-
The discovery of superconductivity in Ruddlesden-Popper (RP) phase layered nickelates under high pressure has opened a new avenue for exploring nontraditional pairing mechanisms beyond cuprates and iron-based superconductors. In particular, La3Ni2O7 exhibits a superconducting transition temperature ($ T_{\rm c} $) as high as 80 K at ~15 GPa, making it the second class of oxides that achieve liquid-nitrogen temperature superconductivity. Subsequent experiments have extended superconductivity to related compounds such as La4Ni3O10 and La5Ni3O11, as well as epitaxially grown thin films at ambient pressure. These findings have motivated extensive theoretical efforts to elucidate the microscopic pairing mechanism. This review summarizes recent progress from the perspective of weak-coupling theories, including random phase approximation (RPA), functional renormalization group (FRG), and fluctuation-exchange (FLEX) approaches. Density functional theory (DFT) calculations reveal that the low-energy degrees of freedom are dominated by Ni $ 3{\rm d}_{z^2} $ and $ 3{\rm d}_{x^2-y^2} $ orbitals. In La3Ni2O7, pressure-induced metallization of the bonding $ 3{\rm d}_{z^2} $ band produces the γ pocket, enhancing spin fluctuations, and stabilizing superconductivity. These fluctuations support superconductivity through interlayer $ 3{\rm d}_{z^2} $ pairing characterized by an $ \rm s^{\pm} $ gap. Hole doping or substitution may restore the γ pocket and achieve bulk superconductivity at ambient pressure. For La4Ni3O10, theoretical calculations indicate predominantly $ \rm s^{\pm} $ pairing from interlayer $ 3{\rm d}_{z^2} $ orbitals, with weaker strength than La3Ni2O7, explaining its lower $ T_{\rm c} $ and showing little sensitivity to band structure. In La5Ni3O11, composed of alternating single-layer and bilayer units, superconductivity mainly arises from the bilayer subsystem, again dominated by $ 3{\rm d}_{z^2} $ orbitals. Interestingly, the interplay between inter-bilayer Josephson coupling and the suppression of density of states leads to a dome-shaped $ T_{\rm c} $-pressure phase diagram, differing from the monotonic behavior of La3Ni2O7. Epitaxial (La, Pr)3Ni2O7 thin films display superconductivity above 40 K at ambient pressure. Theory predicts doping-dependent pairing: $ \rm s^{\pm} $ symmetry is favored at low doping levels, while dxy pairing emerges at higher doping, in agreement with experimental indications of both nodeless and nodal gap behaviors. In addition to superconductivity, the experiments reveal the spin-density-wave (SDW) sequence in bulk La3Ni2O7 and La4Ni3O10 at ambient pressure. Weak-coupling calculations confirm that these SDWs are driven by Fermi surface nesting and that their suppression under pressure gives rise to strong spin fluctuations which act as the glue for Cooper pairing. This highlights the intimate connection between the density-wave parent states and high-pressure superconductivity in nickelates. In summary, weak-coupling theories provide a unified framework for RP nickelates, highlighting the key roles of $ 3{\rm d}_{z^2} $ orbitals, interlayer pairing, and spin fluctuations. They suggest that pressure, doping, substitution, and epitaxial strain can optimize superconductivity and potentially achieve high-$ T_{\rm c} $ phases at ambient pressure. Key challenges remain in clarifying orbital competition, the SDW-superconductivity interplay, and strong-correlation effects, requiring close collaboration between advanced experiments and multi-orbital many-body theory. -
Keywords:
- unconventional superconductivity /
- pairing symmetry /
- nickelate superconductors /
- weak-coupling theory
[1] Sun H, Huo M, Hu X, Li J, Liu Z, Han Y, Tang L, Mao Z, Yang P, Wang B, Cheng J, Yao D X, Zhang G M, Wang M 2023 Nature 621 493
Google Scholar
[2] Zhang Y, Su D, Huang Y, Shan Z, Sun H, Huo M, Ye K, Zhang J, Yang Z, Xu Y, Su Y, Li R, Smidman M, Wang M, Jiao L, Yuan H 2024 Nat. Phys. 20 1269
Google Scholar
[3] Wang N, Wang G, Shen X, et al. 2024 Nature 634 579
Google Scholar
[4] Zhu Y, Peng D, Zhang E, et al. 2024 Nature 631 531
Google Scholar
[5] Zhang M, Pei C, Peng D, et al. 2025 Phys. Rev. X 15 021005
Google Scholar
[6] Li Q, Zhang Y J, Xiang Z N, Zhang Y, Zhu X, Wen H H 2024 Chin. Phys. Lett. 41 017401
Google Scholar
[7] Huang X, Zhang H, Li J, Huo M, Chen J, Qiu Z, Ma P, Huang C, Sun H, Wang M 2024 Chin. Phys. Lett. 41 127403
Google Scholar
[8] Shi M, Peng D, Fan K, et al. 2025 arXiv: 2502.01018 [cond-mat.supr-con]
[9] Fukamachi T, Kobayashi Y, Miyashita T, Sato M 2001 J. Phys. Chem. Solids 62 195
Google Scholar
[10] Khasanov R, Hicken T J, Gawryluk D J, Sazgari V, Plokhikh I, Sorel L P, Bartkowiak M, Bötzel S, Lechermann F, Eremin I M, Luetkens H, Guguchia Z 2025 Nat. Phys. 21 430
Google Scholar
[11] Chen K, Liu X, Jiao J, et al. 2024 Phys. Rev. Lett. 132 256503
Google Scholar
[12] Dan Z, Zhou Y, Huo M, Wang Y, Nie L, Wang M, Wu T, Chen X 2024 arXiv: 2402.03952 [cond-mat.supr-con]
[13] Kakoi M, Oi T, Ohshita Y, Yashima M, Kuroki K, Kato T, Takahashi H, Ishiwata S, Adachi Y, Hatada N, Uda T, Mukuda H 2024 J. Phys. Soc. Jpn. 93 053702
Google Scholar
[14] Chen X, Choi J, Jiang Z, et al. 2024 Nat. Commun. 15 9597
Google Scholar
[15] Gupta N K, Gong R, Wu Y, et al. 2025 Nat. Commun. 16 6560
Google Scholar
[16] Zhang J, Phelan D, Botana A, et al. 2020 Nat. Commun. 11 6003
Google Scholar
[17] Khasanov R, Hicken T J, Plokhikh I, et al. 2025 arXiv: 2503.04400 [cond-mat.supr-con]
[18] Yang J, Sun H, Hu X, Xie Y, Miao T, Luo H, Chen H, Liang B, Zhu W, Qu G, et al. 2024 Nat. Commun. 15 4373
Google Scholar
[19] Li H, Zhou X, Nummy T, Zhang J, Pardo V, Pickett W E, Mitchell J F, Dessau D S 2017 Nat. Commun. 8 704
Google Scholar
[20] Wang B Y, Zhong Y, Abadi S, Liu Y, Yu Y, Zhang X, Wu Y M, Wang R, Li J, Tarn Y, Ko E K, Thampy V, Hashimoto M, Lu D, Lee Y S, Devereaux T P, Jia C, Hwang H Y, Shen Z X 2025 arXiv: 2504.16372 [cond-mat.supr-con]
[21] Sun W, Jiang Z, Hao B, Yan S, Zhang H, Wang M, Yang Y, Sun H, Liu Z, Ji D, Gu Z, Zhou J, Shen D, Feng D, Nie Y 2025 arXiv: 2507.07409 [cond-mat.supr-con]
[22] Graser S, Maier T, Hirschfeld P, Scalapino D 2009 New J. Phys. 11 025016
Google Scholar
[23] Wang W S, Xiang Y Y, Wang Q H, Wang F, Yang F, Lee D H 2012 Phys. Rev. B: Condens. Matter 85 035414
Google Scholar
[24] Kubo K 2007 Phys. Rev. B 75 224509
Google Scholar
[25] 路洪艳, 王强华 2025 物理学报 74 177401
Google Scholar
Lu H Y, Wang Q H 2025 Acta Phys. Sin. 74 177401
Google Scholar
[26] 李义典, 杨乐仙 2025 物理学报 74 177402
Google Scholar
Li Y D, Yang L X 2025 Acta Phys. Sin. 74 177402
Google Scholar
[27] 杜政忠, 李婕, 卢毅 2025 物理学报 74 177103
Google Scholar
Du Z Z, Li J, Lu Y 2025 Acta Phys. Sin. 74 177103
Google Scholar
[28] 郑姚远, 莫世聪, 吴为 2025 物理学报 74 177403
Google Scholar
Zheng Y Y, Mo S C, Wu W 2025 Acta Phys. Sin. 74 177403
Google Scholar
[29] Li Y, Cao Y, Liu L, et al. 2025 Sci. Bull. 70 180
Google Scholar
[30] Liu C, Huo M, Yang H, Li Q, Zhang Y, Xiang Z, Wang M, Wen H H 2025 Sci. China Phys. Mech. Astron. 68 247412
Google Scholar
[31] Liu Z, Huo M, Li J, et al. 2024 Nat. Commun. 15 7570
Google Scholar
[32] Li J, Peng D, Ma P, et al. 2025 National Science Review nwaf220
Google Scholar
[33] Wang G, Wang N, Wang Y, et al. 2023 arXiv: 2311.08212 [cond-mat.supr-con]
[34] Li F, Xing Z, Peng D, et al. 2025 arXiv: 2501.14584 [cond-mat.supr-con]
[35] Zhao D, Zhou Y, Huo M, Wang Y, Nie L, Yang Y, Ying J, Wang M, Wu T, Chen X 2025 Sci. Bull. 70 1239
[36] Abadi S, Xu K J, Lomeli E G, et al. 2025 Phys. Rev. Lett. 134 126001
Google Scholar
[37] Puphal P, Reiss P, Enderlein N, et al. 2024 Phys. Rev. Lett. 133 146002
Google Scholar
[38] Ko E K, Yu Y, Liu Y, Bhatt L, Li J, Thampy V, Kuo C T, Wang B Y, Lee Y, Lee K, Lee J S, Goodge B H, Muller D A, Hwang H Y 2025 Nature 638 935
Google Scholar
[39] Zhou G, Lü W, Wang H, et al. 2025 Nature 640 641
Google Scholar
[40] Liu Y, Ko E K, Tarn Y, Bhatt L, Li J, Thampy V, Goodge B H, Muller D A, Raghu S, Yu Y, Hwang H Y 2025 Nat. Mater. 24 1221
Google Scholar
[41] 陈卓昱, 黄浩亮, 薛其坤 2025 物理学报 74 097401
Google Scholar
Chen Z Y, Huang H L, Xue Q K 2025 Acta Phys. Sin. 74 097401
Google Scholar
[42] Yue C, Miao J J, Huang H, Hua Y, Li P, Li Y, Zhou G, Lü W, Yang Q, Yang F, Sun H, Sun Y J, Lin J, Xue Q K, Chen Z, Chen W Q 2025 National Science Review nwaf253
Google Scholar
[43] Bhatt L, Jiang A Y, Ko E K, et al. 2025 arXiv: 2501.08204 [cond-mat.supr-con]
[44] Shen J, Zhou G, Miao Y, et al. 2025 arXiv: 2502.17831 [cond-mat.supr-con]
[45] Fan S, Ou M, Scholten M, Li Q, Shang Z, Wang Y, Xu J, Yang H, Eremin I M, Wen H H 2025 arXiv: 2506.01788 [cond-mat.supr-con]
[46] Hao B, Wang M, Sun W, Yang Y, Mao Z, Yan S, Sun H, Zhang H, Han L, Gu Z, Zhou J, Ji D, Nie Y 2025 arXiv: 2505.12603 [cond-mat.supr-con]
[47] Osada M, Terakura C, Kikkawa A, Nakajima M, Chen H Y, Nomura Y, Tokura Y, Tsukazaki A 2025 Commun. Phys. 8 1
Google Scholar
[48] Li Q, Sun J, Boetzel S, Ou M, Xiang Z N, Lechermann F, Wang B, Wang Y, Zhang Y J, Cheng J, Eremin I M, Wen H H 2025 arXiv: 2507.10399 [cond-mat.supr-con]
[49] Luo Z, Hu X, Wang M, Wu W, Yao D X 2023 Phys. Rev. Lett. 131 126001
Google Scholar
[50] Chen C Q, Luo Z, Wang M, Wu W, Yao D X 2024 Phys. Rev. B 110 014503
Google Scholar
[51] Leonov I V 2024 Phys. Rev. B 109 235123
Google Scholar
[52] Zhang Y, Lin L F, Moreo A, Maier T A, Dagotto E 2024 Phys. Rev. Lett. 133 136001
Google Scholar
[53] Tian P F, Ma H T, Ming X, Zheng X J, Li H 2024 J. Phys. Condens. Matter 36 355602
Google Scholar
[54] Sakakibara H, Ochi M, Nagata H, et al. 2024 Phys. Rev. B 109 144511
Google Scholar
[55] Wang J X, Ouyang Z, He R Q, Lu Z Y 2024 Phys. Rev. B 109 165140
Google Scholar
[56] Yang Q G, Jiang K Y, Wang D, Lu H Y, Wang Q H 2024 Phys. Rev. B 109 L220506
Google Scholar
[57] Zhang M, Sun H, Liu Y B, Liu Q, Chen W Q, Yang F 2024 Phys. Rev. B 110 L180501
Google Scholar
[58] Zhang M, Chen C Q, Yao D X, Yang F 2025 arXiv: 2505.15906 [cond-mat.supr-con]
[59] Zhang Y, Lin L F, Moreo A, Okamoto S, Maier T A, Dagotto E 2025 arXiv: 2503.05075 [cond-mat.supr-con]
[60] Ouyang Z, He R Q, Lu Z Y 2025 arXiv: 2503.08682 [cond-mat.supr-con]
[61] LaBollita H, Botana A S 2025 arXiv: 2505.07394 [cond-mat.supr-con]
[62] Li P, Zhou G, Lü W, et al. 2025 National Science Review nwaf205
Google Scholar
[63] Shao Z Y, Liu Y B, Liu M, Yang F 2025 Phys. Rev. B 112 024506
Google Scholar
[64] Hu X, Qiu W, Chen C Q, Luo Z, Yao D X 2025 arXiv: 2503.17223 [cond-mat.supr-con]
[65] Ouyang Z, Gao M, Lu Z Y 2024 npj Quantum Mater. 9 80
Google Scholar
[66] You J Y, Zhu Z, Del Ben M, Chen W, Li Z 2025 npj Comput. Mater. 11 3
Google Scholar
[67] Zhan J, Gu Y, Wu X, Hu J 2025 Phys. Rev. Lett. 134 136002
Google Scholar
[68] Liu Y B, Mei J W, Ye F, Chen W Q, Yang F 2023 Phys. Rev. Lett. 131 236002
Google Scholar
[69] Yang Q G, Wang D, Wang Q H 2023 Phys. Rev. B 108 L140505
Google Scholar
[70] Sakakibara H, Kitamine N, Ochi M, Kuroki K 2024 Phys. Rev. Lett. 132 106002
Google Scholar
[71] Liu Y B, Sun H, Zhang M, Liu Q, Chen W Q, Yang F 2025 Phys. Rev. B 112 014510
Google Scholar
[72] Zhang Y, Lin L F, Moreo A, Maier T A, Dagotto E 2024 Nat. Commun. 15 2470
Google Scholar
[73] Jiang K Y, Cao Y H, Yang Q G, Lu H Y, Wang Q H 2025 Phys. Rev. Lett. 134 076001
Google Scholar
[74] Zhang Y, Lin L F, Moreo A, Maier T A, Dagotto E 2023 Phys. Rev. B 108 165141
Google Scholar
[75] Xia C, Liu H, Zhou S, Chen H 2025 Nat. Commun. 16 1054
Google Scholar
[76] Braz L B, Martins G B, da Silva L G G V D 2025 Phys. Rev. Res. 7 033023
Google Scholar
[77] Cao Y H, Jiang K Y, Lu H Y, Wang D, Wang Q H 2025 arXiv: 2507.13694 [cond-mat.supr-con]
[78] Zhang M, Sun H, Liu Y B, Liu Q, Chen W Q, Yang F 2025 Phys. Rev. B 111 144502
Google Scholar
[79] Pan Z, Lu C, Yang F, Wu C 2024 Chin. Phys. Lett. 41 087401
Google Scholar
[80] Lu C, Pan Z, Yang F, Wu C 2024 Phys. Rev. Lett. 132 146002
Google Scholar
[81] Shen Y, Qin M, Zhang G M 2023 Chin. Phys. Lett. 40 127401
Google Scholar
-
图 1 加压La3Ni2O7的晶格结构和超导电性 (a) 结构侧视图[1] . (b) 压力导致的结构相变[1], 层间Ni—O—Ni键角由168°转变为180°. (c) 20.5 GPa压力下La3Ni2O7的电阻-温度曲线[2], 插图为低温零电阻区域的放大图. (d) 以FeSe为对照, 不同压力下La2PrNi2O7的磁化率-温度曲线[3], 当压力超过17 GPa时存在明显的抗磁信号
Figure 1. Crystal structure and superconductivity of pressurized La3Ni2O7. (a) Side view of the crystal structure[1]. (b) Pressure-induced structural phase transition, the interlayer Ni—O—Ni bond angle changes from 168° to 180°[1]. (c) Temperature dependence of resistivity for La3Ni2O7 under 20.5 GPa. The inset shows a magnified view of the zero-resistance region at low temperature[2]. (d) Temperature-dependent magnetic susceptibility of La2PrNi2O7 under different pressures, using FeSe as a reference. A clear diamagnetic signal emerges when the applied pressure exceeds 17 GPa[3].
图 2 La3Ni2O7中密度波性质的实验探测 (a) 不同压力下La3Ni2O7中电阻与温度的关系, 箭头表示密度波的相变温度[10]; (b) 沿高对称方向的RIXS强度图[14], 红色实心点为磁激发强度的峰值位置; (c) 波矢为(π/2, π/2)的SDW在实空间的示意图[15]
Figure 2. Experimental probes of density-wave properties in La3Ni2O7: (a) Temperature dependence of resistivity under various pressures, with arrows indicating the density-wave transition temperature[10]; (b) RIXS intensity map along high-symmetry directions[14], where red solid circles mark the peak positions of magnetic excitation intensity; (c) real-space schematic of the spin-density wave (SDW) with wave vector (π/2, π/2)[15].
图 4 La4Ni3O10和La5Ni3O11的结构示意图以及超导-压力相图 (a) La4Ni3O10在常压(左图)以及加压(右图)时的结构示意图[4]; (b) La4Ni3O10的超导-压力相图[5]; (c) La5Ni3O11的结构示意图(左图)以及单层和双层NiO6八面体堆叠单元(右图)[8]; (d) La5Ni3O11的超导-压力相图[8]
Figure 4. Structural schematics and superconductivity-pressure phase diagrams of La4Ni3O10 and La5Ni3O11: (a) Crystal structures of La4Ni3O10 at ambient pressure (left) and under high pressure (right)[4]; (b) superconductivity–pressure phase diagram of La4Ni3O10[5]; (c) crystal structure of La5Ni3O11 (left) and stacking units of single- and double-layer NiO6 octahedra (right)[8]; (d) superconductivity-pressure phase diagram of La5Ni3O11[8].
图 5 (a) 生长在SrLaAlO4衬底上的(La, Pr)3Ni2O7薄膜的结构[43]; (b) ARPES实验测得的SrLaAlO4衬底上的(La, Pr)3Ni2O7薄膜的超导能隙在费米面上的分布[44]; (c)生长在SrLaAlO4衬底上的(La, Pr)3Ni2O7薄膜的STM实验结果[45], 黑色为原始数据, 红色为背景信号, 蓝色为扣除背景的谱
Figure 5. (a) Structure of (La,Pr)3Ni2O7 thin films grown on SrLaAlO4 substrates[43]; (b) superconducting gap distribution on the Fermi surface of (La,Pr)3Ni2O7 thin films on SrLaAlO4 substrates measured by ARPES[44]; (c) STM measurements of (La,Pr)3Ni2O7 thin films grown on SrLaAlO4 substrates[45], where the black curve shows the raw data, the red curve indicates the background signal, and the blue curve represents the background-subtracted spectrum.
图 6 La3Ni2O7的电子结构特征 (a) 高压(29.5 GPa) 下的能带结构及各轨道成分的态密度[1] ; (b) 对应图(a)的费米口袋[49], 颜色表示轨道成分; (c)低压(1.6 GPa)下的能带结构及各轨道成分的态密度[1] ; (d)与图(c)对应的费米口袋[18]; (e)常压下$ {\mathrm{d}}_{z^2} $轨道成键态能带(即γ)位于费米能级以下的ARPES实验证据[18] ; (f) Ni-$ {\mathrm{d}}_{x^2-y^2} $轨道和Ni-$ {\mathrm{d}}_{z^2} $轨道通过与O-$ {\mathrm{p}}_{x, y} $轨道和O-$ {\mathrm{p}}_{z} $轨道杂化成键[1] ; (g)原胞内2个Ni原子的3d电子能级结构与占据情况[1]
Figure 6. Electronic structure characteristics of La3Ni2O7. (a) Band structure and orbital-resolved density of states at high pressure (29.5 GPa)[1], with black arrows indicating the bonding $ {\mathrm{d}}_{z^2} $ band; (b) corresponding Fermi surface pockets from panel (a), with colors denoting orbital characters[49]; (c) band structure and orbital-resolved density of states at low pressure (1.6 GPa)[1], with black arrows marking the bonding $ {\mathrm{d}}_{z^2} $band; (d) Fermi surface pockets corresponding to panel (c)[18]; (e) ARPES evidence showing that the bonding $ {\mathrm{d}}_{z^2} $ band (γ band) lies below the Fermi level at ambient pressure[18]; (f) schematic of bonding formation between Ni-$ {\mathrm{d}}_{x^2-y^2} $ and Ni-$ {\mathrm{d}}_{z^2} $ orbitals via hybridization with O-$ {\mathrm{p}}_{x,y} $ and O-$ {\mathrm{p}}_z $ orbitals[1]; (g) schematic of the 3d energy-level splitting and electron occupancy of the two Ni atoms in the unit cell[1].
图 7 La4Ni3O10的能带结构和费米面以及La5Ni3O11的费米面 (a), (b)依据实验参数得到的能带结构和投影态密度[57]; (c) 图(a)中紧束缚能带在第一布里渊区中形成的费米面, 其中有5个费米口袋, 颜色表示$ {\mathrm{d}}_{z^2} $和$ {\mathrm{d}}_{x^2-y^2} $轨道的相对贡献[57]; (d) La5Ni3O11的费米面, 图中左半部分的配色方案表示$ {\mathrm{d}}_{z^2} $和$ {\mathrm{d}}_{x^2-y^2} $轨道的相对贡献, 而右半部分的配色方案表示Ni原子在单层和双层子系统中的相对贡献[58]
Figure 7. Band structure and the Fermi surface of La4Ni3O10, and the Fermi surface of La5Ni3O11: (a), (b) Band structure and the projected density of state calculated from the experimental results[57]; (c) Fermi surface in the first Brillioun zone corresponding to the tight-binding band structure in panel (a), in which there exist five pockets, with the color representing the relative weight of the ${\mathrm{d}}_{z^2}$ and ${\mathrm{d}}_{x^2-y^2} $ orbitals[57]; (d) Fermi surface of La5Ni3O11, where the color of the left half represents the relative weight of the ${\mathrm{d}}_{z^2}$ and ${\mathrm{d}}_{x^2-y^2} $ orbitals, and the color of the right half represents the relative weight of the monolayer (SL) and the bilayer (BL) parts[58].
图 8 SrLaAlO4衬底上的(La, Pr)3Ni2O7薄膜的ARPES实验结果. 对于Ni-$ 3 {\mathrm{d}}_{z^2} $成键能带是否穿过费米能而形成γ口袋, 不同实验给出了不同的结果 (a) ARPES测得的费米面形状, 深色部分对应费米面[62] ; (b)分析ARPES结果得到的费米面[62] ; (c)沿高对称线的能带结构, 图中标记了β和γ能带的位置, 其中γ能带的顶部位于蓝色区域, 该结果显示γ能带完全位于费米能量以下而没有穿过费米能[20], 小图为大图的虚线框区域的放大; (d)分析ARPES结果得到的费米面[20]
Figure 8. The angle-resolved photoemission spectrum (ARPES) results of the (La, Pr)3Ni2O7 ultrathin film grown on the SrLaAlO4 substrate. For whether the Ni-$3 {\mathrm{d}}_{z^2} $ antibonding band crosses the Fermi level forming the γ pocket, different experiments give different results: (a) ARPES results, and the Fermi surface corresponds to the darker region[62]; (b) Fermi surface obtained from the ARPES results[62]; (c) band structure along high-symmetric line with the β and γ bands labeled[20]. Top of the γ band is located at the blue region, indicating that the γ band does not cross the Fermi level with the top of this band below the Fermi level[20]. The inset is the zoom in of the rectangular region in the dashed box; (d) Fermi surface obtained from the ARPES results[20].
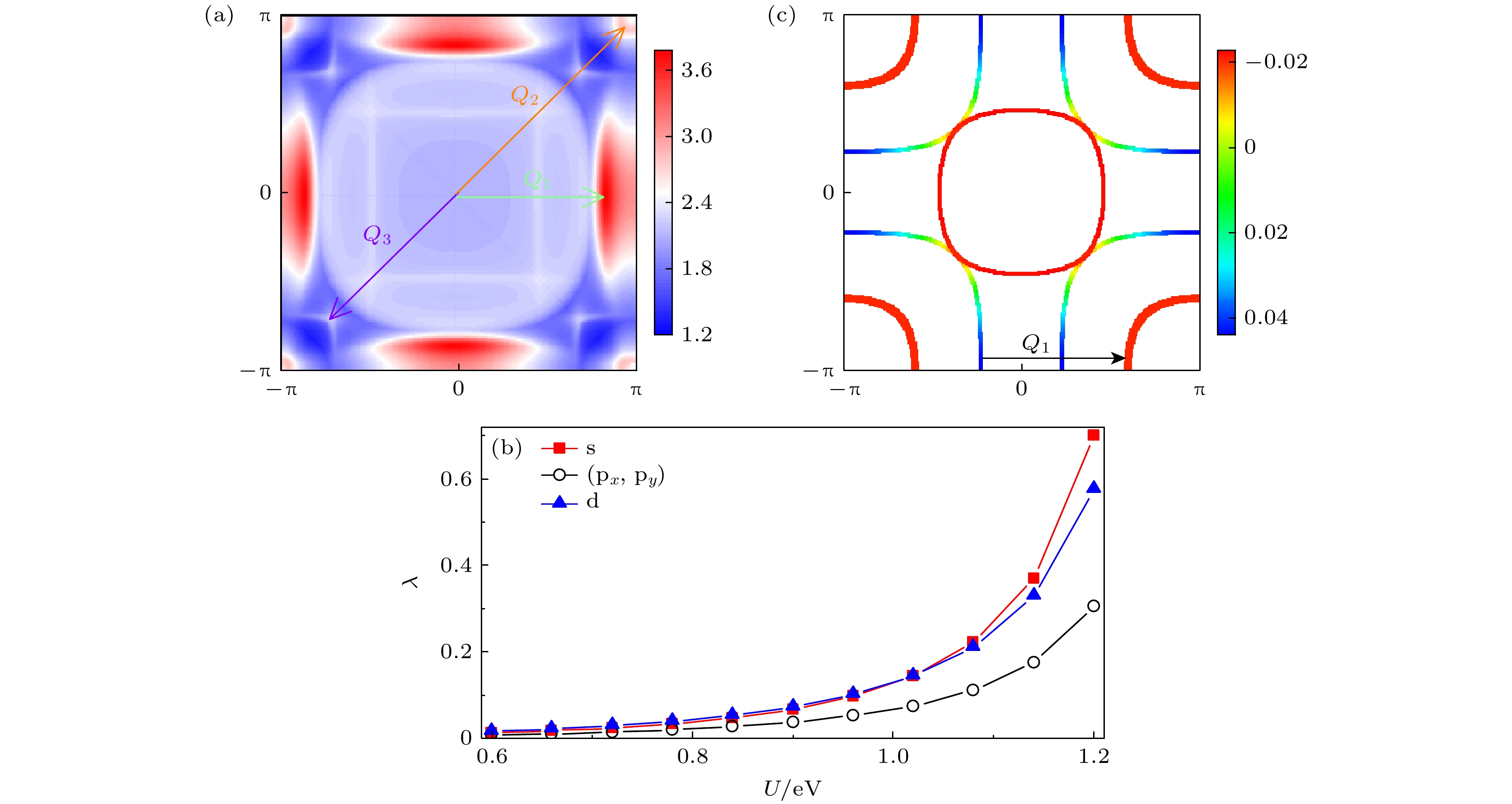
图 9 高压下La3Ni2O7的RPA计算结果[68] (a) $ \chi^{\mathrm{s}} $的最大本征值在布里渊区的分布, 最强自旋涨落的波矢记为$ Q_{1} $, 其余较强的自旋涨落波矢记为$ Q_{2} $, $ Q_{3} $; (b)不同配对对称性的配对本征值λ随U变化的函数关系; (c) $ {\mathrm{s}}^{\pm} $配对的能隙函数在费米面上的分布, $ Q_1 $为费米口袋的嵌套矢量, 与图(a)中的自旋涨落矢量相等
Figure 9. Random phase approximation (RPA) results of the pressurized bulk La3Ni2O7[68]: (a) Distribution of the largest eigenvalue of $\chi^{{\mathrm{s}}} $ in the first Brillioun zone. $Q_1 $ markes the wave vector of the strongest spin fluctuation mode. $Q_2 $ and $Q_3 $ mark the wave vectors of other relatively strong spin fluctuation modes; (b) pairing eigenvalue λ for different pairing symmetries as functions of the interaction strength U; (c) distribution of the gap function of the ${\mathrm{s}}^\pm $-wave pairing on the Fermi surface. Here $Q_1 $ marks the nesting vector of the Fermi surface. which is just the same as the wave vector $Q_1 $ of spin fluctuation shown in panel (a).
图 10 (a)高压下La3Ni2O7的FLEX计算结果[70]. 在解除两轨道的耦合后(绿、蓝、红线), λ(对应超导$ T_{\mathrm{c}} $)升高. (b)高压(HP)和常压(AP)下La3Ni2O7在费米能附近的态密度[71], 虚线为费米能级. (c)常压下La3Ni2O7的配对本征值λ与电子掺杂浓度δ的关系[71]. 虚线为零掺杂位置
Figure 10. (a) The fluctuation-exchange (FLEX) approximation results of the prussurized bulk La3Ni2O7[70]. λ (corresponding to the critical temperature $T_{\mathrm{c}} $ of superconductivity) increases when removing the coupling between the $d_{z^2} $ and $d_{x^2-y^2} $ orbitals (green, blue and red lines). (b) Density of states of bulk La3Ni2O7 under high pressure (HP) and at ambient pressure (AP)[71]. The dashed line marks the Fermi level. (c) Pairing eigenvalue λ of bulk La3Ni2O7 at AP as functions of particle number δ[71]. The dashed line marks the particle number without doping.
图 11 La3Ni2O7的超导$ T_{\mathrm{c}} $与压力的关系 (a) 通过RPA[72]计算得出的$ T_{\mathrm{c}} $与压力的关系, 青色虚线标记了结构相变; (b) 通过FRG[73]计算得出的$ T_{\mathrm{c}} $与压力的关系, 不同参数下的计算结果(倒三角)与实验数据(深红色的正方形和圆形)对比
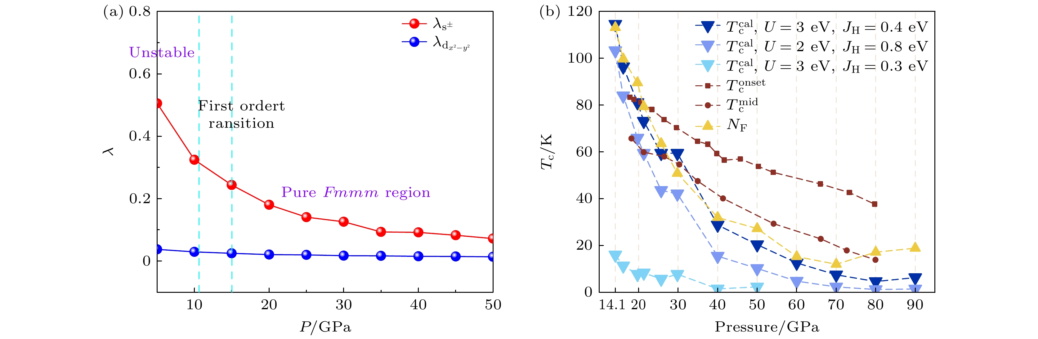
Figure 11. Relationship between the critical temperature $T_{\mathrm{c}} $ of superconductivity in bulk La3Ni2O7 and pressure: (a) Relationship obtained from random phase approximation (RPA) study[72]. The cyan dashed lines mark the pressure under which the structural phase transistion happens; (b) relationship obtained from functional renormalization group (FRG) study[73]. Here, the results obtained from different sets of parameters (inverted triangles) are compared with experimental results (wine squares and circles).
图 12 高压La3Ni2O7中顶角氧缺陷对超导的影响的RPA研究[68] (a)相互作用强度U-顶角氧缺陷浓度δ相图, SC和LMP分别表示超导和局域磁序, 黑色实线表示临界相互作用$ U_{\mathrm{c}} $; (b)磁矩在实空间的分布, 颜色表示磁矩大小, 红色虚线框内为顶角氧缺陷位置; (c)超导$ T_{\mathrm{c}} $与顶角氧缺陷浓度δ的关系
Figure 12. Effect of the apical oxygen vaccancy to the superconductivity in pressurized La3Ni2O7 obtained from random phase approximation (RPA) study[68]: (a) The interaction strength U-density of the apical oxygen vacancy δ phase diagram. SC and LMP represent superconductivity and local moment phase, respectively. The blue solid line represents the critical interaction strength $U_{\mathrm{c}} $; (b) the real space distribution of the magnetic moment with the color represents the amplitude of the moment. The red dashed boxes mark the positions of the apical oxygen vaccancy; (c) relationship between the critical temperature $T_{\mathrm{c}} $ of superconductivity and δ.
图 13 RPA计算得到的La4Ni3O10的自旋极化率以及超导[57] (a) RPA重整化自旋极化率在第一布里渊区的分布, 其最大值位于$ {\boldsymbol{Q}}_1 $; (b)各配对对称性的配对本征值λ的最大值对U的依赖; (c)体系中主导的配对能隙$ {\mathrm{s}}^{\pm} $波在费米面的分布, 其中$ {\boldsymbol{Q}}_1 $矢量联系了$ \alpha_1 $口袋和γ口袋之间的费米面嵌套; (d)各配对对称性的配对本征值λ的最大值对掺杂浓度δ的依赖
Figure 13. Spin susceptibility and superconductivity of La4Ni3O10 calculated by RPA[57]: (a) Distribution of the RPA-renormalized spin susceptibility $\chi^{{\mathrm{s}}}(\boldsymbol q) $ in the Brillouin zone. The maximum of the $\chi^{{\mathrm{s}}}(\boldsymbol q) $ locates at q = Q1; (b) the largest λ of the various pairing symmetries as function of U; (c) distribution of the leading pairing gap function on the Fermi surface, Q1 is the Fermi surface nesting vector connecting α1 and γ pocket; (d) the largest λ of the various pairing symmetries as function of doping level δ.
图 14 对$ \alpha_1 $口袋缺失的La4Ni3O10模型的研究 (a)和(b)分别是FRG[56]和RPA[57]计算得到的费米面嵌套以及超导能隙在费米面上的分布特征; (c) FRG得到的体系相对于掺杂水平$ \left \langle n \right \rangle $和洪特耦合$ J_{\mathrm{H}} $的相图[56]; (d) FLEX对La4Ni3O10(绿色线)和La3Ni2O7(粉色线)的λ随电子填充$ \Delta n $变化的研究[54]
Figure 14. Research on the TB model of La4Ni3O10 without α1 pocket: (a), (b) The Fermi surfaces nesting and the distribution of pairing gap function on the Fermi surface calculated by FRG[56] and RPA[57], respectively; (c) phase diagram of La4Ni3O10 with respect to the filling level and JH, calculated by FRG[56]; (d) the pairing eigenvalue λ calculated by FLUX[54] for La4Ni3O10 (green line) and La3Ni2O7 (pink line) are plotted as the function of filling Δn.
图 15 La5Ni3O11中超导对压力的依赖[58] (a) 体系态密度(DOS, 红线)和RPA计算得到的超导配对本征值λ(黑线)对压力的依赖; (b) La5Ni3O11中超导态-正常态-超导态的约瑟夫森结构示意图; (c) La5Ni3O11中超导$ T_{\mathrm{c}} $的压力依赖
Figure 15. Pressure dependence of the superconductivity of La5Ni3O11[58]: (a) Pressure dependence of the pairing eigenvalue λ (black line) and the DOS (red line); (b) schematic of the S-N-S Josephson Junction structure of La5Ni3O11; (c) the superconducting Tc of La5Ni3O11 as the function of pressure.
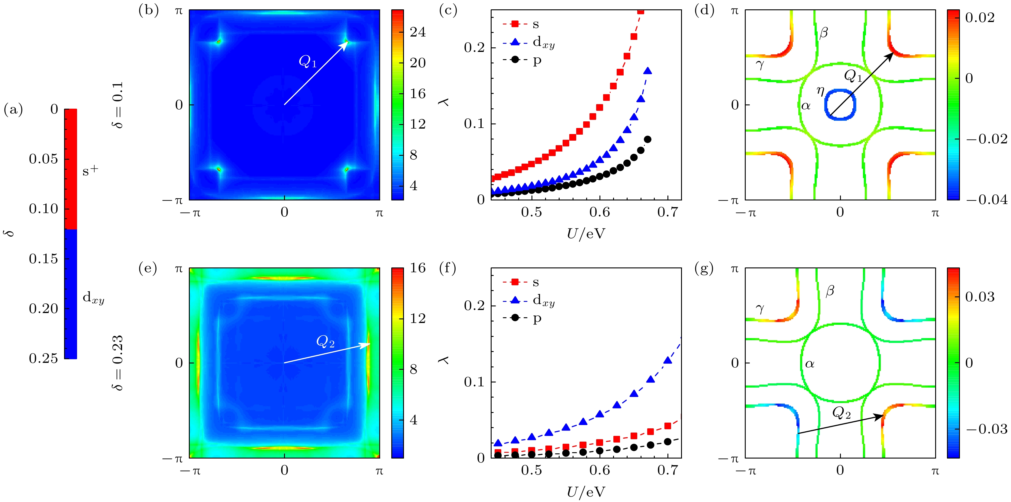
图 16 (La, Pr)3Ni2O7/SrLaALO4薄膜的RPA计算结果[63] (a)超导配对对称性与空穴掺杂程度δ的关系. (b)—(d)空穴掺杂程度$ \delta=0.1 $情形 (b) 自旋极化率的最大本征值在布里渊区的分布, $ \boldsymbol{Q}_1 $为最大值所在位置; (c) 不同配对对称性的配对本征值λ随U的变化, 在所有U下均有s波的λ最大, 体系最终实现的超导配对为s波; (d) 费米面上的能隙函数分布, $ \boldsymbol{Q}_1 $为费米面嵌套矢量. (e)—(g)空穴掺杂程度$ \delta=0.23 $情形 (e) 自旋极化率的最大本征值在布里渊区的分布, $ \boldsymbol{Q}_2 $为最大值所在位置; (f) 不同配对对称性的配对本征值λ随U的变化. 在所有U下均有$ {\mathrm{d}}_{xy} $波的λ最大, 体系最终实现的超导配对为$ {\mathrm{d}}_{xy} $波; (g) 费米面上的能隙函数分布, $ \boldsymbol{Q}_2 $为费米面嵌套矢量
Figure 16. The RPA calculated results of (La, Pr)3Ni2O7/SrLaALO4 film[63]: (a) The hole-doping dependence of the leading pairing symmetry. (b)–(d) RPA results for δ = 0.1: (b) Distribution of the spin susceptibility $\chi^{({\mathrm{s}})} (k)$ in the BZ. The maximum of the $\chi^{({\mathrm{s}})} (k)$ locates at Q1; (c) the largest λ of the various pairing symmetries as function of U. The leading s-wave pairing throughout the range of U indicates the realization of s-wave pairing superconductivity; (d) distribution of s-wave pairing gap function on the Fermi surfaces, and Q1 is nesting vector. (e)–(g) RPA results for δ = 0.23: (e) Distribution of the spin susceptibility $\chi^{({\mathrm{s}})}(k) $ in the BZ. The maximum of the $\chi^{({\mathrm{s}})}(k) $ locates at Q2; (f) the largest λ of the various pairing symmetries as function of U. The leading ${\mathrm{d}}_{xy} $-wave pairing throughout the range of U indicates the realization of ${\mathrm{d}}_{xy} $-wave pairing superconductivity; (g) distribution of ${\mathrm{d}}_{xy} $-wave pairing gap function on the Fermi surfaces, and Q2 is nesting vector.
图 17 (La, Pr)3Ni2O7/SrLaALO4薄膜的其他计算结果 (a)费米面附近能隙函数的动力学平均场结合RPA计算结果[42], 颜色代表能隙的相对大小, $ \boldsymbol{Q}_1 $为费米面嵌套矢量; (b)费米面附近能隙函数的FRG计算结果, 图中点的颜色代表能隙函数的正负号, 点的大小代表能隙的相对大小, $ \boldsymbol{q}_1 $为费米面嵌套矢量[77]
Figure 17. Other calculated results of (La, Pr)3Ni2O7/SrLaALO4 film: (a) Distribution of the gap function around the Fermi level, calculated by the combination of DMFT and RPA, where the colors represent the relative values of the gap function and Q1 marks the Fermi surface nesting vector[42]; (b) distribution of the gap function on the Fermi surfaces, calculated by FRG, where the color and size of data points represent the sign and magnitude of the gap function, q1 marks the Fermi surface nesting vector[77].
图 18 常压下La3Ni2O7的RPA计算结果[71] (a)常压下La3Ni2O7在折叠布里渊区中的能带结构, TB能带(红线)与DFT能带(黑线)在低能附近基本一致. (b)与图(a)能带对应的费米口袋, Q为费米口袋嵌套矢量. (c)自旋极化率$ \chi^{\mathrm{s}}({\boldsymbol k}) $的最大本征值在布里渊区的分布, 其最大值位置对应图(b)中的费米口袋嵌套矢量Q. (d)磁矩在实空间的面内分布, 元胞(虚线椭圆)包含A, B子格, $ {\boldsymbol{e}}_{x/y} $与$ {\boldsymbol{e}}_{a/b} $为两套格矢, 分别对应折叠和扩展的布里渊区
Figure 18. RPA results of La3Ni2O7 at ambient pressure[71]. (a) Band structure of La3Ni2O7 at ambient pressure. Band structure of the TB-model (red line) is consistent with the DFT band structure (black line). (b) Fermi surfaces in the folded BZ. The FS nesting vector is marked by Q. (c) Distribution of the spin susceptibility $ \chi^{\mathrm{s}}({\boldsymbol k}) $ in the folded BZ. The maximal value of $ \chi^{\mathrm{s}}(\boldsymbol{k})$ just locates at $\boldsymbol{k}=\boldsymbol{Q} $. (d) Schematic pattern of SDW. Each dashed oval represents a unit cell. The length and orientation color of the arrows represent the magnitude and sign of the magnetic moment, respectively.
图 19 常压下La4Ni3O10的RPA计算结果[78] (a)常压下La4Ni3O10在第一布里渊区的费米面, $ {\boldsymbol{Q}} $矢量表示费米面嵌套; (b)实空间中的SDW模式; (c)当$ V=0 $时, $ \chi^{\mathrm{s}}(\boldsymbol{k}) $随$ J_{\mathrm{H}} $的变化情况, 其中亮点代表自旋密度波波矢所在位置; (d) λ的最大值对掺杂浓度δ的依赖, 其中$ J_{\mathrm{H}}=U/6 $
Figure 19. RPA results of La4Ni3O10 at ambient pressure[78]: (a) Fermi surfaces in the folded BZ. Q marks the FS nesting vector; (b) schematic pattern of SDW in real space; (c) evolution of the distribution of $\chi^{\mathrm{s}}(\boldsymbol{k}) $ with JH when V = 0. Bright spots indicate the location of the vectors of SDW; (d) the largest pairing eigenvalues λ as a function of doping, with fixed JH = U/6.
表 1 RP相镍基超导弱耦合理论研究汇总对比
Table 1. Summary and comparison table of weak coupling theory research on RP-phase nickelatesuperconductors
材料体系 计算方法 模型关键特征 主要结论摘要 La3Ni2O7
(块材, 高压)RPA[68] 双层两轨道$ ({\mathrm{d}}_{x^2-y^2}, {\mathrm{d}}_{z^2} )$ 1) 最强自旋涨落波矢$ Q\approx(\pi, 0) $; 2) $ {\mathrm{s}}^{\pm} $波配对, 能隙在$ \gamma/\alpha $口袋与β口袋上符号相反; 3) 超导由层间$ {\mathrm{d}}_{z^2} $轨道配对主导. FRG[69] 双层两轨道$ ({\mathrm{d}}_{x^2-y^2}, {\mathrm{d}}_{z^2}) $ 与RPA[68]定性一致. FLEX[70] 双层两轨道$ ({\mathrm{d}}_{x^2-y^2}, {\mathrm{d}}_{z^2}) $ 1) 与RPA/FRG结论一致; 2) 发现解除$ {\mathrm{d}}_{x^2-y^2} $与$ {\mathrm{d}}_{z^2} $轨道间的杂化能显著增强$ T_{\mathrm{c}} $. La4Ni3O10
(块材, 高压)RPA[57] 三层多轨道模型 1) 最强自旋涨落波矢$ Q\approx(\pi, \pi) $; 2) $ {\mathrm{s}}^{\pm} $波配对, 对能带细节不敏感; 3) 超导由外层$ {\mathrm{d}}_{{z^2}} $轨道间层间配对主导. FRG[56] 三层多轨道模型
(考虑$ \alpha_1 $口袋缺失)1) 与RPA定性一致, 支持${\mathrm{ s}}^{\pm} $波配对; 2) 强调洪特耦合对超导的影响; 3) 费米面嵌套和能隙分布细节与RPA略有不同. FLEX[54] 三层多轨道模型 解释其相对较低的$ T_{\mathrm{c}} $. La5Ni3O11
(块材, 高压)RPA[58] 解耦近似
(单层+双层子系统)1) 超导主要发生在双层子系统内, 为$ {\mathrm{s}}^{\pm} $波配对; 2) 穹顶型 $ T_{\mathrm{c}} $-P相图与层间约瑟夫森耦合有关. (La, Pr)3Ni2O7
(薄膜, 常压)RPA[63] 存在γ口袋的假说 1) 配对对称性随空穴掺杂δ变化; 2) 在实验关注的$ \delta\sim0.21 $附近, 为$ {\mathrm{d}}_{xy} $波. DMFT+RPA[42] 动力学平均场重整化能带 得到$ {\mathrm{s}}^{\pm} $波配对. FRG[77] 费米口袋形状近正方形 不同口袋间嵌套支持$ {\mathrm{s}}^{\pm} $波配对. -
[1] Sun H, Huo M, Hu X, Li J, Liu Z, Han Y, Tang L, Mao Z, Yang P, Wang B, Cheng J, Yao D X, Zhang G M, Wang M 2023 Nature 621 493
Google Scholar
[2] Zhang Y, Su D, Huang Y, Shan Z, Sun H, Huo M, Ye K, Zhang J, Yang Z, Xu Y, Su Y, Li R, Smidman M, Wang M, Jiao L, Yuan H 2024 Nat. Phys. 20 1269
Google Scholar
[3] Wang N, Wang G, Shen X, et al. 2024 Nature 634 579
Google Scholar
[4] Zhu Y, Peng D, Zhang E, et al. 2024 Nature 631 531
Google Scholar
[5] Zhang M, Pei C, Peng D, et al. 2025 Phys. Rev. X 15 021005
Google Scholar
[6] Li Q, Zhang Y J, Xiang Z N, Zhang Y, Zhu X, Wen H H 2024 Chin. Phys. Lett. 41 017401
Google Scholar
[7] Huang X, Zhang H, Li J, Huo M, Chen J, Qiu Z, Ma P, Huang C, Sun H, Wang M 2024 Chin. Phys. Lett. 41 127403
Google Scholar
[8] Shi M, Peng D, Fan K, et al. 2025 arXiv: 2502.01018 [cond-mat.supr-con]
[9] Fukamachi T, Kobayashi Y, Miyashita T, Sato M 2001 J. Phys. Chem. Solids 62 195
Google Scholar
[10] Khasanov R, Hicken T J, Gawryluk D J, Sazgari V, Plokhikh I, Sorel L P, Bartkowiak M, Bötzel S, Lechermann F, Eremin I M, Luetkens H, Guguchia Z 2025 Nat. Phys. 21 430
Google Scholar
[11] Chen K, Liu X, Jiao J, et al. 2024 Phys. Rev. Lett. 132 256503
Google Scholar
[12] Dan Z, Zhou Y, Huo M, Wang Y, Nie L, Wang M, Wu T, Chen X 2024 arXiv: 2402.03952 [cond-mat.supr-con]
[13] Kakoi M, Oi T, Ohshita Y, Yashima M, Kuroki K, Kato T, Takahashi H, Ishiwata S, Adachi Y, Hatada N, Uda T, Mukuda H 2024 J. Phys. Soc. Jpn. 93 053702
Google Scholar
[14] Chen X, Choi J, Jiang Z, et al. 2024 Nat. Commun. 15 9597
Google Scholar
[15] Gupta N K, Gong R, Wu Y, et al. 2025 Nat. Commun. 16 6560
Google Scholar
[16] Zhang J, Phelan D, Botana A, et al. 2020 Nat. Commun. 11 6003
Google Scholar
[17] Khasanov R, Hicken T J, Plokhikh I, et al. 2025 arXiv: 2503.04400 [cond-mat.supr-con]
[18] Yang J, Sun H, Hu X, Xie Y, Miao T, Luo H, Chen H, Liang B, Zhu W, Qu G, et al. 2024 Nat. Commun. 15 4373
Google Scholar
[19] Li H, Zhou X, Nummy T, Zhang J, Pardo V, Pickett W E, Mitchell J F, Dessau D S 2017 Nat. Commun. 8 704
Google Scholar
[20] Wang B Y, Zhong Y, Abadi S, Liu Y, Yu Y, Zhang X, Wu Y M, Wang R, Li J, Tarn Y, Ko E K, Thampy V, Hashimoto M, Lu D, Lee Y S, Devereaux T P, Jia C, Hwang H Y, Shen Z X 2025 arXiv: 2504.16372 [cond-mat.supr-con]
[21] Sun W, Jiang Z, Hao B, Yan S, Zhang H, Wang M, Yang Y, Sun H, Liu Z, Ji D, Gu Z, Zhou J, Shen D, Feng D, Nie Y 2025 arXiv: 2507.07409 [cond-mat.supr-con]
[22] Graser S, Maier T, Hirschfeld P, Scalapino D 2009 New J. Phys. 11 025016
Google Scholar
[23] Wang W S, Xiang Y Y, Wang Q H, Wang F, Yang F, Lee D H 2012 Phys. Rev. B: Condens. Matter 85 035414
Google Scholar
[24] Kubo K 2007 Phys. Rev. B 75 224509
Google Scholar
[25] 路洪艳, 王强华 2025 物理学报 74 177401
Google Scholar
Lu H Y, Wang Q H 2025 Acta Phys. Sin. 74 177401
Google Scholar
[26] 李义典, 杨乐仙 2025 物理学报 74 177402
Google Scholar
Li Y D, Yang L X 2025 Acta Phys. Sin. 74 177402
Google Scholar
[27] 杜政忠, 李婕, 卢毅 2025 物理学报 74 177103
Google Scholar
Du Z Z, Li J, Lu Y 2025 Acta Phys. Sin. 74 177103
Google Scholar
[28] 郑姚远, 莫世聪, 吴为 2025 物理学报 74 177403
Google Scholar
Zheng Y Y, Mo S C, Wu W 2025 Acta Phys. Sin. 74 177403
Google Scholar
[29] Li Y, Cao Y, Liu L, et al. 2025 Sci. Bull. 70 180
Google Scholar
[30] Liu C, Huo M, Yang H, Li Q, Zhang Y, Xiang Z, Wang M, Wen H H 2025 Sci. China Phys. Mech. Astron. 68 247412
Google Scholar
[31] Liu Z, Huo M, Li J, et al. 2024 Nat. Commun. 15 7570
Google Scholar
[32] Li J, Peng D, Ma P, et al. 2025 National Science Review nwaf220
Google Scholar
[33] Wang G, Wang N, Wang Y, et al. 2023 arXiv: 2311.08212 [cond-mat.supr-con]
[34] Li F, Xing Z, Peng D, et al. 2025 arXiv: 2501.14584 [cond-mat.supr-con]
[35] Zhao D, Zhou Y, Huo M, Wang Y, Nie L, Yang Y, Ying J, Wang M, Wu T, Chen X 2025 Sci. Bull. 70 1239
[36] Abadi S, Xu K J, Lomeli E G, et al. 2025 Phys. Rev. Lett. 134 126001
Google Scholar
[37] Puphal P, Reiss P, Enderlein N, et al. 2024 Phys. Rev. Lett. 133 146002
Google Scholar
[38] Ko E K, Yu Y, Liu Y, Bhatt L, Li J, Thampy V, Kuo C T, Wang B Y, Lee Y, Lee K, Lee J S, Goodge B H, Muller D A, Hwang H Y 2025 Nature 638 935
Google Scholar
[39] Zhou G, Lü W, Wang H, et al. 2025 Nature 640 641
Google Scholar
[40] Liu Y, Ko E K, Tarn Y, Bhatt L, Li J, Thampy V, Goodge B H, Muller D A, Raghu S, Yu Y, Hwang H Y 2025 Nat. Mater. 24 1221
Google Scholar
[41] 陈卓昱, 黄浩亮, 薛其坤 2025 物理学报 74 097401
Google Scholar
Chen Z Y, Huang H L, Xue Q K 2025 Acta Phys. Sin. 74 097401
Google Scholar
[42] Yue C, Miao J J, Huang H, Hua Y, Li P, Li Y, Zhou G, Lü W, Yang Q, Yang F, Sun H, Sun Y J, Lin J, Xue Q K, Chen Z, Chen W Q 2025 National Science Review nwaf253
Google Scholar
[43] Bhatt L, Jiang A Y, Ko E K, et al. 2025 arXiv: 2501.08204 [cond-mat.supr-con]
[44] Shen J, Zhou G, Miao Y, et al. 2025 arXiv: 2502.17831 [cond-mat.supr-con]
[45] Fan S, Ou M, Scholten M, Li Q, Shang Z, Wang Y, Xu J, Yang H, Eremin I M, Wen H H 2025 arXiv: 2506.01788 [cond-mat.supr-con]
[46] Hao B, Wang M, Sun W, Yang Y, Mao Z, Yan S, Sun H, Zhang H, Han L, Gu Z, Zhou J, Ji D, Nie Y 2025 arXiv: 2505.12603 [cond-mat.supr-con]
[47] Osada M, Terakura C, Kikkawa A, Nakajima M, Chen H Y, Nomura Y, Tokura Y, Tsukazaki A 2025 Commun. Phys. 8 1
Google Scholar
[48] Li Q, Sun J, Boetzel S, Ou M, Xiang Z N, Lechermann F, Wang B, Wang Y, Zhang Y J, Cheng J, Eremin I M, Wen H H 2025 arXiv: 2507.10399 [cond-mat.supr-con]
[49] Luo Z, Hu X, Wang M, Wu W, Yao D X 2023 Phys. Rev. Lett. 131 126001
Google Scholar
[50] Chen C Q, Luo Z, Wang M, Wu W, Yao D X 2024 Phys. Rev. B 110 014503
Google Scholar
[51] Leonov I V 2024 Phys. Rev. B 109 235123
Google Scholar
[52] Zhang Y, Lin L F, Moreo A, Maier T A, Dagotto E 2024 Phys. Rev. Lett. 133 136001
Google Scholar
[53] Tian P F, Ma H T, Ming X, Zheng X J, Li H 2024 J. Phys. Condens. Matter 36 355602
Google Scholar
[54] Sakakibara H, Ochi M, Nagata H, et al. 2024 Phys. Rev. B 109 144511
Google Scholar
[55] Wang J X, Ouyang Z, He R Q, Lu Z Y 2024 Phys. Rev. B 109 165140
Google Scholar
[56] Yang Q G, Jiang K Y, Wang D, Lu H Y, Wang Q H 2024 Phys. Rev. B 109 L220506
Google Scholar
[57] Zhang M, Sun H, Liu Y B, Liu Q, Chen W Q, Yang F 2024 Phys. Rev. B 110 L180501
Google Scholar
[58] Zhang M, Chen C Q, Yao D X, Yang F 2025 arXiv: 2505.15906 [cond-mat.supr-con]
[59] Zhang Y, Lin L F, Moreo A, Okamoto S, Maier T A, Dagotto E 2025 arXiv: 2503.05075 [cond-mat.supr-con]
[60] Ouyang Z, He R Q, Lu Z Y 2025 arXiv: 2503.08682 [cond-mat.supr-con]
[61] LaBollita H, Botana A S 2025 arXiv: 2505.07394 [cond-mat.supr-con]
[62] Li P, Zhou G, Lü W, et al. 2025 National Science Review nwaf205
Google Scholar
[63] Shao Z Y, Liu Y B, Liu M, Yang F 2025 Phys. Rev. B 112 024506
Google Scholar
[64] Hu X, Qiu W, Chen C Q, Luo Z, Yao D X 2025 arXiv: 2503.17223 [cond-mat.supr-con]
[65] Ouyang Z, Gao M, Lu Z Y 2024 npj Quantum Mater. 9 80
Google Scholar
[66] You J Y, Zhu Z, Del Ben M, Chen W, Li Z 2025 npj Comput. Mater. 11 3
Google Scholar
[67] Zhan J, Gu Y, Wu X, Hu J 2025 Phys. Rev. Lett. 134 136002
Google Scholar
[68] Liu Y B, Mei J W, Ye F, Chen W Q, Yang F 2023 Phys. Rev. Lett. 131 236002
Google Scholar
[69] Yang Q G, Wang D, Wang Q H 2023 Phys. Rev. B 108 L140505
Google Scholar
[70] Sakakibara H, Kitamine N, Ochi M, Kuroki K 2024 Phys. Rev. Lett. 132 106002
Google Scholar
[71] Liu Y B, Sun H, Zhang M, Liu Q, Chen W Q, Yang F 2025 Phys. Rev. B 112 014510
Google Scholar
[72] Zhang Y, Lin L F, Moreo A, Maier T A, Dagotto E 2024 Nat. Commun. 15 2470
Google Scholar
[73] Jiang K Y, Cao Y H, Yang Q G, Lu H Y, Wang Q H 2025 Phys. Rev. Lett. 134 076001
Google Scholar
[74] Zhang Y, Lin L F, Moreo A, Maier T A, Dagotto E 2023 Phys. Rev. B 108 165141
Google Scholar
[75] Xia C, Liu H, Zhou S, Chen H 2025 Nat. Commun. 16 1054
Google Scholar
[76] Braz L B, Martins G B, da Silva L G G V D 2025 Phys. Rev. Res. 7 033023
Google Scholar
[77] Cao Y H, Jiang K Y, Lu H Y, Wang D, Wang Q H 2025 arXiv: 2507.13694 [cond-mat.supr-con]
[78] Zhang M, Sun H, Liu Y B, Liu Q, Chen W Q, Yang F 2025 Phys. Rev. B 111 144502
Google Scholar
[79] Pan Z, Lu C, Yang F, Wu C 2024 Chin. Phys. Lett. 41 087401
Google Scholar
[80] Lu C, Pan Z, Yang F, Wu C 2024 Phys. Rev. Lett. 132 146002
Google Scholar
[81] Shen Y, Qin M, Zhang G M 2023 Chin. Phys. Lett. 40 127401
Google Scholar
Catalog
Metrics
- Abstract views: 1764
- PDF Downloads: 86
- Cited By: 0









DownLoad: