-
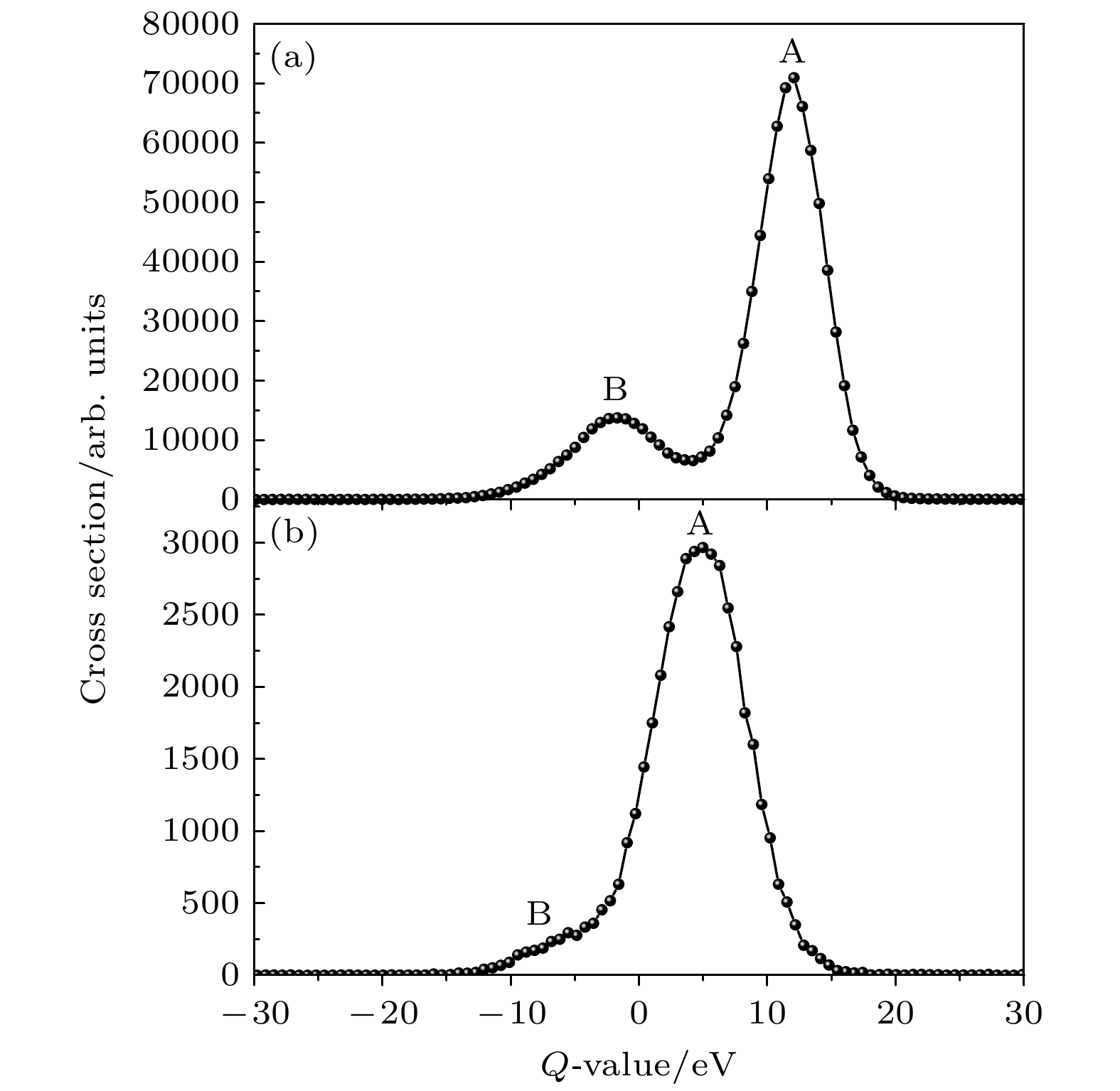
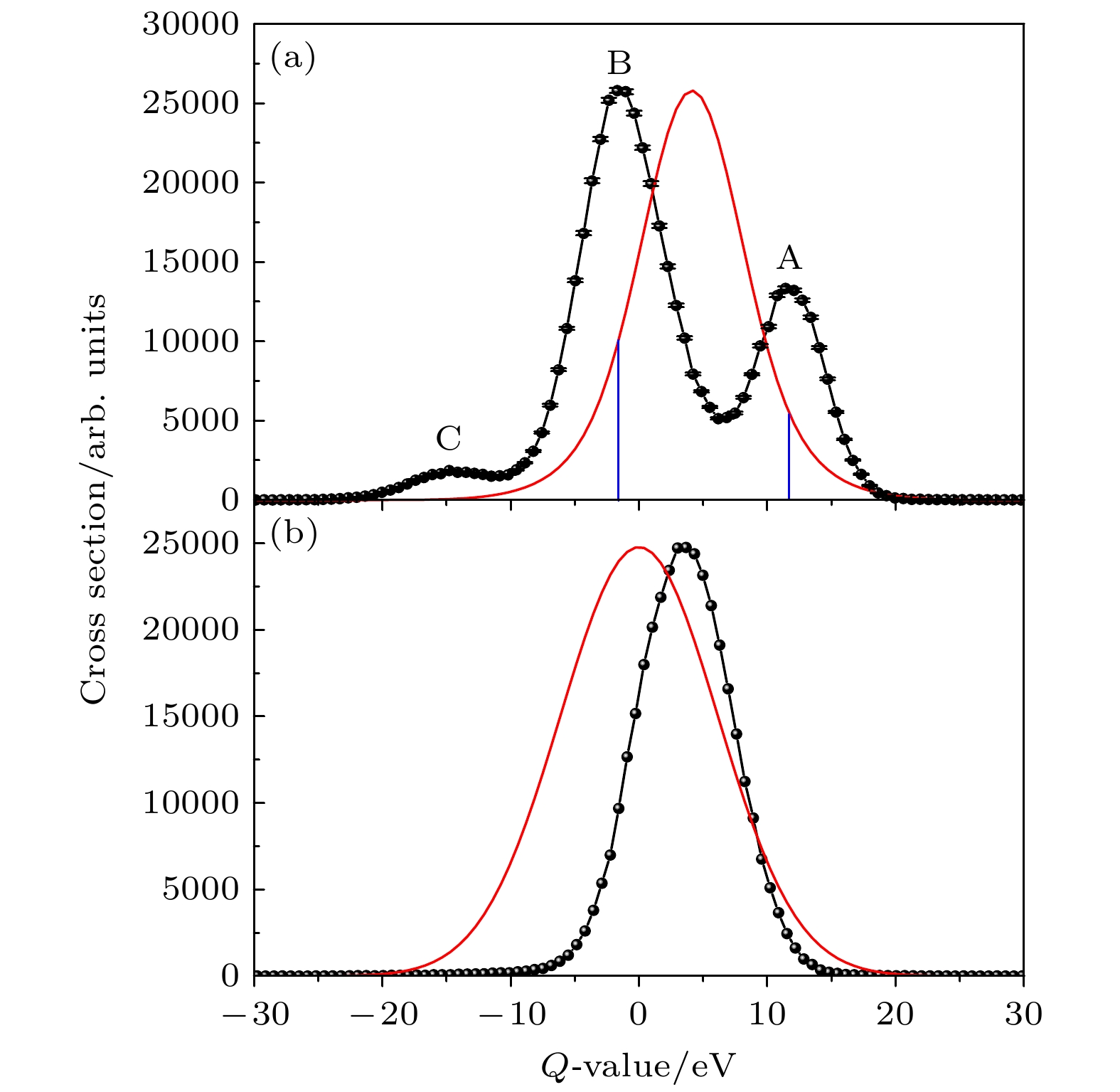
采用反应显微成像谱仪研究了炮弹能量40 keV条件下Ar2+离子与Ar和N2气体碰撞体系的单电子俘获和双电子俘获动力学过程. 通过高精度动量成像技术, 实验成功测定了Ar2+-Ar和Ar2+-N2碰撞体系中态分辨的单电子和双电子俘获截面, 并获取了炮弹离子的散射角分布. 实验数据分析表明: 在单电子俘获过程中, Ar2+与Ar原子作用时, 电子主要被俘获至炮弹$ 3{\mathrm{s}}3{\mathrm{p}}^{6} $激发态; 而与N2分子相互作用时, 电子优先占据$ 3{\mathrm{s}}^{2}3{\mathrm{p}}^{5} $态. 值得注意的是, Ar原子体系的单电子俘获截面分布与分子库仑过垒模型预测的反应窗口呈现良好的一致性. 在双电子俘获过程中, 无论靶介质为Ar原子还是N2分子, 双电子俘获均以基态($ 3{\mathrm{s}}^{2}3{\mathrm{p}}^{6} $)占据主导地位. 此外, 还对Ar2+-Ar/N2的单、双俘获过程的散射角分布进行了分析和定性解释.
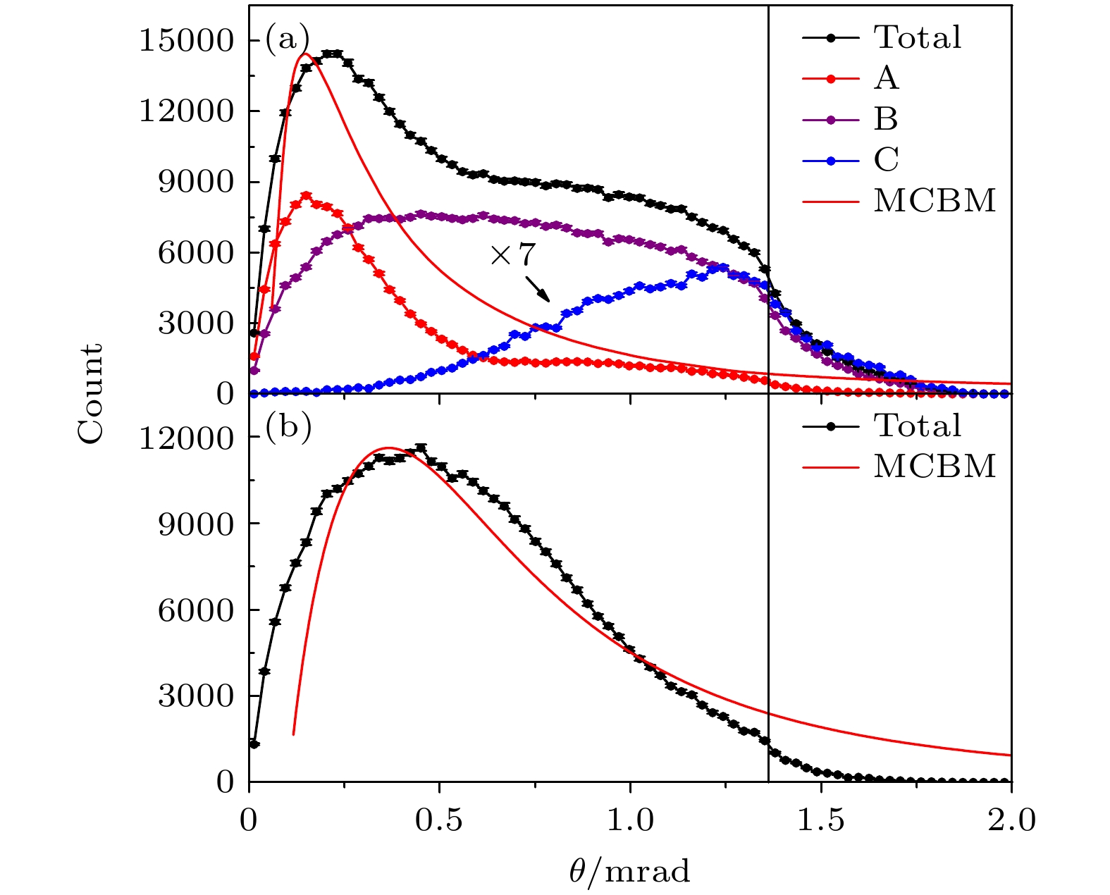
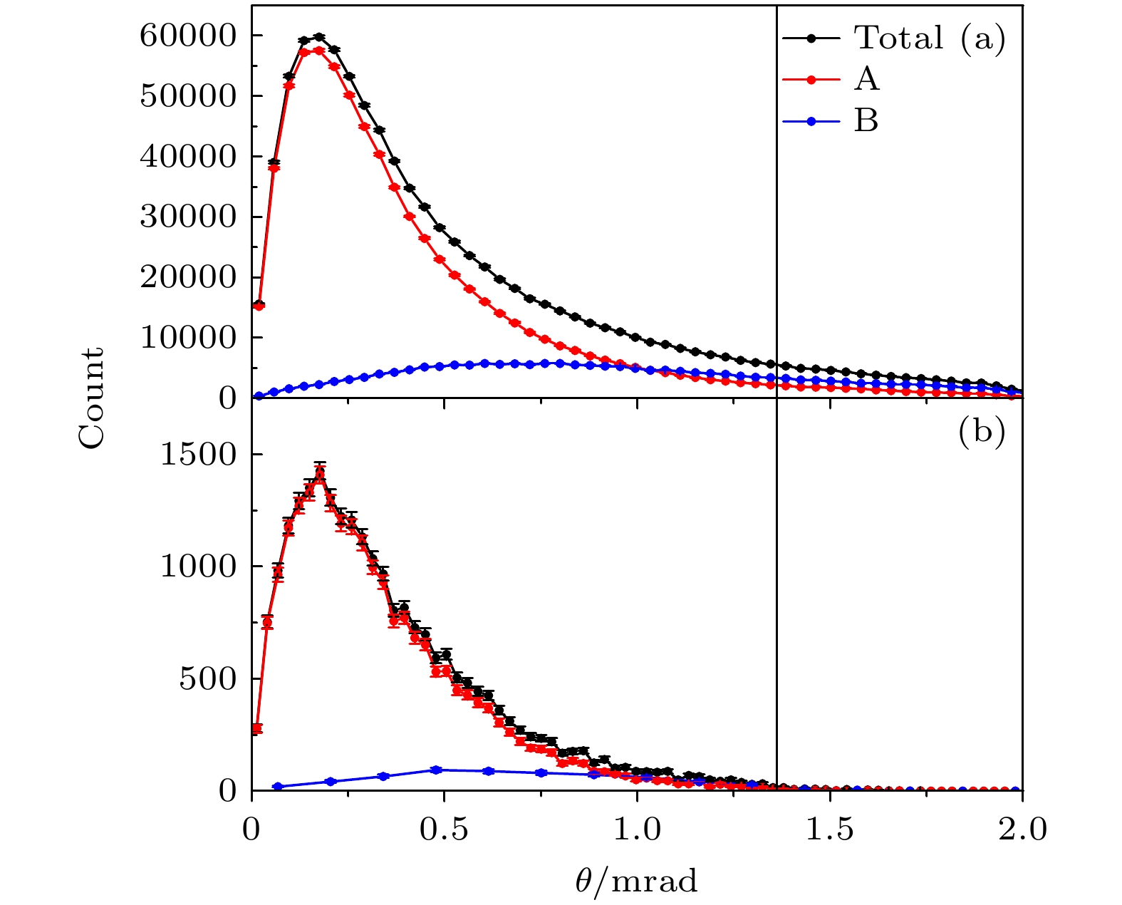
As a fundamental process in atomic physics, charge exchange relies on quantum state-resolved data that is crucial for various fields such as astrophysics and plasma physics. However, there remains a gap in the research on multi-electron target systems. This study aims to investigate the dynamic mechanisms of single/double electron capture in collisions between Ar2+ ions and Ar atoms or N2 molecules at an energy of 40 keV, thereby supplementing high-precision experimental data in this field. The experiment is conducted on the electron beam ion source (EBIS) platform at the Institute of Modern Physics, Chinese Academy of Sciences, using the cold target recoil ion momentum spectroscopy (COLTRIMS) technique. An ion beam containing ground-state Ar2+ (3s23p4 3P) and metastable Ar2+ (3s23p4 1D, 1S) is used as the projectile, colliding with a supersonic Ar/N2 mixed gas target. Three-dimensional momentum of recoil ions is reconstructed through coincidence measurements of recoil ions and scattered ions, and the Q-value and scattering angle distribution are calculated. Theoretical comparisons are performed using the molecular Coulombic over barrier model (MCBM). The results show that there are similarities in the populations of single-electron captured states between the two systems, but the contribution ratios are different: the Q-value spectrum of the Ar2+-Ar system contains an additional characteristic peak, which corresponds to the process where the projectile ion captures an electron from the 3s orbital of the target while its own 3s electron is excited to the 3p orbital. In contrast, this characteristic peak is absent in the Ar2+-N2 system due to the easy dissociation of excited $ \text{N}_{2}^{+} $ ions. For double-electron capture, both systems are dominated by capturing electrons to the ground state, but only the Ar2+-N2 system shows a significant contribution from excited state populations. The comparison of scattering angles reveals that the higher the capture state of the product ion, the larger the corresponding scattering angle is and the smaller the impact parameter is. This is presumably because electron interactions become more complex at smaller impact parameters, leading to a higher probability of capturing electrons to high-energy levels. In the double-electron capture of the Ar2+-N2 system, only the ground-state channel is populated at small angles (0–1.2 mrad). Additionally, electron capture exhibits dependence on impact parameter: as the angle increases (i.e. the impact parameter decreases), the Q-value of the capture reaction decreases, indicating that the reaction tends to be more endothermic. -
Keywords:
- low-energy heavy ions /
- charge exchange /
- state-selective cross-sections /
- angular differential cross-sections /
- reaction microscopes
[1] Cravens T 1997 Geophys. Res. Lett. 24 105
Google Scholar
[2] Isler R 1994 Plasma Phys. Control. Fusion 36 171
Google Scholar
[3] Team D 2010 Plasma Sci. Technol. 12 11
Google Scholar
[4] Lisse C M, Dennerl K, Englhauser J, Harden M, Marshall F E, Mumma M J, Petre R, Pye J P, Ricketts M J, Schmitt J, Trümper J, West R G 1996 Science 274 205
Google Scholar
[5] Wei B R, Zhang R T 2025 Sci. Sin. Phys. Mech. Astron. 55 250008
Google Scholar
[6] Cao T, Meng T, Gao Y, Zhang S F, Zhang R T, Yan S, Zhu X L, Wang J, Ma P, Ren B, Xia Z H, Guo D L, Zhang C J, Lin K Z, Xu S, Wei B, Ma X 2023 Astrophys. J. Suppl. Ser. 266 20
Google Scholar
[7] Lin K Z, Gao Y, Zhu X L, Zhang S F, Cao T, Guo D L, Shan X, Zhao D M, Chen X J, Ma X 2024 Phys. Rev. A 109 052811
Google Scholar
[8] Zhu X B, Xing D D, Lin K Z, Cui S C, Zhu X L, Gao Y, Guo D L, Zhao D M, Zhang S F, Ma X 2024 J. Phys. B: At. Mol. Opt. Phys. 57 045001
Google Scholar
[9] Guo D L, Gao J W, Zhang S F, Zhu X L, Gao Y, Zhao D M, Zhang R T, Wu Y, Wang J G, Dubois A, Ma X 2021 Phys. Rev. A 103 032827
Google Scholar
[10] Xu J W, Xu C X, Zhang R T, Zhu X L, Feng W T, Gu L, Liang G Y, Guo D L, Gao Y, Zhao D M, Zhang S F, Su M G, Ma X 2021 Astrophys. J. Suppl. Ser. 253 13
Google Scholar
[11] Zhu X L, Zhang S F, Gao Y, Guo D L, Xu J W, Zhang R T, Zhao D M, Lin K Z, Zhu X B, Xing D D, Cui S C, Passalidis S, Dubois A, Ma X 2024 Phys. Rev. Lett. 133 173002
Google Scholar
[12] Suk H, Guilbaud A, Hird B 1977 Can. J. Phys. 55 1594
Google Scholar
[13] Rapp D, Francis W E 1962 J. Chem. Phys. 37 2631
Google Scholar
[14] Huber B 1980 J. Phys. B: At. Mol. Phys. 13 809
Google Scholar
[15] Shields G C, Moran T 1983 J. Phys. B: At. Mol. Phys. 16 3591
Google Scholar
[16] Ma P F, Wang J R, Zhang Z X, Meng T M, Xia Z H, Ren B H, Wei L, Yao K, Xiao J, Zou Y M, Tu B S, Wei B R 2023 Nucl. Sci. Tech. 34 156
Google Scholar
[17] Meng T, Wu Y, Yin H, Tan X, Ren B, Ma P, Tu B, Yao K, Xiao J, Zou Y, Wei B 2025 Astrophys. J. Suppl. Ser. 279 45
Google Scholar
[18] Dörner R, Mergel V, Jagutzki O, Spielberger L, Ullrich J, Moshammer R, Schmidt-Böcking H 2000 Phys. Rep. 330 95
Google Scholar
[19] Ullrich J, Moshammer R, Dorn A, Dörner R, Schmidt L P H, Schmidt-Böcking H 2003 Rep. Prog. Phys. 66 1463
Google Scholar
[20] Ryufuku H, Sasaki K, Watanabe T 1980 Phys. Rev. A 21 745
Google Scholar
[21] Niehaus A 1986 J. Phys. B: At. Mol. Phys. 19 2925
Google Scholar
[22] Cornelius K, Wojtkowski K, Olson R E 2000 J. Phys. B: At. Mol. Opt. Phys. 33 2017
Google Scholar
[23] Otranto S, Olson R E, Beiersdorfer P 2006 Phys. Rev. A 73 022723
Google Scholar
[24] Kallman T, Palmeri P 2007 Rev. Mod. Phys. 79 79
Google Scholar
[25] Andersson L, Danared H, Barany A 1987 Nucl. Instrum. Methods Phys. Res. B 23 54
Google Scholar
[26] Zygelman B, Cooper D, Ford M, Dalgarno A, Gerratt J, Raimondi M 1992 Phys. Rev. A 46 3846
Google Scholar
[27] Stevens J, Peterson R, Pollack E 1983 Phys. Rev. A 27 2396
Google Scholar
[28] Kamber E Y, Mathur D, Hasted J B 1982 J. Phys. B: At. Mol. Phys. 15 2051
Google Scholar
[29] Kamber E Y, Jonathan P, Brenton A G, Beynon J H 1987 J. Phys. B: At. Mol. Phys. 20 4129
Google Scholar
[30] Smith D, Grief D, Adams N 1979 Int. J. Mass Spectrom. Ion Phys. 30 271
Google Scholar
[31] Hird B, Ali S 1981 J. Phys. B: At. Mol. Phys. 14 267
Google Scholar
[32] Zhu X L, Cui S C, Xing D D, Xu J W, Najjari B, Zhao D M, Guo D L, Gao Y, Zhang R T, Su M G, Zhang S F, Ma X W 2024 Chin. Phys. B 33 023401
Google Scholar
[33] Cui S C, Xing D D, Zhu X L, Su M G, Gao Y, Guo D L, Zhao D M, Zhang S F, Fu Y B, Ma X W 2024 Chin. Phys. B 33 073401
Google Scholar
[34] Li Z X, Lin K Z, Zhu X L, Li Z L, Yuan H, Gao Y, Guo D L, Zhao D M, Zhang S F, Ma X W 2025 Chin. Phys. B 34 053401
Google Scholar
[35] Xing D D, Cui S C, Wang X X, Zhang D H, Zhu X B, Lin K Z, Gao Y, Guo D L, Zhao D M, Zhang S F, Zhu X L, Ma X 2025 Phys. Rev. A 112 012812
Google Scholar
[36] Zhu X L, Ma X, Li J Y, Schmidt M, Feng W T, Peng H, Xu J W, Zschornack G, Liu H P, Zhang T M, Zhao D M, Guo D L, Huang Z K, Zhou X M, Gao Y, Cheng R, Wang H B, Yang J, Kang L 2019 Nucl. Instrum. Methods Phys. Res. B 460 224
Google Scholar
[37] Ma X, Zhang R T, Zhang S F, Zhu X L, Feng W T, Guo D L, Li B, Liu H P, Li C Y, Wang J G, Yan S C, Zhang P J, Wang Q 2011 Phys. Rev. A 83 052707
Google Scholar
[38] Kramida A, Yu Ralchenko, Reader J, NIST ASD Team 2024 NIST Atomic Spectra Database (Ver. 5.12) https://physics.nist.gov/asd [2025-9-8]
[39] Kamber E Y, Quintana E J, Pollack E 1993 J. Phys. B: At. Mol. Opt. Phys. 26 113
Google Scholar
[40] Kamber E Y, Mathur D, Hasted J B 1982 J. Phys. B: At. Mol. Phys. 15 263
Google Scholar
[41] Chen Y H, Johnson R E, Humphris R R, Siegel M W, Boring J W 1975 J. Phys. B: At. Mol. Phys. 8 1527
Google Scholar
-
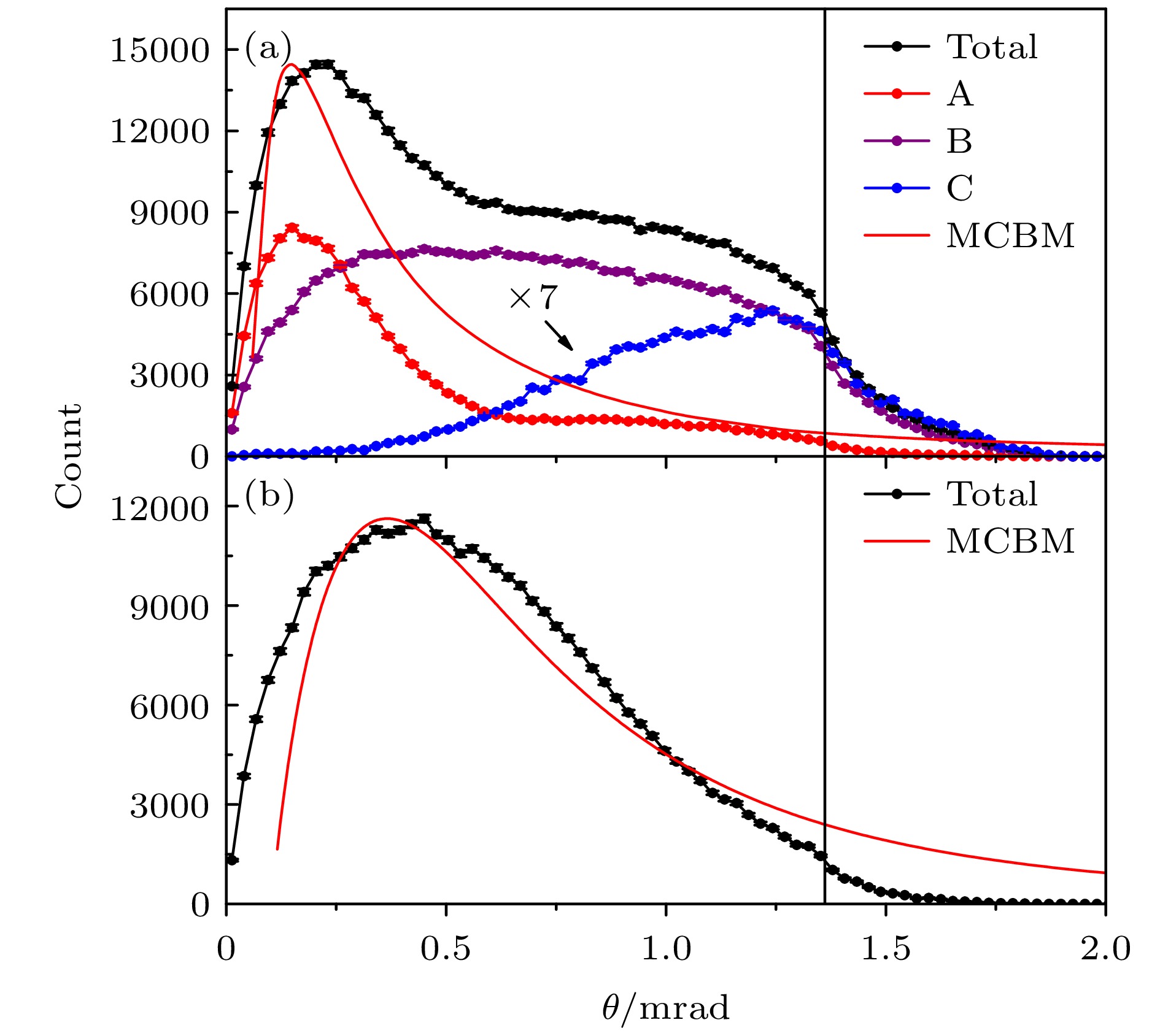
图 2 40 keV能量下Ar2+-Ar碰撞过程的(a)单、(b)双电子俘获的散射角分布. 红色实线表示MCBM计算的散射角分布. 黑色竖线为辅助线, 竖线右侧为未完全收集的部分
Fig. 2. Scattering angle distributions for (a) single and (b) double electron capture in the collision process of Ar2+-Ar at 40 keV energy. The red solid line represents the angular differential cross-section calculated by MCBM. The black vertical lines are auxiliary lines, and the region to the right of the vertical lines indicates the incompletely collected portion
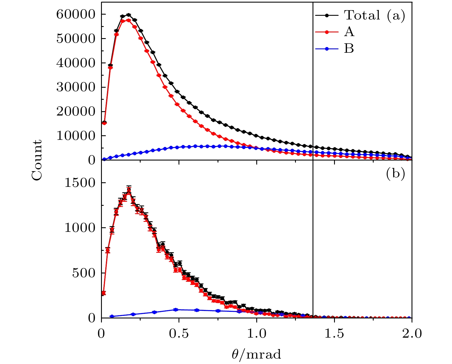
图 4 40 keV能量下Ar2+-N2碰撞过程的单、双电子俘获的散射角分布 (a)单电子俘获过程; (b)双电子俘获过程. 黑色竖线为辅助线, 竖线右侧为未完全收集的部分
Fig. 4. Scattering angle distributions for single and double electron capture in the collision process of Ar2+-N2 at 40 keV energy: (a) The single electron capture process; (b) the double electron capture process. The black vertical lines are auxiliary lines, and the region to the right of the vertical lines indicates the incompletely collected portion.
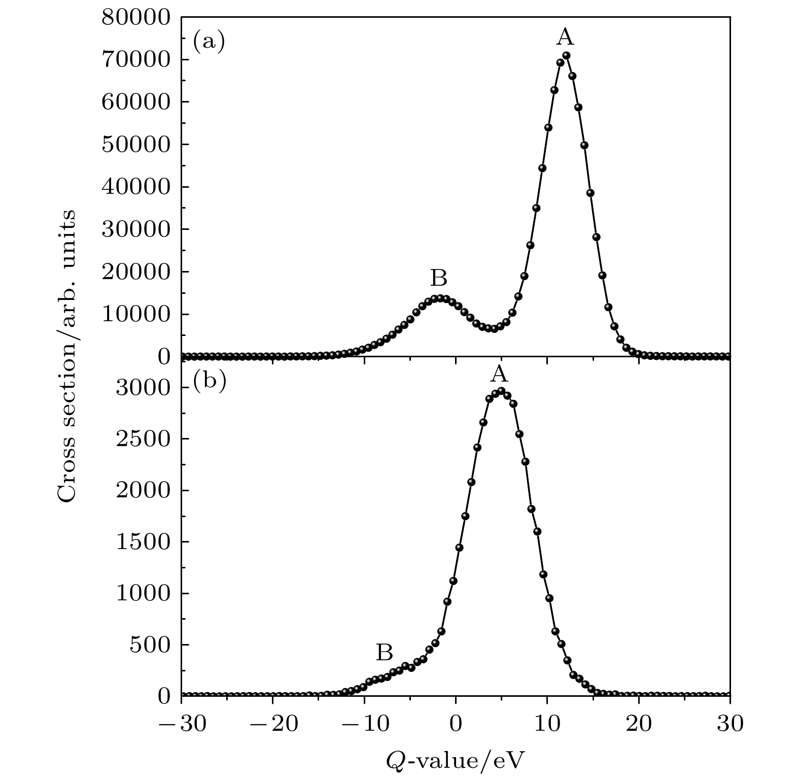
图 5 在40 keV能量下, Ar2+-N2碰撞过程不同散射角范围内双电子俘获的Q值谱, 其中过程 I: Ar2+(3s23p4 3P, 1D, 1S)+N2→Ar(1S)+$ \text{N}_{2}^{2+} $和过程II: Ar2+(3s23p4 3P, 1D, 1S)+N2→Ar(3s23p5nl )+$ \text{N}_{2}^{2+} $
Fig. 5. Spectrum of Q values for double electron capture in the range of different scattering angles for the Ar2+-N2 collision process at 40 keV energy, where Process I: Ar2+(3s23p4 3P, 1D, 1S)+N2→Ar(1S)+$ \text{N}_{2}^{2+} $and Process II: Ar2+(3s23p4 3P, 1D, 1S)+N2→Ar(3s23p5nl )+$ \text{N}_{2}^{2+} $.
-
[1] Cravens T 1997 Geophys. Res. Lett. 24 105
Google Scholar
[2] Isler R 1994 Plasma Phys. Control. Fusion 36 171
Google Scholar
[3] Team D 2010 Plasma Sci. Technol. 12 11
Google Scholar
[4] Lisse C M, Dennerl K, Englhauser J, Harden M, Marshall F E, Mumma M J, Petre R, Pye J P, Ricketts M J, Schmitt J, Trümper J, West R G 1996 Science 274 205
Google Scholar
[5] Wei B R, Zhang R T 2025 Sci. Sin. Phys. Mech. Astron. 55 250008
Google Scholar
[6] Cao T, Meng T, Gao Y, Zhang S F, Zhang R T, Yan S, Zhu X L, Wang J, Ma P, Ren B, Xia Z H, Guo D L, Zhang C J, Lin K Z, Xu S, Wei B, Ma X 2023 Astrophys. J. Suppl. Ser. 266 20
Google Scholar
[7] Lin K Z, Gao Y, Zhu X L, Zhang S F, Cao T, Guo D L, Shan X, Zhao D M, Chen X J, Ma X 2024 Phys. Rev. A 109 052811
Google Scholar
[8] Zhu X B, Xing D D, Lin K Z, Cui S C, Zhu X L, Gao Y, Guo D L, Zhao D M, Zhang S F, Ma X 2024 J. Phys. B: At. Mol. Opt. Phys. 57 045001
Google Scholar
[9] Guo D L, Gao J W, Zhang S F, Zhu X L, Gao Y, Zhao D M, Zhang R T, Wu Y, Wang J G, Dubois A, Ma X 2021 Phys. Rev. A 103 032827
Google Scholar
[10] Xu J W, Xu C X, Zhang R T, Zhu X L, Feng W T, Gu L, Liang G Y, Guo D L, Gao Y, Zhao D M, Zhang S F, Su M G, Ma X 2021 Astrophys. J. Suppl. Ser. 253 13
Google Scholar
[11] Zhu X L, Zhang S F, Gao Y, Guo D L, Xu J W, Zhang R T, Zhao D M, Lin K Z, Zhu X B, Xing D D, Cui S C, Passalidis S, Dubois A, Ma X 2024 Phys. Rev. Lett. 133 173002
Google Scholar
[12] Suk H, Guilbaud A, Hird B 1977 Can. J. Phys. 55 1594
Google Scholar
[13] Rapp D, Francis W E 1962 J. Chem. Phys. 37 2631
Google Scholar
[14] Huber B 1980 J. Phys. B: At. Mol. Phys. 13 809
Google Scholar
[15] Shields G C, Moran T 1983 J. Phys. B: At. Mol. Phys. 16 3591
Google Scholar
[16] Ma P F, Wang J R, Zhang Z X, Meng T M, Xia Z H, Ren B H, Wei L, Yao K, Xiao J, Zou Y M, Tu B S, Wei B R 2023 Nucl. Sci. Tech. 34 156
Google Scholar
[17] Meng T, Wu Y, Yin H, Tan X, Ren B, Ma P, Tu B, Yao K, Xiao J, Zou Y, Wei B 2025 Astrophys. J. Suppl. Ser. 279 45
Google Scholar
[18] Dörner R, Mergel V, Jagutzki O, Spielberger L, Ullrich J, Moshammer R, Schmidt-Böcking H 2000 Phys. Rep. 330 95
Google Scholar
[19] Ullrich J, Moshammer R, Dorn A, Dörner R, Schmidt L P H, Schmidt-Böcking H 2003 Rep. Prog. Phys. 66 1463
Google Scholar
[20] Ryufuku H, Sasaki K, Watanabe T 1980 Phys. Rev. A 21 745
Google Scholar
[21] Niehaus A 1986 J. Phys. B: At. Mol. Phys. 19 2925
Google Scholar
[22] Cornelius K, Wojtkowski K, Olson R E 2000 J. Phys. B: At. Mol. Opt. Phys. 33 2017
Google Scholar
[23] Otranto S, Olson R E, Beiersdorfer P 2006 Phys. Rev. A 73 022723
Google Scholar
[24] Kallman T, Palmeri P 2007 Rev. Mod. Phys. 79 79
Google Scholar
[25] Andersson L, Danared H, Barany A 1987 Nucl. Instrum. Methods Phys. Res. B 23 54
Google Scholar
[26] Zygelman B, Cooper D, Ford M, Dalgarno A, Gerratt J, Raimondi M 1992 Phys. Rev. A 46 3846
Google Scholar
[27] Stevens J, Peterson R, Pollack E 1983 Phys. Rev. A 27 2396
Google Scholar
[28] Kamber E Y, Mathur D, Hasted J B 1982 J. Phys. B: At. Mol. Phys. 15 2051
Google Scholar
[29] Kamber E Y, Jonathan P, Brenton A G, Beynon J H 1987 J. Phys. B: At. Mol. Phys. 20 4129
Google Scholar
[30] Smith D, Grief D, Adams N 1979 Int. J. Mass Spectrom. Ion Phys. 30 271
Google Scholar
[31] Hird B, Ali S 1981 J. Phys. B: At. Mol. Phys. 14 267
Google Scholar
[32] Zhu X L, Cui S C, Xing D D, Xu J W, Najjari B, Zhao D M, Guo D L, Gao Y, Zhang R T, Su M G, Zhang S F, Ma X W 2024 Chin. Phys. B 33 023401
Google Scholar
[33] Cui S C, Xing D D, Zhu X L, Su M G, Gao Y, Guo D L, Zhao D M, Zhang S F, Fu Y B, Ma X W 2024 Chin. Phys. B 33 073401
Google Scholar
[34] Li Z X, Lin K Z, Zhu X L, Li Z L, Yuan H, Gao Y, Guo D L, Zhao D M, Zhang S F, Ma X W 2025 Chin. Phys. B 34 053401
Google Scholar
[35] Xing D D, Cui S C, Wang X X, Zhang D H, Zhu X B, Lin K Z, Gao Y, Guo D L, Zhao D M, Zhang S F, Zhu X L, Ma X 2025 Phys. Rev. A 112 012812
Google Scholar
[36] Zhu X L, Ma X, Li J Y, Schmidt M, Feng W T, Peng H, Xu J W, Zschornack G, Liu H P, Zhang T M, Zhao D M, Guo D L, Huang Z K, Zhou X M, Gao Y, Cheng R, Wang H B, Yang J, Kang L 2019 Nucl. Instrum. Methods Phys. Res. B 460 224
Google Scholar
[37] Ma X, Zhang R T, Zhang S F, Zhu X L, Feng W T, Guo D L, Li B, Liu H P, Li C Y, Wang J G, Yan S C, Zhang P J, Wang Q 2011 Phys. Rev. A 83 052707
Google Scholar
[38] Kramida A, Yu Ralchenko, Reader J, NIST ASD Team 2024 NIST Atomic Spectra Database (Ver. 5.12) https://physics.nist.gov/asd [2025-9-8]
[39] Kamber E Y, Quintana E J, Pollack E 1993 J. Phys. B: At. Mol. Opt. Phys. 26 113
Google Scholar
[40] Kamber E Y, Mathur D, Hasted J B 1982 J. Phys. B: At. Mol. Phys. 15 263
Google Scholar
[41] Chen Y H, Johnson R E, Humphris R R, Siegel M W, Boring J W 1975 J. Phys. B: At. Mol. Phys. 8 1527
Google Scholar
计量
- 文章访问数: 1045
- PDF下载量: 30
- 被引次数: 0








下载: