搜索

x

留言板

尊敬的读者、作者、审稿人, 关于本刊的投稿、审稿、编辑和出版的任何问题, 您可以本页添加留言。我们将尽快给您答复。谢谢您的支持!

姓名
邮箱
手机号码
标题
留言内容
验证码

He+离子与H2O分子碰撞的单电荷转移截面

张煜 朱亚衍 祁月盈 屈一至 于皖东

引用本文:
Citation:

He+离子与H2O分子碰撞的单电荷转移截面

张煜, 朱亚衍, 祁月盈, 屈一至, 于皖东
cstr: 32037.14.aps.74.20251230

Single charge transfer cross sections of He+-H2O collisions

ZHANG Yu, ZHU Yayan, QI Yueying, QU Yizhi, YU Wandong
cstr: 32037.14.aps.74.20251230
Article Text (iFLYTEK Translation)
PDF
HTML
导出引用
在线预览
  • 太阳风中的He离子与H2O分子碰撞的电荷转移截面是天体等离子体建模等领域所需的重要数据. 然而, 当前对应太阳风速度范围的中低能区He+离子与H2O分子碰撞的单电荷转移截面实验测量数据有限, 基于第一性原理的理论计算尚未开展. 本工作利用含时密度泛函非绝热耦合分子动力学模型, 计算了1.33—1800 keV宽能量范围内He+离子与H2O分子碰撞的单电荷转移截面. 模拟采用反转碰撞框架, 探究了电荷转移和电子离子耦合动力学, 发现H2O分子的单电荷转移截面有较强的分子取向依赖特性, 并且低能区和高能区不同分子取向对截面的贡献有显著区别. 截面计算结果与已有的实验以及经典理论模型数据较为符合, 表明本文所用理论方法和数值框架不仅适用于处理非裸核离子和分子碰撞的电荷转移过程, 还能定量分析分子取向对截面的影响. 这为后续复杂碰撞体系的相关截面计算奠定了基础. 本文数据集可在https://doi.org/10.57760/sciencedb.j00213.00193中访问获取.
    The charge transfer cross sections of collisions between He ions in the solar wind and H2O molecule constitute essential data required for the astrophysical plasma modeling. However, experimental measurements of single charge transfer (SCT) cross sections for He+-H2O collisions at low-to-intermediate energies (corresponding to the velocity range of the solar wind) are extremely scarce, and first-priciple theoretical calculations have not been conducted. In this study, employing the time-dependent density functional theory nonadiabatically coupled with the molecular dynamics, the SCT cross sections are calculated for He+-H2O collisions over a broad energy range of 1.33–1800 keV. An inverse collision framework is used to investigate the charge transfer dynamics and electron-ion coupling processes. It is found that the SCT cross section exhibits a strong dependence on the molecular orientation. Furthermore, there are significant differences in the contributions of different molecular orientations to the cross section between low-energy and high-energy regions. The computed cross section results show good agreement with the existing data obtained from experiments and classical theoretical models. This indicates that the present theoretical method and numerical framework are not only applicable to handling the charge transfer processes in collisions between dressed ions and molecules but also enable the quantitative analysis of the effect of molecular orientation on the cross section. This study lays a foundation for cross section calculations of complex collision systems. The datasets presented in this paper are openly available at https://doi.org/10.57760/sciencedb.j00213.00193.
      通信作者: 祁月盈, yying_qi@zjxu.edu.cn ; 屈一至, yzqu@ucas.ac.cn ; 于皖东, wandong.yu@njupt.edu.cn
    • 基金项目: 国家自然科学基金(批准号: 12104185, 12104019, 12374229, U2430208)、嘉兴市青年科技人才专项(批准号: 2024AY40007)和南京邮电大学引进人才自然科学研究启动基金(批准号: NY223203)资助的课题.
      Corresponding author: QI Yueying, yying_qi@zjxu.edu.cn ; QU Yizhi, yzqu@ucas.ac.cn ; YU Wandong, wandong.yu@njupt.edu.cn
    • Funds: Project supported by the National Natural Science Foundation of China (Grant Nos. 12104185, 12104019, 12374229, U2430208), the Jiaxing Young Sci-Tech Talent Special Program, China (Grant No. 2024AY40007), and the Natural Science Research Start-up Foundation of Recruiting Talents of Nanjing University of Posts and Telecommunications, China (Grant No. NY223203).
    [1]

    Aumayr F, Ueda K, Sokell E, Schippers S, Sadeghpour H, Merkt F, Gallagher T F, Dunning F B, Scheier P, Echt O, Kirchner T, Fritzsche S, Surzhykov A, Ma X, Rivarola R, Fojon O, Tribedi L, Lamour E, Crespo López-Urrutia J R, Litvinov Y A, Shabaev V, Cederquist H, Zettergren H, Schleberger M, Wilhelm R A, Azuma T, Boduch P, Schmidt H T, Stöhlker T 2019 J. Phys. B 52 171003Google Scholar

    [2]

    Ma X W, Zhang S F, Wen W Q, Huang Z K, Hu Z M, Guo D L, Gao J W, Najjari B, Xu S Y, Yan S C, Yao K, Zhang R T, Gao Y, Zhu X L 2022 Chin. Phys. B 31 093401Google Scholar

    [3]

    吴怡娇, 孟天鸣, 张献文, 谭旭, 马蒲芳, 殷浩, 任百惠, 屠秉晟, 张瑞田, 肖君, 马新文, 邹亚明, 魏宝仁 2024 物理学报 73 240701Google Scholar

    Wu Y J, Meng T M, Zhang X W, Tan X, Ma P F, Yin H, Ren B H, Tu B S, Zhang R T, Xiao J, Ma X W, Zou Y M, Wei B R 2024 Acta Phys. Sin. 73 240701Google Scholar

    [4]

    牛佳洁, 张唯唯, 祁月盈, 高俊文 2025 物理学报 74 153402Google Scholar

    Niu J J, Zhang W W, Qi Y Y, Gao J W 2025 Acta Phys. Sin. 74 153402Google Scholar

    [5]

    林晓贺, 林敏娟, 王堃, 吴勇, 任元, 王瑜, 李婕维 2025 物理学报 74 152501Google Scholar

    Lin X H, Lin M J, Wang K, Wu Y, Ren Y, Wang Y, Li J W 2025 Acta Phys. Sin. 74 152501Google Scholar

    [6]

    魏宝仁, 张瑞田 2025 中国科学: 物理学 力学 天文学 55 250008Google Scholar

    Wei B R, Zhang R T 2025 Sci. Sin. Phys. Mech. Astron. 55 250008Google Scholar

    [7]

    Wedlund C S, Bodewits D, Alho M, Hoekstra R, Behar E, Gronoff G, Gunell H, Nilsson H, Kallio E, Beth A 2019 Astron. Astrophys. 630 A35Google Scholar

    [8]

    Fuselier S A, Shelley E G, Goldstein B E, Goldstein R, Neugebauer M, Ip W H, Balsiger H, Rème H 1991 Astrophys. J. 379 734Google Scholar

    [9]

    Greenwood J B, Chutjian A, Smith S J 2000 Astrophys. J. 529 605Google Scholar

    [10]

    Koopman D W 1968 Phys. Rev. 166 57Google Scholar

    [11]

    Rudd M E, Itoh A, Goffe T V 1985 Phys. Rev. A 32 2499Google Scholar

    [12]

    Rudd M E, Goffe T V, Itoh A, DuBois R D 1985 Phys. Rev. A 32 829Google Scholar

    [13]

    Sataka M, Yagishita A, Nakai Y 1990 J. Phys. B 23 1225Google Scholar

    [14]

    Bragg W H, Kleeman R 1905 Lond. Edinb. Dubl. Phil. Mag. J. Sci. 10 318Google Scholar

    [15]

    Garcia P M Y, Sigaud G M, Luna H, Santos A C F, Montenegro E C, Shah M B 2008 Phys. Rev. A 77 052708Google Scholar

    [16]

    Murakami M, Kirchner T, Horbatsch M 2012 Phys. Rev. A 86 022719Google Scholar

    [17]

    Jana D, Purkait K, Halder, Purkait M 2021 Eur. Phys. J. D 75 245Google Scholar

    [18]

    Zhang Y W, Gao J W, Wu Y, Zhou F Y, Wang J G, Sisourat N, Dubois A 2020 Phys. Rev. A 102 022814Google Scholar

    [19]

    Wang F, Hong X H, Wang J, Kim K S 2011 J. Chem. Phys. 134 154308Google Scholar

    [20]

    Yu W D, Gao C Z, Sato S A, Castro A, Rubio A, Wei B R 2021 Phys. Rev. A 103 032816Google Scholar

    [21]

    Hong X H, Wang F, Wu Y, Gou B C, Wang J G 2016 Phys. Rev. A 93 062706Google Scholar

    [22]

    Yu W D, Gao C Z, Zhang Y, Zhang F S, Hutton R, Zou Y, Wei B R 2018 Phys. Rev. A 97 032706Google Scholar

    [23]

    Qin S, Gao C Z, Yu W D, Qu Y Z 2021 Chin. Phys. Lett. 38 063101Google Scholar

    [24]

    Zhang H H, Yu W D, Gao C Z, Qu Y Z 2023 Chin. Phys. Lett. 40 043101Google Scholar

    [25]

    Tancogne-Dejean N, Oliveira M J, Andrade X, Appel Heiko, Borca C H, Breton G L, Buchholz F, Castro A, Corni S, Correa A A, Giovannini U D, Delgado A, Eich F G, Flick J, Gil G, Gomez A, Helbig N, Hübener H, Jestädt R, Jornet-Somoza J, Larsen A H, Lebedeva I V, Lüders M, Marques M A L, Ohlmann S T, Pipolo S, Rampp M, Rozzi C A, Strubbe D A, Sato S A, Schäfer C, Theophilou I, Welden A, Rubio A 2020 J. Chem. Phys. 152 124119Google Scholar

    [26]

    Vignale G 1995 Phys. Rev. Lett. 74 3233Google Scholar

    [27]

    Gómez Pueyo A, Marques M A, Rubio A, Castro A 2018 J. Chem. Theory Comput. 14 3040Google Scholar

    [28]

    Goedecker S, Teter M, Hutter J 1996 Phys. Rev. B 54 1703Google Scholar

    [29]

    Perdew J P, Zunger A 1981 Phys. Rev. B 23 5048Google Scholar

    [30]

    Imai T W, Kimura M, Gu J P, Hirsch G, Buenker R J, Wang J G, Stancil P C, Pichl L 2003 Phys. Rev. A 68 012716Google Scholar

  • 图 1  反转碰撞框架下He+离子与H2O分子碰撞示意图, 其中(a)—(c)代表3种不同分子取向, $ {V_\tau } $为离子俘获电子的空间

    Fig. 1.  Schematic of He+-H2O collisions with (a)–(c) three different molecular orientations in the inverse collision framework. $ {V_\tau } $ is the electron capture region of He+ ion.

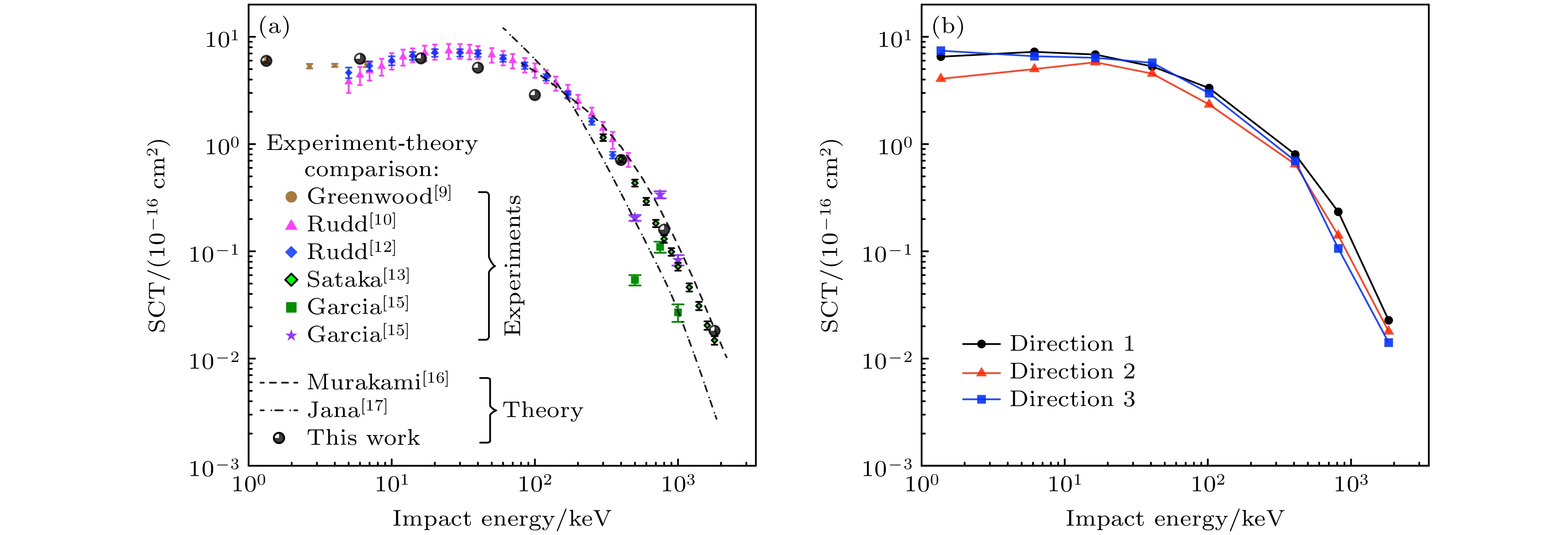
    图 2  (a) He+离子与H2O分子碰撞的单电荷转移截面以及(b)不同分子取向对截面的贡献 (a) Rudd等[12]以及Sataka等[13]数据是基于布拉格加和规则得到的截面, Garcia等[15]数据分别是He+离子单电子俘获下产生的H2O+截面以及所有碎片离子截面之和; (b) 方向1, 2, 3分别对应图1(a)(c)三个分子取向

    Fig. 2.  (a) SCT cross sections of He+-H2O collisions; (b) SCT cross sections under different molecular orientations. In panel (a), the data of Rudd et al.[12] and Sataka et al.[13] are deduced by the Bragg additivity rule, while the data of Garcia et al.[15] are the cross sections of H2O+ fragments or all ionic fragments produced by the single capture of He+ collisions. Directions 1–3 in panel (b) correspond to the molecular orientations in Fig. 1(a)(c).

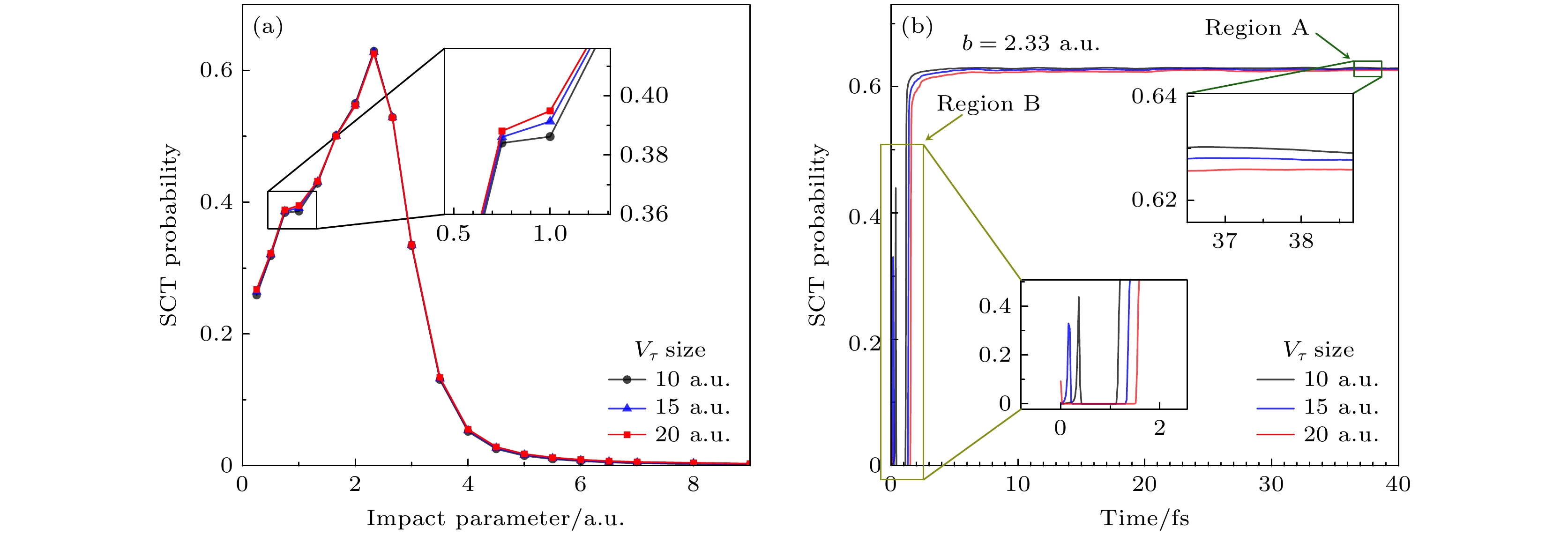
    图 3  He+离子不同俘获半径下SCT概率随(a)碰撞参数和(b)模拟时间的变化

    Fig. 3.  SCT probabilities as a function of (a) impact parameter and (b) simulation time under different He+ capture radii.

    图 4  He+离子与H2O分子碰撞计算空间内的电子密度分布图

    Fig. 4.  Snapshots of the electronic density distribution inside the simulation box for He+-H2O collisions.

    表 1  He+离子与H2O分子不同分子取向下的SCT截面以及平均值

    Table 1.  SCT cross sections of He+-H2O collisions under different molecular orientations and corresponding average values.

    He+离子
    能量E/keV
    单电荷转移截面$ {\sigma _{1, 0}} $/(10–16 cm2)
    方向1 方向2 方向3 平均值
    1.33 6.4895 4.0354 7.3813 5.9687
    6 7.2039 4.9772 6.5549 6.2453
    16 6.7987 5.7614 6.3374 6.2992
    40 5.2655 4.5122 5.6925 5.1567
    100 3.3082 2.3264 2.9646 2.8664
    400 0.7949 0.6441 0.6932 0.71073
    800 0.2321 0.1397 0.1057 0.15917
    1800 0.0226 0.0178 0.0140 0.018133
    下载: 导出CSV
  • [1]

    Aumayr F, Ueda K, Sokell E, Schippers S, Sadeghpour H, Merkt F, Gallagher T F, Dunning F B, Scheier P, Echt O, Kirchner T, Fritzsche S, Surzhykov A, Ma X, Rivarola R, Fojon O, Tribedi L, Lamour E, Crespo López-Urrutia J R, Litvinov Y A, Shabaev V, Cederquist H, Zettergren H, Schleberger M, Wilhelm R A, Azuma T, Boduch P, Schmidt H T, Stöhlker T 2019 J. Phys. B 52 171003Google Scholar

    [2]

    Ma X W, Zhang S F, Wen W Q, Huang Z K, Hu Z M, Guo D L, Gao J W, Najjari B, Xu S Y, Yan S C, Yao K, Zhang R T, Gao Y, Zhu X L 2022 Chin. Phys. B 31 093401Google Scholar

    [3]

    吴怡娇, 孟天鸣, 张献文, 谭旭, 马蒲芳, 殷浩, 任百惠, 屠秉晟, 张瑞田, 肖君, 马新文, 邹亚明, 魏宝仁 2024 物理学报 73 240701Google Scholar

    Wu Y J, Meng T M, Zhang X W, Tan X, Ma P F, Yin H, Ren B H, Tu B S, Zhang R T, Xiao J, Ma X W, Zou Y M, Wei B R 2024 Acta Phys. Sin. 73 240701Google Scholar

    [4]

    牛佳洁, 张唯唯, 祁月盈, 高俊文 2025 物理学报 74 153402Google Scholar

    Niu J J, Zhang W W, Qi Y Y, Gao J W 2025 Acta Phys. Sin. 74 153402Google Scholar

    [5]

    林晓贺, 林敏娟, 王堃, 吴勇, 任元, 王瑜, 李婕维 2025 物理学报 74 152501Google Scholar

    Lin X H, Lin M J, Wang K, Wu Y, Ren Y, Wang Y, Li J W 2025 Acta Phys. Sin. 74 152501Google Scholar

    [6]

    魏宝仁, 张瑞田 2025 中国科学: 物理学 力学 天文学 55 250008Google Scholar

    Wei B R, Zhang R T 2025 Sci. Sin. Phys. Mech. Astron. 55 250008Google Scholar

    [7]

    Wedlund C S, Bodewits D, Alho M, Hoekstra R, Behar E, Gronoff G, Gunell H, Nilsson H, Kallio E, Beth A 2019 Astron. Astrophys. 630 A35Google Scholar

    [8]

    Fuselier S A, Shelley E G, Goldstein B E, Goldstein R, Neugebauer M, Ip W H, Balsiger H, Rème H 1991 Astrophys. J. 379 734Google Scholar

    [9]

    Greenwood J B, Chutjian A, Smith S J 2000 Astrophys. J. 529 605Google Scholar

    [10]

    Koopman D W 1968 Phys. Rev. 166 57Google Scholar

    [11]

    Rudd M E, Itoh A, Goffe T V 1985 Phys. Rev. A 32 2499Google Scholar

    [12]

    Rudd M E, Goffe T V, Itoh A, DuBois R D 1985 Phys. Rev. A 32 829Google Scholar

    [13]

    Sataka M, Yagishita A, Nakai Y 1990 J. Phys. B 23 1225Google Scholar

    [14]

    Bragg W H, Kleeman R 1905 Lond. Edinb. Dubl. Phil. Mag. J. Sci. 10 318Google Scholar

    [15]

    Garcia P M Y, Sigaud G M, Luna H, Santos A C F, Montenegro E C, Shah M B 2008 Phys. Rev. A 77 052708Google Scholar

    [16]

    Murakami M, Kirchner T, Horbatsch M 2012 Phys. Rev. A 86 022719Google Scholar

    [17]

    Jana D, Purkait K, Halder, Purkait M 2021 Eur. Phys. J. D 75 245Google Scholar

    [18]

    Zhang Y W, Gao J W, Wu Y, Zhou F Y, Wang J G, Sisourat N, Dubois A 2020 Phys. Rev. A 102 022814Google Scholar

    [19]

    Wang F, Hong X H, Wang J, Kim K S 2011 J. Chem. Phys. 134 154308Google Scholar

    [20]

    Yu W D, Gao C Z, Sato S A, Castro A, Rubio A, Wei B R 2021 Phys. Rev. A 103 032816Google Scholar

    [21]

    Hong X H, Wang F, Wu Y, Gou B C, Wang J G 2016 Phys. Rev. A 93 062706Google Scholar

    [22]

    Yu W D, Gao C Z, Zhang Y, Zhang F S, Hutton R, Zou Y, Wei B R 2018 Phys. Rev. A 97 032706Google Scholar

    [23]

    Qin S, Gao C Z, Yu W D, Qu Y Z 2021 Chin. Phys. Lett. 38 063101Google Scholar

    [24]

    Zhang H H, Yu W D, Gao C Z, Qu Y Z 2023 Chin. Phys. Lett. 40 043101Google Scholar

    [25]

    Tancogne-Dejean N, Oliveira M J, Andrade X, Appel Heiko, Borca C H, Breton G L, Buchholz F, Castro A, Corni S, Correa A A, Giovannini U D, Delgado A, Eich F G, Flick J, Gil G, Gomez A, Helbig N, Hübener H, Jestädt R, Jornet-Somoza J, Larsen A H, Lebedeva I V, Lüders M, Marques M A L, Ohlmann S T, Pipolo S, Rampp M, Rozzi C A, Strubbe D A, Sato S A, Schäfer C, Theophilou I, Welden A, Rubio A 2020 J. Chem. Phys. 152 124119Google Scholar

    [26]

    Vignale G 1995 Phys. Rev. Lett. 74 3233Google Scholar

    [27]

    Gómez Pueyo A, Marques M A, Rubio A, Castro A 2018 J. Chem. Theory Comput. 14 3040Google Scholar

    [28]

    Goedecker S, Teter M, Hutter J 1996 Phys. Rev. B 54 1703Google Scholar

    [29]

    Perdew J P, Zunger A 1981 Phys. Rev. B 23 5048Google Scholar

    [30]

    Imai T W, Kimura M, Gu J P, Hirsch G, Buenker R J, Wang J G, Stancil P C, Pichl L 2003 Phys. Rev. A 68 012716Google Scholar

  • [1] 戴硕, 李振, 张超, 郁菁, 赵晓菲, 吴阳, 满宝元. 竖直取向MoS2纳米片复合Ag基底的表面增强拉曼光谱效应及机制. 物理学报, 2025, 74(5): 057402. doi: 10.7498/aps.74.20241671
    [2] 田馨, 舒鹏丽, 张珂童, 曾德超, 姚志飞, 赵波慧, 任晓森, 秦丽, 朱强, 魏久焱, 温焕飞, 李艳君, 菅原康弘, 唐军, 马宗敏, 刘俊. Au/CeO2(111)表面吸附的电荷转移特性. 物理学报, 2025, 74(5): 053101. doi: 10.7498/aps.74.20241522
    [3] 牛佳洁, 张唯唯, 祁月盈, 高俊文. 高电荷态N6+离子与H原子碰撞中态选择电荷交换过程理论研究. 物理学报, 2025, 74(15): 153402. doi: 10.7498/aps.74.20250541
    [4] 林晓贺, 林敏娟, 王堃, 吴勇, 任元, 王瑜, 李婕维. 低能区N3+离子与He原子碰撞电荷转移截面研究. 物理学报, 2025, 74(15): 152501. doi: 10.7498/aps.74.20250581
    [5] 王月, 马杰. MoS2中S原子空位形成的非绝热动力学研究. 物理学报, 2023, 72(22): 226101. doi: 10.7498/aps.72.20230787
    [6] 卢肖勇, 袁程, 高阳. 考虑共振电荷转移的离子引出过程理论研究. 物理学报, 2021, 70(14): 145201. doi: 10.7498/aps.70.20210105
    [7] 周利, 王取泉. 等离激元共振能量转移与增强光催化研究进展. 物理学报, 2019, 68(14): 147301. doi: 10.7498/aps.68.20190276
    [8] 袁国亮, 李爽, 任申强, 刘俊明. 激发态电荷转移有机体的多铁性研究. 物理学报, 2018, 67(15): 157509. doi: 10.7498/aps.67.20180759
    [9] 陈鑫, 颜晓红, 肖杨. Li掺杂少层MoS2的电荷分布及与石墨和氮化硼片的比较. 物理学报, 2015, 64(8): 087102. doi: 10.7498/aps.64.087102
    [10] 高静, 常凯楠, 王鹿霞. 光激发作用下分子与多金属纳米粒子间的电荷转移研究. 物理学报, 2015, 64(14): 147303. doi: 10.7498/aps.64.147303
    [11] 张红, 尹海峰, 张开彪, 林家和. 基于含时密度泛函理论的表面等离激元研究进展. 物理学报, 2015, 64(7): 077303. doi: 10.7498/aps.64.077303
    [12] 王志萍, 朱云, 吴亚敏, 张秀梅. 质子与羟基碰撞的含时密度泛函理论研究. 物理学报, 2014, 63(2): 023401. doi: 10.7498/aps.63.023401
    [13] 王志萍, 吴亚敏, 鲁超, 张秀梅, 何跃娟. 飞秒强激光场中水分子的电离激发. 物理学报, 2013, 62(7): 073301. doi: 10.7498/aps.62.073301
    [14] 王志萍, 陈健, 吴寿煜, 吴亚敏. 碳分子线C5在激光场中的含时密度泛函理论研究. 物理学报, 2013, 62(12): 123302. doi: 10.7498/aps.62.123302
    [15] 周克瑾, Yasuhisa Tezuka, 崔明启, 马陈燕, 赵屹东, 吴自玉, Akira Yagishita. 硫化锰电子结构的软X射线共振非弹性散射研究. 物理学报, 2007, 56(5): 2986-2991. doi: 10.7498/aps.56.2986
    [16] 梁小蕊, 赵 波, 周志华. 几种香豆素衍生物分子的二阶非线性光学性质的从头算研究. 物理学报, 2006, 55(2): 723-728. doi: 10.7498/aps.55.723
    [17] 崔 磊, 顾 斌, 滕玉永, 胡永金, 赵 江, 曾祥华. 脉冲激光偏振方向对氮分子高次谐波的影响--基于含时密度泛函理论的模拟. 物理学报, 2006, 55(9): 4691-4694. doi: 10.7498/aps.55.4691
    [18] 麻华丽, 李英兰, 杨保华, 王 锋. C60-聚甲基丙烯酸甲脂复合膜的结构、光学和电荷转移特性. 物理学报, 2005, 54(6): 2859-2862. doi: 10.7498/aps.54.2859
    [19] 曹柱荣, 蔡晓红, 于得洋, 杨 威, 卢荣春, 邵曹杰, 陈熙萌. 高电荷态Xe离子与He原子碰撞中的电子转移过程研究. 物理学报, 2004, 53(9): 2943-2946. doi: 10.7498/aps.53.2943
    [20] 魏建华, 解士杰, 梅良模. 低维混合金属卤化物中的电荷转移机理. 物理学报, 2000, 49(8): 1561-1566. doi: 10.7498/aps.49.1561
计量
  • 文章访问数:  1166
  • PDF下载量:  53
  • 被引次数: 0
出版历程
  • 收稿日期:  2025-09-08
  • 修回日期:  2025-09-25
  • 上网日期:  2025-10-14
  • 刊出日期:  2025-12-20

/

返回文章
返回