc. A 62 416
[91] Aspnes D E, Studna A A 1983 Phys. Rev. B 27 985
[92] Jones D, Kim H, Zhang X, Zemla A, Stevenson G, Bennett W F D, Kirshner D, Wong S E, Lightstone F C, Allen J E 2021 J. Chem. Inf. Model. 61 565
[93] Musil F, Grisafi A, Bartók A P, Ortner C, Csányi G, Ceriotti M 2021 Chem. Rev. 121 9759
[94] Raissi M, Perdikaris P, Karniadakis G E 2019 J. Comput. Phys. 378 686
[95] He Y, Li T, Gan Z, Chen Y, Wang L 2025 Sci. Sin. Chim. 55 1751(in Chinese)[何易城, 李滕辉,甘子熙,陈怡锦,王林军 2025 中国科学:化学 55 1751]
[96] Takamoto S, Shinagawa C, Motoki D, Nakago K, Li W, Kurata I, Watanabe T, Yayama Y, Iriguchi H, Asano Y, Onodera T, Ishii T, Kudo T, Ono H, Sawada R, Ishitani R, Ong M, Yamaguchi T, Kataoka T, Hayashi A, Charoenphakdee N, Ibuka T 2022 Nat. Commun. 13 2991
[97] Bartel C J, Trewartha A, Wang Q, Dunn A, Jain A, Ceder G 2020 Npj. Comput. Mater. 55 1751
[98] Gong X, Louie S G, Duan W, Xu Y 2024 Nat. Comput. Sci. 4 752
[99] Smith J S, Nebgen B, Lubbers N, Isayev O, Roitberg A E 2018 J. Chem. Phys. 148 241733
[100] Wang H, Fu T, Du Y, Gao W, Huang K, Liu Z, Chandak P, Liu S, Van Katwyk P, Deac A, Anandkumar A, Bergen K, Gomes C P, Ho S, Kohli P, Lasenby J, Leskovec J, Liu T-Y, Manrai A, Marks D, Ramsundar B, Song L, Sun J, Tang J, Veličković P, Welling M, Zhang L, Coley C W, Bengio Y, Zitnik M 2023 Nature 620 47
[101] Gao L, Lin J, Wang L, Du L 2024 Acc. Mater. Res. 5 571
[102] Zeni C, Pinsler R, Zügner D, Fowler A, Horton M, Fu X, Wang Z, Shysheya A, Crabbé J, Ueda S, Sordillo R, Sun L, Smith J, Nguyen B, Schulz H, Lewis S, Huang C-W, Lu Z, Zhou Y, Yang H, Hao H, Li J, Yang C, Li W, Tomioka R, Xie T 2025 Nature 639 624
计量
- 文章访问数: 49
- PDF下载量: 3
- 被引次数: 0








下载: