-
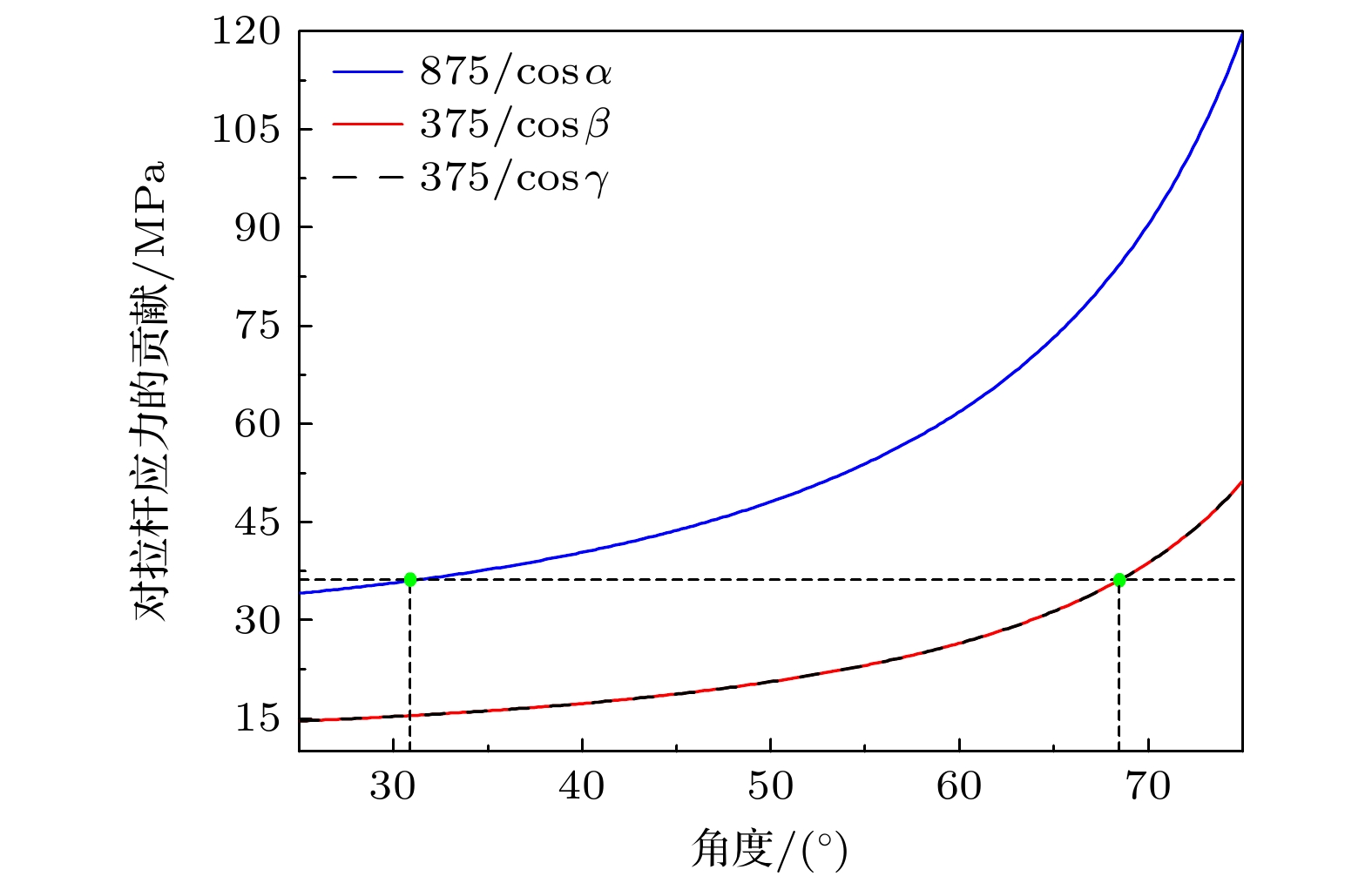
The spatial attitude and dynamic performance of the cold mass support system for superconducting magnets are critical for engineering applications. This study aims to develop a design method for the spatial attitude of tie rods through a series of theoretical derivations and simulations, enabling superconducting magnets to possess a certain degree of dynamic environmental adaptability. This paper first constructs a mathematical model of the three-dimensional cold mass support system under impact loads. Stress formulas for the tie rod under vertical 5g, axial 3g, and lateral 3g impact loads are derived. Based on this, a penalty term for stress differences is introduced to construct the objective function, and the spatial inclination angle of the tie rod is optimised. After determining the acute angle between the tie rod and the coordinate axis, the cold mass support structure exhibits four different attitudes. In order to keep the natural frequency of the magnet away from the main excitation frequency band of vehicle transportation, this study uses the finite element method to perform modal analysis and proposes a method for posture design based on the principle of maximising the first-order natural frequency. Finally, random vibration simulations are conducted for the vibration environment of highway transportation. Reference points are established at both ends of the axis of the magnet body components and the room-temperature tube axis. The displacement response power spectral density (PSD) curves and root mean square values of the reference points during vibration are analysed. The conclusions of this study are as follows. 1) When the acute angles α, β, and γ included between the tie rod and the vertical, axial, and lateral directions are 31.22°, 68.50°, and 68.50°, respectively, the mechanical performance of the three-dimensional cold mass support system reaches its optimal state. 2) When the tie rod is installed in the spatial attitude configuration, the first-order natural frequency of the cold mass system is the highest, with a value of 125.99 Hz. 3) During long-distance integrated vehicle transportation, the maximum values of the vertical and lateral displacements of the magnet assembly axis relative to the room-temperature tube axis are both less than 0.1 mm. The maximum stress locations are both at the root of the carbon fibre tie rod, far below the strength limit of carbon fibre composite materials, indicating that the superconducting magnet possesses a certain degree of dynamic environmental adaptability. These analysis results provide theoretical guidance and data support for the structural safety and stability of this type of superconducting magnet during long-distance integrated vehicle transportation.
-
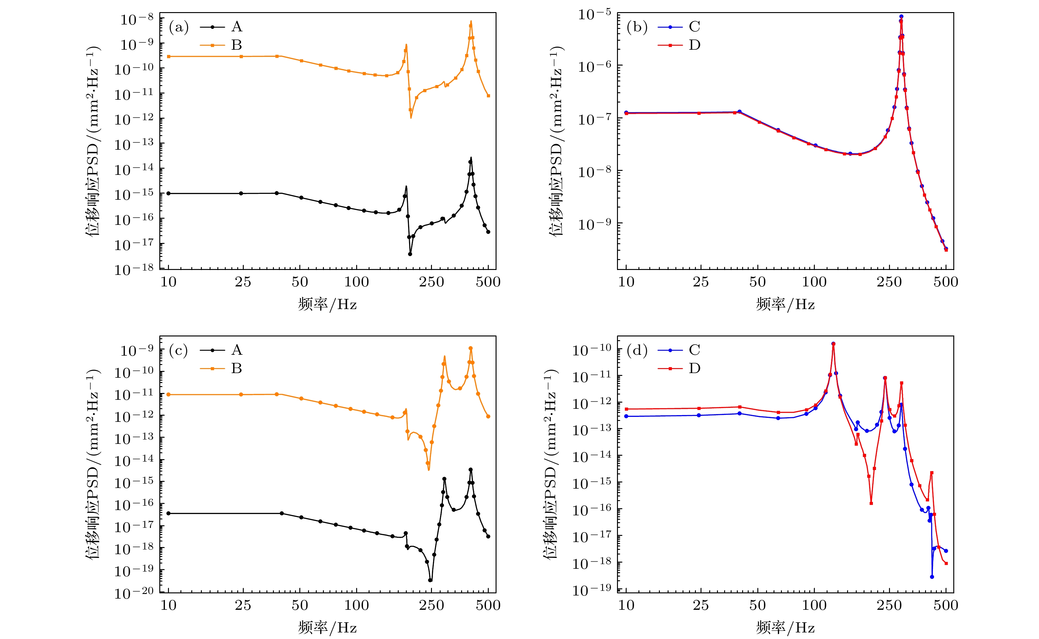
图 10 垂向激励下位移响应PSD曲线 (a) 室温管垂向位移; (b) 磁体组件垂向位移; (c) 室温管横向位移; (d) 磁体组件横向位移
Figure 10. PSD curve of displacement response under vertical excitation: (a) Vertical displacement of the room-temperature pipe; (b) vertical displacement of the magnet assembly; (c) lateral displacement of the room-temperature pipe; (d) lateral displacement of the magnet assembly.
图 12 横向激励下位移响应PSD曲线 (a) 室温管垂向位移; (b) 磁体组件垂向位移; (c) 室温管横向位移; (d) 磁体组件横向位移
Figure 12. PSD curve of displacement response under lateral excitation: (a) Vertical displacement of the room-temperature pipe; (b) vertical displacement of the magnet assembly; (c) lateral displacement of the room-temperature pipe; (d) lateral displacement of the magnet assembly.
图 14 轴向激励下位移响应PSD曲线 (a) 室温管垂向位移; (b) 磁体组件垂向位移; (c) 室温管横向位移; (d) 磁体组件横向位移
Figure 14. PSD curve of displacement response under axial excitation: (a) Vertical displacement of the room-temperature pipe; (b) vertical displacement of the magnet assembly; (c) lateral displacement of the room-temperature pipe; (d) lateral displacement of the magnet assembly.
表 1 拉杆设计参数
Table 1. Design parameters of tie rods.
参数名称 符号表示 参数值 拉杆长度/mm Lc 245 碳纤维杆的长度/mm L 115 单根碳纤维棒的直径/mm d 2 碳纤维杆横截面积/mm2 A 9π 碳纤维T700的弹性模量/GPa E 230 碳纤维T700的抗拉强度/MPa σ 4900 表 2 各材料的基本参数
Table 2. Basic parameters of the respective materials.
材料 密度/(g·cm–3) 弹性模量/GPa 泊松比 T2 紫铜 8.9 70 0.34 6061 铝合金 2.7 68.9 0.33 T700 碳纤维 1.76 230 0.3 AISI304 不锈钢 7.9 200 0.3 表 3 固有频率分布表
Table 3. Natural frequency distribution table.
阶次 模态频率/Hz 振型描述 1—3,
5—6125.15—168.67,
237.7—289.76冷质量整体摆动 4, 7—8 183.81, 293.03—405.22 磁体端部组件振动 9—10 417.93—419.06 拉杆的局部振动 表 4 垂向激励下参考点RMS值
Table 4. RMS value of the reference point under vertical excitation.
参考点 RMS/mm 垂向响应 横向响应 A 6.6403×10–7 2.6453×10–7 B 3.5306×10–4 1.4341×10–4 C 9.3631×10–3 2.6659×10–5 D 9.2138×10–3 2.7688×10–5 表 5 横向激励下参考点RMS值
Table 5. RMS value of the reference point under lateral excitation.
参考点 RMS/mm 垂向响应 横向响应 A 3.2767×10–8 2.6002×10–7 B 1.6866×10–5 1.5255×10–4 C 5.591×10–6 2.0626×10–2 D 8.5689×10–6 2.0528×10–2 表 6 轴向激励下参考点RMS值
Table 6. RMS value of the reference point under axial excitation.
参考点 RMS/mm 垂向响应 横向响应 A 2.2112×10–6 6.2423×10–8 B 1.5126×10–3 5.9453×10–5 C 7.7399×10–6 2.9058×10–4 D 1.4397×10–5 3.7084×10–4 -
[1] Bottura L, Gourlay S A, Yamamoto A, Zlobin A V 2015 IEEE Trans. Nucl. Sci. 63 751
[2] 王银顺 2011 超导电力技术基础(第一版) (北京: 科学出版社) 第6—8页
Wang Y S 2011 The Basics of Superconducting Power Technology (1st Ed. ) (Beijing: Science Press) pp6–8
[3] 蒋晓华, 薛芃, 黄伟灿, 李烨 2024 物理学报 70 018401
Jiang X H, Xue J, Huang W C, Li Y 2024 Acta Phys. Sin. 70 018401
[4] 王秋良 2007 高磁场超导磁体科学(北京: 科学出版社) 第24—37页
Wang Q L 2007 The science of high-field superconducting magnets (Beijing: Science Press) pp24–37
[5] Wang L, Wu H, Li S Y, Guo X L, Pan H, Zheng S X, Green M A 2011 IEEE Trans. Appl. Supercond. 21 2259
Google Scholar
[6] Green M A, Bangerter R O 2001 IEEE Trans. Appl. Supercond. 11 1502
Google Scholar
[7] 陈顺中, 王秋良, 孙万硕, 孙金水, 程军胜 2023 电工技术学报 38 879
Chen S Z, Wang Q L, Sun W S, Sun J S, Cheng J S 2023 Trans. Chin. Electrotech. Soc. 38 879
[8] 郝国健, 朱银锋, 范吉鹏, 何坤, 谢杰, 刘鹏, 张玉, 奚维斌 2024 低温与超导 52 6
Hao G J, Zhu Y F, Fan J P, He K, Xie J, Liu P, Zhang Y, Xi W B 2024 Cryog. Supercond. 52 6
[9] 吴军荣 2023 博士学位论文 (合肥: 中国科学技术大学)
Wu J R 2023 Ph. D. Dissertation (Hefei: University of Science and Technology of China
[10] 刘以勇 2018 博士学位论文 (上海: 中国科学院上海应用物理研究所)
Liu Y Y 2018 Ph. D. Dissertation (Shanghai: Shanghai Institute of Applied Physics, Chinese Academy of Sciences
[11] 戴忠 2017 硕士学位论文 (北京: 中国科学院高能物理研究所)
Dai Z 2017 M. S. Thesis (Beijing: The Institute of High Energy Physics of the Chinese Academy of Sciences
[12] Li L K, Wang Q L, Zhao B Z, Ni Z P, Cui C Y, Wang H S 2011 IEEE Trans. Appl. Supercond. 21 3640
Google Scholar
[13] Zhang K, Zhu Z, Zhao L, Hou Z L, Wang M F, Zhang G Q, Yao W C, Ning F P, Wang Z J, Zhang X T 2014 IEEE Trans. Appl. Supercond. 25 1
[14] Zhang K, Zhu Z, Zhang G Q, Dai Z, Mu Z H, Wang M F, Zhao L 2016 IEEE Trans. Appl. Supercond. 26 1
[15] 黄礼凯, 王秋良, 赵保志, 王晖, 李兰凯, 李毅 2011 低温与超导 39 22
Huang L K, Wang Q L, Zhao B Z, Wang H, Li L K, Li Y 2011 Cryog. Supercond. 39 22
[16] 徐策, 刘辉, 刘建华, 戴银明, 陈顺中, 程军胜, 王秋良, 霍少飞, 史彦超, 黄慧杰 2024 强激光与粒子束 36 013013
Xu C, Liu H, Liu J H, Dai Y M, Chen S Z, Cheng J S, Wang Q L, Huo S F, Shi Y C, Huang H J 2024 High Power Laser Part. Beams 36 013013
[17] Hopkins R A, Payne D A 1987 Cryogenics 27 209
Google Scholar
[18] Fan Z D, Xu C, Zou W, Wang H, Zheng Y C, Chen S Z, Cheng J S, Wang Q L 2025 Physica C 634 1354700
Google Scholar
[19] 张恺 2014 硕士学位论文 (北京: 中国科学院高能物理研究所)
Zhang K 2014 M. S. Thesis ( Beijing: The Institute of High Energy Physics of the Chinese Academy of Sciences
[20] 王校威, 朱自安, 王梦琳, 赵玲, 刘旭洋, 谢宗泰, 孙丽婷, 张国庆 2020 低温工程 2020 11
Wang X W, Zhu Z A, Wang M L, Zhao L, Liu X Y, Xie Z T, Sun L T, Zhang G Q 2020 Cryogenics 2020 11
[21] 殷赳 2012 硕士学位论文 (哈尔滨: 哈尔滨工业大学)
Yin J 2012 M. S. Thesis ( Harbin: Harbin Institute of Technology
[22] 陈艳霞 2024 ANSYS Workbench 2024 有限元分析从入门到精通(北京: 电子工业出版社) 第274页
Chen Y X 2024 ANSYS Workbench 2024 Finite Element Analysis: From Beginner to Expert (Beijing: Publishing House of Electronics Industry) p274
[23] 李有堂 2020 机械振动理论与应用 (北京: 科学出版社) 第413页
Li Y T 2020 Mechanical Vibration Theory and Applications (Beijing: Science Press) p413
Metrics
- Abstract views: 162
- PDF Downloads: 5
- Cited By: 0









DownLoad: