-
玻色-爱因斯坦凝聚体的涡旋研究是探索宏观量子现象的重要途径. 本文聚焦于旋转双势阱中势垒参数对隐藏涡旋形成和演化的影响, 旨在揭示势垒宽度和高度对涡旋动力学的调控机制. 通过数值求解带耗散的Gross-Pitaevskii方程, 分析了不同势垒宽度和高度下凝聚体的密度分布、相位分布、涡旋数量及平均角动量. 结果表明: 增大势垒宽度可以显著促进隐藏涡旋的生成, 且生成的可见涡旋和隐藏涡旋总数仍然满足费曼规则; 当势垒宽度较大时, 隐藏涡旋会沿势垒轴线呈现摆动分布, 反映隐藏涡旋间相互作用增强. 相比之下, 当势垒高度高于临界值(指能够将凝聚体完全分隔的势垒高度)时, 改变其值对生成涡旋数量影响很小; 当势垒高度低于临界值时, 隐藏涡旋核因势阱连通变得可见, 而且可见涡旋的生成阈值降低. 特别地, 在旋转谐振子势阱中临时引入中间势垒可有效引入相位奇点, 促进在较低旋转频率下生成稳定涡旋态, 优于纯谐振子势阱所需的频率. 本研究为实验调控涡旋提供了理论依据, 具有一定的学术价值和应用前景.
-
关键词:
- 玻色-爱因斯坦凝聚体 /
- 涡旋 /
- 双势阱
Vortex dynamics in Bose-Einstein condensates (BECs) are crucial for understanding quantum coherence, superfluidity, and topological phenomena. In this work, we investigate the influence of barrier parameters in a rotating double-well potential on the formation and evolution of hidden vortices, aiming to reveal the regulatory mechanisms of barrier width and height on vortex dynamics. By numerically solving the dissipative Gross-Pitaevskii equation for a two-dimensional BEC system confined strongly along the z-axis, we analyze the density distribution, phase distribution, vortex number, and average angular momentum under varying barrier widths and heights. The results show that increasing barrier width significantly promote the formation of hidden vortices, with the total number of visible and hidden vortices still satisfying the Feynman rule. For larger barrier widths, hidden vortices exhibit an oscillatory distribution due to enhanced vortex interactions. In contrast, when the barrier height is above the critical threshold (i.e. the height sufficient to completely separate the condensate), the effect of the barrier height is limited, but below this critical threshold, the hidden vortex cores become visible, thereby reducing the threshold for vortex formation. A particularly striking finding is the efficacy of a temporary barrier strategy: by reducing $ {V_0} $ from $ 4\hbar {\omega _x} $ to $ 0 $ within a rotating double-well trap, stable vortex states with four visible vortices are generated at $ \varOmega = 0.5{\omega _x} $. Under the same parameter conditions, it is impossible to generate a stable state containing vortices at the same $ \varOmega $ by directly using the rotating harmonic trap. In other words, a temporary barrier within a rotating harmonic trap effectively introduces phase singularities, facilitating stable vortex states at lower rotation frequencies than those required in a purely harmonic trap. These findings demonstrate that precise tuning of barrier parameters can effectively control vortex states, providing theoretical guidance for experimentally observing hidden vortices and advancing the understanding of quantum vortex dynamics.-
Keywords:
- Bose-Einstein condensate /
- vortex /
- double-well potential
[1] Smerzi A, Fantoni S, Giovanazzi S, Shenoy S R 1997 Phys. Rev. Lett. 79 4950
Google Scholar
[2] Albiez M, Gati R, Folling J, Hunsmann S, Cristiani M, Oberthaler M K 2005 Phys. Rev. Lett. 95 010402
Google Scholar
[3] Hall B V, Whitlock S, Anderson R, Hannaford P, Sidorov A I 2007 Phys. Rev. Lett. 98 030402
Google Scholar
[4] Weller A, Ronzheimer J P, Gross C, Esteve J, Oberthaler M K, Frantzeskakis D J, Theocharis G, Kevrekidis P G 2008 Phys. Rev. Lett. 101 130401
Google Scholar
[5] Hofferberth S, Lesanovsky I, Fischer B, Verdu J, Schmiedmayer J 2006 Nat. Phys. 2 710
Google Scholar
[6] Lin Y J, Compton R L, Perry A R, Phillips W D, Porto J V, Spielman J B 2009 Phys. Rev. Lett. 102 130401
Google Scholar
[7] Spielman I B 2009 Phys. Rev. A 79 063613
Google Scholar
[8] Madison K W, Chevy F, Wohlleben W, Dalibard J 2000 Phys. Rev. Lett. 84 806
Google Scholar
[9] Abo-Shaeer J R, Raman C, Vogels J M, Ketterle W 2001 Science 292 476
Google Scholar
[10] Haljan P C, Coddington I, Engels P, Cornell E A 2001 Phys. Rev. Lett. 87 210403
Google Scholar
[11] Hodby E, Hechenblaikner G, Hopkins S A, Marago O M, Foot C J 2001 Phys. Rev. Lett. 88 010405
Google Scholar
[12] Zwierlein M W, Abo-Shaeer J R, Schirotzek A, Schunck C H, Ketterle W 2005 Nature 435 1047
Google Scholar
[13] Weiler C N, Neely T W, Scherer D R, Bradley A S, Davis M J, Anderson B P 2008 Nature 455 948
Google Scholar
[14] Fetter A L 2009 Rev. Mod. Phys. 81 647
Google Scholar
[15] Cooper N R 2008 Adv. Phys. 57 539
Google Scholar
[16] Dalfovo F, Giorgini S, Guilleumas M, Pitaevskii L, Stringari S 1997 Phys. Rev. A 56 3840
Google Scholar
[17] Stringari S 2001 Phys. Rev. Lett. 86 4725
Google Scholar
[18] Penckwitt A A, Ballagh R J, Gardiner C W 2002 Phys. Rev. Lett. 89 260402
Google Scholar
[19] Baym G, Pethick C J 2004 Phys. Rev. A 69 043619
Google Scholar
[20] Aftalion A, Blanc X, Dalibard J 2005 Phys. Rev. A 71 023611
Google Scholar
[21] Mizushima T, Machida K 2010 Phys. Rev. A 81 053605
Google Scholar
[22] Ostrovskaya E A, Kivshar Y S 2004 Phys. Rev. Lett. 93 160405
Google Scholar
[23] Piazza F, Collins L A, Smerzi A 2009 Phys. Rev. A 80 021601
Google Scholar
[24] Wen L H, Xiong H W, Wu B 2010 Phys. Rev. A 82 053627
Google Scholar
[25] Wen L H, Luo X B 2012 Laser Phys. Lett. 9 618
Google Scholar
[26] Sabari S 2017 Phys. Lett. A 381 3062
Google Scholar
[27] Ishfaq A B, Bishwajyoti D 2024 Phys. Rev. E 110 024208
Google Scholar
[28] Wu B, Niu Q 2003 New J. Phys. 5 104
Google Scholar
[29] Liu M, Wen L H, Xiong H W, Zhan M S 2006 Phys. Rev. A 73 063620
Google Scholar
[30] Wen L H, Wang J S, Feng J, Hu H Q 2008 J. Phys. B 41 135301
Google Scholar
-
图 1 不同势阱宽度$ \sigma $下, (a) $ {l_z} $与不同$ \varOmega $下生成的涡旋总数$ {N_{\text{t}}} $的关系, (b) $ {l_z} $与$ \varOmega $的关系, 以及(c) $ {N_{\text{h}}} $与$ \varOmega $的关系
Fig. 1. Relationships of (a) $ {l_z} $ versus $ {N_{\text{t}}} $ for different $ \varOmega $, (b) $ {l_z} $ versus $ \varOmega $, (c) $ {N_{\text{h}}} $ versus $ \varOmega $ for different barrier widths $ \sigma $.
图 2 不同势垒宽度$ \sigma $下, 双势阱以$ \varOmega = 0.9{\omega _x} $旋转时, 凝聚体的密度分布$ {\left| \psi \right|^{2}} $(第1行)和波函数$ \psi $的相位分布(第2行)在$ t = 250\omega _x^{ - 1} $时的情形
Fig. 2. Density distribution $ {\left| \psi \right|^{2}} $ (the first row) and phase distribution of $ \psi $ (the second row) for different widths $ \sigma $ at $ t = 250\omega _x^{ - 1} $ after rotating the double-well potential with $ \varOmega = 0.9{\omega _x} $.
图 3 $ \sigma = 2{d_0} $, 双势阱以$ \varOmega = 0.9{\omega _x} $旋转时, 凝聚体的密度分布$ {\left| \psi \right|^{2}} $(第1行)、波函数$ \psi $的相位分布(第2行), 以及$ {l_z} $随时间的演化(第3行)
Fig. 3. Density distribution $ {\left| \psi \right|^{2}} $ (the first row), phase distribution of $ \psi $ (the second row), and time evolution of $ {l_z} $(the third row) for $ \sigma = 2{d_0} $ after the double-well potential suddenly begins to rotate with $ \varOmega = 0.9{\omega _x} $.
图 4 不同势阱高度$ {V_0} $下, (a) $ {l_z} $与不同$ \varOmega $下生成的涡旋总数$ {N_{\text{t}}} $的关系, (b) $ {l_z} $与$ \varOmega $的关系, (c) $ {N_{\text{h}}} $与$ \varOmega $的关系
Fig. 4. Relationships of (a) $ {l_z} $ versus $ {N_{\text{t}}} $ for different $ \varOmega $, (b) $ {l_z} $ versus $ \varOmega $, (c) $ {N_{\text{h}}} $ versus $ \varOmega $ for different barrier heights $ {V_0} $.
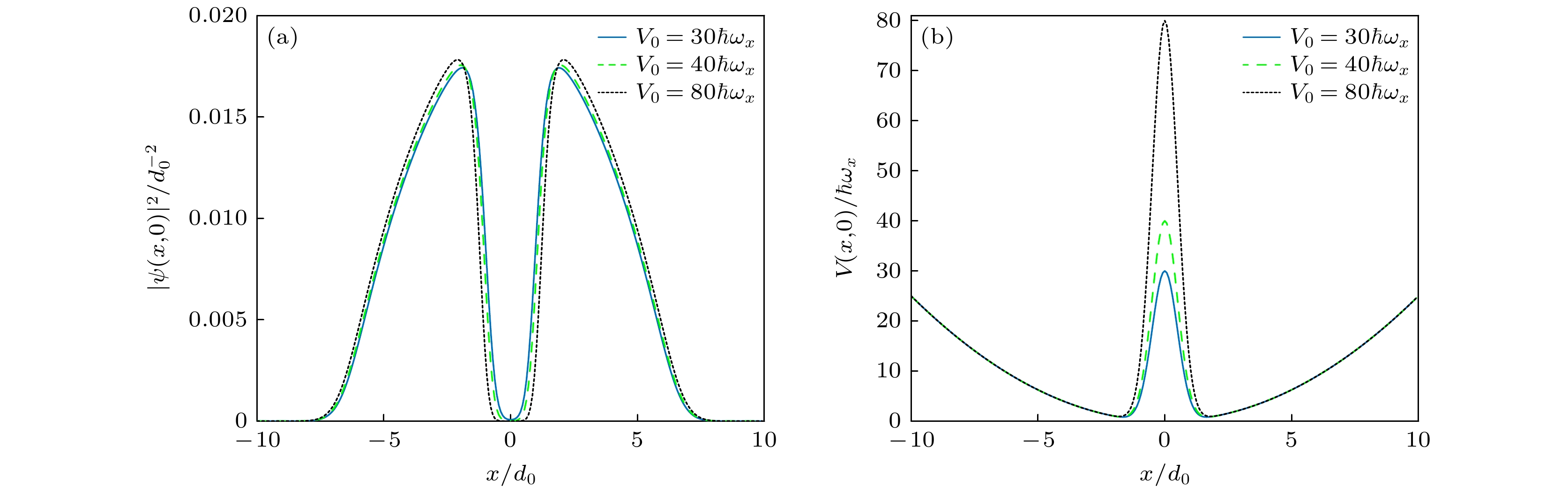
图 5 当$ {V_0} \gt 25\hbar {\omega _x} $时, (a)凝聚体基态密度截面图$ {\left| {\psi (x, 0)} \right|^2} $和(b)势阱截面图$ V(x, 0) $
Fig. 5. (a) Cross-sectional plots $ {\left| {\psi (x, 0)} \right|^2} $ of the initial ground state density and (b) sectional view $ V(x, 0) $ of the potential well along the x-axis for $ {V_0} \gt 25\hbar {\omega _x} $.
图 6 不同势垒高度$ {V_0} $下, 双势阱以$ \varOmega = 0.5{\omega _x} $旋转时, 凝聚体的密度分布$ {\left| \psi \right|^{2}} $(第1行)和波函数$ \psi $的相位分布(第2行)在$ t = 250\omega _x^{ - 1} $时的情形
Fig. 6. Density distribution $ {\left| \psi \right|^{2}} $ (the first row) and phase distribution of $ \psi $ (the second row) for different heights $ {V_0} $ at $ t = 250\omega _x^{ - 1} $ after rotating the double-well potential with $ \varOmega = 0.5{\omega _x} $.
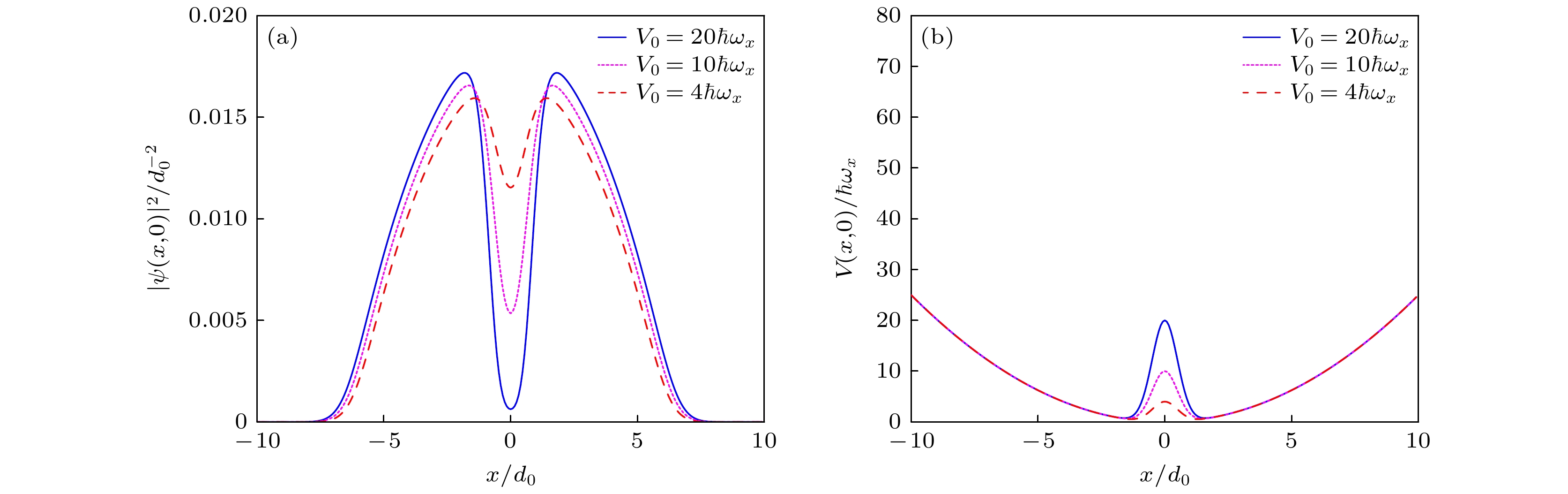
图 7 当$ {V_0} \lt 25\hbar {\omega _x} $时, (a)凝聚体基态密度截面图$ {\left| {\psi (x, 0)} \right|^2} $和(b)势阱截面图$ V(x, 0) $
Fig. 7. (a) Cross-sectional plots $ {\left| {\psi (x, 0)} \right|^2} $ of the initial ground state density and (b) sectional view $ V(x, 0) $ of the potential well along the x-axis for $ {V_0} \lt 25\hbar {\omega _x} $.
图 8 双阱势以$ \varOmega = 0.5{\omega _x} $旋转后, 凝聚体密度分布$ {\left| \psi \right|^{2}} $和波函数$ \psi $相位分布的时间演化, 其中$ {V_0} = 20\hbar {\omega _x} $(第1, 2行), $ {V_0} = 4\hbar {\omega _x} $(第3, 4行)
Fig. 8. Time evolution of the density distribution $ {\left| \psi \right|^{2}} $ and phase distribution of $ \psi $ after the double-well potential suddenly begins to rotate with $ \varOmega = 0.5{\omega _x} $. Among them, $ {V_0} = 20\hbar {\omega _x} $ in the first and second rows, and $ {V_0} = 4\hbar {\omega _x} $ in the third and fourth rows.
-
[1] Smerzi A, Fantoni S, Giovanazzi S, Shenoy S R 1997 Phys. Rev. Lett. 79 4950
Google Scholar
[2] Albiez M, Gati R, Folling J, Hunsmann S, Cristiani M, Oberthaler M K 2005 Phys. Rev. Lett. 95 010402
Google Scholar
[3] Hall B V, Whitlock S, Anderson R, Hannaford P, Sidorov A I 2007 Phys. Rev. Lett. 98 030402
Google Scholar
[4] Weller A, Ronzheimer J P, Gross C, Esteve J, Oberthaler M K, Frantzeskakis D J, Theocharis G, Kevrekidis P G 2008 Phys. Rev. Lett. 101 130401
Google Scholar
[5] Hofferberth S, Lesanovsky I, Fischer B, Verdu J, Schmiedmayer J 2006 Nat. Phys. 2 710
Google Scholar
[6] Lin Y J, Compton R L, Perry A R, Phillips W D, Porto J V, Spielman J B 2009 Phys. Rev. Lett. 102 130401
Google Scholar
[7] Spielman I B 2009 Phys. Rev. A 79 063613
Google Scholar
[8] Madison K W, Chevy F, Wohlleben W, Dalibard J 2000 Phys. Rev. Lett. 84 806
Google Scholar
[9] Abo-Shaeer J R, Raman C, Vogels J M, Ketterle W 2001 Science 292 476
Google Scholar
[10] Haljan P C, Coddington I, Engels P, Cornell E A 2001 Phys. Rev. Lett. 87 210403
Google Scholar
[11] Hodby E, Hechenblaikner G, Hopkins S A, Marago O M, Foot C J 2001 Phys. Rev. Lett. 88 010405
Google Scholar
[12] Zwierlein M W, Abo-Shaeer J R, Schirotzek A, Schunck C H, Ketterle W 2005 Nature 435 1047
Google Scholar
[13] Weiler C N, Neely T W, Scherer D R, Bradley A S, Davis M J, Anderson B P 2008 Nature 455 948
Google Scholar
[14] Fetter A L 2009 Rev. Mod. Phys. 81 647
Google Scholar
[15] Cooper N R 2008 Adv. Phys. 57 539
Google Scholar
[16] Dalfovo F, Giorgini S, Guilleumas M, Pitaevskii L, Stringari S 1997 Phys. Rev. A 56 3840
Google Scholar
[17] Stringari S 2001 Phys. Rev. Lett. 86 4725
Google Scholar
[18] Penckwitt A A, Ballagh R J, Gardiner C W 2002 Phys. Rev. Lett. 89 260402
Google Scholar
[19] Baym G, Pethick C J 2004 Phys. Rev. A 69 043619
Google Scholar
[20] Aftalion A, Blanc X, Dalibard J 2005 Phys. Rev. A 71 023611
Google Scholar
[21] Mizushima T, Machida K 2010 Phys. Rev. A 81 053605
Google Scholar
[22] Ostrovskaya E A, Kivshar Y S 2004 Phys. Rev. Lett. 93 160405
Google Scholar
[23] Piazza F, Collins L A, Smerzi A 2009 Phys. Rev. A 80 021601
Google Scholar
[24] Wen L H, Xiong H W, Wu B 2010 Phys. Rev. A 82 053627
Google Scholar
[25] Wen L H, Luo X B 2012 Laser Phys. Lett. 9 618
Google Scholar
[26] Sabari S 2017 Phys. Lett. A 381 3062
Google Scholar
[27] Ishfaq A B, Bishwajyoti D 2024 Phys. Rev. E 110 024208
Google Scholar
[28] Wu B, Niu Q 2003 New J. Phys. 5 104
Google Scholar
[29] Liu M, Wen L H, Xiong H W, Zhan M S 2006 Phys. Rev. A 73 063620
Google Scholar
[30] Wen L H, Wang J S, Feng J, Hu H Q 2008 J. Phys. B 41 135301
Google Scholar
计量
- 文章访问数: 1370
- PDF下载量: 31
- 被引次数: 0








下载: