-
In order to investigate the enhancement mechanism of atmospheric-pressure oxygen pulsed discharge in a parallel-plate dielectric barrier discharge (DBD) with microstructures fabricated on the dielectric surface of the high-voltage electrode, this work systematically analyzes the electron transport processes, the formation and evolution of electric fields, and the spatial distribution of particles by using a two-dimensional fluid model. The introduction of microstructures can cause significant electric field distortion, generating a strong transverse electric field that locally confines and focuses electrons beneath the micro-structured region, leading to the formation of a stable corona-mode discharge. At the same time, the reduced local discharge gap near the microstructure enhances the longitudinal electric field, resulting in a temporal asynchrony between the corona discharge under the microstructure and the parallel-plate discharge in the adjacent flat regions. As the geometric dimensions of the microstructures increase, a secondary discharge is triggered, further modulating the overall discharge behavior. Under conditions where the corona discharge is suppressed by higher protrusions, the occurrence of secondary discharge effectively increases the proportion of high-energy electrons and the spatially averaged density of reactive oxygen atoms. Simulation results reveal that the corona discharge and the secondary discharge significantly raise electron density, electron temperature, and the proportion of high-energy electrons, thereby intensifying the discharge activity. These findings offer deep insight into the micro-mechanisms of microstructure-induced discharge enhancement and provide valuable guidance for designing highly efficient plasma devices with tailored geometric features.
-
Keywords:
- two-dimensional fluid model /
- surface microstructure /
- hybrid discharge /
- corona discharge
[1] He S J, Zhao L F, Ha J, Fan W L, Li Q 2023 Phys. Scr. 98 015615
Google Scholar
[2] 赵立芬, 哈静, 王非凡, 李庆, 何寿杰 2022 物理学报 71 025201
Google Scholar
Zhao L F, Ha J, Wang F F, Li Q, He S J 2022 Acta Phys. Sin. 71 025201
Google Scholar
[3] Torbin A P, Demyanov A V, Kochetov I V, Mikheyev P A, Mebel A M 2022 Plasma Sources Sci. Technol. 31 035017
Google Scholar
[4] 戴芳博, 袁健美, 许凯燕, 郭政, 赵洪泉, 毛宇亮 2021 物理学报 70 178502
Google Scholar
Dai F B, Yuan J M, Xu K Y, Guo Z, Zhao H Q, Mao Y L 2021 Acta Phys. Sin. 70 178502
Google Scholar
[5] 张海洋 2018 等离子体蚀刻及其在大规模集成电路制造中的应用(北京: 清华大学出版社)第100—110页
Zhang H Y 2018 Plasma Etching and Its Application in Large Scale Integrated Circuit Manufacturing ((Beijing: Tsinghua University Press) pp100–110
[6] Benyamina M, Belasri A, Khodja K 2014 Ozone: Science & Engineering 36 253
[7] Vass M, Wilczek S, Lafleur T, Brinkmann R P, Donkó Z, Schulze J 2020 Plasma Sources Sci. Technol. 29 025019
Google Scholar
[8] Komuro A, Yoshino A, Wei Z, Ono R 2023 J. Phys. D: Appl. Phys. 56 185201
Google Scholar
[9] Zhang X X, Xiao H Y, Hu X X, Zhang Y 2018 IEEE Trans. Plasma Sci. 46 563
Google Scholar
[10] Mao X Q, Zhong H T, Zhang T H, Starikovskiy A, Ju Y G 2022 Combust. Flame 240 112046
Google Scholar
[11] Fang J L, Zhang Y Y, Lu C Z, Gu L L, Xu S F, Guo Y, Shi J J 2024 Chin. Phys. B 33 015201
Google Scholar
[12] 刘凯, 方泽, 戴栋 2023 物理学报 72 135201
Google Scholar
Liu K, Fang Z, Dai D 2023 Acta Phys. Sin. 72 135201
Google Scholar
[13] Li M, Zhu B, Yan Y, Li T, Zhu Y M 2018 Plasma Chem. Plasma Process. 38 1063
Google Scholar
[14] Liu S, Li J M, Zeng Y Y, Chi F T, Xiao C J 2022 Curr. Appl. Phys. 44 12
Google Scholar
[15] Zhou J C, Liao J, Huang J, Chen T Z, Lv B W, Peng Y C 2022 Vacuum 195 110678
Google Scholar
[16] Wang X P, Shao T Q, Qin J Y, Li Y L, Long X, Jiang D B, Ding J G 2024 Ozone: Sci. Eng. 46 345
Google Scholar
[17] Gu L L, Zhang Y Y, Fang J L, Xu S F, Guo Y, Shi J J 2023 Phys. Plasmas 30 103503
Google Scholar
[18] Pokrovskii V S, Repin P B, Trushkina A N 2020 Tech. Phys. 65 182
Google Scholar
[19] Zhu M, Hu S Y, Zhang Y H, Wu S Q, Zhang C H 2022 Plasma Sci. Technol. 24 065401
Google Scholar
[20] Mujahid Z ul I, Kruszelnicki J, Hala A, Kushner M J 2020 Chem. Eng. J 382 123038
Google Scholar
[21] Mujahid Z ul I, Korolov I, Liu Y, Mussenbrock T, Schulze J 2022 J. Phys. D: Appl. Phys. 55 495201
Google Scholar
[22] Jodpimai S, Boonduang S, Limsuwan P 2015 J. Electrostat. 74 108
Google Scholar
[23] Berger B, Mujahid Z, Neuroth C, Azhar M, Wang L, Zhang Q Z, Mussenbrock T, Korolov I, Schulze J 2024 Plasma Sources Sci. Technol. 33 125011
Google Scholar
[24] Fang J J, Gu B B, Xu S F, Mei Y F, Guo Y, Shi J J 2025 Appl. Phys. Lett. 127 074101
Google Scholar
[25] Polonskyi O, Hartig T, Uzarski J R, Gordon M J 2021 Appl. Phys. Lett. 119 211601
Google Scholar
[26] Walsh J L, Iza F, Janson N B, Law V J, Kong M G 2010 J. Phys. D: Appl. Phys. 43 075201
Google Scholar
[27] Liu Y, Korolov I, Trieschmann J, et al. 2021 Plasma Sources Sci. Technol. 30 064001
Google Scholar
[28] Park G, Lee H, Kim G, Lee J K 2008 Plasma Processes Polym. 5 569
Google Scholar
[29] Lazzaroni C, Chabert P 2016 Plasma Sources Sci. Technol. 25 065015
Google Scholar
[30] Hsu C C, Nierode M A, Coburn J W, Graves D B 2006 J. Phys. D: Appl. Phys. 39 3272
Google Scholar
[31] Mennad B, Harrache Z, Amir Aid D, Belasri A 2010 Curr. Appl. Phys. 10 1391
Google Scholar
[32] Stafford D S, Kushner M J 2004 J. Appl. Phys. 96 2451
Google Scholar
[33] Sakiyama Y, Graves D B, Chang H W, Shimizu T, Morfill G E 2012 J. Phys. D: Appl. Phys. 45 425201
Google Scholar
[34] He J, Zhang Y T 2012 Plasma Processes Polym. 9 919
Google Scholar
[35] Jeong S Y, Nam W J, Lee J K, Yun G S 2018 J. Phys. D: Appl. Phys. 51 454001
Google Scholar
[36] Yanallah K, Pontiga F, Fernández-Rueda A, Castellanos A, Belasri A 2008 J. Phys. D: Appl. Phys. 41 195206
Google Scholar
[37] Bogdanov E A, Kudryavtsev A A, Tsendin L D, Arslanbekov R R, Kolobov V I, Kudryavtsev V V 2003 Tech. Phys. 48 983
Google Scholar
[38] Gaens W V, Bogaerts A 2013 J. Phys. D: Appl. Phys. 46 275201
Google Scholar
-
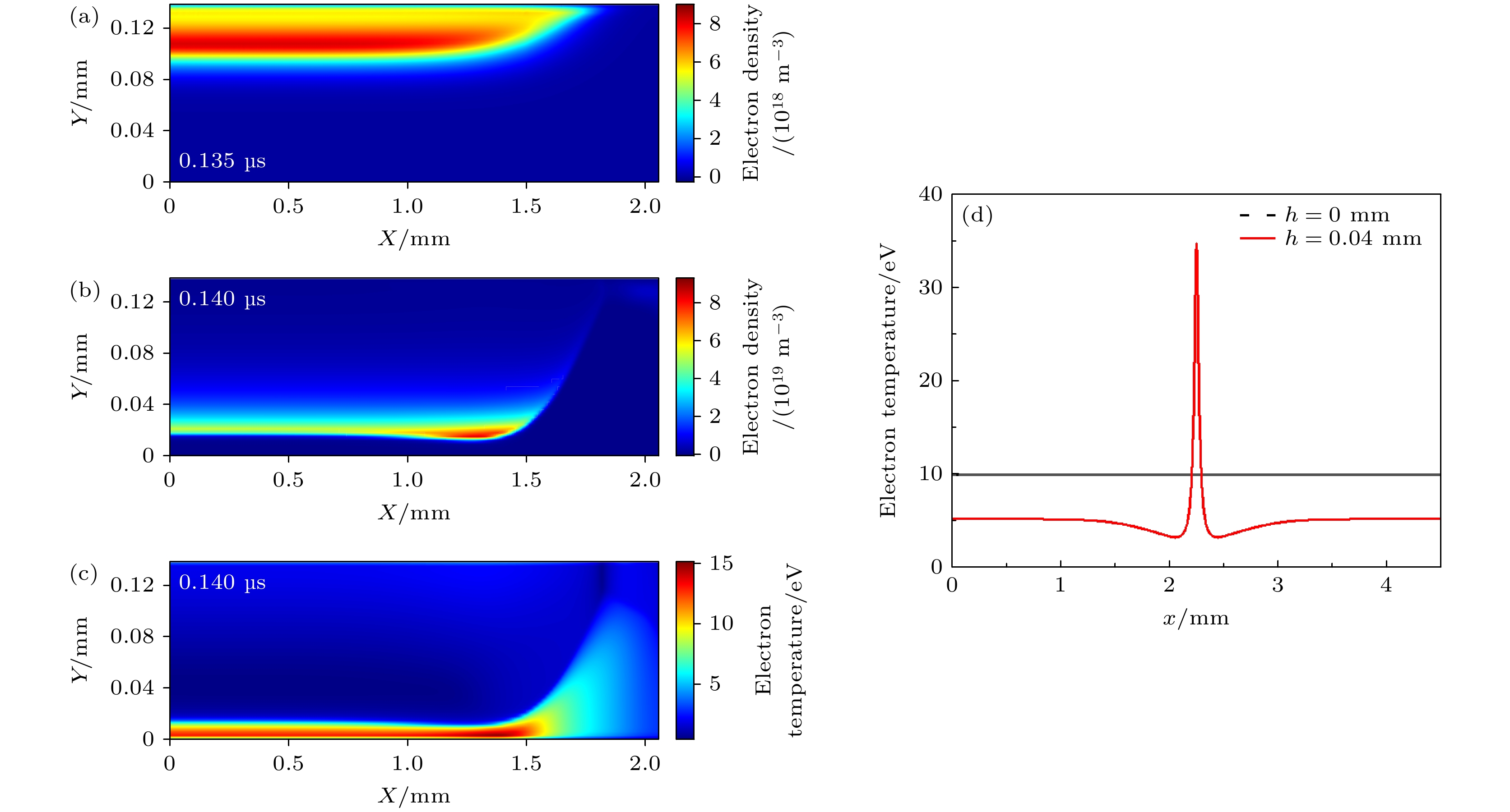
图 2 (a1)—(a3) 电晕空间0.131, 0.135, 0.140 μs电子密度空间演化; (b) 0.140 μs“类电晕空间”电子温度空间分布; (c) y = 0.006 mm, 0.135 μs的纵向电场(Ey)分布; (d) y = 0.006 mm, 0.135 μs的纵向通量及正负粒子的空间分布; (e1), (e2) 放电过程中的横向电场(Ex)及横向迁移
Figure 2. (a1)–(a3) Evolution of spatial electron distribution in corona space at 0.131, 0.135, 0.140 μs; (b) electron energy in corona space at 0.140 μs; (c) the Ey along y = 0.006 mm at 0.135 μs; (d) longitudinal flux and the spatial distribution of positive and negative particles; (e1), (e2) the Ex and transverse flux during the discharge process.
图 4 (a) 平行板结构及表面微结构凸起高度h = 0.04 mm的空间平均氧原子数密度; (b) 产生氧原子反应的反应速率和电子温度变化; (c) 与平行板结构相比表面凸起微结构h = 0.04 mm时氧原子的增强与减弱区
Figure 4. (a) The spatial average oxygen density of the parallel plate structure and the surface micro-structure protrusions with a height of h = 0.04 mm; (b) reaction rate and electron temperature dependence in oxygen atom production; (c) enhanced and weakened regions of oxygen compared with parallel plate discharge.
图 5 (a) 电子密度和电流密度幅值随凸起高度的变化; (b) y = 0.02 mm横向电场随高度的变化; (c) 空间平均氧原子数密度及高能电子数量占比随h的变化; (d) h = 0 mm, h = 0.11 mm上升沿电压电流密度
Figure 5. (a) The variation of peak electron and current densities with h; (b) the variation of Ex with h along y = 0.02 mm; (c) the variation of spatial average oxygen density and the proportion of high-energy electrons with h; (d) the rising edge of voltage and current density at h = 0 mm and h = 0.11 mm.
图 6 (a1), (a2) h = 0.08 mm, 0.157 μs二次放电的电子密度空间分布; (b1), (b2) h = 0.11 mm, 0.151 μs二次放电的电子密度空间分布; (c), (d) 空间电场分布
Figure 6. (a1), (a2) Spatial electron density distribution when h = 0.08 mm and 0.157 μs; (b1), (b2) spatial electron density distribution when h = 0.11 mm and 0.151 μs; (c), (d) spatial electric field distribution.
反应 反应速率 反应 反应速率 e + O2 → O– + O f(Te) e + O2 → O2(a1Δg) + e $ 1.7 \times {10}^{-15}\exp \left(-{3.1}/{{T}_{\rm e}}\right) $ e + O2(a1Δg) → O2 + e $ 5.6 \times {10}^{-15}\exp \left(-{2.2}/{{T}_{\rm e}}\right) $ e + O2 → O + O(1D) + e $ 5.0 \times {10}^{-14}\exp \left(-{8.4}/{{T}_{\rm e}}\right) $ e + O → O(1D) + e $ 4.2 \times {10}^{-15}\exp \left(-{2.25}/{{T}_{\rm e}}\right) $ $\rm e + O_2 → O_2^ + + 2e $ f(Te) e + O2 → 2O + e $ 4.2 \times {10}^{-14}\exp \left(-{5.6}/{{T}_{\rm e}}\right) $ e + O(1D) → O + e $ 8.17 \times {10}^{-15}\exp \left(-{0.4}/{{T}_{\rm e}}\right) $ e + O2 → O– + O + + e $ 7.1 \times {10}^{-17}{T}_{\mathrm{e}}^{0.5}\exp \left(-{17}/{{T}_{\rm e}}\right) $ e + O → O + + 2e f(Te) e + O2 → O + + O + 2e $ 1.0 \times {10}^{-16}{T}_{\mathrm{e}}^{0.9}\exp \left(-{20}/{{T}_{\rm e}}\right) $ e + O2 → O2 + e f(Te) e + O(1D) → O + + 2e $ 9.0 \times {10}^{-16}{T}_{\mathrm{e}}^{0.7}\exp \left(-{11.6}/{{T}_{\rm e}}\right) $ e + O2(a1Δg) → O– + O $ 2.3 \times {10}^{-16}{T}_{\mathrm{e}}^{2}\exp \left(-{2.29}/{{T}_{\rm e}}\right) $ $ {\mathrm{e}} + {\mathrm{O}}_2({\mathrm{a}}^1\Delta_{\mathrm{g}})\to{\mathrm{O}}_2^ + + 2{\mathrm{e}} $ $ 2.3 \times {10}^{-16}{T}_{\mathrm{e}}^{1.03}\exp \left(-{11.31}/{{T}_{\rm e}}\right) $ e + O2(a1Δg) → 2O + e $ 4.2 \times {10}^{-16}\exp \left(-{4.6}/{{T}_{\rm e}}\right) $ e+O2(a1Δg) → O+O+ +2e $ 1.0 \times {10}^{-16}{T}_{\mathrm{e}}^{1}\exp \left(-{15.83}/{{T}_{\rm e}}\right) $ e + O– → O + 2e f(Te) $\rm e + O_2^ + \to O + O(^1D) $ $ 2.2 \times {10}^{-14}{T}_{\mathrm{e}}^{-0.5} $ $\rm e + O_2^ + \to 2O $ $ 1.2 \times {10}^{-14}{T}_{\mathrm{e}}^{-0.7} $ $\rm e + O_3\to O_2^- + O $ $ 9.76 \times {10}^{-16}{T}_{\mathrm{e}}^{-1.26}\exp \left(-{0.95}/{{T}_{\rm e}}\right) $ e + O3 → O2 + O + e $ 1.42 \times {10}^{-14}{T}_{\mathrm{e}}^{-0.68}\exp \left(-{2.6}/{{T}_{\rm e}}\right) $ O– + O → O2 + e $ 2.3 \times {10}^{-16}{\left({{T}_{{\rm g}}}/{300}\right)}^{-1.3} $ O– + O2 → O3 + e 5.0×10–21 O– + O2(a1Δg) → O3 + e 6.1×10–17 ${\mathrm{O}}_2^- + {\mathrm{O}}_2({\mathrm{a}}^1\Delta_{\mathrm{g}})\to 2{\mathrm{O}}_2 + {\mathrm{e}} $ $ 2.0 \times {10}^{-16}{\left({{T}_{{\rm g}}}/{300}\right)}^{0.5} $ $\rm O + O_2^-\to O_3 + e $ $ 8.5 \times {10}^{-17}{\left({{T}_{{\rm g}}}/{300}\right)}^{-1.8} $ $\rm O_2 + O^ + \to O_2^ + + O $ $ 2.1 \times {10}^{-17}{\left({{T}_{{\rm g}}}/{300}\right)}^{-0.4} $ O2– + O → O– + O2 3.3×10–16 ${\mathrm{O}}^- + {\mathrm{O}}_2({\mathrm{a}}^1\Delta_{\mathrm{g}})\to {\mathrm{O}}_2^- + {\mathrm{O}} $ 1.0×10–16 $\rm O^- + O_2^ + \to O_2 + O $ $ 1.61 \times {10}^{-14}{\left({{T}_{{\rm g}}}/{300}\right)}^{-1.1} $ $\rm O^- + O_2^ + \to 3O $ $ 1.61 \times {10}^{-14}{\left({{T}_{{\rm g}}}/{300}\right)}^{-1.1} $ O– + O + → 2O $ 2.0 \times {10}^{-13}{\left({{T}_{{\rm g}}}/{300}\right)}^{-1} $ O– + O3 → e + 2O2 3.0×10–16 $\rm O^- + O_3\to O_2 + O_2^- $ 1.0×10–17 $\rm O_2^ + + O^- + O_2\to O + 2O_2 $ $ 1.0 \times {10}^{-37}{\left({{T}_{{\rm g}}}/{300}\right)}^{-2.5} $ $\rm O_2^ + + O^- + O_2\to O_3 + O_2 $ $ 1.0 \times {10}^{-37}{\left({{T}_{{\rm g}}}/{300}\right)}^{-2.5} $ $\rm O_2^ + + O_2^- + O_2 → 3O_2 $ $ 1.0 \times {10}^{-37}{\left({{T}_{{\rm g}}}/{300}\right)}^{-2.5} $ $\rm O_2^- + O_2^ + \to 2O_2 $ $ 1.6 \times {10}^{-14}{\left({{T}_{{\rm g}}}/{300}\right)}^{-1.1} $ $\rm O_2^- + O_2^ + \to 2O + O_2 $ $ 1.6 \times {10}^{-14}{\left({{T}_{{\rm g}}}/{300}\right)}^{-1.1} $ $\rm O_2^- + O^ + \to O + O_2 $ $ 2.0 \times {10}^{-13}{\left({{T}_{{\rm g}}}/{300}\right)}^{-0.5} $ O + O2 + O2 → O3 + O2 $ 1.8 \times {10}^{-46}{\left({{T}_{{\rm g}}}/{300}\right)}^{-2.6} $ O2(a1Δg) + O → O2 + O 1.3×10–22 O + O + O → O + O2 $ 3.8 \times {10}^{-44}\left({{T}_{{\rm g}}}/{300}\right)\exp \left({-170}/{{T}_{{\rm g}}}\right) $ O + O + O2 → O3 + O $ 4.2 \times {10}^{-47}\left({1050}/{{T}_{{\rm g}}}\right) $ O(1D) + O2 → O + O2 $ 7.0 \times {10}^{-18}\left(-{67}/{{T}_{{\rm g}}}\right) $ O(1D) + O3 → 2O2 1.2×10–16 O(1D) + O3 → 2O2(a1Δg) 2.5×10–16 O(1D) + O3 → O2 + O2(a1Δg) 2.5×10–16 O(1D) + O3 → 2O + O2 2.5×10–16 O2 + O2(a1Δg) → 2O2 $ 3.6 \times {10}^{-24}\exp \left(-{220}/{{T}_{{\rm g}}}\right) $ O2(a1Δg) + O3 → 2O2 + O $ 5.2 \times {10}^{-17}\exp \left(-{2840}/{{T}_{{\rm g}}}\right) $ O2(a1Δg) + O3 → O2 + O3 $ 4.55 \times {10}^{-17}\exp \left(-{2810}/{{T}_{{\rm g}}}\right) $ O3 + O3 → O2 + O + O3 $ 1.65 \times {10}^{-15}\exp \left(-{11435}/{{T}_{{\rm g}}}\right) $ O3 + O3 → 3O2 $ 7.47 \times {10}^{-18}\exp \left(-{9310}/{{T}_{{\rm g}}}\right) $ O3 + O2 → 2O2 + O $ 1.56 \times {10}^{-15}\exp \left(-{11490}/{{T}_{{\rm g}}}\right) $ O3 + O → 2O2 $ 1.80 \times {10}^{-17}\exp \left(-{2300}/{{T}_{{\rm g}}}\right) $ $\rm O_3 + O^-\to O_3^- + O $ $ 1.99 \times {10}^{-16}{\left({300}/{{T}_{{\rm g}}}\right)}^{-0.5} $ $\rm O_3 + O_2^-\to O_2 + O_3^- $ $ 6.0 \times {10}^{-16}{\left({300}/{{T}_{{\rm g}}}\right)}^{-0.5} $ $\rm O_3^- + O_2^ + \to O_2 + O_3 $ $ 2.0 \times {10}^{-13}{\left({{T}_{{\rm g}}}/{300}\right)}^{-1} $ $\rm O_3^- + O_2^ + \to 2O + O_3 $ 1.0×10–13 $\rm O_3^- + O^ + \to O + O_3 $ $ 2.0 \times {10}^{-13}{\left({{T}_{{\rm g}}}/{300}\right)}^{-1} $ $\rm O_3^- + O\to O_2^- + O_2 $ $ 2.5 \times {10}^{-16}{\left({300}/{{T}_{{\rm g}}}\right)}^{-0.5} $ $\rm O_3^- + O\to 2O_2 + e $ 3×10–16 注: f(Te)表示该截面适用于相关反应; 二体反应的反应速率常数单位为m3/s, 三体反应的反应速率常数单位为m6/s; Te是电子温度单位为eV, Tg温度单位为K -
[1] He S J, Zhao L F, Ha J, Fan W L, Li Q 2023 Phys. Scr. 98 015615
Google Scholar
[2] 赵立芬, 哈静, 王非凡, 李庆, 何寿杰 2022 物理学报 71 025201
Google Scholar
Zhao L F, Ha J, Wang F F, Li Q, He S J 2022 Acta Phys. Sin. 71 025201
Google Scholar
[3] Torbin A P, Demyanov A V, Kochetov I V, Mikheyev P A, Mebel A M 2022 Plasma Sources Sci. Technol. 31 035017
Google Scholar
[4] 戴芳博, 袁健美, 许凯燕, 郭政, 赵洪泉, 毛宇亮 2021 物理学报 70 178502
Google Scholar
Dai F B, Yuan J M, Xu K Y, Guo Z, Zhao H Q, Mao Y L 2021 Acta Phys. Sin. 70 178502
Google Scholar
[5] 张海洋 2018 等离子体蚀刻及其在大规模集成电路制造中的应用(北京: 清华大学出版社)第100—110页
Zhang H Y 2018 Plasma Etching and Its Application in Large Scale Integrated Circuit Manufacturing ((Beijing: Tsinghua University Press) pp100–110
[6] Benyamina M, Belasri A, Khodja K 2014 Ozone: Science & Engineering 36 253
[7] Vass M, Wilczek S, Lafleur T, Brinkmann R P, Donkó Z, Schulze J 2020 Plasma Sources Sci. Technol. 29 025019
Google Scholar
[8] Komuro A, Yoshino A, Wei Z, Ono R 2023 J. Phys. D: Appl. Phys. 56 185201
Google Scholar
[9] Zhang X X, Xiao H Y, Hu X X, Zhang Y 2018 IEEE Trans. Plasma Sci. 46 563
Google Scholar
[10] Mao X Q, Zhong H T, Zhang T H, Starikovskiy A, Ju Y G 2022 Combust. Flame 240 112046
Google Scholar
[11] Fang J L, Zhang Y Y, Lu C Z, Gu L L, Xu S F, Guo Y, Shi J J 2024 Chin. Phys. B 33 015201
Google Scholar
[12] 刘凯, 方泽, 戴栋 2023 物理学报 72 135201
Google Scholar
Liu K, Fang Z, Dai D 2023 Acta Phys. Sin. 72 135201
Google Scholar
[13] Li M, Zhu B, Yan Y, Li T, Zhu Y M 2018 Plasma Chem. Plasma Process. 38 1063
Google Scholar
[14] Liu S, Li J M, Zeng Y Y, Chi F T, Xiao C J 2022 Curr. Appl. Phys. 44 12
Google Scholar
[15] Zhou J C, Liao J, Huang J, Chen T Z, Lv B W, Peng Y C 2022 Vacuum 195 110678
Google Scholar
[16] Wang X P, Shao T Q, Qin J Y, Li Y L, Long X, Jiang D B, Ding J G 2024 Ozone: Sci. Eng. 46 345
Google Scholar
[17] Gu L L, Zhang Y Y, Fang J L, Xu S F, Guo Y, Shi J J 2023 Phys. Plasmas 30 103503
Google Scholar
[18] Pokrovskii V S, Repin P B, Trushkina A N 2020 Tech. Phys. 65 182
Google Scholar
[19] Zhu M, Hu S Y, Zhang Y H, Wu S Q, Zhang C H 2022 Plasma Sci. Technol. 24 065401
Google Scholar
[20] Mujahid Z ul I, Kruszelnicki J, Hala A, Kushner M J 2020 Chem. Eng. J 382 123038
Google Scholar
[21] Mujahid Z ul I, Korolov I, Liu Y, Mussenbrock T, Schulze J 2022 J. Phys. D: Appl. Phys. 55 495201
Google Scholar
[22] Jodpimai S, Boonduang S, Limsuwan P 2015 J. Electrostat. 74 108
Google Scholar
[23] Berger B, Mujahid Z, Neuroth C, Azhar M, Wang L, Zhang Q Z, Mussenbrock T, Korolov I, Schulze J 2024 Plasma Sources Sci. Technol. 33 125011
Google Scholar
[24] Fang J J, Gu B B, Xu S F, Mei Y F, Guo Y, Shi J J 2025 Appl. Phys. Lett. 127 074101
Google Scholar
[25] Polonskyi O, Hartig T, Uzarski J R, Gordon M J 2021 Appl. Phys. Lett. 119 211601
Google Scholar
[26] Walsh J L, Iza F, Janson N B, Law V J, Kong M G 2010 J. Phys. D: Appl. Phys. 43 075201
Google Scholar
[27] Liu Y, Korolov I, Trieschmann J, et al. 2021 Plasma Sources Sci. Technol. 30 064001
Google Scholar
[28] Park G, Lee H, Kim G, Lee J K 2008 Plasma Processes Polym. 5 569
Google Scholar
[29] Lazzaroni C, Chabert P 2016 Plasma Sources Sci. Technol. 25 065015
Google Scholar
[30] Hsu C C, Nierode M A, Coburn J W, Graves D B 2006 J. Phys. D: Appl. Phys. 39 3272
Google Scholar
[31] Mennad B, Harrache Z, Amir Aid D, Belasri A 2010 Curr. Appl. Phys. 10 1391
Google Scholar
[32] Stafford D S, Kushner M J 2004 J. Appl. Phys. 96 2451
Google Scholar
[33] Sakiyama Y, Graves D B, Chang H W, Shimizu T, Morfill G E 2012 J. Phys. D: Appl. Phys. 45 425201
Google Scholar
[34] He J, Zhang Y T 2012 Plasma Processes Polym. 9 919
Google Scholar
[35] Jeong S Y, Nam W J, Lee J K, Yun G S 2018 J. Phys. D: Appl. Phys. 51 454001
Google Scholar
[36] Yanallah K, Pontiga F, Fernández-Rueda A, Castellanos A, Belasri A 2008 J. Phys. D: Appl. Phys. 41 195206
Google Scholar
[37] Bogdanov E A, Kudryavtsev A A, Tsendin L D, Arslanbekov R R, Kolobov V I, Kudryavtsev V V 2003 Tech. Phys. 48 983
Google Scholar
[38] Gaens W V, Bogaerts A 2013 J. Phys. D: Appl. Phys. 46 275201
Google Scholar
Catalog
Metrics
- Abstract views: 206
- PDF Downloads: 7
- Cited By: 0









DownLoad: