-
Interlayer excitons (IXs), formed in type-II van der Waals (vdW) heterostructures where electrons and holes reside in adjacent monolayers, have attracted increasing interest due to their spatially indirect nature, long lifetime, strong Coulomb binding, and unique out-of-plane dipole moment. These features make IXs a promising platform for exploring many-body physics and realizing next-generation excitonic devices. This review systematically presents the formation mechanisms, identification methods, and external modulation strategies of interlayer excitons in two-dimensional materials. First, we analye the prerequisites for the IX formation, emphasizing the role of band alignment, interlayer charge transfer, and momentum mismatch. Recent studies have also revealed that direct interlayer absorption is an alternative pathway for IX generation. For identification, we summarize multiple optical techniques, including photoluminescence (PL), photoluminescence excitation (PLE), transient absorption (TA), and electro-absorption (EA). These techniques can detect IX energy positions, binding energies, and recombination pathways. However, distinguishing interlayer excitons from defect-bound or momentum-indirect excitons remains challenging in experiment due to spectral overlap and measurement-dependent explanation. Then, we review five primary external modulation methods: electric field, strain, magnetic field, twist angle, and optical cavities. Electric fields can realize fast, reversible tuning of exciton energy levels, especially for excitons with large dipole moments. Strain provides nanoscale spatial control and can reshape local potential landscapes. Magnetic fields affect the spin-valley configurations and allow access to exciton polarization dynamics. Moiré engineering via twist angles introduces periodic potential landscapes, yielding moiré-trapped IXs and novel hybrid exciton–polaritons. Optical cavities enhance exciton radiative recombination via light–matter coupling and open up possibilities for strong coupling regimes. We further discuss additional strategies such as substrate-induced screening, dielectric environment, probe-induced local stress, and ferroelectric gating, all of which enrich the modulation toolbox. To facilitate cross-comparison, we present a comprehensive summary table comparing different modulation approaches in terms of tuning targets, dimensionality, efficiency, dynamic responsiveness, and implementation complexity. Finally, we discuss emerging applications of IXs in optoelectronic and quantum devices. Their tunable emission and long-lived nature make them suitable for exciton-based memory, logic, lasers, and reconfigurable photonic circuits. With the development of material synthesis, interface engineering, and hybrid integration, interlayer excitons are evolving from basic quasiparticles to programmable excitonic elements in chip-scale photonics and quantum information technologies. -
Keywords:
- interlayer excitons /
- van der Waals heterostructures /
- exciton modulation /
- spectroscopic identification
[1] Geim A K, Grigorieva I V 2013 Nature 499 419
Google Scholar
[2] Novoselov K S, Mishchenko A, Carvalho A, Castro Neto A H 2016 Science 353 aac9439
Google Scholar
[3] Sun Y, Zhou Z H, Huang Z, Wu J B, Zhou L J, Cheng Y, Liu J Q, Zhu C, Yu M T, Yu P, Zhu W, Liu Y, Zhou J, Liu B W, Xie H G, Cao Y, Li H, Wang X R, Liu K H, Wang X Y, Wang J P, Wang L, Huang W 2019 Adv. Mater. 31 e1806562
Google Scholar
[4] Liu C, Pan J, Yuan Q H, Zhu C, Liu J Q, Ge F X, Zhu J J, Xie H T, Zhou D W, Zhang Z C, Zhao P Y, Tian B B, Huang W, Wang L 2024 Adv. Mater. 36 e2305580
Google Scholar
[5] Yuan L, Zheng B Y, Kunstmann J, Brumme T, Kuc A B, Ma C, Deng S B, Blach D, Pan A L, Huang L B 2020 Nat. Mater. 19 617
Google Scholar
[6] Wu R X, Zhang H M, Ma H F, Zhao B, Li W, Chen Y, Liu J T, Liang J Y, Qin Q Y, Qi W X, Chen L, Li J, Li B, Duan X D 2024 Chem. Rev. 124 10112
Google Scholar
[7] Sun Y, Yin Y, Pols M, Zhong J X, Huang Z, Liu B W, Liu J Q, Wang W, Xie H G, Zhan G X, Zhou Z X, Zhang W, Wang P C, Zha C Y, Jiang X H, Ruan Y J, Zhu C, Brocks G, Wang X Y, Wang L, Wang J P, Tao S X, Huang W 2020 Adv. Mater. 32 e2002392
Google Scholar
[8] Castellanos-Gomez A, Buscema M, Molenaar R, Singh V, Janssen L, van der Zant H S J, Steele G A 2014 2D Mater. 1 011002
[9] Dean C R, Young A F, Meric I, Lee C, Wang L, Sorgenfrei S, Watanabe K, Taniguchi T, Kim P, Shepard K L, Hone J 2010 Nat. Nanotechnol. 5 722
Google Scholar
[10] Chen H L, Wen X W, Zhang J, Wu T M, Gong Y J, Zhang X, Yuan J T, Yi C Y, Lou J, Ajayan P M, Zhuang W, Zhang G Y, Zheng J R 2016 Nat. Commun. 7 12512
Google Scholar
[11] Heo H, Sung J H, Cha S, Jang B G, Kim J Y, Jin G, Lee D, Ahn J H, Lee M J, Shim J H, Choi H, Jo M H 2015 Nat. Commun. 6 7372
Google Scholar
[12] Merkl P, Mooshammer F, Steinleitner P, Girnghuber A, Lin K Q, Nagler P, Holler J, Schuller C, Lupton J M, Korn T, Ovesen S, Brem S, Malic E, Huber R 2019 Nat. Mater. 18 691
Google Scholar
[13] Ponomarev E, Ubrig N, Gutierrez-Lezama I, Berger H, Morpurgo A F, 2018 Nano Lett. 18 5146
Google Scholar
[14] Wilson N R, Nguyen P V, Seyler K, Rivera P, Marsden A J, Laker Z P, Constantinescu G C, Kandyba V, Barinov A, Hine N D, Xu X, Cobden D H 2017 Sci. Adv. 3 e1601832
Google Scholar
[15] Baranowski M, Surrente A, Klopotowski L, Urban J M, Zhang N, Maude D K, Wiwatowski K, Mackowski S, Kung Y C, Dumcenco D, Kis A, Plochocka P 2017 Nano Lett. 17 6360
Google Scholar
[16] Jiang C Y, Xu W G, Rasmita A, Huang Z M, Li K, Xiong Q H, Gao W B 2018 Nat. Commun. 9 753
Google Scholar
[17] Miller B, Steinhoff A, Pano B, Klein J, Jahnke F, Holleitner A, Wurstbauer U 2017 Nano Lett. 17 5229
Google Scholar
[18] Nagler P, Ballottin M V, Mitioglu A A, Mooshammer F, Paradiso N, Strunk C, Huber R, Chernikov A, Christianen P C M, Schuller C, Korn T 2017 Nat. Commun. 8 1551
Google Scholar
[19] Rivera P, Schaibley J R, Jones A M, Ross J S, Wu S, Aivazian G, Klement P, Seyler K, Clark G, Ghimire N J, Yan J, Mandrus D G, Yao W, Xu X 2015 Nat. Commun. 6 6242
Google Scholar
[20] Hong X P, Kim J, Shi S F, Zhang Y, Jin C H, Sun Y H, Tongay S, Wu J Q, Zhang Y F, Wang F 2014 Nat. Nanotechnol. 9 682X
Google Scholar
[21] Liu Y D, Elbanna A, Gao W B, Pan J S, Shen Z X, Teng J H 2022 Adv. Mater. 34 e2107138
Google Scholar
[22] Rivera P, Seyler K L, Yu H, Schaibley J R, Yan J, Mandrus D G, Yao W, Xu X 2016 Science 351 688
Google Scholar
[23] Sigl L, Sigger F, Kronowetter F, Kiemle J, Klein J, Watanabe K, Taniguchi T, Finley J J, Wurstbauer U, Holleitner A W 2020 Phys. Rev. Res. 2 042044
Google Scholar
[24] Sigl L, Troue M, Katzer M, Selig M, Sigger F, Kiemle J, Brotons-Gisbert M, Watanabe K, Taniguchi T, Gerardot B D, Knorr A, Wurstbauer U, Holleitner A W 2022 Phys. Rev. B 105 035417
Google Scholar
[25] Wu K, Zhong H X, Guo Q B, Tang J B, Zhang J, Qian L H, Shi Z F, Zhang C D, Yuan S J, Zhang S P, Xu H X 2022 Natl. Sci. Rev. 9 nwab135
Google Scholar
[26] Chen D X, Lian Z, Huang X, Su Y, Rashetnia M, Ma L, Yan L, Blei M, Xiang L, Taniguchi T, Watanabe K, Tongay S, Smirnov D, Wang Z H, Zhang C W, Cui Y T, Shi S F 2022 Nat. Phys. 18 1171
Google Scholar
[27] Wang T M, Miao S N, Li Z P, Meng Y Z, Lu Z G, Lian Z, Blei M, Taniguchi T, Watanabe K, Tongay S, Smirnov D, Shi S F 2020 Nano Lett. 20 694
Google Scholar
[28] Li S W, Wei K, Liu Q R, Tang Y X, Jiang T 2024 Front. Phys. 19 42501
Google Scholar
[29] Liu Y D, Fang H L, Rasmita A, Zhou Y, Li J T, Yu T, Xiong Q H, Zheludev N, Liu J, Gao W B 2019 Sci. Adv. 5 eaav4506
Google Scholar
[30] Kim T J, Lee S-h, Kwon D, Joo J 2024 J. Mater. Chem. C 12 404
Google Scholar
[31] Unuchek D, Ciarrocchi A, Avsar A, Watanabe K, Taniguchi T, Kis A 2018 Nature 560 340
Google Scholar
[32] Alexeev E M, Purser C M, Gilardoni C M, Kerfoot J, Chen H, Cadore A R, Rosa B L T, Feuer M S G, Javary E, Hays P, Watanabe K, Taniguchi T, Tongay S A, Kara D M, Atature M, Ferrari A C 2024 Nano Lett. 24 11232
Google Scholar
[33] Sakamoto M, Kawawaki T, Kimura M, Yoshinaga T, Vequizo J J M, Matsunaga H, Ranasinghe C S K, Yamakata A, Matsuzaki H, Furube A, Teranishi T 2019 Nat. Commun. 10 406
Google Scholar
[34] Seyler K L, Rivera P, Yu H, Wilson N P, Ray E L, Mandrus D G, Yan J, Yao W, Xu X 2019 Nature 567 66
Google Scholar
[35] Qian C, Troue M, Figueiredo J, Soubelet P, Villafane V, Beierlein J, Klembt S, Stier A V, Hofling S, Holleitner A W, Finley J J 2024 Sci. Adv. 10 eadk6359
Google Scholar
[36] Lin Q, Fang H, Kalaboukhov A, Liu Y, Zhang Y, Fischer M, Li J, Hagel J, Brem S, Malic E, Stenger N, Sun Z, Wubs M, Xiao S 2024 Nat. Commun. 15 8762
Google Scholar
[37] Barré E, Karni O, Liu E, O'Beirne A L, Chen X, Ribeiro H B, Yu L, Kim B, Watanabe K, Taniguchi T, Barmak K, Lui C H, Refaely-Abramson S, da Jornada F H, Heinz T F 2022 Science 376 406
Google Scholar
[38] Zhang C, Wu K, Gan L, Liu X Y, Zhang C, Wu S L, Yuan X M, Zhang L L, Xi J Y, Yang J, Li X F 2024 ACS Nano 18 33520
Google Scholar
[39] Rivera P, Yu H, Seyler K L, Wilson N P, Yao W, Xu X 2018 Nat. Nanotechnol. 13 1004
Google Scholar
[40] Yu H Y, Cui X D, Xu X D, Yao W 2015 Nat. Sci. Rev. 2 57
Google Scholar
[41] Liu F, Li Q Y, Zhu X Y 2020 Phy. Rev. B 101 201405
Google Scholar
[42] Wang Y, Wang Z, Yao W, Liu G B, Yu H Y 2017 Phy. Rev. B 95 115429
Google Scholar
[43] Zhu H M, Wang J, Gong Z Z, Kim Y D, Hone J, Zhu X Y 2017 Nano Lett. 17 3591
Google Scholar
[44] 刘子媛, 潘金波, 张余洋, 杜世宣 2021 物理学报 70 027301
Liu Z Y, Pan J B, Zhang Y Y, Du S X 2021 Acta Phys. Sin. 70 027301
[45] Ju Q K, Cai Q, Jian C Y, Hong W T, Sun F P, Wang B C, Liu W 2024 Adv. Mater. 36 2404371
Google Scholar
[46] Mouri S, Zhang W, Kozawa D, Miyauchi Y, Eda G, Matsuda K 2017 Nanoscale 9 6674
Google Scholar
[47] Li L H, Zheng W H, Ma C, Zhao H P, Jiang F, Ouyang Y, Zheng B Y, Fu X W, Fan P, Zheng M, Li Y, Xiao Y, Cao W P, Jiang Y, Zhu X L, Zhuang X J, Pan A L 2020 Nano Lett. 20 3361
Google Scholar
[48] Wang K, Huang B, Tian M K, Ceballos F, Lin M W, Mahjouri-Samani M, Boulesbaa A, Puretzky A A, Rouleau C M, Yoon M, Zhao H, Xiao K, Duscher G, Geohegan D B 2016 ACS Nano 10 6612
Google Scholar
[49] Luong D H, Lee H S, Neupane G P, Roy S, Ghimire G, Lee J H, Vu Q A, Lee Y H 2017 Adv. Mater. 29 1701512
Google Scholar
[50] Nagler P, Plechinger G, Ballottin M V, Mitioglu A, Meier S, Paradiso N, Strunk C, Chernikov A, Christianen P C M, Schüller C, Korn T 2017 2D Mater. 4 025112
[51] Policht V R, Mittenzwey H, Dogadov O, Katzer M, Villa A, Li Q, Kaiser B, Ross A M, Scotognella F, Zhu X, Knorr A, Selig M, Cerullo G, Dal Conte S 2023 Nat. Commun. 14 7273
Google Scholar
[52] Hanbicki A T, Chuang H J, Rosenberger M R, Hellberg C S, Sivaram S V, McCreary K M, Mazin, II, Jonker B T 2018 ACS Nano 12 4719
Google Scholar
[53] Wang G, Robert C, Glazov M M, Cadiz F, Courtade E, Amand T, Lagarde D, Taniguchi T, Watanabe K, Urbaszek B, Marie X 2017 Phys. Rev. Lett. 119 047401
Google Scholar
[54] Jin C H, Regan E C, Yan A, Iqbal Bakti Utama M, Wang D, Zhao S, Qin Y, Yang S, Zheng Z, Shi S, Watanabe K, Taniguchi T, Tongay S, Zettl A, Wang F 2019 Nature 567 76
Google Scholar
[55] Tagarelli F, Lopriore E, Erkensten D, Perea-Causin R, Brem S, Hagel J, Sun Z, Pasquale G, Watanabe K, Taniguchi T, Malic E, Kis A 2023 Nat. Photonics 17 615
Google Scholar
[56] Jauregui L A, Joe A Y, Pistunova K, Wild D S, High A A, Zhou Y, Scuri G, De Greve K, Sushko A, Yu C H, Taniguchi T, Watanabe K, Needleman D J, Lukin M D, Park H, Kim P 2019 Science 366 870
Google Scholar
[57] Erkensten D, Brem S, Perea-Causin R, Hagel J, Tagarelli F, Lopriore E, Kis A, Malic E 2023 Nanoscale 15 11064
Google Scholar
[58] Ciarrocchi A, Unuchek D, Avsar A, Watanabe K, Taniguchi T, Kis A 2019 Nat. Photonics 13 131
Google Scholar
[59] 石蓓蓓, 陶广益, 戴宇琛, 何霄, 林峰, 张酣, 方哲宇 2022 物理学报 71 177301
Google Scholar
Shi B B, Tao G Y, Dai Y C, He X, Lin F, Zhang H, Fang Z Y 2022 Acta Phys. Sin. 71 177301
Google Scholar
[60] Joe A Y, Mier Valdivia A M, Jauregui L A, Pistunova K, Ding D, Zhou Y, Scuri G, De Greve K, Sushko A, Kim B, Taniguchi T, Watanabe K, Hone J C, Lukin M D, Park H, Kim P 2024 Nat. Commun. 15 6743
Google Scholar
[61] Sun Z, Ciarrocchi A, Tagarelli F, Marin J F G, Watanabe K, Taniguchi T, Kis A 2022 Nat. Photonics 16 79
Google Scholar
[62] Shanks D N, Mahdikhanysarvejahany F, Stanfill T G, Koehler M R, Mandrus D G, Taniguchi T, Watanabe K, LeRoy B J. Schaibley J R 2022 Nano Lett. 22 6599
Google Scholar
[63] Wu H J, Chen H T, Han J S, Xiao Y, Yuan X M, Kang D D, Zhu M J, Zhu Z H, Qin S Q, Dai J Y 2025 Adv. Opt. Mater. 13 2403535
Google Scholar
[64] Tang Y H, Gu J, Liu S, Watanabe K, Taniguchi T, Hone J, Mak K F, Shan J 2021 Nat. Nanotechnol. 16 52
Google Scholar
[65] Xia J, Yan J X, Wang Z H, He Y M, Gong Y J, Chen W Q, Sum T C, Liu Z, Ajayan P M, Shen Z X 2020 Nat. Phys. 17 92
[66] Tongay S, Fan W, Kang J, Park J, Koldemir U, Suh J, Narang D S, Liu K, Ji J, Li J, Sinclair R, Wu J 2014 Nano Lett. 14 3185
Google Scholar
[67] Moon H, Grosso G, Chakraborty C, Peng C, Taniguchi T, Watanabe K, Englund D 2020 Nano Lett. 20 6791
Google Scholar
[68] He Y M, Yang Y, Zhang Z H, Gong Y J, Zhou W, Hu Z L, Ye G L, Zhang X, Bianco E, Lei S D, Jin Z H, Zou X L, Yang Y C, Zhang Y, Xie E Q, Lou J, Yakobson B, Vajtai R, Li B, Ajayan P 2016 Nano Lett. 16 3314
Google Scholar
[69] Cho C, Wong J, Taqieddin A, Biswas S, Aluru N R, Nam S, Atwater H A 2021 Nano Lett. 21 3956
Google Scholar
[70] Li L L, Gillen R, Palummo M, Milošević M V, Peeters F M 2023 Appl. Phys. Lett. 123 033102
Google Scholar
[71] Zhang D L, Ge C H, Wang Y W, Xia Y, Zhao H P, Yao C D, Chen Y, Ma C, Tong Q J, Pan A L, Wang X 2024 ACS Nano 18 17672
Google Scholar
[72] Hsieh Y C, Lin Z Y, Fung S J, Lu W S, Ho S C, Hong S P, Ho S Z, Huang C H, Watanabe K, Taniguchi T, Chan Y H, Chen Y C, Wu C L, Chen T M 2023 Nano Lett. 23 7244
Google Scholar
[73] Yang D, Cao Q, Akyuz E, Hayden J, Nordlander J, Mercer I, Yu M, Ramachandran R, Irvin P, Maria J P, Hunt B M, Levy J 2024 Nano Lett. 24 16231
Google Scholar
[74] Alexeev E M, Mullin N, Ares P, Nevison-Andrews H, Skrypka O, Godde T, Kozikov A, Hague L, Wang Y, Novoselov K S, Fumagalli L, Hobbs J K, Tartakovskii A I 2020 ACS Nano 14 11110
Google Scholar
[75] Aivazian G, Gong Z, Jones A M, Chu R-L, Yan J, Mandrus D G, Zhang C, Cobden D, Yao W, Xu X 2015 Nat. Phys. 11 148
Google Scholar
[76] Gunawan O, Shkolnikov Y P, Vakili K, Gokmen T, De Poortere E P, Shayegan M 2006 Phys. Rev. Lett. 97 186404
Google Scholar
[77] Faria Junior P E, Fabian J 2023 Nanomaterials 13 1187
Google Scholar
[78] Rycerz A, Tworzydło J, Beenakker C W J 2007 Nat. Phys. 3 172
Google Scholar
[79] Ma H, Zhu Y J, Liu Y L, Bai R X, Zhang X L, Ren Y B, Jiang C Y 2023 Chin. Phys. B 32 107201
Google Scholar
[80] Smirnov D S, Holler J, Kempf M, Zipfel J, Nagler P, Ballottin M V, Mitioglu A A, Chernikov A, Christianen P C M, Schüller C, Korn T 2022 2D Mater. 9 045016
[81] Zhang W L, Zhu H R, Zhang W Q, Wang J, Zhang T T, Yang S R, Shao B, Zuo X 2024 Appl. Surf. Sci. 647 158986
Google Scholar
[82] Zheng H H, Wu B, Wang C T, Li S F, He J, Liu Z W, Wang J T, Yu G Q, Duan J A, Liu Y P 2023 Nano Res. 16 10580
Google Scholar
[83] Lou J Y, Lv Z, Wang H C, Tang Y T, Luo S, Liu Y, Zhang X Y, Lv G X, Zhang Y N, Zhou H, Zhang L, Chen Z H 2024 Phy. Rev. B 110 045412
Google Scholar
[84] Tran K, Moody G, Wu F, Lu X, Choi J, Kim K, Rai A, Sanchez D A, Quan J, Singh A, Embley J, Zepeda A, Campbell M, Autry T, Taniguchi T, Watanabe K, Lu N, Banerjee S K, Silverman K L, Kim S, Tutuc E, Yang L, MacDonald A H, Li X 2019 Nature 567 71
Google Scholar
[85] Alexeev E M, Ruiz-Tijerina D A, Danovich M, Hamer M J, Terry D J, Nayak P K, Ahn S, Pak S, Lee J, Sohn J I, Molas M R, Koperski M, Watanabe K, Taniguchi T, Novoselov K S, Gorbachev R V, Shin H S, Fal'ko V I, Tartakovskii A I 2019 Nature 567 81
Google Scholar
[86] Choi J, Hsu W T, Lu L S, Sun L, Cheng H Y, Lee M H, Quan J, Tran K, Wang C Y, Staab M, Jones K, Taniguchi T, Watanabe K, Chu M W, Gwo S, Kim S, Shih C K, Li X, Chang W H 2020 Sci. Adv. 6 eaba8866
Google Scholar
[87] Chen J J, Yue X F, Shan Y B, Wang H S, Han J K, Wang H M, Sheng C X, Hu L G, Liu R, Yang W H, Qiu Z J, Cong C X 2023 RSC Adv. 13 18099
Google Scholar
[88] Dai D J, Fu B W, Yang J N, Yang L L, Yan S, Chen X Q, Li H C, Zuo Z C, Wang C, Jin K, Gong Q, Xu X L 2024 Sci. Adv. 10 eado1281
Google Scholar
[89] Fang H L, Lin Q L, Zhang Y, Thompson J, Xiao S S, Sun Z P, Malic E, Dash S P, Wieczorek W 2023 Nat. Commun. 14 6910
Google Scholar
[90] Choi J, Florian M, Steinhoff A, Erben D, Tran K, Kim D S, Sun L, Quan J, Claassen R, Majumder S, Hollingsworth J A, Taniguchi T, Watanabe K, Ueno K, Singh A, Moody G, Jahnke F, Li X 2021 Phys. Rev. Lett. 126 047401
Google Scholar
[91] Zhang L, Zhang Z, Wu F C, Wang D Q, Gogna R, Hou S C, Watanabe K, Taniguchi T, Kulkarni K, Kuo T, Forrest S R, Deng H 2020 Nat. Commun. 11 5888
Google Scholar
[92] Forg M, Colombier L, Patel R K, Lindlau J, Mohite A D, Yamaguchi H, Glazov M M, Hunger D, Hogele A 2019 Nat. Commun. 10 3697
Google Scholar
[93] Lopriore E, Tagarelli F, Fitzgerald J M, Gonzalez Marin J F, Watanabe K, Taniguchi T, Malic E, Kis A 2025 Nat. Nanotechnol.
[94] Zhu J S, Shen F H, Chen Z F, Liu F H, Jin S Y, Lei D Y, Xu J B 2024 ACS Nano 18 13599
Google Scholar
[95] Zhu Y, Zou K L, Qi D X, He J, Peng R W, Wang M 2025 Nano Lett. 25 8680
Google Scholar
[96] Zhao J X, Fieramosca A, Dini K, Bao R, Du W, Su R, Luo Y, Zhao W J, Sanvitto D, Liew T C H, Xiong Q H 2023 Nat. Commun. 14 1512
Google Scholar
[97] Song K W, Kyriienko O 2025 Phys. Rev. Lett. 135 036901
Google Scholar
[98] Zhang L, Wu F C, Hou S C, Zhang Z, Chou Y H, Watanabe K, Taniguchi T, Forrest S R, Deng H 2021 Nature 591 61
Google Scholar
[99] Liu E F, Barre E, van Baren J, Wilson M, Taniguchi T, Watanabe K, Cui Y T, Gabor N M, Heinz T F, Chang Y C, Lui C H 2021 Nature 594 46
Google Scholar
[100] Li W J, Lu X, Wu J T, Srivastava A 2021 Nat. Nanotechnol. 16 148
Google Scholar
[101] Sun Z, Ge P, Chen S, Huang S, Xu H, Wang C, Han R, Zhang X, Liu H, Luo J, Qian L, Sun J, Liu D, Liu H 2025 Adv. Mater. e2502986
[102] Palekar C C, Faria Junior P E, Rosa B, Sousa F B, Malard L M, Fabian J, Reitzenstein S 2024 npj 2D Mater. Appl. 8 49
[103] Zhu T, Zheng C H, Xu L, Yang M 2024 Phy. Rev. B 110 155416
Google Scholar
[104] Sun X Q, Zhu Y, Qin H, Liu B Q, Tang Y L, Lü T Y, Rahman S, Yildirim T, Lu Y 2022 Nature 610 478
Google Scholar
[105] Joe A Y, Jauregui L A, Pistunova K, Mier Valdivia A M, Lu Z, Wild D S, Scuri G, De Greve K, Gelly R J, Zhou Y, Sung J, Sushko A, Taniguchi T, Watanabe K, Smirnov D, Lukin M D, Park H, Kim P 2021 Phys. Rev. B 103 L161411
Google Scholar
[106] Meng Y Z, Wang T M, Jin C H, Li Z P, Miao S N, Lian Z, Taniguchi T, Watanabe K, Song F Q, Shi S F 2020 Nat. Commun. 11 2640
Google Scholar
[107] Lu J Z, Zhu Z Y, Angeli M, Larson D T, Kaxiras E 2022 Phy. Rev. B 106 144305
Google Scholar
[108] Naik M H, Regan E C, Zhang Z C, Chan Y H, Li Z L, Wang D Q, Yoon Y, Ong C S, Zhao W Y, Zhao S H, Utama M I B, Gao B N, Wei X, Sayyad M, Yumigeta K, Watanabe K, Taniguchi T, Tongay, da Jornada F H, Wang F, Louie S G 2022 Nature 609 52
Google Scholar
[109] Wu F, Lovorn T, Tutuc E, Martin I, MacDonald A H 2019 Phys. Rev. Lett. 122 086402
Google Scholar
[110] Xin M, Lan W Z, Bai Q H, Huang X, Watanabe K, Taniguchi T, Wang G, Gu C Z, Liu B L 2022 Appl. Phys. Lett. 121 143101
Google Scholar
[111] Li W, Hadjri Z, Devenica L M, Zhang J, Liu S, Hone J, Watanabe K, Taniguchi T, Rubio A, Srivastava A 2023 Nat. Mater. 22 1478
Google Scholar
[112] Lian Z, Chen D X, Ma L, Meng Y Z, Su Y, Yan L, Huang X, Wu Q R, Chen X Y, Blei M, Taniguchi T, Watanabe K, Tongay S, Zhang C W, Cui Y T, Shi S F 2023 Nat. Commun. 14 4604
Google Scholar
[113] Yu L, Pistunova K, Hu J, Watanabe K, Taniguchi T, Heinz T F 2023 Nat. Mater. 22 1485
Google Scholar
[114] Huang L, Krasnok A, Alu A, Yu Y, Neshev D, Miroshnichenko A E 2022 Rep. Prog. Phys. 85 046401
Google Scholar
[115] Jin C H, Kim J, Utama M I B, Regan E C, Kleemann H, Cai H, Shen Y, Shinner M J, Sengupta A, Watanabe K, Taniguchi T, Tongay S, Zettl A, Wang F 2018 Science 360 893
Google Scholar
[116] Wang Z, Rhodes D A, Watanabe K, Taniguchi T, Hone J C, Shan J, Mak K F 2019 Nature 574 76
Google Scholar
[117] Sung J, Zhou Y, Scuri G, Zolyomi V, Andersen T I, Yoo H, Wild D S, Joe A Y, Gelly R J, Heo H, Magorrian S J, Berube D, Valdivia A M M, Taniguchi T, Watanabe K, Lukin M D, Kim P, Fal'ko V I, Park H 2020 Nat. Nanotechnol. 15 750
Google Scholar
-
图 1 TMD异质结构中层间激子的形成判定与多样化调控机制. 图中心展示典型异质结构中层间激子的空间构型及常用光谱学表征手段(PL, PLE, EA, TA), 外围示意常见调控方式, 包括电场、磁场、应力、光学微腔与扭转角等
Figure 1. Schematic of interlayer exciton identification and regulation. The center illustrates the spatial configuration of interlayer excitons and representative spectroscopic techniques (PL, PLE, EA, TA), surrounded by common external tuning approaches such as electric field, magnetic field, pressure, optical microcavity, and twist angle.
图 2 层间激子的形成 (a) 单层WSe2、单层MoSe2和异质结构的光致发光光谱, 出自文献[19], 已获得授权; (b) 2D MoSe2/WSe2异质结的Ⅱ型半导体能带排列图, 出自文献[19], 已获得授权; (c) WSe2/MoSe2异质结及其单层组分的光致发光谱对比, 1.36 eV处的发光峰来源于层间激子复合, 出自文献[13], 已获得授权; (d) WSe2/WS2异质结构中层间激子的1s-2p跃迁(67 meV)中红外吸收谱, 出自文献[12], 已获得授权
Figure 2. Formation of interlayer excitons: (a) PL spectra of monolayer WSe2, monolayer MoSe2, and their heterostructure, reproduced with permission from Ref. [19]; (b) type-Ⅱ semiconductor band alignment diagram for the 2D MoSe2/WSe2 heterojunction, reproduced with permission from Ref. [19]; (c) comparison of PL spectra between the WSe2/MoSe2 heterojunction and its monolayer components, where the emission peak at 1.36 eV arises from interlayer exciton recombination, reproduced with permission from Ref. [13]; (d) mid-infrared absorption spectrum of the 1s-2p transition (67 meV) of interlayer excitons in the WSe2/WS2 heterostructure, reproduced with permission from Ref. [12].
图 3 层间激子的判断 (a) 单层WS2, MoS2以及WS2/MoS2异质结构的PL谱, 出自文献[10], 已获得授权; (b) MoSe2/WSe2异质结构的PLE谱, 出自文献[50], 已获得授权; (c) 超快瞬态吸收(TA)谱中IXs形成的延迟(0.8 ps)与层间空穴转移(IHT)过程(0.2 ps), 出自文献[51], 已获得授权; (d) 电调制吸收(EA)谱中IX的本征吸收峰(1.359 eV, 1.377 eV)与PL间接跃迁峰(L1), 出自文献[37], 已获得授权
Figure 3. Identification of interlayer excitons: (a) PL spectra of monolayer WS2, MoS2, and the WS2/MoS2 heterostructure, reproduced with permission from Ref. [10]; (b) PLE spectrum of the MoSe2/WSe2 heterostructure, reproduced with permission from Ref. [50]; (c) formation dynamics of IXs (0.8 ps delay) and IHT (0.2 ps) observed in ultrafast TA spectroscopy, reproduced with permission from Ref. [51]; (d) intrinsic absorption peaks of IXs (1.359 eV, 1.377 eV) and indirect transition PL peak (L1) in EA spectroscopy, reproduced with permission from Ref. [37].
图 4 电场调节层间激子密度 (a) WSe2/MoSe2激子晶体管结构示意图, 出自文献[31], 已获得授权; (b) 栅压调控激子流开关(ON/OFF状态)的PL强度对比, 出自文献[31], 已获得授权; (c) WSe2/MoSe2激子晶体管开关比随栅压的变化, 出自文献[31], 已获得授权; (d) 双栅极结构的WSe2/MoSe2异质结激子晶体管示意图, 出自文献[60], 已获得授权; (e) 无陷阱势与陷阱势下的层间激子光致发光空间分布图, 出自文献[60], 已获得授权; (f) 不同外栅电场下, 层间激子蓝移能量ΔE及对应的电子-空穴对密度随激发功率的变化关系, 出自文献[60], 已获得授权
Figure 4. Interlayer exciton density under electric field conditions: (a) Schematic of a WSe2/MoSe2 excitonic transistor structure, reproduced with permission from Ref. [31]; (b) comparison of PL intensities demonstrating exciton current switching (ON/OFF states) under gate voltage modulation, reproduced with permission from Ref. [31]; (c) gate voltage dependence of the ON/OFF ratio in WSe2/MoSe2 excitonic transistors, reproduced with permission from Ref. [31]; (d) schematic of a dual-gated WSe2/MoSe2 heterostructure excitonic transistor, reproduced with permission from Ref. [60]; (e) spatial distribution of interlayer exciton PL with and without trapping potentials, reproduced with permission from Ref. [60]; (f) electric-field-induced blue shift energy (ΔE) of interlayer excitons and corresponding electron-hole pair density as functions of excitation power under different external gate biases, reproduced with permission from Ref. [60].
图 5 电场调控激子输运 (a) WSe2/hBN/MoS2三明治结构中激子扩散受电场势能(δEel)与激子-激子排斥(δExx)协同调控的示意图, 出自文献[61], 已获得授权; (b) 激子传播距离Lx随静电势能与激子-激子排斥能比值δEel/δExx的变化关系, 插图为模拟中的势能分布示意图, 出自文献[61], 已获得授权; (c) 纳米图案化MoSe2/WSe2异质结的器件示意图, 出自文献[62], 已获得授权; (d) MoSe2/WSe2异质结的三角形电势“滑道”设计示意图, 出自文献[62], 已获得授权; (e) 激发激光强度分布的CCD图像, 出自文献[62], 已获得授权
Figure 5. Electric-field-controlled exciton transport: (a) Schematic of exciton diffusion regulation in a WSe2/hBN/MoS2 sandwich structure through the synergistic effects of electric potential energy (δEel) and exciton-exciton repulsion (δExx), reproduced with permission from Ref. [61]; (b) exciton propagation distance (Lx) as a function of the ratio between electrostatic potential energy and exciton-exciton repulsion energy (δEel/δExx), with the inset showing the simulated potential energy distribution reproduced with permission from Ref. [61]; (c) device schematic of a nanopatterned MoSe2/WSe2 heterostructure reproduced with permission from Ref. [62]; (d) design schematic of triangular potential “channels” in a MoSe2/WSe2 heterostructure; (e) CCD image of the excitation laser intensity distribution reproduced with permission from Ref. [62].
图 6 应变调控层间激子 (a) MoS2/WSe2异质双层中周期性褶皱结构的示意图, 波峰与波谷分别引入拉伸与压缩应变, 出自文献[69], 已获得授权; (b) 激子发射峰值能量随褶皱轮廓的连续移动, 总调节范围达107 meV, 出自文献[69], 已获得授权; (c) MoSe2/WSe2异质结构中双轴应变下层间和层内激子结合能的GW+BSE计算结果, 出自文献[70], 已获得授权; (d), (e) WSe2/WS2异质结构在拉伸应变下PL增强及谷极化效应(10 K下极化度达20%), 出自文献[71], 已获得授权; (f) 应变诱导的谷间不等势示意图, 出自文献[71], 已获得授权; (g) WSe2/MoSe2异质结构在静水压力下激子态演化过程及能带重排示意图, 出自文献[65], 已获得授权; (h), (i) 静水压力诱导的能带重排示意图(低压与高压下的能带对齐变化), 出自文献[65], 已获得授权
Figure 6. Strain-engineered interlayer excitons: (a) Schematic of periodic wrinkle structures in MoS2/WSe2 heterobilayers, where peak and valley regions introduce tensile and compressive strains, respectively, reproduced with permission from Ref. [69]; (b) continuous tuning of exciton emission peak energy along the wrinkle profile, showing a total modulation range of 107 meV, reproduced with permission from Ref. [69]; (c) GW+BSE calculated binding energies of interlayer and intralayer excitons under biaxial strain in MoSe2/WSe2 heterostructures, reproduced with permission from Ref. [70]; (d), (e) PL enhancement and valley polarization effects (20% polarization degree at 10 K) in WSe2/WS2 heterostructures under tensile strain, reproduced with permission from Ref. [71]; (f) schematic of strain-induced valley potential inequality, reproduced with permission from Ref. [71]; (g) evolution of excitonic states and band rearrangement in WSe2/MoSe2 heterostructures under hydrostatic pressure, reproduced with permission from Ref. [65]; (h), (i) schematic of pressure-induced band rearrangement (low-pressure vs. high-pressure band alignment), reproduced with permission from Ref. [65].
图 7 磁场调控层间激子 (a) WSe2/MoSe2异质结构中自旋单重态(IXS)与三重态(IXT)的PL谱随磁场的变化, 出自文献[27], 已获得授权; (b) IXS和IXT的谷Zeeman劈裂能隙及g因子(高达~15.2)的磁场依赖关系, 出自文献[27], 已获得授权; (c), (d) H型和R型堆叠异质结在24.2 T磁场下的谷极化度共振增强现象, 出自文献[80], 已获得授权; (e) WSe2/YIG异质结构中中性激子(X0)和带电激子(T)的谷极化度随磁场的变化, 出自文献[82], 已获得授权; (f) 谷塞曼劈裂随外磁场的线性变化特征, 出自文献[82], 已获得授权
Figure 7. Magnetic-field-controlled interlayer excitons: (a) Magnetic-field-dependent PL spectra of spin-singlet (IXS) and triplet (IXT) states in WSe2/MoSe2 heterostructures, reproduced with permission from Ref. [27]; (b) valley Zeeman splitting energy gaps and magnetic-field dependence of g-factors (up to ~15.2) for IXS and IXT states, reproduced with permission from Ref. [27]; (c), (d) resonance-enhanced valley degree of polarization (DOP) in H-type and R-type stacked heterostructures under 24.2 T magnetic field, Reproduced with permission from Ref. [80]; (e) magnetic-field evolution of valley polarization for neutral excitons (X0) and charged excitons (T) in WSe2/YIG heterostructures, reproduced with permission from Ref. [82]; (f) linear dependence of valley Zeeman splitting on external magnetic field, reproduced with permission from Ref. [82].
图 8 扭转角调控层间激子 (a) WS2/WSe2异质结构中ADF-STEM成像显示的~7.6 nm莫尔周期, 出自文献[5], 已获得授权; (b), (c) WSe2/WS2异质结构中激子PL强度及跃迁路径(K-K直接跃迁与Q-K间接跃迁)随扭转角的变化, 出自文献[87], 已获得授权; (d), (e) 不同扭转角下层间激子圆偏振发射方向反转及极化度周期性波动行为, 出自文献[88], 已获得授权; (f) MoSe2/WSe2异质结构中层间激子寿命随扭转角的变化趋势(1°—3.5°), 出自文献[90], 已获得授权
Figure 8. Twist-angle-engineered interlayer excitons: (a) ADF-STEM image of a WS2/WSe2 heterostructure showing moiré superlattices with ~7.6 nm periodicity, Reproduced with permission from Ref. [5]; (b), (c) twist-angle dependence of excitonic PL intensity and transition pathways (direct K-K transition vs. indirect Q-K transition) in WSe2/WS2 heterostructures, reproduced with permission from Ref. [87]; (d), (e) circularly polarized emission reversal and periodic oscillations of polarization degree under different twist angles, reproduced with permission from Ref. [88]; (f) interlayer exciton lifetime evolution with twist angle (1° to 3.5°) in MoSe2/WSe2 heterostructures, reproduced with permission from Ref. [90].
图 9 光场共振调控 (a) 4.2 K下的腔装置, 基于光纤的微镜与顶部带有化学气相沉积(CVD)生长的MoSe2-WSe2异质结构的平面宏观镜共同构成腔体, 出自文献[92], 已获得授权; (b) 器件结构示意图, 包含一个被hBN包裹的MoSe2/WSe2异质双层, 上下层均有石墨烯(Gr)层. 底部栅极电压(VBG)和顶部栅极电压(VTG)分别施加在石墨烯层上, 而TMD薄片接地(GND), 该腔体由底部和顶部的SiO2层以及范德瓦耳斯异质堆叠组成, 出自文献[93], 已获得授权; (c) 层间激子(IX)的总积分光致发光(PL)强度(红色)和寿命(蓝色)随电场Ez的变化关系, 出自文献[93], 已获得授权; (d) 右列为无PLoM结构(上)和有PLoM结构(下)的异质结示意图, 左列为无PLoM结构(上)与有PLoM结构(下)层间激子光致发光的映射图像, 出自文献[94], 已获得授权; (e) 不同绝缘层(hBN, 红色; SiO2, 蓝色)情况下, 拉比分裂随层数平方根的变化关系. 可以发现耦合强度存在明显的N1/2(层数的平方根)增强效应, 出自文献[96], 已获得授权; (f) 上图为不同泵浦密度下零失谐时莫尔下极化激元(LPs)和中极化激元(MPs)的反射光谱, 下图为莫尔异质双层极化激元能量位移与载流子密度的关系, 出自文献[98], 已获得授权
Figure 9. Optical field resonance control: (a) Cavity setup at 4.2 K, the fiber-based micro-mirror forms the cavity together with a planar macro-mirror with CVD-grown MoSe2-WSe2 heterostructure on top, reproduced with permission from Ref. [92]; (b) schematic of the device structure, comprising a MoSe2 /WSe2 heterobilayer encapsulated with hBN, with bottom and top graphene (Gr) layers, bottom (VBG) and top (VTG) gate voltages are applied to the graphene layers, respectively, while the TMD flakes are grounded (GND), the cavity consists of the bottom and top SiO2 layers and the van der Waals heterostack, reproduced with permission from Ref. [93]; (c) total integrated IX PL intensity (red) and lifetime (blue) as a function of Ez, reproduced with permission from Ref. [93]; (d) the right column shows the schematic diagrams of the heterojunction without PLoM structure (top) and with PLoM structure (bottom), while the left column presents the photoluminescence mapping images of interlayer excitons without PLoM structure (top) and with PLoM structure (bottom), reproduced with permission from Ref. [94]; (e) Rabi splitting as a function of the square root of the number of layers for different insulators, hBN (red) and SiO2 (blue), a clear N1/2 enhancement of the coupling strength is found, reproduced with permission from Ref. [96]; (f) the upper figure shows the reflection spectra of moiré lower polaritons (LPs) and middle polaritons (MPs) at zero detuning under different pumping densities, the lower figure shows the relationship between the energy shift of moiré heterobilayer polaritons and carrier density, reproduced with permission from Ref. [98].
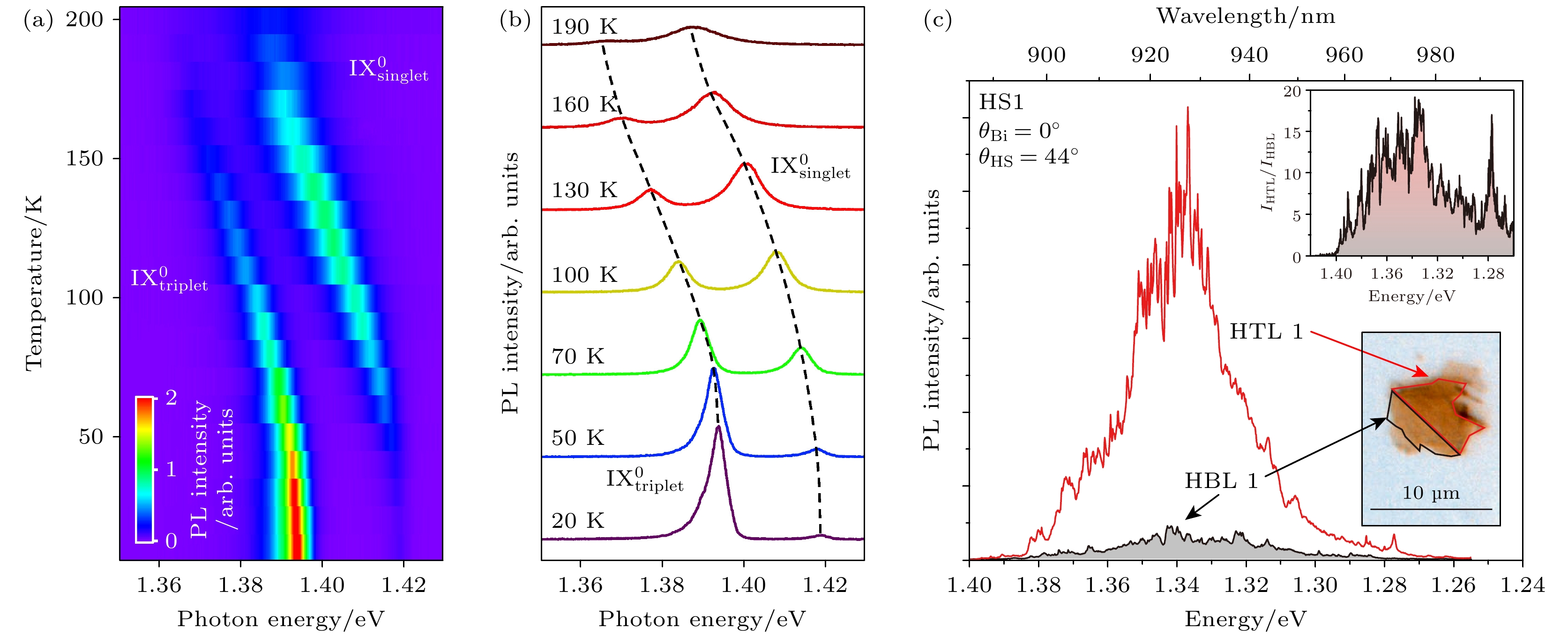
图 10 其他调控手段 (a), (b) WSe2/MoSe2异质结构中自旋单态(IXsinglet)与三重态(IXtriplet)的PL强度随温度的变化, 出自文献[99], 已获得授权; (c) 三层WSe2/WSe2/MoSe2异质结构中双WSe2夹层构型对激子发光强度的增强效应(近20倍), 出自文献[102], 已获得授权
Figure 10. Additional modulation approaches: (a), (b) Temperature-dependent PL intensity evolution of spin-singlet (IXsinglet) and triplet (IXtriplet) states in WSe2/MoSe2 heterostructures, reproduced with permission from Ref. [99]; (c) dual-WSe2 sandwich configuration in WSe2/WSe2/MoSe2 trilayer heterostructures showing near 20× exciton emission enhancement, reproduced with permission from Ref. [102].
表 1 层间激子的主要调控手段对比
Table 1. Comparison of main regulation methods for interlayer excitons.
调控
手段主要调控对象 调控维度 调控效率/范围 动态
响应性空间
分辨率实验
难度典型应用 电场 能级漂移[31,56,60,62,64,105]
偶极矩调制[55,57]能量强度 可达数十[56,58,60,64]—百[62] meV 高 中 中 能带调控[55,62,64]发光增强[106] 应变 能带结构[64,66–69,72,73]
结合能[65]谷分裂[74]能量极化度 可达百 meV[65,69],
结合能下降[65]中-低 高 中 态重构[68,69,72–74]波导设计[67] 磁场 自旋/谷态分裂态
简并破缺[27,80–83]能级极化度 ~meV 级[18,27,34,75,77,80] 高 低 高 谷电子学[16,18,27,75,76,80]
拓扑探索[34,77]扭转角 态耦合[25,85,87]moire
调制[5,54,84,86,88,89]能带极化态 可诱导新态生成[25,54,84–86,89,90] 固定 中 高 极化子[25,87,88]束缚态
调控[5,54,84–86,89]光场 辐射效率[92–94,96]
发射模式[95,97,98]发光强度
寿命可增强数十倍[93,94,96] 高 高 中-高 强耦合[92,96–98]PL增强[93–95] 其他 双激子转化局域
势场扰动等能量、态密度 不等(视手段) 高-低 高 中 探针调控[101]热场诱导[83,104] -
[1] Geim A K, Grigorieva I V 2013 Nature 499 419
Google Scholar
[2] Novoselov K S, Mishchenko A, Carvalho A, Castro Neto A H 2016 Science 353 aac9439
Google Scholar
[3] Sun Y, Zhou Z H, Huang Z, Wu J B, Zhou L J, Cheng Y, Liu J Q, Zhu C, Yu M T, Yu P, Zhu W, Liu Y, Zhou J, Liu B W, Xie H G, Cao Y, Li H, Wang X R, Liu K H, Wang X Y, Wang J P, Wang L, Huang W 2019 Adv. Mater. 31 e1806562
Google Scholar
[4] Liu C, Pan J, Yuan Q H, Zhu C, Liu J Q, Ge F X, Zhu J J, Xie H T, Zhou D W, Zhang Z C, Zhao P Y, Tian B B, Huang W, Wang L 2024 Adv. Mater. 36 e2305580
Google Scholar
[5] Yuan L, Zheng B Y, Kunstmann J, Brumme T, Kuc A B, Ma C, Deng S B, Blach D, Pan A L, Huang L B 2020 Nat. Mater. 19 617
Google Scholar
[6] Wu R X, Zhang H M, Ma H F, Zhao B, Li W, Chen Y, Liu J T, Liang J Y, Qin Q Y, Qi W X, Chen L, Li J, Li B, Duan X D 2024 Chem. Rev. 124 10112
Google Scholar
[7] Sun Y, Yin Y, Pols M, Zhong J X, Huang Z, Liu B W, Liu J Q, Wang W, Xie H G, Zhan G X, Zhou Z X, Zhang W, Wang P C, Zha C Y, Jiang X H, Ruan Y J, Zhu C, Brocks G, Wang X Y, Wang L, Wang J P, Tao S X, Huang W 2020 Adv. Mater. 32 e2002392
Google Scholar
[8] Castellanos-Gomez A, Buscema M, Molenaar R, Singh V, Janssen L, van der Zant H S J, Steele G A 2014 2D Mater. 1 011002
[9] Dean C R, Young A F, Meric I, Lee C, Wang L, Sorgenfrei S, Watanabe K, Taniguchi T, Kim P, Shepard K L, Hone J 2010 Nat. Nanotechnol. 5 722
Google Scholar
[10] Chen H L, Wen X W, Zhang J, Wu T M, Gong Y J, Zhang X, Yuan J T, Yi C Y, Lou J, Ajayan P M, Zhuang W, Zhang G Y, Zheng J R 2016 Nat. Commun. 7 12512
Google Scholar
[11] Heo H, Sung J H, Cha S, Jang B G, Kim J Y, Jin G, Lee D, Ahn J H, Lee M J, Shim J H, Choi H, Jo M H 2015 Nat. Commun. 6 7372
Google Scholar
[12] Merkl P, Mooshammer F, Steinleitner P, Girnghuber A, Lin K Q, Nagler P, Holler J, Schuller C, Lupton J M, Korn T, Ovesen S, Brem S, Malic E, Huber R 2019 Nat. Mater. 18 691
Google Scholar
[13] Ponomarev E, Ubrig N, Gutierrez-Lezama I, Berger H, Morpurgo A F, 2018 Nano Lett. 18 5146
Google Scholar
[14] Wilson N R, Nguyen P V, Seyler K, Rivera P, Marsden A J, Laker Z P, Constantinescu G C, Kandyba V, Barinov A, Hine N D, Xu X, Cobden D H 2017 Sci. Adv. 3 e1601832
Google Scholar
[15] Baranowski M, Surrente A, Klopotowski L, Urban J M, Zhang N, Maude D K, Wiwatowski K, Mackowski S, Kung Y C, Dumcenco D, Kis A, Plochocka P 2017 Nano Lett. 17 6360
Google Scholar
[16] Jiang C Y, Xu W G, Rasmita A, Huang Z M, Li K, Xiong Q H, Gao W B 2018 Nat. Commun. 9 753
Google Scholar
[17] Miller B, Steinhoff A, Pano B, Klein J, Jahnke F, Holleitner A, Wurstbauer U 2017 Nano Lett. 17 5229
Google Scholar
[18] Nagler P, Ballottin M V, Mitioglu A A, Mooshammer F, Paradiso N, Strunk C, Huber R, Chernikov A, Christianen P C M, Schuller C, Korn T 2017 Nat. Commun. 8 1551
Google Scholar
[19] Rivera P, Schaibley J R, Jones A M, Ross J S, Wu S, Aivazian G, Klement P, Seyler K, Clark G, Ghimire N J, Yan J, Mandrus D G, Yao W, Xu X 2015 Nat. Commun. 6 6242
Google Scholar
[20] Hong X P, Kim J, Shi S F, Zhang Y, Jin C H, Sun Y H, Tongay S, Wu J Q, Zhang Y F, Wang F 2014 Nat. Nanotechnol. 9 682X
Google Scholar
[21] Liu Y D, Elbanna A, Gao W B, Pan J S, Shen Z X, Teng J H 2022 Adv. Mater. 34 e2107138
Google Scholar
[22] Rivera P, Seyler K L, Yu H, Schaibley J R, Yan J, Mandrus D G, Yao W, Xu X 2016 Science 351 688
Google Scholar
[23] Sigl L, Sigger F, Kronowetter F, Kiemle J, Klein J, Watanabe K, Taniguchi T, Finley J J, Wurstbauer U, Holleitner A W 2020 Phys. Rev. Res. 2 042044
Google Scholar
[24] Sigl L, Troue M, Katzer M, Selig M, Sigger F, Kiemle J, Brotons-Gisbert M, Watanabe K, Taniguchi T, Gerardot B D, Knorr A, Wurstbauer U, Holleitner A W 2022 Phys. Rev. B 105 035417
Google Scholar
[25] Wu K, Zhong H X, Guo Q B, Tang J B, Zhang J, Qian L H, Shi Z F, Zhang C D, Yuan S J, Zhang S P, Xu H X 2022 Natl. Sci. Rev. 9 nwab135
Google Scholar
[26] Chen D X, Lian Z, Huang X, Su Y, Rashetnia M, Ma L, Yan L, Blei M, Xiang L, Taniguchi T, Watanabe K, Tongay S, Smirnov D, Wang Z H, Zhang C W, Cui Y T, Shi S F 2022 Nat. Phys. 18 1171
Google Scholar
[27] Wang T M, Miao S N, Li Z P, Meng Y Z, Lu Z G, Lian Z, Blei M, Taniguchi T, Watanabe K, Tongay S, Smirnov D, Shi S F 2020 Nano Lett. 20 694
Google Scholar
[28] Li S W, Wei K, Liu Q R, Tang Y X, Jiang T 2024 Front. Phys. 19 42501
Google Scholar
[29] Liu Y D, Fang H L, Rasmita A, Zhou Y, Li J T, Yu T, Xiong Q H, Zheludev N, Liu J, Gao W B 2019 Sci. Adv. 5 eaav4506
Google Scholar
[30] Kim T J, Lee S-h, Kwon D, Joo J 2024 J. Mater. Chem. C 12 404
Google Scholar
[31] Unuchek D, Ciarrocchi A, Avsar A, Watanabe K, Taniguchi T, Kis A 2018 Nature 560 340
Google Scholar
[32] Alexeev E M, Purser C M, Gilardoni C M, Kerfoot J, Chen H, Cadore A R, Rosa B L T, Feuer M S G, Javary E, Hays P, Watanabe K, Taniguchi T, Tongay S A, Kara D M, Atature M, Ferrari A C 2024 Nano Lett. 24 11232
Google Scholar
[33] Sakamoto M, Kawawaki T, Kimura M, Yoshinaga T, Vequizo J J M, Matsunaga H, Ranasinghe C S K, Yamakata A, Matsuzaki H, Furube A, Teranishi T 2019 Nat. Commun. 10 406
Google Scholar
[34] Seyler K L, Rivera P, Yu H, Wilson N P, Ray E L, Mandrus D G, Yan J, Yao W, Xu X 2019 Nature 567 66
Google Scholar
[35] Qian C, Troue M, Figueiredo J, Soubelet P, Villafane V, Beierlein J, Klembt S, Stier A V, Hofling S, Holleitner A W, Finley J J 2024 Sci. Adv. 10 eadk6359
Google Scholar
[36] Lin Q, Fang H, Kalaboukhov A, Liu Y, Zhang Y, Fischer M, Li J, Hagel J, Brem S, Malic E, Stenger N, Sun Z, Wubs M, Xiao S 2024 Nat. Commun. 15 8762
Google Scholar
[37] Barré E, Karni O, Liu E, O'Beirne A L, Chen X, Ribeiro H B, Yu L, Kim B, Watanabe K, Taniguchi T, Barmak K, Lui C H, Refaely-Abramson S, da Jornada F H, Heinz T F 2022 Science 376 406
Google Scholar
[38] Zhang C, Wu K, Gan L, Liu X Y, Zhang C, Wu S L, Yuan X M, Zhang L L, Xi J Y, Yang J, Li X F 2024 ACS Nano 18 33520
Google Scholar
[39] Rivera P, Yu H, Seyler K L, Wilson N P, Yao W, Xu X 2018 Nat. Nanotechnol. 13 1004
Google Scholar
[40] Yu H Y, Cui X D, Xu X D, Yao W 2015 Nat. Sci. Rev. 2 57
Google Scholar
[41] Liu F, Li Q Y, Zhu X Y 2020 Phy. Rev. B 101 201405
Google Scholar
[42] Wang Y, Wang Z, Yao W, Liu G B, Yu H Y 2017 Phy. Rev. B 95 115429
Google Scholar
[43] Zhu H M, Wang J, Gong Z Z, Kim Y D, Hone J, Zhu X Y 2017 Nano Lett. 17 3591
Google Scholar
[44] 刘子媛, 潘金波, 张余洋, 杜世宣 2021 物理学报 70 027301
Liu Z Y, Pan J B, Zhang Y Y, Du S X 2021 Acta Phys. Sin. 70 027301
[45] Ju Q K, Cai Q, Jian C Y, Hong W T, Sun F P, Wang B C, Liu W 2024 Adv. Mater. 36 2404371
Google Scholar
[46] Mouri S, Zhang W, Kozawa D, Miyauchi Y, Eda G, Matsuda K 2017 Nanoscale 9 6674
Google Scholar
[47] Li L H, Zheng W H, Ma C, Zhao H P, Jiang F, Ouyang Y, Zheng B Y, Fu X W, Fan P, Zheng M, Li Y, Xiao Y, Cao W P, Jiang Y, Zhu X L, Zhuang X J, Pan A L 2020 Nano Lett. 20 3361
Google Scholar
[48] Wang K, Huang B, Tian M K, Ceballos F, Lin M W, Mahjouri-Samani M, Boulesbaa A, Puretzky A A, Rouleau C M, Yoon M, Zhao H, Xiao K, Duscher G, Geohegan D B 2016 ACS Nano 10 6612
Google Scholar
[49] Luong D H, Lee H S, Neupane G P, Roy S, Ghimire G, Lee J H, Vu Q A, Lee Y H 2017 Adv. Mater. 29 1701512
Google Scholar
[50] Nagler P, Plechinger G, Ballottin M V, Mitioglu A, Meier S, Paradiso N, Strunk C, Chernikov A, Christianen P C M, Schüller C, Korn T 2017 2D Mater. 4 025112
[51] Policht V R, Mittenzwey H, Dogadov O, Katzer M, Villa A, Li Q, Kaiser B, Ross A M, Scotognella F, Zhu X, Knorr A, Selig M, Cerullo G, Dal Conte S 2023 Nat. Commun. 14 7273
Google Scholar
[52] Hanbicki A T, Chuang H J, Rosenberger M R, Hellberg C S, Sivaram S V, McCreary K M, Mazin, II, Jonker B T 2018 ACS Nano 12 4719
Google Scholar
[53] Wang G, Robert C, Glazov M M, Cadiz F, Courtade E, Amand T, Lagarde D, Taniguchi T, Watanabe K, Urbaszek B, Marie X 2017 Phys. Rev. Lett. 119 047401
Google Scholar
[54] Jin C H, Regan E C, Yan A, Iqbal Bakti Utama M, Wang D, Zhao S, Qin Y, Yang S, Zheng Z, Shi S, Watanabe K, Taniguchi T, Tongay S, Zettl A, Wang F 2019 Nature 567 76
Google Scholar
[55] Tagarelli F, Lopriore E, Erkensten D, Perea-Causin R, Brem S, Hagel J, Sun Z, Pasquale G, Watanabe K, Taniguchi T, Malic E, Kis A 2023 Nat. Photonics 17 615
Google Scholar
[56] Jauregui L A, Joe A Y, Pistunova K, Wild D S, High A A, Zhou Y, Scuri G, De Greve K, Sushko A, Yu C H, Taniguchi T, Watanabe K, Needleman D J, Lukin M D, Park H, Kim P 2019 Science 366 870
Google Scholar
[57] Erkensten D, Brem S, Perea-Causin R, Hagel J, Tagarelli F, Lopriore E, Kis A, Malic E 2023 Nanoscale 15 11064
Google Scholar
[58] Ciarrocchi A, Unuchek D, Avsar A, Watanabe K, Taniguchi T, Kis A 2019 Nat. Photonics 13 131
Google Scholar
[59] 石蓓蓓, 陶广益, 戴宇琛, 何霄, 林峰, 张酣, 方哲宇 2022 物理学报 71 177301
Google Scholar
Shi B B, Tao G Y, Dai Y C, He X, Lin F, Zhang H, Fang Z Y 2022 Acta Phys. Sin. 71 177301
Google Scholar
[60] Joe A Y, Mier Valdivia A M, Jauregui L A, Pistunova K, Ding D, Zhou Y, Scuri G, De Greve K, Sushko A, Kim B, Taniguchi T, Watanabe K, Hone J C, Lukin M D, Park H, Kim P 2024 Nat. Commun. 15 6743
Google Scholar
[61] Sun Z, Ciarrocchi A, Tagarelli F, Marin J F G, Watanabe K, Taniguchi T, Kis A 2022 Nat. Photonics 16 79
Google Scholar
[62] Shanks D N, Mahdikhanysarvejahany F, Stanfill T G, Koehler M R, Mandrus D G, Taniguchi T, Watanabe K, LeRoy B J. Schaibley J R 2022 Nano Lett. 22 6599
Google Scholar
[63] Wu H J, Chen H T, Han J S, Xiao Y, Yuan X M, Kang D D, Zhu M J, Zhu Z H, Qin S Q, Dai J Y 2025 Adv. Opt. Mater. 13 2403535
Google Scholar
[64] Tang Y H, Gu J, Liu S, Watanabe K, Taniguchi T, Hone J, Mak K F, Shan J 2021 Nat. Nanotechnol. 16 52
Google Scholar
[65] Xia J, Yan J X, Wang Z H, He Y M, Gong Y J, Chen W Q, Sum T C, Liu Z, Ajayan P M, Shen Z X 2020 Nat. Phys. 17 92
[66] Tongay S, Fan W, Kang J, Park J, Koldemir U, Suh J, Narang D S, Liu K, Ji J, Li J, Sinclair R, Wu J 2014 Nano Lett. 14 3185
Google Scholar
[67] Moon H, Grosso G, Chakraborty C, Peng C, Taniguchi T, Watanabe K, Englund D 2020 Nano Lett. 20 6791
Google Scholar
[68] He Y M, Yang Y, Zhang Z H, Gong Y J, Zhou W, Hu Z L, Ye G L, Zhang X, Bianco E, Lei S D, Jin Z H, Zou X L, Yang Y C, Zhang Y, Xie E Q, Lou J, Yakobson B, Vajtai R, Li B, Ajayan P 2016 Nano Lett. 16 3314
Google Scholar
[69] Cho C, Wong J, Taqieddin A, Biswas S, Aluru N R, Nam S, Atwater H A 2021 Nano Lett. 21 3956
Google Scholar
[70] Li L L, Gillen R, Palummo M, Milošević M V, Peeters F M 2023 Appl. Phys. Lett. 123 033102
Google Scholar
[71] Zhang D L, Ge C H, Wang Y W, Xia Y, Zhao H P, Yao C D, Chen Y, Ma C, Tong Q J, Pan A L, Wang X 2024 ACS Nano 18 17672
Google Scholar
[72] Hsieh Y C, Lin Z Y, Fung S J, Lu W S, Ho S C, Hong S P, Ho S Z, Huang C H, Watanabe K, Taniguchi T, Chan Y H, Chen Y C, Wu C L, Chen T M 2023 Nano Lett. 23 7244
Google Scholar
[73] Yang D, Cao Q, Akyuz E, Hayden J, Nordlander J, Mercer I, Yu M, Ramachandran R, Irvin P, Maria J P, Hunt B M, Levy J 2024 Nano Lett. 24 16231
Google Scholar
[74] Alexeev E M, Mullin N, Ares P, Nevison-Andrews H, Skrypka O, Godde T, Kozikov A, Hague L, Wang Y, Novoselov K S, Fumagalli L, Hobbs J K, Tartakovskii A I 2020 ACS Nano 14 11110
Google Scholar
[75] Aivazian G, Gong Z, Jones A M, Chu R-L, Yan J, Mandrus D G, Zhang C, Cobden D, Yao W, Xu X 2015 Nat. Phys. 11 148
Google Scholar
[76] Gunawan O, Shkolnikov Y P, Vakili K, Gokmen T, De Poortere E P, Shayegan M 2006 Phys. Rev. Lett. 97 186404
Google Scholar
[77] Faria Junior P E, Fabian J 2023 Nanomaterials 13 1187
Google Scholar
[78] Rycerz A, Tworzydło J, Beenakker C W J 2007 Nat. Phys. 3 172
Google Scholar
[79] Ma H, Zhu Y J, Liu Y L, Bai R X, Zhang X L, Ren Y B, Jiang C Y 2023 Chin. Phys. B 32 107201
Google Scholar
[80] Smirnov D S, Holler J, Kempf M, Zipfel J, Nagler P, Ballottin M V, Mitioglu A A, Chernikov A, Christianen P C M, Schüller C, Korn T 2022 2D Mater. 9 045016
[81] Zhang W L, Zhu H R, Zhang W Q, Wang J, Zhang T T, Yang S R, Shao B, Zuo X 2024 Appl. Surf. Sci. 647 158986
Google Scholar
[82] Zheng H H, Wu B, Wang C T, Li S F, He J, Liu Z W, Wang J T, Yu G Q, Duan J A, Liu Y P 2023 Nano Res. 16 10580
Google Scholar
[83] Lou J Y, Lv Z, Wang H C, Tang Y T, Luo S, Liu Y, Zhang X Y, Lv G X, Zhang Y N, Zhou H, Zhang L, Chen Z H 2024 Phy. Rev. B 110 045412
Google Scholar
[84] Tran K, Moody G, Wu F, Lu X, Choi J, Kim K, Rai A, Sanchez D A, Quan J, Singh A, Embley J, Zepeda A, Campbell M, Autry T, Taniguchi T, Watanabe K, Lu N, Banerjee S K, Silverman K L, Kim S, Tutuc E, Yang L, MacDonald A H, Li X 2019 Nature 567 71
Google Scholar
[85] Alexeev E M, Ruiz-Tijerina D A, Danovich M, Hamer M J, Terry D J, Nayak P K, Ahn S, Pak S, Lee J, Sohn J I, Molas M R, Koperski M, Watanabe K, Taniguchi T, Novoselov K S, Gorbachev R V, Shin H S, Fal'ko V I, Tartakovskii A I 2019 Nature 567 81
Google Scholar
[86] Choi J, Hsu W T, Lu L S, Sun L, Cheng H Y, Lee M H, Quan J, Tran K, Wang C Y, Staab M, Jones K, Taniguchi T, Watanabe K, Chu M W, Gwo S, Kim S, Shih C K, Li X, Chang W H 2020 Sci. Adv. 6 eaba8866
Google Scholar
[87] Chen J J, Yue X F, Shan Y B, Wang H S, Han J K, Wang H M, Sheng C X, Hu L G, Liu R, Yang W H, Qiu Z J, Cong C X 2023 RSC Adv. 13 18099
Google Scholar
[88] Dai D J, Fu B W, Yang J N, Yang L L, Yan S, Chen X Q, Li H C, Zuo Z C, Wang C, Jin K, Gong Q, Xu X L 2024 Sci. Adv. 10 eado1281
Google Scholar
[89] Fang H L, Lin Q L, Zhang Y, Thompson J, Xiao S S, Sun Z P, Malic E, Dash S P, Wieczorek W 2023 Nat. Commun. 14 6910
Google Scholar
[90] Choi J, Florian M, Steinhoff A, Erben D, Tran K, Kim D S, Sun L, Quan J, Claassen R, Majumder S, Hollingsworth J A, Taniguchi T, Watanabe K, Ueno K, Singh A, Moody G, Jahnke F, Li X 2021 Phys. Rev. Lett. 126 047401
Google Scholar
[91] Zhang L, Zhang Z, Wu F C, Wang D Q, Gogna R, Hou S C, Watanabe K, Taniguchi T, Kulkarni K, Kuo T, Forrest S R, Deng H 2020 Nat. Commun. 11 5888
Google Scholar
[92] Forg M, Colombier L, Patel R K, Lindlau J, Mohite A D, Yamaguchi H, Glazov M M, Hunger D, Hogele A 2019 Nat. Commun. 10 3697
Google Scholar
[93] Lopriore E, Tagarelli F, Fitzgerald J M, Gonzalez Marin J F, Watanabe K, Taniguchi T, Malic E, Kis A 2025 Nat. Nanotechnol.
[94] Zhu J S, Shen F H, Chen Z F, Liu F H, Jin S Y, Lei D Y, Xu J B 2024 ACS Nano 18 13599
Google Scholar
[95] Zhu Y, Zou K L, Qi D X, He J, Peng R W, Wang M 2025 Nano Lett. 25 8680
Google Scholar
[96] Zhao J X, Fieramosca A, Dini K, Bao R, Du W, Su R, Luo Y, Zhao W J, Sanvitto D, Liew T C H, Xiong Q H 2023 Nat. Commun. 14 1512
Google Scholar
[97] Song K W, Kyriienko O 2025 Phys. Rev. Lett. 135 036901
Google Scholar
[98] Zhang L, Wu F C, Hou S C, Zhang Z, Chou Y H, Watanabe K, Taniguchi T, Forrest S R, Deng H 2021 Nature 591 61
Google Scholar
[99] Liu E F, Barre E, van Baren J, Wilson M, Taniguchi T, Watanabe K, Cui Y T, Gabor N M, Heinz T F, Chang Y C, Lui C H 2021 Nature 594 46
Google Scholar
[100] Li W J, Lu X, Wu J T, Srivastava A 2021 Nat. Nanotechnol. 16 148
Google Scholar
[101] Sun Z, Ge P, Chen S, Huang S, Xu H, Wang C, Han R, Zhang X, Liu H, Luo J, Qian L, Sun J, Liu D, Liu H 2025 Adv. Mater. e2502986
[102] Palekar C C, Faria Junior P E, Rosa B, Sousa F B, Malard L M, Fabian J, Reitzenstein S 2024 npj 2D Mater. Appl. 8 49
[103] Zhu T, Zheng C H, Xu L, Yang M 2024 Phy. Rev. B 110 155416
Google Scholar
[104] Sun X Q, Zhu Y, Qin H, Liu B Q, Tang Y L, Lü T Y, Rahman S, Yildirim T, Lu Y 2022 Nature 610 478
Google Scholar
[105] Joe A Y, Jauregui L A, Pistunova K, Mier Valdivia A M, Lu Z, Wild D S, Scuri G, De Greve K, Gelly R J, Zhou Y, Sung J, Sushko A, Taniguchi T, Watanabe K, Smirnov D, Lukin M D, Park H, Kim P 2021 Phys. Rev. B 103 L161411
Google Scholar
[106] Meng Y Z, Wang T M, Jin C H, Li Z P, Miao S N, Lian Z, Taniguchi T, Watanabe K, Song F Q, Shi S F 2020 Nat. Commun. 11 2640
Google Scholar
[107] Lu J Z, Zhu Z Y, Angeli M, Larson D T, Kaxiras E 2022 Phy. Rev. B 106 144305
Google Scholar
[108] Naik M H, Regan E C, Zhang Z C, Chan Y H, Li Z L, Wang D Q, Yoon Y, Ong C S, Zhao W Y, Zhao S H, Utama M I B, Gao B N, Wei X, Sayyad M, Yumigeta K, Watanabe K, Taniguchi T, Tongay, da Jornada F H, Wang F, Louie S G 2022 Nature 609 52
Google Scholar
[109] Wu F, Lovorn T, Tutuc E, Martin I, MacDonald A H 2019 Phys. Rev. Lett. 122 086402
Google Scholar
[110] Xin M, Lan W Z, Bai Q H, Huang X, Watanabe K, Taniguchi T, Wang G, Gu C Z, Liu B L 2022 Appl. Phys. Lett. 121 143101
Google Scholar
[111] Li W, Hadjri Z, Devenica L M, Zhang J, Liu S, Hone J, Watanabe K, Taniguchi T, Rubio A, Srivastava A 2023 Nat. Mater. 22 1478
Google Scholar
[112] Lian Z, Chen D X, Ma L, Meng Y Z, Su Y, Yan L, Huang X, Wu Q R, Chen X Y, Blei M, Taniguchi T, Watanabe K, Tongay S, Zhang C W, Cui Y T, Shi S F 2023 Nat. Commun. 14 4604
Google Scholar
[113] Yu L, Pistunova K, Hu J, Watanabe K, Taniguchi T, Heinz T F 2023 Nat. Mater. 22 1485
Google Scholar
[114] Huang L, Krasnok A, Alu A, Yu Y, Neshev D, Miroshnichenko A E 2022 Rep. Prog. Phys. 85 046401
Google Scholar
[115] Jin C H, Kim J, Utama M I B, Regan E C, Kleemann H, Cai H, Shen Y, Shinner M J, Sengupta A, Watanabe K, Taniguchi T, Tongay S, Zettl A, Wang F 2018 Science 360 893
Google Scholar
[116] Wang Z, Rhodes D A, Watanabe K, Taniguchi T, Hone J C, Shan J, Mak K F 2019 Nature 574 76
Google Scholar
[117] Sung J, Zhou Y, Scuri G, Zolyomi V, Andersen T I, Yoo H, Wild D S, Joe A Y, Gelly R J, Heo H, Magorrian S J, Berube D, Valdivia A M M, Taniguchi T, Watanabe K, Lukin M D, Kim P, Fal'ko V I, Park H 2020 Nat. Nanotechnol. 15 750
Google Scholar
Catalog
Metrics
- Abstract views: 1707
- PDF Downloads: 93
- Cited By: 0









DownLoad: