-
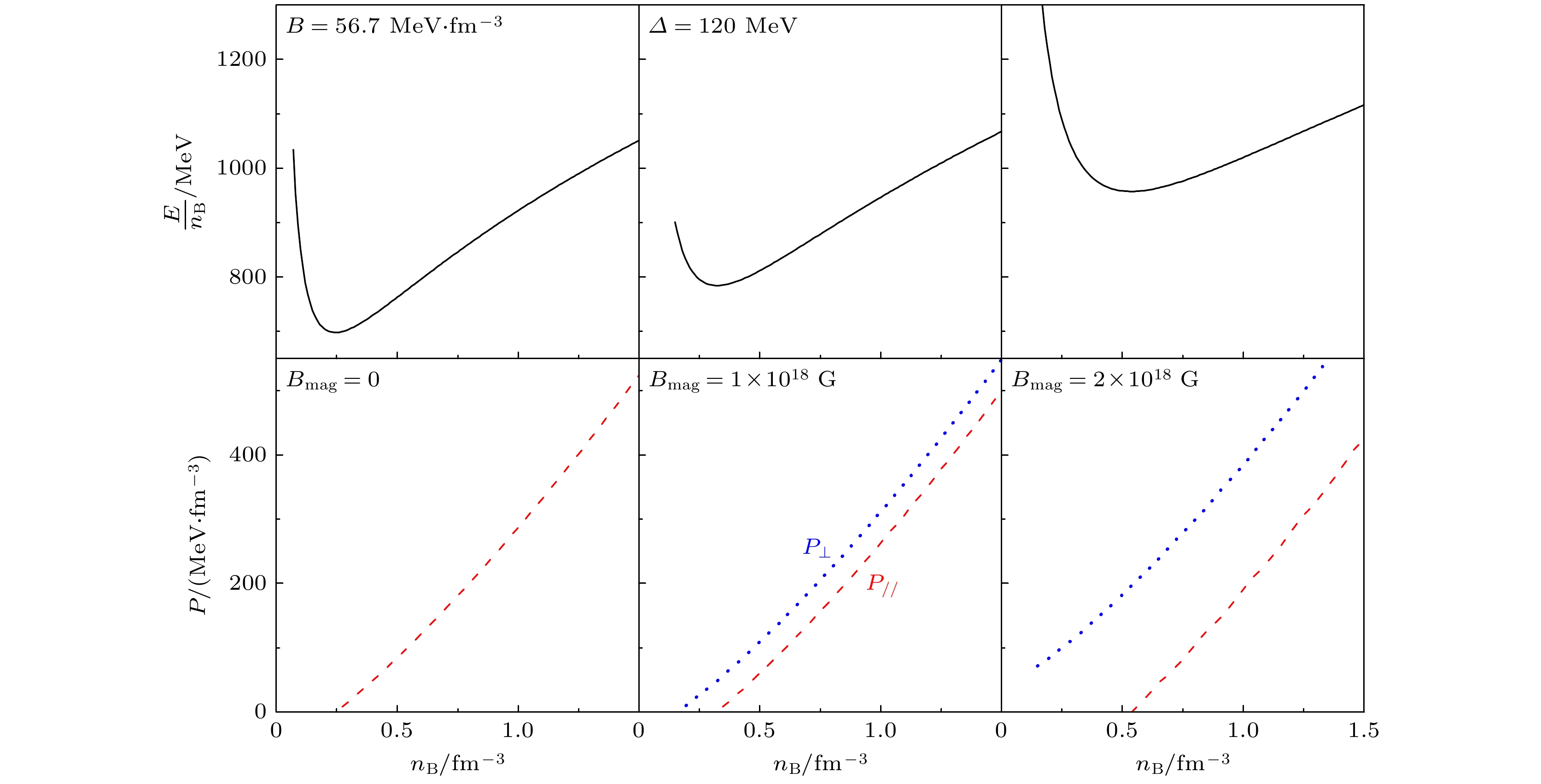
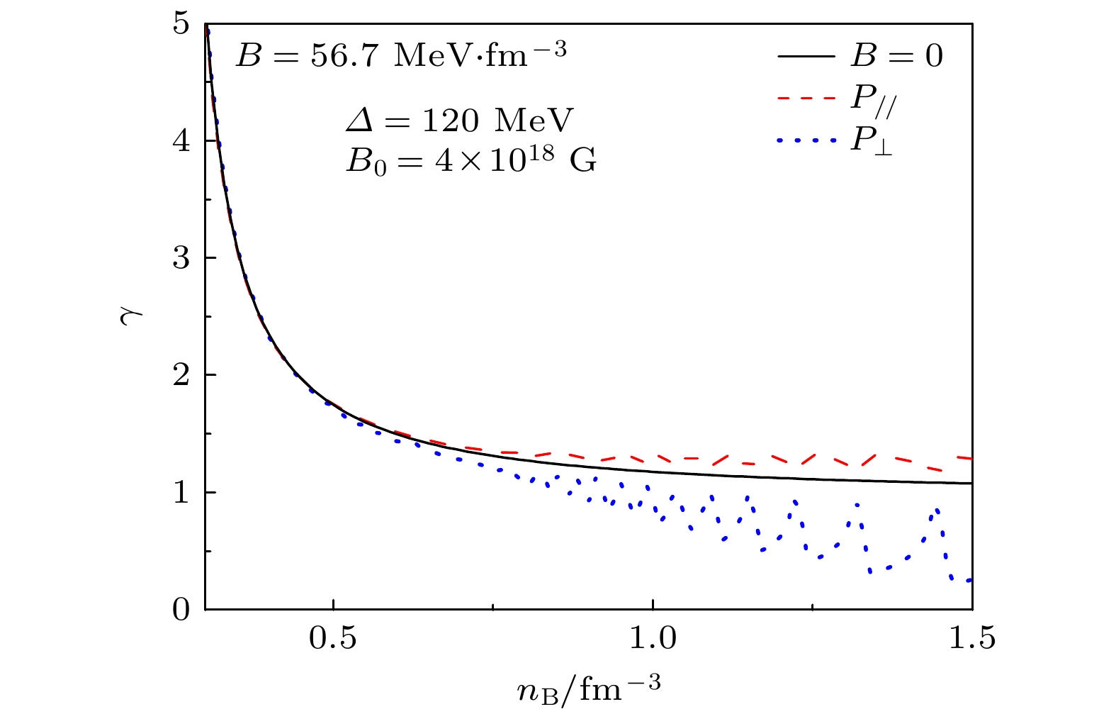
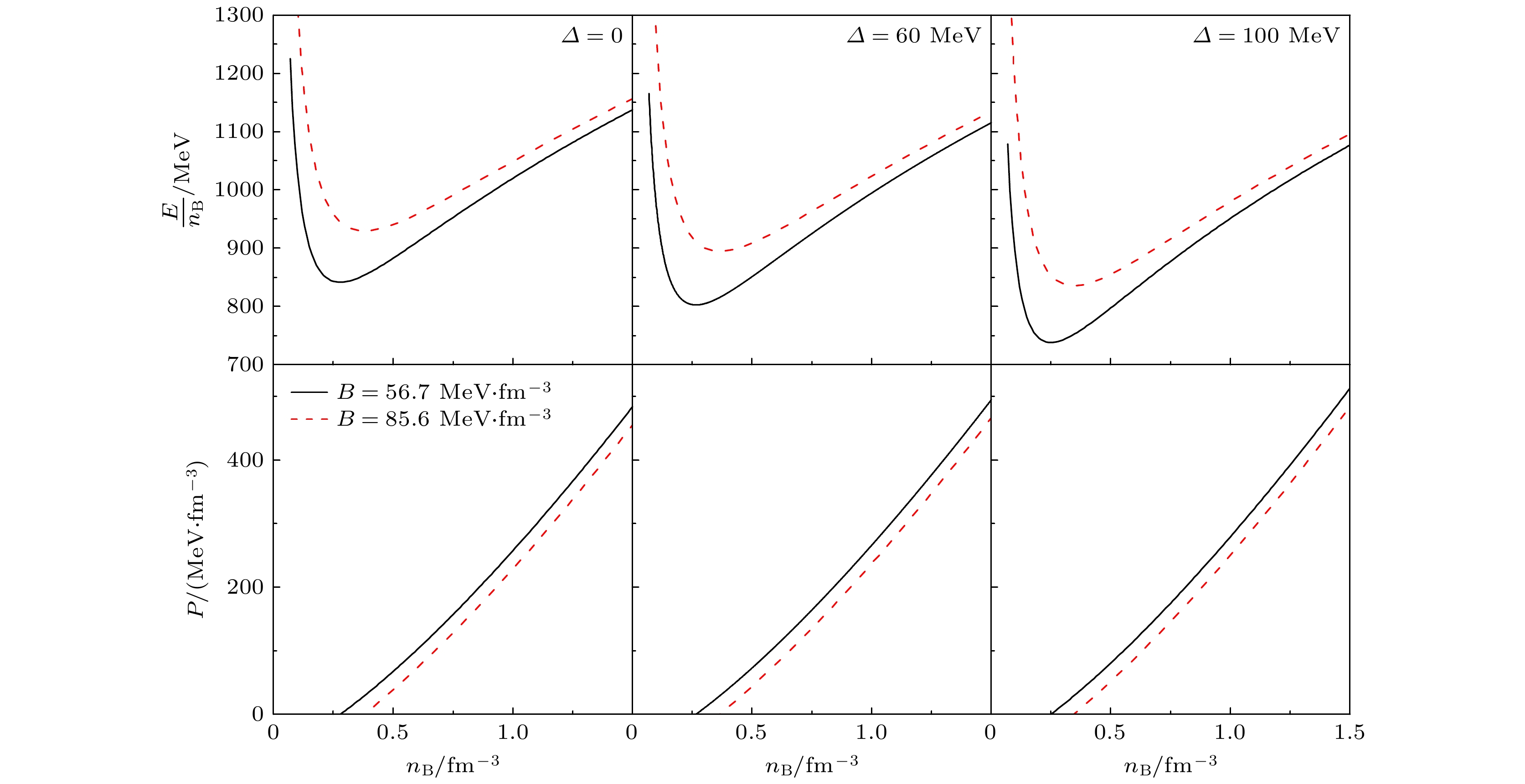
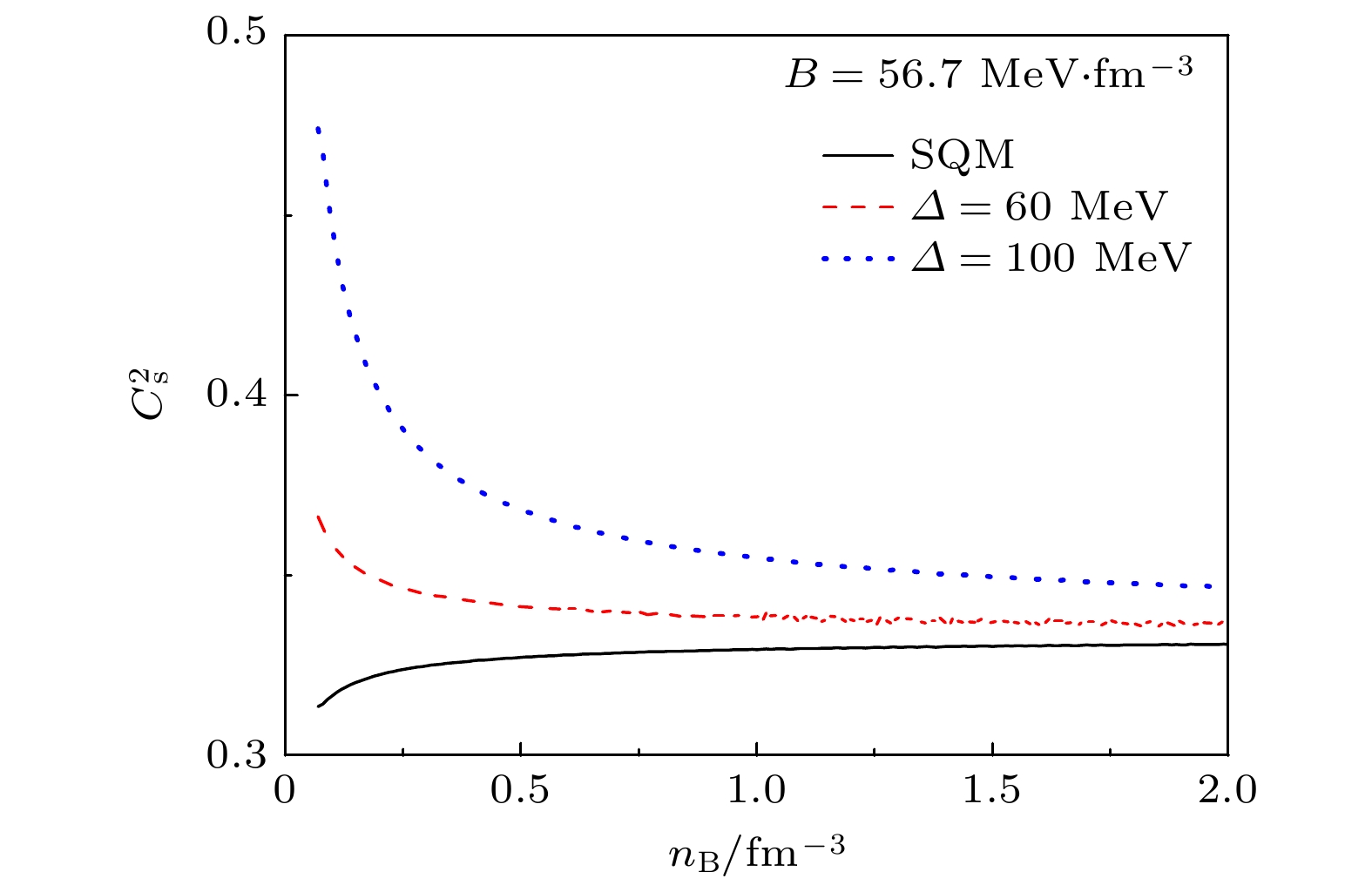
In this work, we investigate the properties of strange quark matter (SQM) and color-flavor-locked (CFL) quark matter under zero temperature or strong magnetic fields within MIT bag model. We find that the thermodynamical properties of CFL quark matter are strongly affected by pairing energy gap Δ and magnetic field. The sound velocity of CFL quark matter and the tidal deformability of CFL quark stars both increase with Δ increasing, while the central baryon density of the maximum star mass in CFL state decreases with Δ. Specifically, the equation of state (EOS) of the CFL quark matter becomes stiffer with the increase of Δ, and the pressure becomes anisotropic when considering the magnetic field in the CFL quark matter. Our results indicate that the mass-radius relations of the CFL quark matter within the MIT bag model can describe the recent observations of pulsars, and that the maximum mass of CFL quark star increases with the increase of Δ. Moreover, the research results indicate that the mass of CFL quark star depends on the magnetic field strength and its orientation distributions within the magnetars, and the polytropic index of CFL quark matter decreases with the increase of star mass.
-
Keywords:
- color-flavor-locked phase /
- quark star /
- magnetar
[1] Glendenning N K 2000 Compact Stars (2nd Ed.) (New York: Spinger-Verlag, Inc.
[2] Weber F 1999 Pulsars as Astrophyical Laboratories for Nuclear and Particle Physics (London: IOP Publishing Ltd.
[3] Lattimer J M, Prakash M 2004 Science 304 536
Google Scholar
[4] Steiner A W, Prakash M, Lattimer J M, Ellis P J 2005 Phys. Rep. 410 325
[5] Demorest P 2010 Nature 467 1081
[6] Antoniadis J 2013 Science 340 6131
[7] Shahbaz T, Casares J 2018 Astrophys. J. 859 54
[8] Thankful H, Cromartie 2020 Nat. Astron. Lett. 4 72
[9] Fonseca E, Cromartie H T, Pennucci T T, et al. 2021 Astrophys. J. Lett. 915 L12
[10] Miller M C, Lamb F K, Dittmann A J, et al. 2021 Astrophys. J. Lett. 918 L28
Google Scholar
[11] Miller M C, Lamb F K, Dittmann A J, et al. 2019 Astrophys. J. Lett. 887 L24
[12] Nattila J, Lamb F K, Dittmann A J, et al. 2017 A&A 608 A31
[13] Doroshenko V 2022 Nature Astronomy 6 1444
Google Scholar
[14] Abbott R 2020 Astrophys. J. Lett. 896 L44
Google Scholar
[15] Ivanenko D, Kurdgelaidze D F 1969 Lett. Nuovo Cimento 2 13
Google Scholar
[16] Itoh N 1970 Prog. Theor. Phys. 44 291
Google Scholar
[17] Bodmer A R 1971 Phys. Rev. D 4 1601
Google Scholar
[18] Witten E 1984 Phys. Rev. D 30 272
[19] Farhi E, Jaffe R L 1984 Phys. Rev. D 30 2379
[20] Holdom B 2018 Phys. Rev. L 120 22001
Google Scholar
[21] Zhang C, Mann R B 2021 Phys. Rev. D 103 063018
Google Scholar
[22] Yuan W L, Li A, Miao Z Q, Zuo B J, Bai Z 2022 Phys. Rev. D 105 123004
[23] Alcock C, Farh E, Olinto A 1986 Astrophy. J. 310 261
Google Scholar
[24] Weber F 2005 Prog. Part. Nucl. Phys. 54 193
Google Scholar
[25] Bombaci I, Parenti I, Vidana I 2004 Astrophy. J. 614 314
Google Scholar
[26] Staff J, Ouyed R, Bagchi M 2007 Astrophy. J. 667 340
Google Scholar
[27] Herzog T M, RÖpke F K 2011 Phys. Rev. D 84 083002
Google Scholar
[28] Stephanov M A, Rajagopal K, Shuryak E V 1998 Phys. Rev. Lett. 81 4816
Google Scholar
[29] Terazawa H 1979 INS-Report (Tokyo: Univ. of Tokyo) 336
[30] Alford M, Reddy S 2003 Phys. Rev. D 67 074024
Google Scholar
[31] Alford M, Jotwani P, Kouvaris C, Kundu J, Rajagopal K 2005 Phys. Rev. D 71 114011
Google Scholar
[32] Baldo M 2003 Phys. Lett. B 562 153
Google Scholar
[33] Ippolito N D, Ruggieri M, Rischke D H, Sedrakian A, Weber F 2008 Phys. Rev. D 77 023004
Google Scholar
[34] Lai X Y, Xu R X 2011 Res. Astron. Astrophys. 11 687
Google Scholar
[35] Avellar M G B de, Horvath J E, Paulucci L 2011 Phys. Rev. D 84 043004
Google Scholar
[36] Bonanno L, Sedrakian A 2012 A&A 539 A16
[37] Chu P C, Wang B, Jia Y Y, Dong Y M, Wang S M, Li X H, Zhang L, Zhang X M, Ma H Y 2016 Phys. Rev. D 94 123014
Google Scholar
[38] Chu P C, Li X H, Wang B, Dong Y M, Jia Y Y, Wang S M, Ma H Y 2017 Eur. Phys. J. C 77 512
Google Scholar
[39] Chu P C, Zhou Y, Chen C, Li X H, Ma H Y 2020 J. Phys. G: Nucl. Part. Phys. 47 085201
Google Scholar
[40] Bailin D, Love A 1984 Phys. Rep. 107 325
[41] Alford M G, Rajagopal K, Reddy S, Wilczek F 2001 Phys. Rev. D 64 074017
Google Scholar
[42] Shovkovy I A 2005 Found. Phys. 35 1309
[43] Rajagopal K and Wilczek F 2001 Phys. Rev. L 86 3492
[44] Alford M G, Rajagopal K, Schaefer T and Schmitt A 2008 Rev. Mod. Phys. 80 1455
[45] Lugones G and Horvath J E 2003 Astron. Astrophys. 403 173
[46] Horvath J E and Lugones G 2004 Astron. Astrophys. 422 L1
[47] Li X H, Gao Z F, Li X D, Xu Y, Wang P, Wang N, Peng Q H 2016 Int. J. Mod. Phys. D 25 1650002
[48] Deng Z L, Gao Z F, Li X D, Shao Y 2020 Astrophys. J. 892 4
Google Scholar
[49] Yan F Z, Gao Z F, Yang W S, Dong A J 2021 Astron. Nachr. 342 249
Google Scholar
[50] Wang H, Gao Z F, Jia H Y, Wang N, Li X 2020 Universe 6 63
Google Scholar
[51] Li B P, Gao Z F 2023 Astron. Nachr. 344 e20220111
[52] Li B P, Ma W Q, Gao Z F 2024 Astron. Nachr. 345 e20230167
[53] Gao Z F, Omar N, Shi X C, Wang N 2019 Astron. Nachr. 340 1030
Google Scholar
[54] Lander S K 2023 Astrophys. J. 947 L16
[55] Mihara T A 1990 Nature 346 250
Google Scholar
[56] Chanmugam G 1992 Annu. Rev. Astron. Astrophys. 30 143
Google Scholar
[57] Lai D, Shapiro S L 1991 Astrophys. J. 383 745
Google Scholar
[58] Ferrer E J, Incera V, Keith J P, Portillo I, Springsteen P L 2010 Phys. Rev. C 82 065802
[59] Bandyopadhyay D, Chakrabarty S, Pal S 1997 Phys Rev. Lett. 79 2176
Google Scholar
[60] Bandyopadhyay D, Pal S, Chakrabarty S 1998 J. Phys. G: Nucl. Part. Phys. 24 1647
Google Scholar
[61] Menezes D P, Pinto M, Benghi, Avancini S, Providência C 2009 Phys. Rev. C 79 035807
Google Scholar
[62] Menezes D P, Pinto M, Benghi, Avancini S, Providência C 2009 Phys. Rev. C 80 065805
Google Scholar
[63] Ryu C Y, Kim K S, Cheoun Myung-Ki 2010 Phys. Rev. C 82 025804
Google Scholar
[64] Ryu C Y, Cheoun Myung-Ki, Kajino T, Maruyama T, Mathews Grant J 2012 Astropart. Phys. 38 25
Google Scholar
[65] Gao Z F, Li B P, de Andrade, Garcia L C 2025 Eur. Phys. J. C 85(4) 433
[66] Fu G Z, Xing C C, Wang N 2020 Eur. Phys. J. C 80 582
Google Scholar
[67] Li B P, Gao Z F, Ma W Q, Cheng Q 2025 Front. Astron. Space Sci. 12 1625459
Google Scholar
[68] Ma W Q, Gao Z F, Li B P, Niu C H, Yao J M, Wang F Y 2025 Astrophys. J. 981 24
[69] Wang Z, Wen Z G, Yuan J P, et al. 2025 Astrophys. J. 987 43
[70] Wen Z G, Yuan J P, Wang N, et al. 2022 Astrophys. J. 928 71
Google Scholar
[71] Schertler K, Greiner C, Thoma M H, Schertler K, Greiner C, Thoma M H 1997 Nucl. Phys. A 616 659
Google Scholar
[72] Pisarski R D 1989 Nucl. Phys. A 498 423
Google Scholar
[73] Wen X J 2009 J. Phys. G: Nucl. Part. Phys. 36 025011
Google Scholar
[74] Zhang Z, Chu P C, Li X H, Liu H, Zhang X M 2021 Phys. Rev. D 103 103021
Google Scholar
[75] Chu P C, Chen L W 2014 Astrophys. J. 780 135
[76] Chu P C 2018 Phys. Lett. B 778 447
Google Scholar
[77] Chu P C, Chen L W 2017 Phys. Rev. D 96 103001
Google Scholar
[78] Chodos A, Jaffe R L, Ohnson K, Thorn C B, Weisskopf V F 1974 Phys. Rev. D 9 3471
Google Scholar
[79] Alford M, Braby M, Paris M, Reddy S 2005 Astrophy. J. 629 969
Google Scholar
[80] Rehberg P, Klevansky S P, Hüfner J 1996 Phys. Rev. C 53 410
[81] Hanauske M, Satarov L M, Mishustin I N, Stocker H, Greiner W 2001 Phys. Rev. D 64 043005
Google Scholar
[82] Rüster S B, Rischke D H 2004 Phys. Rev. D 69 045011
Google Scholar
[83] Menezes D P, Providencia C, Melrose D B 2006 J. Phys. G 32 1081
Google Scholar
[84] Chao J Y, Chu P C, Huang M 2013 Phys. Rev. D 88 054009
Google Scholar
[85] Chu P C, Wang X, Chen L W, Huang M 2015 Phys. Rev. D 91 023003
Google Scholar
[86] 初鹏程, 刘鹤, 杜先斌 2024 物理学报 73 052101
Google Scholar
Chu P C, Liu H, Du X B 2024 Acta Phys. Sin. 73 052101
Google Scholar
[87] Chu P C, Wang B, Ma H Y, Dong Y M, Chang S L, Zheng C H, Liu J T, Zhang X M 2016 Phys. Rev. D 93 094032
Google Scholar
[88] Chu P C, Chen L W, Wang X 2014 Phys. Rev. D 90 063013
Google Scholar
[89] Chu P C, Chen L W 2017 Phys. Rev. D 96 083019
Google Scholar
[90] Roberts C D, Williams A G 1994 Prog. Part. Nucl. Phys. 33 477
Google Scholar
[91] Zong H S, Chang L, Hou F Y, Sun W M, Liu Y X 2005 Phys. Rev. C 71 015205
Google Scholar
[92] Peng G X, Chiang H C, Yang J J, Li L, Liu B 1999 Phys. Rev. C 61 015201
Google Scholar
[93] Peng G X, Chiang H C, Zou B S, Ning P Z, Luo S J 2000 Phys. Rev. C 62 025801
[94] Peng G X, Li A, Lombardo U 2008 Phys. Rev. C 77 065807
Google Scholar
[95] Li A, Peng G X, Lu J F 2011 Res. Astron. Astrophys. 11 482
Google Scholar
[96] Schertler K, Greiner C, Sahu P K, Thoma M H 1998 Nucl. Phys. A 637 451
Google Scholar
[97] Alford M, Rajagopal K, Wilczek F 1999 Nucl. Phys. B 537 443
Google Scholar
[98] Shovkovy I A, Wijewardhana L C 1999 Phys. Lett. B 470 189
Google Scholar
[99] Chu P C, Gao Q, Liu H, et al. 2023 Eur. Phys. J. C 83 858
Google Scholar
[100] Chu P C, Liu H, Liu H M, Li X H, Ju M, Wu X H, Zhou Y 2024 Phys. Rev. D 110 123031
Google Scholar
[101] Chu P C, Liu H, Ju M, Wu X H, Liu H M, Zhou Y, Liu H, Lu S Y, Li X H 2024 Phys. Rev. D 110 043032
Google Scholar
[102] Chu P C, Liu H, Li X H, Ju M, Wu X H, Zhang X M 2024 J. Phys. G: Nucl. Part. Phys. 51 065202
Google Scholar
[103] Ferrer E J, Vivian de la Incera 2005 Phys. Rev. Lett. 95 152002
Google Scholar
[104] Ferrer E J, Vivian de la Incera, Cristina Manuel 2006 Nucl. Phys. B 747 88
Google Scholar
[105] Sun G W, He D L, Ma W L, Zhu D J 2025 Astron. Nachr. doi. 10.1002/asna.70030.
[106] Wang Z, Wen Z G, Yuan J P, et al. 2024 Astrophys. J. 968 169
[107] Isayev A A, Yang J 2011 Phys. Rev. C 84 065802
[108] Isayev A A, Yang J 2012 Phys. lett. B 707 163
Google Scholar
[109] Wang Z, Wen Z G, Yuan J P, et al. 2024 Astrophys. J. 968 109
[110] 董爱军, 高志福, 杨晓峰, 王娜, 刘畅, 彭秋和 2023 物理学报 72 030502
Google Scholar
Dong A J, Gao Z F, Yang X F, Wang N, Liu C, Peng Q H 2023 Acta Phys. Sin. 72 030502
Google Scholar
[111] Oppenheimer J R, Volkoff G M 1939 Phys. Rev. 33 374
[112] Abbott B P 2017 Phys. Rev. Lett. 119 161101
Google Scholar
[113] Gao Z F, Li X D, Wang N, Yuan J P, Wang P, Peng Q H, Du Y J 2016 Mon. Not. R. Astron. Soc. 456 55
Google Scholar
[114] Gao Z F, Wang N, Peng Q H, Li X D, Du Y J 2013 Mod. Phys. Lett. A 28 1350138
[115] Chu P C, Liu H, Liu H M, et al. 2025 Phys. Rev. D 111 123045
[116] Chu P C, Liu H, Liu H M, Ju M, Wu X H, Zhou Y, Li X H 2025 Eur. Phys. J. C 85 466
Google Scholar
[117] Chu P C, Jiang Y Y, Liu H, et al. 2021 Eur. Phys. J. C 81 569
[118] Chu P C, Zhou Y, Jiang Y Y, et al. 2021 Eur. Phys. J. C 81 93
[119] Wu X H, Chu P C, Ju M, Liu H, et al. 2025 Eur. Phys. J. C 85 362
Google Scholar
-
-
[1] Glendenning N K 2000 Compact Stars (2nd Ed.) (New York: Spinger-Verlag, Inc.
[2] Weber F 1999 Pulsars as Astrophyical Laboratories for Nuclear and Particle Physics (London: IOP Publishing Ltd.
[3] Lattimer J M, Prakash M 2004 Science 304 536
Google Scholar
[4] Steiner A W, Prakash M, Lattimer J M, Ellis P J 2005 Phys. Rep. 410 325
[5] Demorest P 2010 Nature 467 1081
[6] Antoniadis J 2013 Science 340 6131
[7] Shahbaz T, Casares J 2018 Astrophys. J. 859 54
[8] Thankful H, Cromartie 2020 Nat. Astron. Lett. 4 72
[9] Fonseca E, Cromartie H T, Pennucci T T, et al. 2021 Astrophys. J. Lett. 915 L12
[10] Miller M C, Lamb F K, Dittmann A J, et al. 2021 Astrophys. J. Lett. 918 L28
Google Scholar
[11] Miller M C, Lamb F K, Dittmann A J, et al. 2019 Astrophys. J. Lett. 887 L24
[12] Nattila J, Lamb F K, Dittmann A J, et al. 2017 A&A 608 A31
[13] Doroshenko V 2022 Nature Astronomy 6 1444
Google Scholar
[14] Abbott R 2020 Astrophys. J. Lett. 896 L44
Google Scholar
[15] Ivanenko D, Kurdgelaidze D F 1969 Lett. Nuovo Cimento 2 13
Google Scholar
[16] Itoh N 1970 Prog. Theor. Phys. 44 291
Google Scholar
[17] Bodmer A R 1971 Phys. Rev. D 4 1601
Google Scholar
[18] Witten E 1984 Phys. Rev. D 30 272
[19] Farhi E, Jaffe R L 1984 Phys. Rev. D 30 2379
[20] Holdom B 2018 Phys. Rev. L 120 22001
Google Scholar
[21] Zhang C, Mann R B 2021 Phys. Rev. D 103 063018
Google Scholar
[22] Yuan W L, Li A, Miao Z Q, Zuo B J, Bai Z 2022 Phys. Rev. D 105 123004
[23] Alcock C, Farh E, Olinto A 1986 Astrophy. J. 310 261
Google Scholar
[24] Weber F 2005 Prog. Part. Nucl. Phys. 54 193
Google Scholar
[25] Bombaci I, Parenti I, Vidana I 2004 Astrophy. J. 614 314
Google Scholar
[26] Staff J, Ouyed R, Bagchi M 2007 Astrophy. J. 667 340
Google Scholar
[27] Herzog T M, RÖpke F K 2011 Phys. Rev. D 84 083002
Google Scholar
[28] Stephanov M A, Rajagopal K, Shuryak E V 1998 Phys. Rev. Lett. 81 4816
Google Scholar
[29] Terazawa H 1979 INS-Report (Tokyo: Univ. of Tokyo) 336
[30] Alford M, Reddy S 2003 Phys. Rev. D 67 074024
Google Scholar
[31] Alford M, Jotwani P, Kouvaris C, Kundu J, Rajagopal K 2005 Phys. Rev. D 71 114011
Google Scholar
[32] Baldo M 2003 Phys. Lett. B 562 153
Google Scholar
[33] Ippolito N D, Ruggieri M, Rischke D H, Sedrakian A, Weber F 2008 Phys. Rev. D 77 023004
Google Scholar
[34] Lai X Y, Xu R X 2011 Res. Astron. Astrophys. 11 687
Google Scholar
[35] Avellar M G B de, Horvath J E, Paulucci L 2011 Phys. Rev. D 84 043004
Google Scholar
[36] Bonanno L, Sedrakian A 2012 A&A 539 A16
[37] Chu P C, Wang B, Jia Y Y, Dong Y M, Wang S M, Li X H, Zhang L, Zhang X M, Ma H Y 2016 Phys. Rev. D 94 123014
Google Scholar
[38] Chu P C, Li X H, Wang B, Dong Y M, Jia Y Y, Wang S M, Ma H Y 2017 Eur. Phys. J. C 77 512
Google Scholar
[39] Chu P C, Zhou Y, Chen C, Li X H, Ma H Y 2020 J. Phys. G: Nucl. Part. Phys. 47 085201
Google Scholar
[40] Bailin D, Love A 1984 Phys. Rep. 107 325
[41] Alford M G, Rajagopal K, Reddy S, Wilczek F 2001 Phys. Rev. D 64 074017
Google Scholar
[42] Shovkovy I A 2005 Found. Phys. 35 1309
[43] Rajagopal K and Wilczek F 2001 Phys. Rev. L 86 3492
[44] Alford M G, Rajagopal K, Schaefer T and Schmitt A 2008 Rev. Mod. Phys. 80 1455
[45] Lugones G and Horvath J E 2003 Astron. Astrophys. 403 173
[46] Horvath J E and Lugones G 2004 Astron. Astrophys. 422 L1
[47] Li X H, Gao Z F, Li X D, Xu Y, Wang P, Wang N, Peng Q H 2016 Int. J. Mod. Phys. D 25 1650002
[48] Deng Z L, Gao Z F, Li X D, Shao Y 2020 Astrophys. J. 892 4
Google Scholar
[49] Yan F Z, Gao Z F, Yang W S, Dong A J 2021 Astron. Nachr. 342 249
Google Scholar
[50] Wang H, Gao Z F, Jia H Y, Wang N, Li X 2020 Universe 6 63
Google Scholar
[51] Li B P, Gao Z F 2023 Astron. Nachr. 344 e20220111
[52] Li B P, Ma W Q, Gao Z F 2024 Astron. Nachr. 345 e20230167
[53] Gao Z F, Omar N, Shi X C, Wang N 2019 Astron. Nachr. 340 1030
Google Scholar
[54] Lander S K 2023 Astrophys. J. 947 L16
[55] Mihara T A 1990 Nature 346 250
Google Scholar
[56] Chanmugam G 1992 Annu. Rev. Astron. Astrophys. 30 143
Google Scholar
[57] Lai D, Shapiro S L 1991 Astrophys. J. 383 745
Google Scholar
[58] Ferrer E J, Incera V, Keith J P, Portillo I, Springsteen P L 2010 Phys. Rev. C 82 065802
[59] Bandyopadhyay D, Chakrabarty S, Pal S 1997 Phys Rev. Lett. 79 2176
Google Scholar
[60] Bandyopadhyay D, Pal S, Chakrabarty S 1998 J. Phys. G: Nucl. Part. Phys. 24 1647
Google Scholar
[61] Menezes D P, Pinto M, Benghi, Avancini S, Providência C 2009 Phys. Rev. C 79 035807
Google Scholar
[62] Menezes D P, Pinto M, Benghi, Avancini S, Providência C 2009 Phys. Rev. C 80 065805
Google Scholar
[63] Ryu C Y, Kim K S, Cheoun Myung-Ki 2010 Phys. Rev. C 82 025804
Google Scholar
[64] Ryu C Y, Cheoun Myung-Ki, Kajino T, Maruyama T, Mathews Grant J 2012 Astropart. Phys. 38 25
Google Scholar
[65] Gao Z F, Li B P, de Andrade, Garcia L C 2025 Eur. Phys. J. C 85(4) 433
[66] Fu G Z, Xing C C, Wang N 2020 Eur. Phys. J. C 80 582
Google Scholar
[67] Li B P, Gao Z F, Ma W Q, Cheng Q 2025 Front. Astron. Space Sci. 12 1625459
Google Scholar
[68] Ma W Q, Gao Z F, Li B P, Niu C H, Yao J M, Wang F Y 2025 Astrophys. J. 981 24
[69] Wang Z, Wen Z G, Yuan J P, et al. 2025 Astrophys. J. 987 43
[70] Wen Z G, Yuan J P, Wang N, et al. 2022 Astrophys. J. 928 71
Google Scholar
[71] Schertler K, Greiner C, Thoma M H, Schertler K, Greiner C, Thoma M H 1997 Nucl. Phys. A 616 659
Google Scholar
[72] Pisarski R D 1989 Nucl. Phys. A 498 423
Google Scholar
[73] Wen X J 2009 J. Phys. G: Nucl. Part. Phys. 36 025011
Google Scholar
[74] Zhang Z, Chu P C, Li X H, Liu H, Zhang X M 2021 Phys. Rev. D 103 103021
Google Scholar
[75] Chu P C, Chen L W 2014 Astrophys. J. 780 135
[76] Chu P C 2018 Phys. Lett. B 778 447
Google Scholar
[77] Chu P C, Chen L W 2017 Phys. Rev. D 96 103001
Google Scholar
[78] Chodos A, Jaffe R L, Ohnson K, Thorn C B, Weisskopf V F 1974 Phys. Rev. D 9 3471
Google Scholar
[79] Alford M, Braby M, Paris M, Reddy S 2005 Astrophy. J. 629 969
Google Scholar
[80] Rehberg P, Klevansky S P, Hüfner J 1996 Phys. Rev. C 53 410
[81] Hanauske M, Satarov L M, Mishustin I N, Stocker H, Greiner W 2001 Phys. Rev. D 64 043005
Google Scholar
[82] Rüster S B, Rischke D H 2004 Phys. Rev. D 69 045011
Google Scholar
[83] Menezes D P, Providencia C, Melrose D B 2006 J. Phys. G 32 1081
Google Scholar
[84] Chao J Y, Chu P C, Huang M 2013 Phys. Rev. D 88 054009
Google Scholar
[85] Chu P C, Wang X, Chen L W, Huang M 2015 Phys. Rev. D 91 023003
Google Scholar
[86] 初鹏程, 刘鹤, 杜先斌 2024 物理学报 73 052101
Google Scholar
Chu P C, Liu H, Du X B 2024 Acta Phys. Sin. 73 052101
Google Scholar
[87] Chu P C, Wang B, Ma H Y, Dong Y M, Chang S L, Zheng C H, Liu J T, Zhang X M 2016 Phys. Rev. D 93 094032
Google Scholar
[88] Chu P C, Chen L W, Wang X 2014 Phys. Rev. D 90 063013
Google Scholar
[89] Chu P C, Chen L W 2017 Phys. Rev. D 96 083019
Google Scholar
[90] Roberts C D, Williams A G 1994 Prog. Part. Nucl. Phys. 33 477
Google Scholar
[91] Zong H S, Chang L, Hou F Y, Sun W M, Liu Y X 2005 Phys. Rev. C 71 015205
Google Scholar
[92] Peng G X, Chiang H C, Yang J J, Li L, Liu B 1999 Phys. Rev. C 61 015201
Google Scholar
[93] Peng G X, Chiang H C, Zou B S, Ning P Z, Luo S J 2000 Phys. Rev. C 62 025801
[94] Peng G X, Li A, Lombardo U 2008 Phys. Rev. C 77 065807
Google Scholar
[95] Li A, Peng G X, Lu J F 2011 Res. Astron. Astrophys. 11 482
Google Scholar
[96] Schertler K, Greiner C, Sahu P K, Thoma M H 1998 Nucl. Phys. A 637 451
Google Scholar
[97] Alford M, Rajagopal K, Wilczek F 1999 Nucl. Phys. B 537 443
Google Scholar
[98] Shovkovy I A, Wijewardhana L C 1999 Phys. Lett. B 470 189
Google Scholar
[99] Chu P C, Gao Q, Liu H, et al. 2023 Eur. Phys. J. C 83 858
Google Scholar
[100] Chu P C, Liu H, Liu H M, Li X H, Ju M, Wu X H, Zhou Y 2024 Phys. Rev. D 110 123031
Google Scholar
[101] Chu P C, Liu H, Ju M, Wu X H, Liu H M, Zhou Y, Liu H, Lu S Y, Li X H 2024 Phys. Rev. D 110 043032
Google Scholar
[102] Chu P C, Liu H, Li X H, Ju M, Wu X H, Zhang X M 2024 J. Phys. G: Nucl. Part. Phys. 51 065202
Google Scholar
[103] Ferrer E J, Vivian de la Incera 2005 Phys. Rev. Lett. 95 152002
Google Scholar
[104] Ferrer E J, Vivian de la Incera, Cristina Manuel 2006 Nucl. Phys. B 747 88
Google Scholar
[105] Sun G W, He D L, Ma W L, Zhu D J 2025 Astron. Nachr. doi. 10.1002/asna.70030.
[106] Wang Z, Wen Z G, Yuan J P, et al. 2024 Astrophys. J. 968 169
[107] Isayev A A, Yang J 2011 Phys. Rev. C 84 065802
[108] Isayev A A, Yang J 2012 Phys. lett. B 707 163
Google Scholar
[109] Wang Z, Wen Z G, Yuan J P, et al. 2024 Astrophys. J. 968 109
[110] 董爱军, 高志福, 杨晓峰, 王娜, 刘畅, 彭秋和 2023 物理学报 72 030502
Google Scholar
Dong A J, Gao Z F, Yang X F, Wang N, Liu C, Peng Q H 2023 Acta Phys. Sin. 72 030502
Google Scholar
[111] Oppenheimer J R, Volkoff G M 1939 Phys. Rev. 33 374
[112] Abbott B P 2017 Phys. Rev. Lett. 119 161101
Google Scholar
[113] Gao Z F, Li X D, Wang N, Yuan J P, Wang P, Peng Q H, Du Y J 2016 Mon. Not. R. Astron. Soc. 456 55
Google Scholar
[114] Gao Z F, Wang N, Peng Q H, Li X D, Du Y J 2013 Mod. Phys. Lett. A 28 1350138
[115] Chu P C, Liu H, Liu H M, et al. 2025 Phys. Rev. D 111 123045
[116] Chu P C, Liu H, Liu H M, Ju M, Wu X H, Zhou Y, Li X H 2025 Eur. Phys. J. C 85 466
Google Scholar
[117] Chu P C, Jiang Y Y, Liu H, et al. 2021 Eur. Phys. J. C 81 569
[118] Chu P C, Zhou Y, Jiang Y Y, et al. 2021 Eur. Phys. J. C 81 93
[119] Wu X H, Chu P C, Ju M, Liu H, et al. 2025 Eur. Phys. J. C 85 362
Google Scholar
Catalog
Metrics
- Abstract views: 1492
- PDF Downloads: 31
- Cited By: 0









DownLoad:
