-
本文设计了一种特殊的完全条纹水电极介质阻挡放电装置, 通过求解拉普拉斯方程发现其产生了条纹状非均匀电场. 采用该装置在空气和氩气的混合气体放电中, 观测到了多种具有D2h对称性的条纹斑图, 其中4种条纹超点阵斑图为首次获得. 选取其中结构最复杂的大小点蜂窝条纹超点阵斑图进行研究, 该斑图由小点、大点和蜂窝框架三套放电丝子结构嵌套构成. 实验利用光谱仪测量了不同子结构的发射光谱, 发现其处于不同的等离子体状态; 采用高速照相机和光电倍增管对其时空动力学进行测量, 发现放电顺序为小点→大点→蜂窝框架, 其中蜂窝框架由随机放电丝叠加而成. 理论上, 通过求解泊松方程模拟了不同时刻的电场分布, 很好地解释了上述斑图的形成机制.In this work, a special striped water electrode dielectric barrier discharge device is designed. Through numerical solutions of the Laplace equation, the spatial distribution of the applied electric field is revealed to exhibit a strip-shaped nonuniform distribution featuring the alternating regions of enhanced and weakened field intensity. These field gradients play a pivotal role in governing the plasma, for the intensified regions act as preferential sites for discharge onset, directly shaping the formation and evolution of plasma structures. Using this device, a series of novel striped patterns is observed in the discharge of a mixed gas of air and argon, marking a significant advancement in pattern formation studies. Notably, four striped superlattice patterns are obtained for the first time, each displaying intricate structural hierarchies. Among them, the large and small dot honeycomb striped superlattice pattern featuring structural complexity is chosen to investigate the formation mechanisms. The pattern is composed of three substructures: small dots, large dots, and a honeycomb framework. In the experiment, the emission spectra of different substructures are measured using a spectrograph, revealing that they are in different plasma states. The spatiotemporal dynamic behaviors of the pattern are observed using a high-speed camera and two photomultiplier tubes. It is found that the discharge sequence is small dots → large dots → honeycomb framework, where the honeycomb framework is formed by the superposition of random discharge filaments. The electric field distributions at different times are simulated by solving the Poisson equation, and the result well explains the formation mechanism of the above-mentioned patterns.
-
Keywords:
- dielectric barrier discharge /
- pattern /
- plasma
[1] Kogelschatz U 2010 J. Phys. Conf. Ser. 257 012015
Google Scholar
[2] Joron M, Jiggins C D, Papanicolaou A, McMillan W O 2006 Heredity 97 157
Google Scholar
[3] Werner T, Koshikawa S, Williams T M, Carroll S B 2010 Nature 464 1143
Google Scholar
[4] Rogers J L, Schatz M F, Brausch O, Pesch W 2000 Phys. Rev. Lett. 85 4281
Google Scholar
[5] Perkins A C, Grigoriev R O, Schatz M F 2011 Phys. Rev. Lett. 107 064501
Google Scholar
[6] Cominotti R, Berti A, Farolfi A, Zenesini A, Lamporesi G, Carusotto I, Recati A, Ferrari G 2022 Phys. Rev. Lett. 128 210401
Google Scholar
[7] Frumkin V, Gokhale S 2023 Phy. Rev. E 108 L012601
Google Scholar
[8] Bánsági T, Vanag V K, Epstein I R 2011 Science 331 1309
Google Scholar
[9] Kameke A V, Huhn F, Muñuzuri A P, Muñuzuri V P 2013 Phys. Rev. Lett. 110 088302
Google Scholar
[10] Dong L F, He Y F, Yin Z Q, Chai Z F 2004 Plasma Sources Sci. Technol. 13 164.
Google Scholar
[11] Guikema J, Miller N, Niehof J, Klein M, Walhout M 2000 Phys. Rev. Lett. 85 3817
Google Scholar
[12] Zhang B, Zhang X B, Wu S Q 2024 J. Appl. Phys. 136 203304
Google Scholar
[13] Peng B F, Wang R Z, Li J, Jiang N, Yuan D K, Chen Z Q, Lei Z P, Kang A L, Song J C 2024 Appl. Phys. Lett. 125 144102
Google Scholar
[14] Peng B F, Jiang N, Zhu Y F, Li J, Wu Y 2024 Plasma Sources Sci. Technol. 33 045018
Google Scholar
[15] Peng B F, Li J, Jiang N, Jiang Y, Chen Z Q, Lei Z P, Song J C 2024 Phys. Fluids 36 037144
Google Scholar
[16] Liu Q J, You M, Wang J M, Chen Y Y, Guo Z H, Zhu S S, Wu S Q 2024 IEEE Trans. Plasma Sci. 52 3166
Google Scholar
[17] Li J F, Yao J F, Wang Ying, Zhou Z X, Lan Z H, Yuan C X 2024 Adv. Opt. Mater. 12 2303244
Google Scholar
[18] Wang R G, Li B, Zhang T K, Ouyang J T, Sun Y R 2020 Plasma Sci. Technol. 22 085002
Google Scholar
[19] Zhang L, Ouyang J T 2014 Phys. Plasmas 21 103514
Google Scholar
[20] Liu F C, Liu Y N, Liu Q, Wu Z C, Liu Y H, Gao K Y, He Y F, Fan W L, Dong L F 2022 Plasma Sources Sci. Technol. 31 025015
Google Scholar
[21] Dong L F, Li Y H, Yan Z H, He Y N, Li C, Pan Y Y 2025 Chaos Soliton Fractals 200 117023
Google Scholar
[22] Dong L F, Li Y H, Qi X X, Fan W L, Li R, Liu S, Pan Y Y 2025 Opt. Express 33 37246
Google Scholar
[23] Dong L F, Zhang L J, He Y N, Wei T, Li Y H, Li C, Pan Y Y 2024 Appl. Phys. Lett. 125 104101
Google Scholar
[24] Ongrak P, Poolyarat N, Suksaengpanomrung S, Saidarasamoot K, Jirakiattikul Y, Rithichai P 2023 Horticulturae 9 1269
Google Scholar
[25] Kim S J, Kim S, Son B K, Lee K H, Park B J, Cho G 2020 J. Korean Phys. Soc. 77 572
Google Scholar
[26] Fan W L, Hou X H, Tian M, Gao K Y, He Y F, Yang Y X, Liu Q, Yao J F, Liu F C, Yuan C X 2022 Plasma Sci. Technol. 24 015402
Google Scholar
[27] Yao J X, Miao J S, Li J X, Lian X Y, Ouyang J T 2023 Appl. Phys. Lett. 122 082905
Google Scholar
[28] Ouyang J T, Duan X X, Xu S W, He F 2012 Chin. Phys. Lett. 29 025201
Google Scholar
[29] Duan X X, Ouyang J T, Zhao X F, He F 2009 Phys. Rev. E 80 016202
Google Scholar
[30] Dong L F, Xiao H, Fan W L, Zhao H T, Yue H 2010 IEEE Trans. Plasma Sci. 38 2486
Google Scholar
[31] Dong L F, Li B, Lu N, Li X C, Shen Z K 2012 Phys. Plasmas 19 052304
Google Scholar
[32] Dong L F, Li B, Shen Z K, Wang Y J, Lu N 2012 Phys. Rev. E 86 036211
Google Scholar
[33] Dong L F, Liu B B, Li C X, Pan Y Y 2019 Phys. Rev. E 100 063201
Google Scholar
[34] Dong L F, Liu W B, Wang Y J, Zhang X P 2014 IEEE Trans. Plasma Sci. 42 2
Google Scholar
[35] Li C X, Feng J Y, Wang S C, Li C, Ran J X, Pan Y Y, Dong L F 2024 Plasma Sci. Technol. 26 085401
Google Scholar
[36] Dong L F, Mi Y L, Pan Y Y 2020 Phys. Plasmas 27 023504
Google Scholar
[37] Sinclair J, Walhout M 2012 Phys. Rev. Lett. 108 035005
Google Scholar
[38] Liu W B, Wang Y J, Zhang H, Pan Y Y, Dong L F 2016 Rev. Sci. Instrum. 87 056101
Google Scholar
[39] 褚佳惠, 董丽芳, 田淼, 李耀华, 贺玉楠, 张建华, 潘宇扬 2024 中国科学: 物理学 力学 天文学 54 245212
Google Scholar
Chu J H, Dong L F, Tian M, Li Y H, He Y N, Zhang J H, Pan Y Y 2024 Sci. China-Phys. Mech. Astron. 54 245212
Google Scholar
[40] Dong L F, Qi Y Y, Liu W Y, Fan W L 2009 J. Appl. Phys. 106 013301
Google Scholar
[41] Dong L F, Qi Y Y, Zhao Z C, Li Y H 2008 Plasma Sources Sci. Technol. 17 015015
Google Scholar
[42] Dong L F, Ran J X, Mao Z G 2005 Appl. Phys. Lett. 86 161501
Google Scholar
[43] Li Y H, Pan Y Y, Tian M, Wang Y, He Y N, Zhang J H, Chu J H, Dong L F 2023 Phys. Plasmas 30 033502
Google Scholar
[44] Feng J Y, Pan Y Y, Li C X, Liu B B, Dong L F 2020 Phys. Plasmas 27 063516
Google Scholar
[45] Wang Y F, Wang L, Guo D, Fan X L, Harati J, Huang H, Chen P F, Chen X G, Guo T L, Weng J, Deng K 2025 Chem. Eng. Sci. 311 121537
Google Scholar
[46] Polonskyi O, Hartig T, Uzarski J R, Gordon M J 2021 Appl. Phys. Lett. 119 211601
Google Scholar
-
图 1 实验装置图, 其中T1区域为凹槽有水位置, T2区域为无水位置, 红色虚线框标出了完全条纹水电极表面的放电区域, 放电区域长40 mm, 宽30 mm, 气隙d = 2 mm
Fig. 1. Schematic diagram of the experiment, T1 region is the grooved area filled with water, while the T2 region is the water-free area, a red dashed frame marks the discharge area on the surface of fully striped water electrode. Discharge area: length is 40 mm, width is 30 mm, gas gap d = 2 mm.
图 3 不同放电参数条件下(空气与氩气混合气体中氩气的含量χ, 气压p, 电压U)的条纹斑图 (a) 条纹斑图, χ = 0, p = 10 kPa, U = 2.2 kV; (b) 大点晕条纹斑图, χ = 0, p = 10 kPa, U = 2.8 kV; (c) 大小点条纹超点阵斑图, χ = 0, p = 10 kPa, U = 3.2 kV; (d) 双条纹斑图, χ = 0, p = 15 kPa, U = 3.8 kV; (e) 大小点蜂窝条纹超点阵斑图, χ = 30%, p = 20 kPa, U = 4.4 kV; (f) 条纹蜂窝超点阵斑图, χ = 30%, p = 20 kPa, U = 4.8 kV
Fig. 3. Stripe patterns under different discharge parameters (argon content χ in air-argon mixture, pressure p, voltage U): (a) Stripe pattern, χ = 0, p = 10 kPa, U = 2.2 kV; (b) large dot halo stripe pattern, χ = 0, p = 10 kPa, U = 2.8 kV; (c) large and small dots stripe superlattice pattern, χ = 0, p = 10 kPa, U = 3.2 kV; (d) double stripe pattern, χ = 0, p = 15 kPa, U = 3.8 kV; (e) large and small dots honeycomb stripe superlattice pattern, χ = 30%, p = 20 kPa, U = 4.4 kV; (f) stripe honeycomb superlattice pattern, χ = 30%, p = 20 kPa, U = 4.8 kV.
图 4 斑图类型随外加电压增加的演化过程 (a) 初始斑图, U = 2.8 kV; (b) 双条纹斑图, U = 3.4 kV; (c) 大小点蜂窝条纹超点阵斑图, U = 4.4 kV; (d) 条纹蜂窝超点阵斑图, U = 4.8 kV, 其他实验参数 p = 20 kPa, χ = 30%
Fig. 4. Evolution sequence of large and small dots honeycomb stripe superlattice pattern with voltage increase: (a) Initial pattern, U = 2.8 kV; (b) double stripe pattern, U = 3.4 kV; (c) large and small dots honeycomb stripe superlattice pattern, U = 4.4 kV; (d) stripe honeycomb superlattice pattern, U = 4.8 kV, other experimental parameters: p = 20 kPa, χ = 30%.
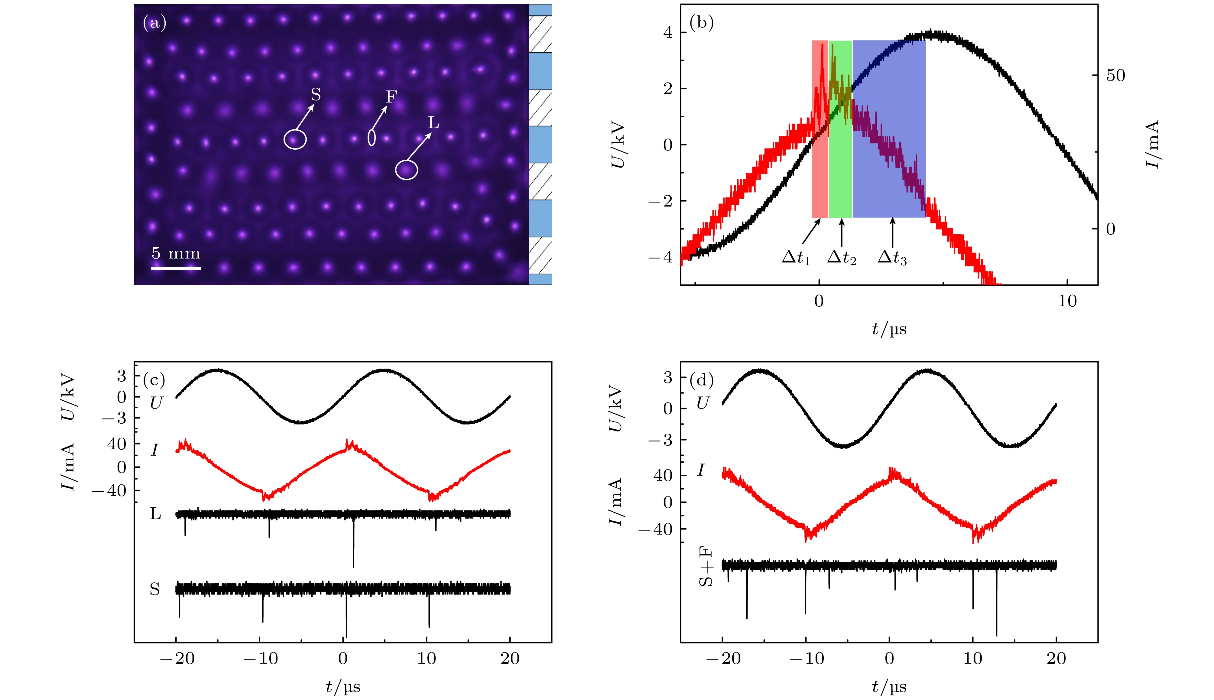
图 5 大小点蜂窝条纹超点阵斑图的光强分布 (a) 大小点蜂窝条纹斑图照片, 白色线框标出了光强模拟区域; (b) 不同子结构光强分布图
Fig. 5. Light intensity distribution of the large and small dots honeycomb stripe superlattice pattern: (a) Photograph of the large and small dots stripe superlattice pattern, the white border outlines the simulated light intensity area; (b) light intensity distribution of the pattern.
图 6 (a) 大小点蜂窝条纹超点阵斑图演化过程随电压 U 与氩气含量 χ 的相图; (b) 大小点蜂窝条纹超点阵斑图随气压 p 与氩气含量 χ 的相图
Fig. 6. (a) Phase diagram of the evolution process of the large and small dots honeycomb stripe superlattice pattern as a function of the voltage U and the argon content χ; (b) phase diagram of the large and small dots honeycomb stripe superlattice pattern as a function of the gas pressure p and argon content χ.
图 7 大小点蜂窝条纹超点阵斑图的发射光谱 (a) 不同子结构在696.54 nm处谱线和中心部分放大图; (b) 子结构S, L和F的电子密度; (c) 不同子结构在360—420 nm内的氮分子发射光谱; (d) 子结构S, L和F的振动温度
Fig. 7. Emission spectra of the large and small dots honeycomb stripe superlattice pattern: (a) Spectral line at 696.54 nm and magnified central region for different substructures; (b) electron density values for substructures S, L and F; (c) N2 emission spectra of substructures within 360–420 nm; (d) vibrational temperatures for substructures S, L and F.
图 8 大小点蜂窝条纹超点阵斑图的时空结构动力学测量 (a) 大小点蜂窝条纹超点阵斑图; (b) 正半周期的电流电压波形图; (c) S和L的时间相关性测量; (d) S和F的时间相关性测量
Fig. 8. Spatial-temporal structure dynamics measurement of large and small honeycomb stripe superlattice pattern: (a) Image of the pattern; (b) waveforms of voltage and current of the pattern in the positive half-cycle; (c) temporal correlation measurement of S and L; (d) temporal correlation measurement of S and F.
图 10 大小点蜂窝条纹超点阵斑图不同放电时刻的电场分布以及对应的子结构放电示意图 (a) 大小点蜂窝条纹超点阵斑图的电压电流波形图; (b) 斑图的示意图; (c)—(e) 正半周期气隙中t1, t2和t3时刻的电场分布; (f)—(h) 负半周期每个子结构开始前的电场分布; (c1)—(h1) 分别对应图(c)—(h)电场分布下的子结构放电示意图
Fig. 10. Electric field distributions at different moments of the large and small dot honeycomb stripe superlattice pattern and the corresponding schematic diagrams of substructure: (a) Applied voltage and current waveforms for the pattern; (b) schematic diagram of the pattern; (c)–(e) electric field distributions in the gas gap at t1, t2, and t3 during the positive half-cycle; (f)–(h) correspond respectively to the electric field distributions before the discharge of each substructure in the negative half-cycle; (c1)–(h1) schematic illustrations of substructure discharge corresponding to the electric fields in panels (c)–(h).
-
[1] Kogelschatz U 2010 J. Phys. Conf. Ser. 257 012015
Google Scholar
[2] Joron M, Jiggins C D, Papanicolaou A, McMillan W O 2006 Heredity 97 157
Google Scholar
[3] Werner T, Koshikawa S, Williams T M, Carroll S B 2010 Nature 464 1143
Google Scholar
[4] Rogers J L, Schatz M F, Brausch O, Pesch W 2000 Phys. Rev. Lett. 85 4281
Google Scholar
[5] Perkins A C, Grigoriev R O, Schatz M F 2011 Phys. Rev. Lett. 107 064501
Google Scholar
[6] Cominotti R, Berti A, Farolfi A, Zenesini A, Lamporesi G, Carusotto I, Recati A, Ferrari G 2022 Phys. Rev. Lett. 128 210401
Google Scholar
[7] Frumkin V, Gokhale S 2023 Phy. Rev. E 108 L012601
Google Scholar
[8] Bánsági T, Vanag V K, Epstein I R 2011 Science 331 1309
Google Scholar
[9] Kameke A V, Huhn F, Muñuzuri A P, Muñuzuri V P 2013 Phys. Rev. Lett. 110 088302
Google Scholar
[10] Dong L F, He Y F, Yin Z Q, Chai Z F 2004 Plasma Sources Sci. Technol. 13 164.
Google Scholar
[11] Guikema J, Miller N, Niehof J, Klein M, Walhout M 2000 Phys. Rev. Lett. 85 3817
Google Scholar
[12] Zhang B, Zhang X B, Wu S Q 2024 J. Appl. Phys. 136 203304
Google Scholar
[13] Peng B F, Wang R Z, Li J, Jiang N, Yuan D K, Chen Z Q, Lei Z P, Kang A L, Song J C 2024 Appl. Phys. Lett. 125 144102
Google Scholar
[14] Peng B F, Jiang N, Zhu Y F, Li J, Wu Y 2024 Plasma Sources Sci. Technol. 33 045018
Google Scholar
[15] Peng B F, Li J, Jiang N, Jiang Y, Chen Z Q, Lei Z P, Song J C 2024 Phys. Fluids 36 037144
Google Scholar
[16] Liu Q J, You M, Wang J M, Chen Y Y, Guo Z H, Zhu S S, Wu S Q 2024 IEEE Trans. Plasma Sci. 52 3166
Google Scholar
[17] Li J F, Yao J F, Wang Ying, Zhou Z X, Lan Z H, Yuan C X 2024 Adv. Opt. Mater. 12 2303244
Google Scholar
[18] Wang R G, Li B, Zhang T K, Ouyang J T, Sun Y R 2020 Plasma Sci. Technol. 22 085002
Google Scholar
[19] Zhang L, Ouyang J T 2014 Phys. Plasmas 21 103514
Google Scholar
[20] Liu F C, Liu Y N, Liu Q, Wu Z C, Liu Y H, Gao K Y, He Y F, Fan W L, Dong L F 2022 Plasma Sources Sci. Technol. 31 025015
Google Scholar
[21] Dong L F, Li Y H, Yan Z H, He Y N, Li C, Pan Y Y 2025 Chaos Soliton Fractals 200 117023
Google Scholar
[22] Dong L F, Li Y H, Qi X X, Fan W L, Li R, Liu S, Pan Y Y 2025 Opt. Express 33 37246
Google Scholar
[23] Dong L F, Zhang L J, He Y N, Wei T, Li Y H, Li C, Pan Y Y 2024 Appl. Phys. Lett. 125 104101
Google Scholar
[24] Ongrak P, Poolyarat N, Suksaengpanomrung S, Saidarasamoot K, Jirakiattikul Y, Rithichai P 2023 Horticulturae 9 1269
Google Scholar
[25] Kim S J, Kim S, Son B K, Lee K H, Park B J, Cho G 2020 J. Korean Phys. Soc. 77 572
Google Scholar
[26] Fan W L, Hou X H, Tian M, Gao K Y, He Y F, Yang Y X, Liu Q, Yao J F, Liu F C, Yuan C X 2022 Plasma Sci. Technol. 24 015402
Google Scholar
[27] Yao J X, Miao J S, Li J X, Lian X Y, Ouyang J T 2023 Appl. Phys. Lett. 122 082905
Google Scholar
[28] Ouyang J T, Duan X X, Xu S W, He F 2012 Chin. Phys. Lett. 29 025201
Google Scholar
[29] Duan X X, Ouyang J T, Zhao X F, He F 2009 Phys. Rev. E 80 016202
Google Scholar
[30] Dong L F, Xiao H, Fan W L, Zhao H T, Yue H 2010 IEEE Trans. Plasma Sci. 38 2486
Google Scholar
[31] Dong L F, Li B, Lu N, Li X C, Shen Z K 2012 Phys. Plasmas 19 052304
Google Scholar
[32] Dong L F, Li B, Shen Z K, Wang Y J, Lu N 2012 Phys. Rev. E 86 036211
Google Scholar
[33] Dong L F, Liu B B, Li C X, Pan Y Y 2019 Phys. Rev. E 100 063201
Google Scholar
[34] Dong L F, Liu W B, Wang Y J, Zhang X P 2014 IEEE Trans. Plasma Sci. 42 2
Google Scholar
[35] Li C X, Feng J Y, Wang S C, Li C, Ran J X, Pan Y Y, Dong L F 2024 Plasma Sci. Technol. 26 085401
Google Scholar
[36] Dong L F, Mi Y L, Pan Y Y 2020 Phys. Plasmas 27 023504
Google Scholar
[37] Sinclair J, Walhout M 2012 Phys. Rev. Lett. 108 035005
Google Scholar
[38] Liu W B, Wang Y J, Zhang H, Pan Y Y, Dong L F 2016 Rev. Sci. Instrum. 87 056101
Google Scholar
[39] 褚佳惠, 董丽芳, 田淼, 李耀华, 贺玉楠, 张建华, 潘宇扬 2024 中国科学: 物理学 力学 天文学 54 245212
Google Scholar
Chu J H, Dong L F, Tian M, Li Y H, He Y N, Zhang J H, Pan Y Y 2024 Sci. China-Phys. Mech. Astron. 54 245212
Google Scholar
[40] Dong L F, Qi Y Y, Liu W Y, Fan W L 2009 J. Appl. Phys. 106 013301
Google Scholar
[41] Dong L F, Qi Y Y, Zhao Z C, Li Y H 2008 Plasma Sources Sci. Technol. 17 015015
Google Scholar
[42] Dong L F, Ran J X, Mao Z G 2005 Appl. Phys. Lett. 86 161501
Google Scholar
[43] Li Y H, Pan Y Y, Tian M, Wang Y, He Y N, Zhang J H, Chu J H, Dong L F 2023 Phys. Plasmas 30 033502
Google Scholar
[44] Feng J Y, Pan Y Y, Li C X, Liu B B, Dong L F 2020 Phys. Plasmas 27 063516
Google Scholar
[45] Wang Y F, Wang L, Guo D, Fan X L, Harati J, Huang H, Chen P F, Chen X G, Guo T L, Weng J, Deng K 2025 Chem. Eng. Sci. 311 121537
Google Scholar
[46] Polonskyi O, Hartig T, Uzarski J R, Gordon M J 2021 Appl. Phys. Lett. 119 211601
Google Scholar
计量
- 文章访问数: 397
- PDF下载量: 3
- 被引次数: 0








下载: