-
高能粒子(energetic particles, EP)驱动的不稳定性及其调控规律, 是受控核聚变研究中亟需解决的关键科学问题之一. 本文以京都大学Heliotron J装置为实验平台, 系统研究了电子回旋加热(electron cyclotron heating, ECH)与中性束注入(neutral beam injection, NBI)对EP驱动不稳定性的影响. 研究采用实验诊断与数值模拟相结合的方式, 揭示了典型等离子体参数在不稳定性激发与抑制中的作用机制, 以及磁场位型和等离子体参数耦合作用在ECH加热系统影响不稳定性中发挥的作用. 文章通过FAR3D程序分析了随着ECH功率的变化, 高能离子比压、热比压、电子温度以及电阻率对模态驱动和阻尼过程的影响规律. 模拟结果与实验观测在模数和径向结构上高度一致, 证实了增长率对快粒子比压的敏感性, 以及电子温度对朗道阻尼和连续谱阻尼的增强效应. 模拟结果表明高能离子慢化时间的改变在模态演化中发挥重要作用. 研究结果不仅为理解不同磁场位型下ECH加热系统对不稳定性的差异化作用提供了物理依据, 也为未来螺旋器/仿星器类装置中优化加热方式、提升等离子体运行稳定性提供了重要参考.A large number of energetic particles (EPs) are generated in the heating process to obtain the high temperature plasma for fusion research. These EPs can resonantly excite various magnetohydrodynamic (MHD) instabilities, including the Alfvén eigenmodes (AEs) and the energetic particle modes (EPMs). The excitation of such MHD instabilities can lead to significant EP losses, which not only degrades the plasma confinement and heating efficiency, but also results in excessive heat loads and damage to plasma-facing components. In this work, the influences of key plasma parameters on the excitation and damping effect of EP-driven MHD instabilities in Heliotron J device are investigated for better understanding of the excitation and transport mechanism of EPs driven MHD in specific device, which is meaningful for achieving stable plasma operation in future fusion devices with different heating methods. In this work, the typical EPs driven MHD instabilities are observed using various diagnostic methods, such as magnetic probes, beam emission spectroscopy (BES), electron cyclotron resonance (ECE) radiometers, and interferometers. Combined with the simulation results from STELLGAP and FAR3D programs, the modulus, radial distribution, and spectral characteristics of different instabilities are analyzed in depth, revealing the evolutions of AEs and EPMs in the Heliotron J device under typical heating conditions. This study quantitatively reveals the driving and suppressing mechanisms of EP-driven instabilities by the electron density (ne), the electron temperature (Te), and the energetic/thermal particle specific pressure (βf/βth) in Heliotron J device, under the conditions of different electron cyclotron resonance heating (ECH) and neutral beam injection (NBI). The results show that different characteristics are obtained under the different magnetic field geometry conditions. The results show that an increase in electron density can reduce the instability intensity by about 40%–60%, and an increase in the specific pressure of energetic particles can double the modal growth rate, while an increase in the specific pressure of hot particles has an inhibitory effect of 20%–50% on the growth rate of the low order modes. These findings are useful for understanding the different effects of ECH and NBI on the EPs driven MHD instabilities, and they are also helpful for achieving stable operation by adjusting the heating system parameters in the stellarator-like devices in the future.
[1] 孙有文, 仇志勇, 万宝年 2024 物理学报 73 175202
Google Scholar
Sun Y W, Qiu Z Y, Wan B N 2024 Acta Phys. Sin. 73 175202
Google Scholar
[2] 黄捷, 李沫杉, 覃程, 王先驱 2022 物理学报 71 185202
Google Scholar
Huang J, Li M S, Qin C, Wang X Q 2022 Acta Phys. Sin. 71 185202
Google Scholar
[3] 苏祥, 王先驱, 符添, 许宇鸿 2023 物理学报 72 215205
Google Scholar
Su X, Wang X Q, Fu T, Xu Y H 2023 Acta Phys. Sin. 72 215205
Google Scholar
[4] 罗耀全, 王龙, 杨思泽, 陈雁萍, 戚霞枝, 李赞良, 王文书, 李文莱, 赵华, 唐继辉, 谭富传 1990 物理学报 39 399
Google Scholar
Luo Y Q, Wang L, Yang S Z, Chen Y P, Qi X Z, Li Z L, Wang W S, Li W L, Zhao H, Tang J H, Tan F C 1990 Acta Phys. Sin. 39 399
Google Scholar
[5] 石秉仁 1999 磁约束聚变原理与实践(北京: 原子能出版社) 第192—197页
Shi B R 1999 Principles and Practice of Magnetic Confinement Fusion (Beijing: Atomic Energy Press) pp192–197
[6] 张伟, 张新军, 刘鲁南, 朱光辉, 杨桦, 张华朋, 郑艺峰, 何开洋, 黄娟 2023 物理学报 72 215201
Google Scholar
Zhang W, Zhang X J, Liu L N, Zhu G H, Yang H, Zhang H P, Zheng Y F, He K Y, Huang J 2023 Acta Phys. Sin. 72 215201
Google Scholar
[7] Toi K, Ogawa K, Isobe M, Osakabe M, Spong D A 2011 Plasma Phys. Contr. Fusion 53 024008
Google Scholar
[8] Breizman B N, Sharapov S E 2011 Plasma Phys. Contr. Fusion 53 054001
Google Scholar
[9] Yamamoto S, Nagasaki K, Kobayashi S, Nagaoka K, Cappa A, Okada H, Minami T, Kado S, Ohshima S, Konoshima S, Nakamura Y, Ishizawa A, Weir G M, Kenmochi N, Ohtani Y, Lu X, Tawada Y, Kokubu D, Mizuuchi T 2017 Nucl. Fusion 57 126065
Google Scholar
[10] Yamamoto S, Nagasaki K, Nagaoka K , Watanabe K Y, Spong D A, Garcia L, Cappa A 2020 Nucl. Fusion 60 066018
Google Scholar
[11] Nagaoka K, Ido T, Ascasibar E, Estrada T, Yamamoto S, Melnikov A V, Cappa A, Hidalgo C, Pedrosa M A, van Milligen B P, Pastor I, Liniers M, Ochando M A, Shimizu A, Eliseev L G, Ohshima S, Mukai K, Takeiri Y 2013 Nucl. Fusion 53 072004
Google Scholar
[12] Spong D A, Sanchez R, Weller A 2003 Phys. Plasmas 10 3217
Google Scholar
[13] Jiang X H, Li S, Liu Y, Wang S, Jia F, Wang T, Han L, Zhang X 2024 Proceedings of the AAAI Conference on Artificial Intelligence Vancouver, BC, February 22–25, 2024 p2561
[14] Charlton L A, Holmes J A, Hicks H R, Lynch V E, Carreras B A 1986 J. Comput. Phys. 63 107
Google Scholar
[15] Spong D A 2013 Nucl. Fusion 53 053008
Google Scholar
[16] Varela J, Spong D A, García L, Todo, Huang J, Murakami M 2019 Phys. Plasmas 26 062502
Google Scholar
[17] Varela J, Spong D, Garcia L, Ghai Y, Ortiz J 2024 Front. Phys. 12 1422411
Google Scholar
[18] Weller A, Spong D A, Jaenicke R, Lazaros A, Penningsfeld F P, Sattler S 1994 Phys. Rev. Lett. 72 1220
Google Scholar
[19] Eliseev L G, Melnikov A V, Ascasíbar E, Cappa A, Drabinskiy M, Hidalgo C, Khabanov P O, Kharchev N K, Kozachek A S, Liniers M, Lysenko S E, Ochando M de Pablos J L, Pastor I, Sharapov S E, Spong D A, Breizman B N, Varela J 2021 Phys. Plasmas 28 072510
Google Scholar
[20] Mizuuchi T, Nakasuga M, Sano F, Nakamura Y, Kondo K, Okada H, Nagasaki K, Besshou S, Wakatani M, Obiki T 1999 Proceedings of the 12th International Stellarator Workshop Madison, USA, September 6–10, 1999 p192
[21] Obiki T, Mizuuchi T, Nagasaki K, Okada H, Besshou S, Sano F, Hanatani K, Liu Y, Hamada T, Manabe Y, Shidara H, Ang W, Liu Y, Ikeda Y, Kawazome Y, Kobayashi T, Takamiya T, Takeda M, Ijiri Y, Senju T, Yaguchi K, Sakamoto K, Toshi K 2001 Nucl. Fusion 41 833
Google Scholar
[22] Kobayashi S, Nagaoka K, Yamamoto S, Mizuuchi T, Nagasaki K, Okada H, Minami T, Murakami S, Lee H, Suzuki Y, Nakamura Y, Takeiri Y, Yokoyama M, Hanatani K, Hosaka K, Konoshima S, Ohshima S, Toushi K, Sano F 2010 Contrib. Plasm. Phys. 50 534
Google Scholar
[23] Zhong Y, Nagasaki K, Wang Z, Kobayashi S, Inagaki S, Minami T, Kado S, Ohshima S, Kin F, Wang C, Nakamura Y, Konoshima S, Mizuuchi T, Okada H, Marushchenko N, Chen J 2024 Plasm. Fusion Res. 19 1202008
Google Scholar
[24] Nagasaki K, Yamamoto S, Kobayashi S, Sakamoto K, Nagae Y, Sugimoto Y, Nakamura Y, Weir G M, Marushchenko N, Mizuuchi T, Okada H, Minami T, Masuda K, Ohshima S, Konoshima S, Shi N, Nakamura Y, Lee H Y, Zang L, Arai S, Watada H, Fukushima H, Hashimoto K, Kenmochi N, Motojima G, Yoshimura Y, Mukai K, Volpe F, Estrada T, Sano F 2013 Nucl. Fusion 53 113041
Google Scholar
[25] Heidbrink W W 2008 Phys. Plasmas 15 055501
Google Scholar
-
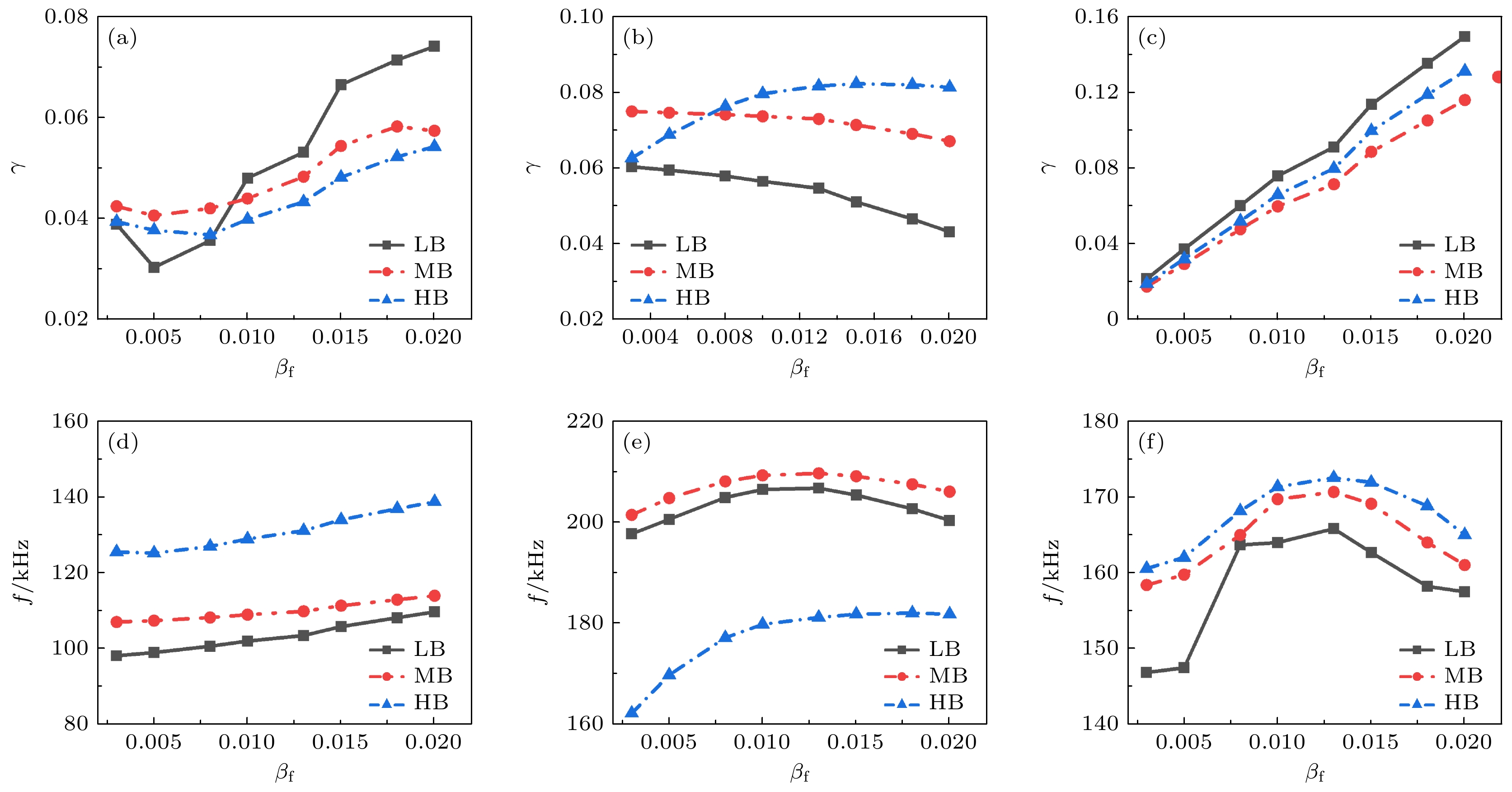
图 7 在3种磁场位型下, 随着快粒子比压(βf)的变化 (a), (d) n/m = 1/2模的增长率和频率; (b), (e) n/m = 2/3模的增长率和频率; (c), (f) n/m = 2/4模的增长率和频率
Fig. 7. Under three magnetic field configurations, with the change of the fast particle beta (βf): (a), (d) Growth rate and the frequency of the n/m = 1/2; (b), (e) growth rate and the frequency of the n/m = 2/3; (c), (f) growth rate and the frequency of the n/m = 2/4 mode.
内容 FAR3D STELLGAP 目标 模拟模式的时域演化、增长率、结构,
适用于AE、不稳定性分析等分析阿尔芬连续谱结构, 识别频率gap,
判断是否支持共振模式(如TAE)目标输入要求 VMEC平衡态+粒子参数等 仅需VMEC平衡态 物理机制 包括电阻、Landau阻尼、Geodesic acoustic waves、波-粒共振等 不含耗散机制, 仅考虑MHD连续谱结构 表 2 加热过程影响的关键等离子体参数表
Table 2. Critical plasma parameters modified during heating.
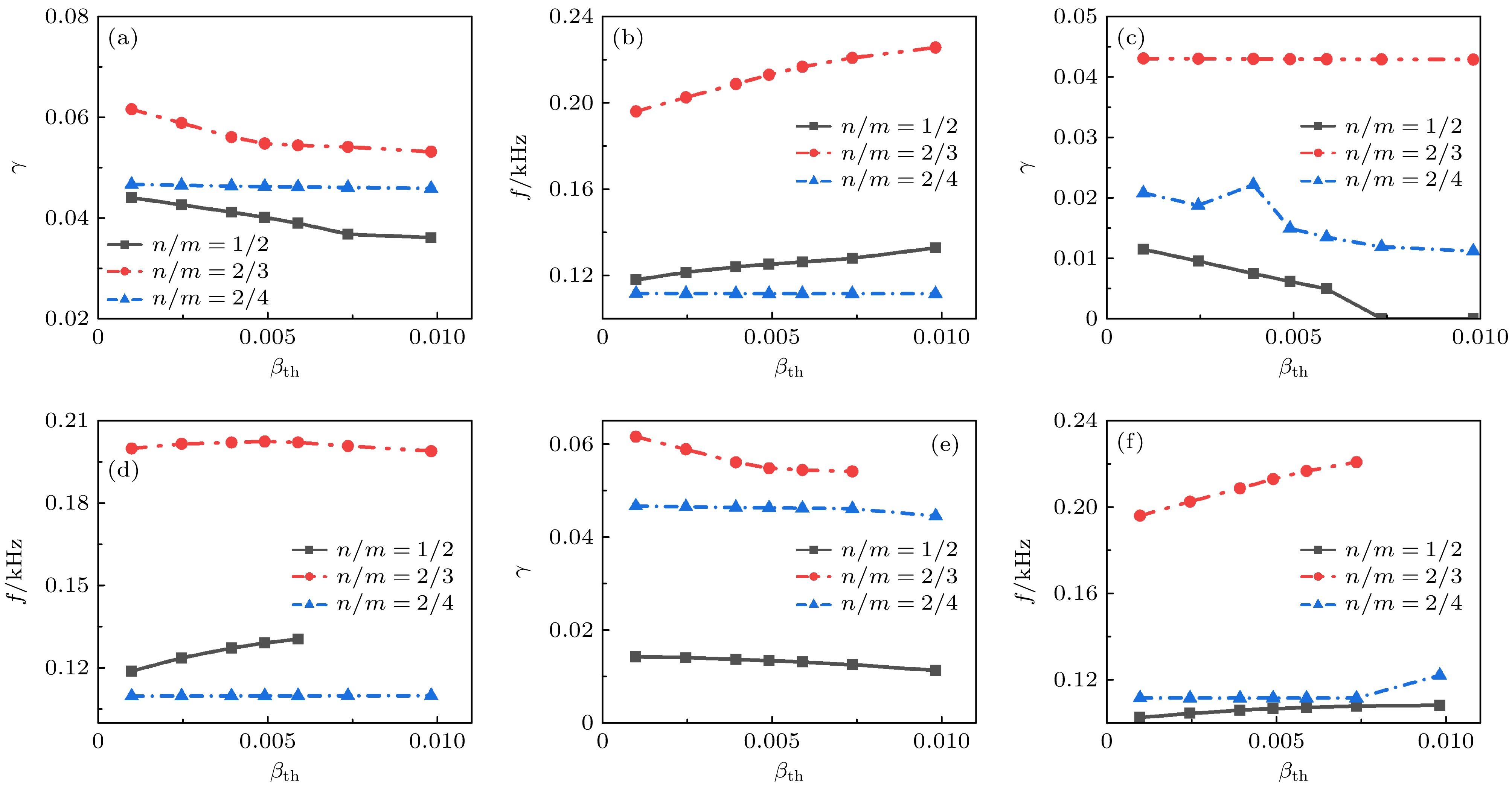
等离子体参数 直接影响的物理量 作用效果 电子密度 热比压(βth),
等离子体压强(P)电子密度升高会通过降低快粒子相对压强(βf/βth)、增强碰撞与Landau阻尼、改变
阿尔芬速度与共振条件等间接途径增强阻尼, 有助于抑制高能粒子驱动的不稳定性电子温度 粒子慢化时间(τ),
快粒子比压(βf)双重作用: 降低βf有助于抑制模态激发(增加稳定性),
削弱阻尼可能提升模态增长率(降低稳定性) -
[1] 孙有文, 仇志勇, 万宝年 2024 物理学报 73 175202
Google Scholar
Sun Y W, Qiu Z Y, Wan B N 2024 Acta Phys. Sin. 73 175202
Google Scholar
[2] 黄捷, 李沫杉, 覃程, 王先驱 2022 物理学报 71 185202
Google Scholar
Huang J, Li M S, Qin C, Wang X Q 2022 Acta Phys. Sin. 71 185202
Google Scholar
[3] 苏祥, 王先驱, 符添, 许宇鸿 2023 物理学报 72 215205
Google Scholar
Su X, Wang X Q, Fu T, Xu Y H 2023 Acta Phys. Sin. 72 215205
Google Scholar
[4] 罗耀全, 王龙, 杨思泽, 陈雁萍, 戚霞枝, 李赞良, 王文书, 李文莱, 赵华, 唐继辉, 谭富传 1990 物理学报 39 399
Google Scholar
Luo Y Q, Wang L, Yang S Z, Chen Y P, Qi X Z, Li Z L, Wang W S, Li W L, Zhao H, Tang J H, Tan F C 1990 Acta Phys. Sin. 39 399
Google Scholar
[5] 石秉仁 1999 磁约束聚变原理与实践(北京: 原子能出版社) 第192—197页
Shi B R 1999 Principles and Practice of Magnetic Confinement Fusion (Beijing: Atomic Energy Press) pp192–197
[6] 张伟, 张新军, 刘鲁南, 朱光辉, 杨桦, 张华朋, 郑艺峰, 何开洋, 黄娟 2023 物理学报 72 215201
Google Scholar
Zhang W, Zhang X J, Liu L N, Zhu G H, Yang H, Zhang H P, Zheng Y F, He K Y, Huang J 2023 Acta Phys. Sin. 72 215201
Google Scholar
[7] Toi K, Ogawa K, Isobe M, Osakabe M, Spong D A 2011 Plasma Phys. Contr. Fusion 53 024008
Google Scholar
[8] Breizman B N, Sharapov S E 2011 Plasma Phys. Contr. Fusion 53 054001
Google Scholar
[9] Yamamoto S, Nagasaki K, Kobayashi S, Nagaoka K, Cappa A, Okada H, Minami T, Kado S, Ohshima S, Konoshima S, Nakamura Y, Ishizawa A, Weir G M, Kenmochi N, Ohtani Y, Lu X, Tawada Y, Kokubu D, Mizuuchi T 2017 Nucl. Fusion 57 126065
Google Scholar
[10] Yamamoto S, Nagasaki K, Nagaoka K , Watanabe K Y, Spong D A, Garcia L, Cappa A 2020 Nucl. Fusion 60 066018
Google Scholar
[11] Nagaoka K, Ido T, Ascasibar E, Estrada T, Yamamoto S, Melnikov A V, Cappa A, Hidalgo C, Pedrosa M A, van Milligen B P, Pastor I, Liniers M, Ochando M A, Shimizu A, Eliseev L G, Ohshima S, Mukai K, Takeiri Y 2013 Nucl. Fusion 53 072004
Google Scholar
[12] Spong D A, Sanchez R, Weller A 2003 Phys. Plasmas 10 3217
Google Scholar
[13] Jiang X H, Li S, Liu Y, Wang S, Jia F, Wang T, Han L, Zhang X 2024 Proceedings of the AAAI Conference on Artificial Intelligence Vancouver, BC, February 22–25, 2024 p2561
[14] Charlton L A, Holmes J A, Hicks H R, Lynch V E, Carreras B A 1986 J. Comput. Phys. 63 107
Google Scholar
[15] Spong D A 2013 Nucl. Fusion 53 053008
Google Scholar
[16] Varela J, Spong D A, García L, Todo, Huang J, Murakami M 2019 Phys. Plasmas 26 062502
Google Scholar
[17] Varela J, Spong D, Garcia L, Ghai Y, Ortiz J 2024 Front. Phys. 12 1422411
Google Scholar
[18] Weller A, Spong D A, Jaenicke R, Lazaros A, Penningsfeld F P, Sattler S 1994 Phys. Rev. Lett. 72 1220
Google Scholar
[19] Eliseev L G, Melnikov A V, Ascasíbar E, Cappa A, Drabinskiy M, Hidalgo C, Khabanov P O, Kharchev N K, Kozachek A S, Liniers M, Lysenko S E, Ochando M de Pablos J L, Pastor I, Sharapov S E, Spong D A, Breizman B N, Varela J 2021 Phys. Plasmas 28 072510
Google Scholar
[20] Mizuuchi T, Nakasuga M, Sano F, Nakamura Y, Kondo K, Okada H, Nagasaki K, Besshou S, Wakatani M, Obiki T 1999 Proceedings of the 12th International Stellarator Workshop Madison, USA, September 6–10, 1999 p192
[21] Obiki T, Mizuuchi T, Nagasaki K, Okada H, Besshou S, Sano F, Hanatani K, Liu Y, Hamada T, Manabe Y, Shidara H, Ang W, Liu Y, Ikeda Y, Kawazome Y, Kobayashi T, Takamiya T, Takeda M, Ijiri Y, Senju T, Yaguchi K, Sakamoto K, Toshi K 2001 Nucl. Fusion 41 833
Google Scholar
[22] Kobayashi S, Nagaoka K, Yamamoto S, Mizuuchi T, Nagasaki K, Okada H, Minami T, Murakami S, Lee H, Suzuki Y, Nakamura Y, Takeiri Y, Yokoyama M, Hanatani K, Hosaka K, Konoshima S, Ohshima S, Toushi K, Sano F 2010 Contrib. Plasm. Phys. 50 534
Google Scholar
[23] Zhong Y, Nagasaki K, Wang Z, Kobayashi S, Inagaki S, Minami T, Kado S, Ohshima S, Kin F, Wang C, Nakamura Y, Konoshima S, Mizuuchi T, Okada H, Marushchenko N, Chen J 2024 Plasm. Fusion Res. 19 1202008
Google Scholar
[24] Nagasaki K, Yamamoto S, Kobayashi S, Sakamoto K, Nagae Y, Sugimoto Y, Nakamura Y, Weir G M, Marushchenko N, Mizuuchi T, Okada H, Minami T, Masuda K, Ohshima S, Konoshima S, Shi N, Nakamura Y, Lee H Y, Zang L, Arai S, Watada H, Fukushima H, Hashimoto K, Kenmochi N, Motojima G, Yoshimura Y, Mukai K, Volpe F, Estrada T, Sano F 2013 Nucl. Fusion 53 113041
Google Scholar
[25] Heidbrink W W 2008 Phys. Plasmas 15 055501
Google Scholar
计量
- 文章访问数: 484
- PDF下载量: 6
- 被引次数: 0








下载:

