-
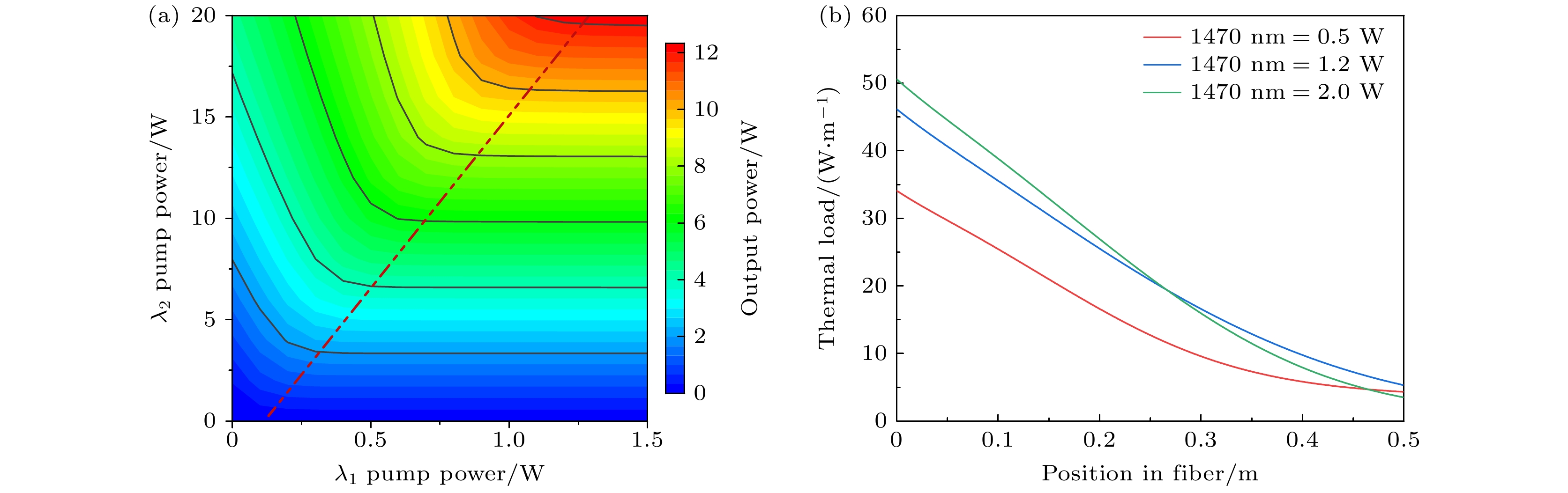
1.5 μm和1.7 μm双波长泵浦方案, 可以在实现高效率2.8 μm激光产生的同时解决1.7 μm单波长泵浦由于基态吸收较弱需要较长掺铒氟化物光纤的问题. 建立了基于双波长泵浦低掺铒氟化物光纤的2.8 μm光纤激光器仿真模型, 系统分析了不同泵浦波长组合对2.8 μm激光输出功率和光光转换效率的影响. 仿真结果表明选取1470 nm和1680 nm的双波长泵浦组合, 可以高效地将粒子由基态能级4I15/2搬运至激光上能级4I9/2, 实现粒子数反转, 达到使用米级低掺铒氟化物光纤实现高效率2.8 μm波段激光输出的目标.Er3+-doped ZBLAN fiber lasers have been widely investigated for generating high-power high-efficiency 2.8 μm mid-infrared lasers. High-power multimode 980 nm semiconductors are generally used as convenient pump sources in Er3+-doped ZBLAN fiber lasers. However, the longer lifetime of the lower laser level (4I13/2, 9.9 ms) than that of the upper laser level (4I11/2, 6.9 ms) results in severe self-terminating transition. Although highly Er-doped fibers with improved energy transfer upconversion rates can alleviate this problem to some extent, there are still significant limitations in heat load management. On the other hand, the 1.6–1.7 μm laser is used as another pumpscheme due to the partial spectral overlap between ground state absorption (GSA) and excited state absorption (ESA) for population inversion. This pump scheme demonstrates a slope efficiency of up to 50%. However, due to the weak GSA process, a 10 m-long active fiber is required. To address this issue, we propose a dual-wavelength (1.5 μm and 1.7 μm) pumping technique to achieve high-efficiency 2.8 μm laser output by using an Er3+-doped ZBLAN fiber with meter-level length. A simulation model is established for the dual-wavelength pumping scheme. This scheme combines the strong GSA process in the 1.5 μm band and the strong ESA process in the 1.7 μm band to accelerate the population accumulation on the lower laser level, promote the absorption of the 1.7 μm pump, and thereafter enable the conversion to 2.8 μm laser over much shorter gain fiber. By considering the intensities of ground state absorption and emission of the 4I15/2→4I13/2 transition, the pump at 1470 nm is selected to efficiently populate the Er3+ to the lower laser level. Then the second pump is optimized to a wavelength of 1680 nm to achieve rapid particle extraction from the lower laser level, thereby realizing population inversion for efficient 2.8 μm laser generation over a meter-long gain fiber. Using the optimized pump wavelengths, the simulation of a 2.8 μm fiber laser based on a 0.5 m-long 0.015 mol/mol erbium-doped fluoride fiber shows that when a 20 W 1680 nm laser is used as the main pump source, only a 1.2 W 1470 nm auxiliary pump is required to achieve a 12.2 W 2.8 μm laser output, with an optical efficiency as high as 58.2%. Furthermore, the fiber laser simulation indicates that when the powers of the two pumps satisfy the relationship of Pλ2 = 20Pλ1 – 4, the output power of the laser system can reach its maximum value. The dual-wavelength pumping technique proposed in this work enables high-efficiency 2.8 μm mid-infrared laser generation by using meter-long Er3+-doped fluoride fiber, which significantly improves the laser system integration and economic benefits.
-
Keywords:
- dual-wavelength pump /
- mid-infrared laser /
- fiber laser /
- erbium-doped fluoride fiber
[1] Hodgkinson J, Tatam R P 2012 Meas. Sci. Technol. 24 012004
Google Scholar
[2] Picqué N, Hänsch T W 2019 Opt. Photonics News 30 26
Google Scholar
[3] Frayssinous C, Fortin V, Bérubé J P, Fraser A, Vallée R 2018 J. Mater. Process. Technol. 252 813
Google Scholar
[4] Uehara H, Tokita S, Kawanaka J, Konishi D, Murakami M, Shimizu S, Yasuhara R 2018 Opt. Express 26 3497
Google Scholar
[5] Peng Y F, Wei X B, Luo X W, Nie Z, Peng J, Wang Y, Shen D 2016 Opt. Lett. 41 49
Google Scholar
[6] 张钧翔, 付士杰, 盛泉, 夏文新, 张露, 史伟, 姚建铨 2023 中国激光 50 0715001
Google Scholar
Zhang J X, Fu S J, Sheng Q, Xia W X, Zhang L, Shi W, Yao J Q 2023 Chin. J. Lasers 50 0715001
Google Scholar
[7] Yao Y, Hoffman A J, Gmachl C F 2012 Nat. Photon. 6 432
Google Scholar
[8] Jackson S D 2024 APL Photonics 9 070904
Google Scholar
[9] Zhang J X, Fu S J, Sheng Q, Zhou Z M, Zhang L, Shi W, Yao J Q 2025 Opt. Laser Technol. 181 112024
Google Scholar
[10] Pollnau M, Jackson S D 2002 IEEE J. Quantum Electron. 38 162
Google Scholar
[11] Quimby R S, Miniscalco W J 1989 Appl. Opt. 28 14
Google Scholar
[12] Henderson-Sapir O, Munch J, Ottaway D J 2016 Opt. Express 24 6869
Google Scholar
[13] Aydin Y O, Fortin V, Vallée R, Bernier M 2018 Opt. Lett. 43 4542
Google Scholar
[14] Schneider J 1995 IEEE Photonics Technol. Lett. 7 4
Google Scholar
[15] 夏文新, 付士杰, 张钧翔, 张露, 盛泉, 罗学文, 史伟, 姚建铨 2023 物理学报 72 224205
Google Scholar
Xia W X, Fu S J, Zhang J X, Zhang L, Sheng Q, Luo X W, Shi W, Yao J Q 2023 Acta Phys. Sin. 72 224205
Google Scholar
[16] Aydın Y O, Fortin V, Maes F, Jobin F, Jackson S D, Vallée R, Bernier M 2017 Optica 4 235
Google Scholar
[17] Li J F, Luo H Y, Liu Y, Zhang L, Jackson S D 2014 IEEE J. Sel. Top. Quantum Electron. 20 15
Google Scholar
[18] Luo H Y, Shi J C, Chen J S, Wang Y Z, Li J F, Wu H, Liu Y 2023 J. Lightwave Technol. 42 316
Google Scholar
[19] Guo C Y, Lin J P, Tang Z Y, Li K Y, Tu L S, Wang J C 2022 J. Lightwave Technol. 40 4397
Google Scholar
[20] Zhang J X, Wang R, Fu S J, Sheng Q, Xia W X, Zhang L, Shi W, Yao J Q 2022 Opt. Lett. 47 3684
Google Scholar
[21] 石俊川, 罗鸿禹, 陈俊生, 李剑峰 2024 中国激光 51 0916001
Google Scholar
Shi J C, Luo H Y, Chen J S, Li J F 2024 Chin. J. Lasers 51 0916001
Google Scholar
[22] Srinivasan B, Jain R K, Monnom G 2000 J. Opt. Soc. Am. B 17 178
Google Scholar
-
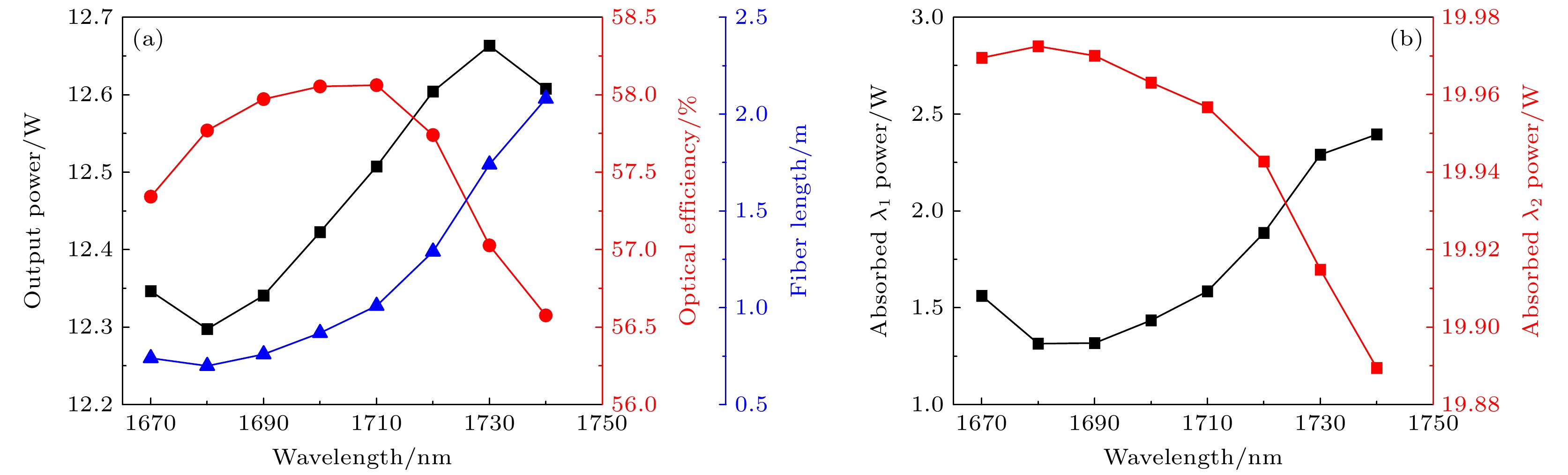
图 4 泵浦光λ1的EMI过程关闭时, 随泵浦光λ1波长变化的演化特性 (a) 2.8 μm激光输出功率、光光转换效率、优化光纤长度; (b) 优化光纤长度下泵浦光吸收功率
Fig. 4. When EMI of the pump λ1 is off, the evolution characteristics as a function of the λ1 wavelength: (a) 2.8 μm laser output power, optical efficiency, optimized fiber length; (b) absorbed pump power under optimized fiber length.
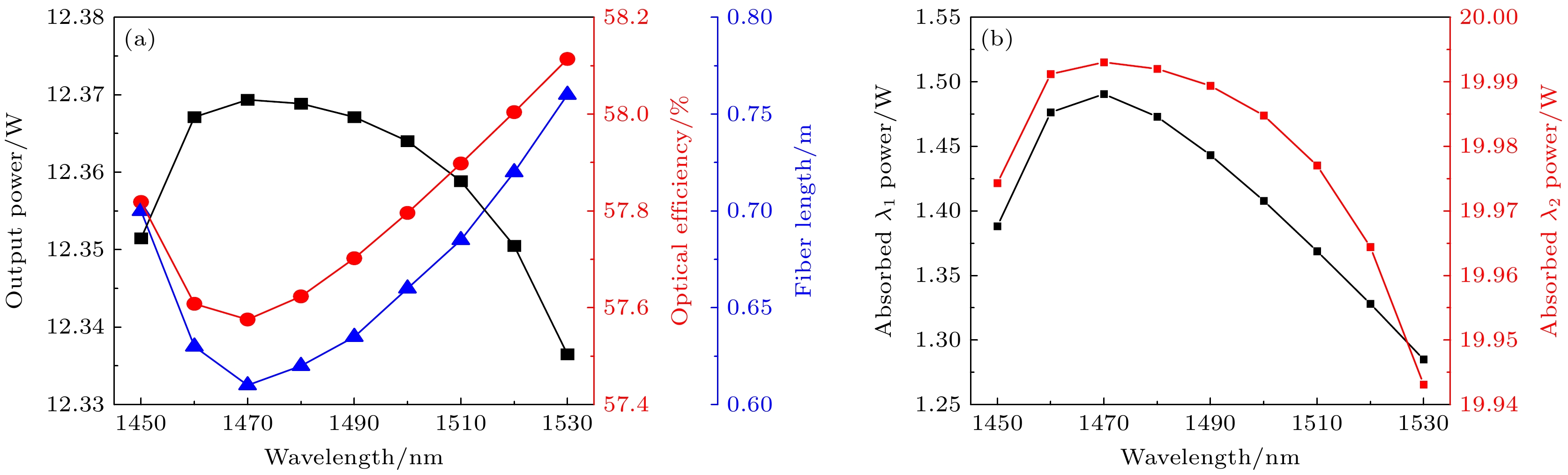
图 6 泵浦光λ2的基态过程关闭时, 随泵浦光λ2波长变化的演化特性 (a) 2.8 μm激光输出功率、光光转换效率、优化光纤长度;(b) 优化光纤长度下泵浦光吸收功率
Fig. 6. When ground state transition of the pump λ2 is off, the evolution characteristics as a function of the λ2 wavelength: (a) 2.8 μm laser output power, optical efficiency, and optimized fiber length; (b) the absorbed pump power under optimized fiber length.
-
[1] Hodgkinson J, Tatam R P 2012 Meas. Sci. Technol. 24 012004
Google Scholar
[2] Picqué N, Hänsch T W 2019 Opt. Photonics News 30 26
Google Scholar
[3] Frayssinous C, Fortin V, Bérubé J P, Fraser A, Vallée R 2018 J. Mater. Process. Technol. 252 813
Google Scholar
[4] Uehara H, Tokita S, Kawanaka J, Konishi D, Murakami M, Shimizu S, Yasuhara R 2018 Opt. Express 26 3497
Google Scholar
[5] Peng Y F, Wei X B, Luo X W, Nie Z, Peng J, Wang Y, Shen D 2016 Opt. Lett. 41 49
Google Scholar
[6] 张钧翔, 付士杰, 盛泉, 夏文新, 张露, 史伟, 姚建铨 2023 中国激光 50 0715001
Google Scholar
Zhang J X, Fu S J, Sheng Q, Xia W X, Zhang L, Shi W, Yao J Q 2023 Chin. J. Lasers 50 0715001
Google Scholar
[7] Yao Y, Hoffman A J, Gmachl C F 2012 Nat. Photon. 6 432
Google Scholar
[8] Jackson S D 2024 APL Photonics 9 070904
Google Scholar
[9] Zhang J X, Fu S J, Sheng Q, Zhou Z M, Zhang L, Shi W, Yao J Q 2025 Opt. Laser Technol. 181 112024
Google Scholar
[10] Pollnau M, Jackson S D 2002 IEEE J. Quantum Electron. 38 162
Google Scholar
[11] Quimby R S, Miniscalco W J 1989 Appl. Opt. 28 14
Google Scholar
[12] Henderson-Sapir O, Munch J, Ottaway D J 2016 Opt. Express 24 6869
Google Scholar
[13] Aydin Y O, Fortin V, Vallée R, Bernier M 2018 Opt. Lett. 43 4542
Google Scholar
[14] Schneider J 1995 IEEE Photonics Technol. Lett. 7 4
Google Scholar
[15] 夏文新, 付士杰, 张钧翔, 张露, 盛泉, 罗学文, 史伟, 姚建铨 2023 物理学报 72 224205
Google Scholar
Xia W X, Fu S J, Zhang J X, Zhang L, Sheng Q, Luo X W, Shi W, Yao J Q 2023 Acta Phys. Sin. 72 224205
Google Scholar
[16] Aydın Y O, Fortin V, Maes F, Jobin F, Jackson S D, Vallée R, Bernier M 2017 Optica 4 235
Google Scholar
[17] Li J F, Luo H Y, Liu Y, Zhang L, Jackson S D 2014 IEEE J. Sel. Top. Quantum Electron. 20 15
Google Scholar
[18] Luo H Y, Shi J C, Chen J S, Wang Y Z, Li J F, Wu H, Liu Y 2023 J. Lightwave Technol. 42 316
Google Scholar
[19] Guo C Y, Lin J P, Tang Z Y, Li K Y, Tu L S, Wang J C 2022 J. Lightwave Technol. 40 4397
Google Scholar
[20] Zhang J X, Wang R, Fu S J, Sheng Q, Xia W X, Zhang L, Shi W, Yao J Q 2022 Opt. Lett. 47 3684
Google Scholar
[21] 石俊川, 罗鸿禹, 陈俊生, 李剑峰 2024 中国激光 51 0916001
Google Scholar
Shi J C, Luo H Y, Chen J S, Li J F 2024 Chin. J. Lasers 51 0916001
Google Scholar
[22] Srinivasan B, Jain R K, Monnom G 2000 J. Opt. Soc. Am. B 17 178
Google Scholar
计量
- 文章访问数: 661
- PDF下载量: 14
- 被引次数: 0








下载: