-
In this work, we use computer simulations to examine how an asymmetric gear can be driven by Brownian particles that interact in a non-reciprocal manner. Unlike many active matter systems, the particles are not self-propelled. Instead, the non-reciprocal interactions break action-reaction symmetry and produce a net force that drives the system out of equilibrium. The gear has an asymmetric shape, which helps select a preferred direction of rotation. We find that the rotation direction of the gear is influenced by both the asymmetry and parameters of system. When system parameters are identical, gears with two structures of opposite chirality exhibit equal magnitudes of average angular velocity, differing only in their rotational directions. For a specific gear, the rotation speed increases as the strength of the non-reciprocal interaction increases and shows non-monotonic dependence on temperature and particle density. Interestingly, under high density conditions, the rotation direction can reverse. At low temperatures, particle clusters form, resulting in reversed motion, whereas higher temperatures restore the rotation in the original direction. This work illustrates how non-reciprocal interactions can be used to generate directed motion in passive structures such as gears. It offers one possible approach to controlling motion in small-scale systems without external energy input, and may contribute to the design of simple nanoscale machines. -
Keywords:
- Brownian particles /
- gear /
- nonreciprocal interaction /
- directed transport
[1] Oster G 2002 Nature 417 25
Google Scholar
[2] Schweitzer F, Ebeling W, Tilch B 1998 Phys. Rev. Lett. 80 5044
Google Scholar
[3] Astumian R D 1997 Science 276 917
Google Scholar
[4] Rousselet J, Salome L, Ajdari A, Prost J 1994 Nature 370 446
Google Scholar
[5] Astumian R D, Hänggi P 2002 Phys. Today 55 33
Google Scholar
[6] Hänggi P, Marchesoni F 2009 Rev. Mod. Phys. 81 387
Google Scholar
[7] Reimann P 2002 Phys. Rep. 361 57
Google Scholar
[8] Reichhardt C J O, Reichhardt C 2017 Annu. Rev. Condens. Matter Phys. 8 51
Google Scholar
[9] 张顺欣, 王硕, 刘雪, 王新占, 刘富成, 贺亚峰 2025 物理学报 74 075202
Google Scholar
Zhang S X, Wang S, Liu X, Wang X Z, Liu F C, He Y F 2025 Acta Phys. Sin. 74 075202
Google Scholar
[10] Lou X, Yu N, Chen K, Zhou X, Podgornik R, Yang M C 2021 Chin. Phys. B 30 114702
Google Scholar
[11] Farkas Z, Tegzes P, Vukics A, Vicsek T 1999 Phys. Rev. E 60 7022
Google Scholar
[12] Wambaugh J F, Reichhardt C, Olson C J 2002 Phys. Rev. E 65 031308
Google Scholar
[13] Galajda P, Keymer J, Chaikin P, Austin R 2007 J. Bacteriol. 189 8704
Google Scholar
[14] Wan M B, Reichhardt C J O, Nussinov Z, Reichhardt C 2008 Phys. Rev. Lett. 101 018102
Google Scholar
[15] Angelani L, Di Leonardo R, Ruocco G 2009 Phys. Rev. Lett. 102 048104
Google Scholar
[16] Di Leonardo R, Angelani L, Dell'Arciprete D, Ruocco G, Iebba V, Schippa S, Conte M P, Mecarini F, De Angelis F, Di Fabrizio E 2010 Proc. Natl. Acad. Sci. U.S.A. 107 9541
Google Scholar
[17] Sokolov A, Apodaca M M, Grzybowski B A, Aranson I S 2010 Proc. Natl. Acad. Sci. U. S. A. 107 969
Google Scholar
[18] Kojima M, Miyamoto T, Nakajima M, Homma M, Arai T, Fukuda T 2015 Sens. Actuator B-Chem. 222 1220
Google Scholar
[19] Li H, Zhang H P 2013 EPL 102 50007
Google Scholar
[20] Reichhardt C, Ray D, Reichhardt C J O 2015 New J. Phys. 17 073034
Google Scholar
[21] Yang M C, Ripoll M 2014 Soft Matter 10 1006
Google Scholar
[22] Chaté H, Ginelli F, Grégoire G, Peruani F, Raynaud F 2008 Eur. Phys. J. B 64 451
Google Scholar
[23] Ramaswamy S 2010 Annu. Rev. Condens. Matter Phys. 1 323
Google Scholar
[24] Marchetti M C, Joanny J F, Ramaswamy S, Liverpool T B, Prost J, Rao M, Simha R A 2013 Rev. Mod. Phys. 85 1143
Google Scholar
[25] Bechinger C, Di Leonardo R, Löwen H, Reichhardt C, Volpe G, Volpe G 2016 Rev. Mod. Phys. 88 45006
Google Scholar
[26] You Z H, Baskaran A, Marchetti M C 2020 Proc. Natl. Acad. Sci. U. S. A. 117 19767
Google Scholar
[27] Ivlev A V, Bartnick J, Heinen M, Du C R, Nosenko V, Löwen H 2015 Phys. Rev. X 5 011035
Google Scholar
[28] Mandal R, Jaramillo S S, Sollich P 2024 Phys. Rev. E 109 L062602
Google Scholar
[29] Benois A, Jardat M, Dahirel V, Démery V, Agudo-Canalejo J, Golestanian R, Illien P 2024 Phys. Rev. E 108 054606
Google Scholar
[30] Meredith C H, Moerman P G, Groenewold J, Chiu Y J, Kegel W K, van Blaaderen A, Zarzar L D 2020 Nat. Chem. 12 1136
Google Scholar
[31] Kreienkamp K L, Klapp S H L 2022 New J. Phys. 24 123009
Google Scholar
[32] Gupta R K, Kant R, Soni H, Sood A K, Ramaswamy S 2022 Phys. Rev. E 105 064602
Google Scholar
[33] Chiu Y J, Omar A K 2023 J. Chem. Phys. 158 164903
Google Scholar
[34] Pigolotti S, Benzi R 2014 Phys. Rev. Lett. 112 188102
Google Scholar
[35] Long R A, Azam F 2001 Appl. Environ. Microbiol. 67 4975
Google Scholar
[36] Xiong L Y, Cao Y S, Cooper R, Rappel W J, Hasty J, Tsimring L 2020 eLife 9 e48885
Google Scholar
[37] Yanni D, Márquez-Zacarías P, Yunker P J, Ratcliff W C 2019 Curr. Biol. 29 R545
Google Scholar
[38] Strandburg-Peshkin A, Twomey C R, Bode N W F, Kao A B, Katz Y, Ioannou C C, Rosenthal S B, Torney C J, Wu H S, Levin S A, Couzin I D 2013 Curr. Biol. 23 R709
Google Scholar
[39] Vicsek T, Zafeiris A 2012 Phys. Rep. 517 71
Google Scholar
[40] Helbing D, Molnár P 1995 Phys. Rev. E 51 4282
Google Scholar
[41] Helbing D, Farkas I, Vicsek T 2000 Nature 407 487
Google Scholar
[42] Bain N, Bartolo D 2019 Science 363 46
Google Scholar
[43] Gardi G, Sitti M 2023 Phys. Rev. Lett. 131 058301
Google Scholar
[44] Ahmadi B, Mazurek P, Horodecki P, Barzanjeh S 2024 Phys. Rev. Lett. 132 210402
Google Scholar
[45] Cocconi L, Alston H, Bertrand T 2023 Phys. Rev. Research 5 043032
Google Scholar
[46] Jones J E 1924 Proc. R. Soc. A 106 463
Google Scholar
[47] Ai B Q 2023 Phys. Rev. E 108 064409
Google Scholar
-
图 1 粒子-齿轮模型示意图以及非互易相互作用示意图 (a) 在具有周期性边界条件的二维箱中, 由非互易粒子(红色和蓝色圆盘)驱动的齿轮示意图; (b) 粒子A与B在不同$ {\varDelta } $值下的成对非互易相互作用示意图
Figure 1. Schematic of the particle-gear model and illustration of non-reciprocal interactions: (a) Schematic of a gear driven by non-reciprocal particles (red disks or blue disks) in a two-dimensional box with periodic boundary conditions; (b) illustration of pairwise non-reciprocal interactions between particle A and B for different $ {\varDelta } $.
图 2 齿轮平均角速度$ \omega $随非互易强度$ {\varDelta } $的变化关系 (a) 在温度$ T=1.0 $、填充分数$ \phi =0.1 $时两种手性相反的齿轮$ \omega $随$ {\varDelta } $的变化关系; (b) 齿轮的逆时针旋转机制图; (c) 反对称齿轮的顺时针旋转机制图
Figure 2. Dependence of the average angular velocity $ \omega $ on the non-reciprocal interaction strength $ {\varDelta } $: (a) The average angular velocity $ \omega $ as a function of the non-reciprocal interaction strength $ {\varDelta } $ for two chirally symmetric gears at $ T=1.0 $ and $ \phi =0.1 $; (b) mechanism of counterclockwise rotation in the gear; (c) mechanism of clockwise rotation in the antisymmetric gear.
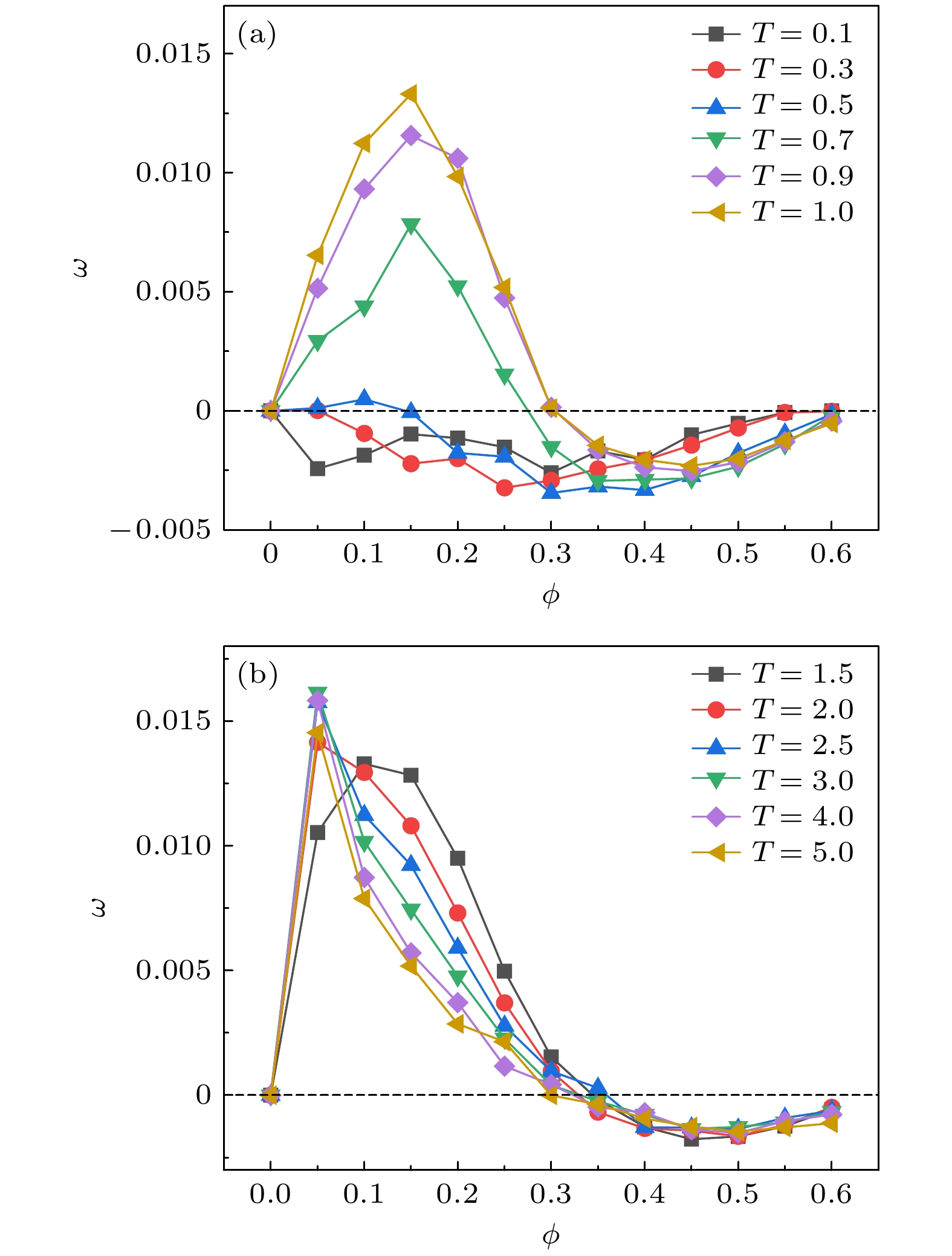
图 3 不同非互易强度$ {\varDelta } $下齿轮平均角速度$ \omega $随填充分数$ \phi $的变化关系 (a) 在温度$ T=1.0 $时, 不同$ {\varDelta } $下$ \omega $随$ \phi $的变化关系; (b) 在$ T=1.0 $, $ \phi =0.4 $, $ {\varDelta }=2.0 $条件下的模拟快照; (c) 密度诱导的齿轮顺时针旋转机制图
Figure 3. Dependence of the average angular velocity $ \omega $ on the packing fraction $ \phi $ for different non-reciprocal interaction strengths $ {\varDelta } $: (a) The average angular velocity $ \omega $ as a function of the packing fraction $ \phi $ for different $ {\varDelta } $ at $ T=1.0 $; (b) simulation snapshot at $ T=1.0 $, $ \phi =0.4 $ and $ {\varDelta }=2.0 $; (c) schematic of the density-induced clockwise rotation of the gear.
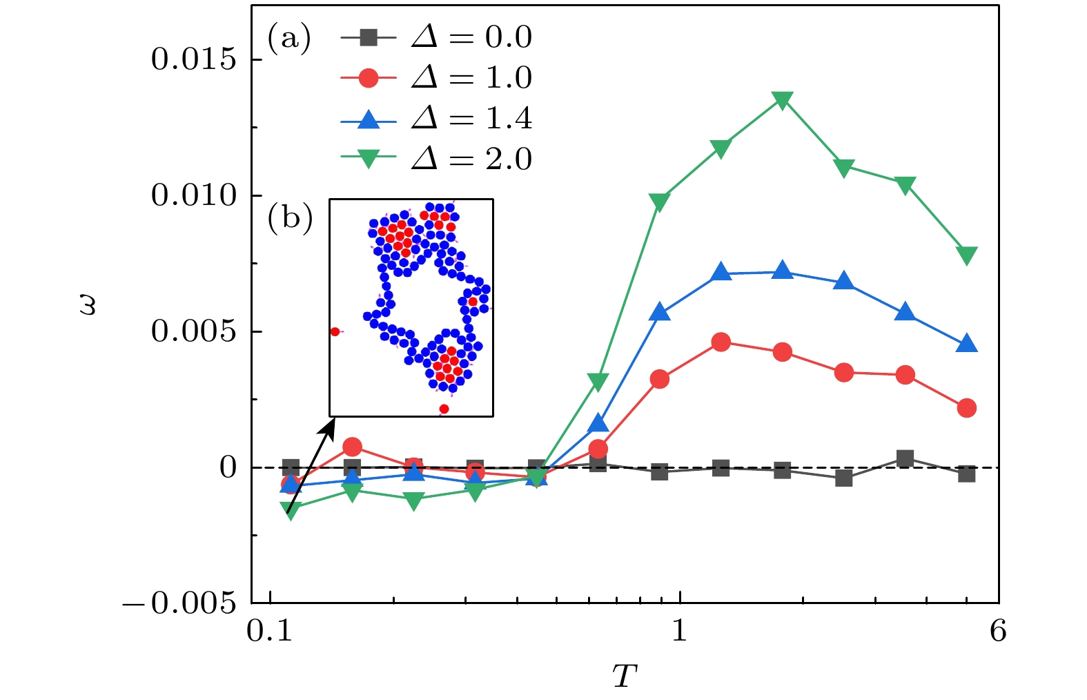
图 6 不同非互易强度$ {\varDelta } $下齿轮平均角速度$ \omega $随温度$ T $的变化关系 (a) 在填充分数$ \phi =0.1 $时, 不同$ {\varDelta } $下$ \omega $随$ T $的变化关系; (b) 在$ T=0.1 $, $ \phi =0.1 $, $ {\varDelta }=2.0 $条件下的模拟快照
Figure 6. Dependence of the average angular velocity $ \omega $ on the temperature $ T $ for different non-reciprocal interaction strengths $ {\varDelta } $: (a) The average angular velocity $ \omega $ as a function of the temperature $ T $ for different $ {\varDelta } $ at $ \phi =0.1 $; (b) simulation snapshot at $ T=0.1 $ and $ {\varDelta }=2.0 $.
表 1 不同填充分数对应的布朗粒子数
Table 1. Number of Brownian particles corresponding to different packing fractions.
$ \phi $ $ {N}_{\text{p}} $ $ \phi $ $ {N}_{\text{p}} $ 0.05 36 0.35 250 0.10 72 0.40 286 0.15 108 0.45 322 0.20 143 0.50 358 0.25 179 0.55 393 0.30 215 0.60 429 -
[1] Oster G 2002 Nature 417 25
Google Scholar
[2] Schweitzer F, Ebeling W, Tilch B 1998 Phys. Rev. Lett. 80 5044
Google Scholar
[3] Astumian R D 1997 Science 276 917
Google Scholar
[4] Rousselet J, Salome L, Ajdari A, Prost J 1994 Nature 370 446
Google Scholar
[5] Astumian R D, Hänggi P 2002 Phys. Today 55 33
Google Scholar
[6] Hänggi P, Marchesoni F 2009 Rev. Mod. Phys. 81 387
Google Scholar
[7] Reimann P 2002 Phys. Rep. 361 57
Google Scholar
[8] Reichhardt C J O, Reichhardt C 2017 Annu. Rev. Condens. Matter Phys. 8 51
Google Scholar
[9] 张顺欣, 王硕, 刘雪, 王新占, 刘富成, 贺亚峰 2025 物理学报 74 075202
Google Scholar
Zhang S X, Wang S, Liu X, Wang X Z, Liu F C, He Y F 2025 Acta Phys. Sin. 74 075202
Google Scholar
[10] Lou X, Yu N, Chen K, Zhou X, Podgornik R, Yang M C 2021 Chin. Phys. B 30 114702
Google Scholar
[11] Farkas Z, Tegzes P, Vukics A, Vicsek T 1999 Phys. Rev. E 60 7022
Google Scholar
[12] Wambaugh J F, Reichhardt C, Olson C J 2002 Phys. Rev. E 65 031308
Google Scholar
[13] Galajda P, Keymer J, Chaikin P, Austin R 2007 J. Bacteriol. 189 8704
Google Scholar
[14] Wan M B, Reichhardt C J O, Nussinov Z, Reichhardt C 2008 Phys. Rev. Lett. 101 018102
Google Scholar
[15] Angelani L, Di Leonardo R, Ruocco G 2009 Phys. Rev. Lett. 102 048104
Google Scholar
[16] Di Leonardo R, Angelani L, Dell'Arciprete D, Ruocco G, Iebba V, Schippa S, Conte M P, Mecarini F, De Angelis F, Di Fabrizio E 2010 Proc. Natl. Acad. Sci. U.S.A. 107 9541
Google Scholar
[17] Sokolov A, Apodaca M M, Grzybowski B A, Aranson I S 2010 Proc. Natl. Acad. Sci. U. S. A. 107 969
Google Scholar
[18] Kojima M, Miyamoto T, Nakajima M, Homma M, Arai T, Fukuda T 2015 Sens. Actuator B-Chem. 222 1220
Google Scholar
[19] Li H, Zhang H P 2013 EPL 102 50007
Google Scholar
[20] Reichhardt C, Ray D, Reichhardt C J O 2015 New J. Phys. 17 073034
Google Scholar
[21] Yang M C, Ripoll M 2014 Soft Matter 10 1006
Google Scholar
[22] Chaté H, Ginelli F, Grégoire G, Peruani F, Raynaud F 2008 Eur. Phys. J. B 64 451
Google Scholar
[23] Ramaswamy S 2010 Annu. Rev. Condens. Matter Phys. 1 323
Google Scholar
[24] Marchetti M C, Joanny J F, Ramaswamy S, Liverpool T B, Prost J, Rao M, Simha R A 2013 Rev. Mod. Phys. 85 1143
Google Scholar
[25] Bechinger C, Di Leonardo R, Löwen H, Reichhardt C, Volpe G, Volpe G 2016 Rev. Mod. Phys. 88 45006
Google Scholar
[26] You Z H, Baskaran A, Marchetti M C 2020 Proc. Natl. Acad. Sci. U. S. A. 117 19767
Google Scholar
[27] Ivlev A V, Bartnick J, Heinen M, Du C R, Nosenko V, Löwen H 2015 Phys. Rev. X 5 011035
Google Scholar
[28] Mandal R, Jaramillo S S, Sollich P 2024 Phys. Rev. E 109 L062602
Google Scholar
[29] Benois A, Jardat M, Dahirel V, Démery V, Agudo-Canalejo J, Golestanian R, Illien P 2024 Phys. Rev. E 108 054606
Google Scholar
[30] Meredith C H, Moerman P G, Groenewold J, Chiu Y J, Kegel W K, van Blaaderen A, Zarzar L D 2020 Nat. Chem. 12 1136
Google Scholar
[31] Kreienkamp K L, Klapp S H L 2022 New J. Phys. 24 123009
Google Scholar
[32] Gupta R K, Kant R, Soni H, Sood A K, Ramaswamy S 2022 Phys. Rev. E 105 064602
Google Scholar
[33] Chiu Y J, Omar A K 2023 J. Chem. Phys. 158 164903
Google Scholar
[34] Pigolotti S, Benzi R 2014 Phys. Rev. Lett. 112 188102
Google Scholar
[35] Long R A, Azam F 2001 Appl. Environ. Microbiol. 67 4975
Google Scholar
[36] Xiong L Y, Cao Y S, Cooper R, Rappel W J, Hasty J, Tsimring L 2020 eLife 9 e48885
Google Scholar
[37] Yanni D, Márquez-Zacarías P, Yunker P J, Ratcliff W C 2019 Curr. Biol. 29 R545
Google Scholar
[38] Strandburg-Peshkin A, Twomey C R, Bode N W F, Kao A B, Katz Y, Ioannou C C, Rosenthal S B, Torney C J, Wu H S, Levin S A, Couzin I D 2013 Curr. Biol. 23 R709
Google Scholar
[39] Vicsek T, Zafeiris A 2012 Phys. Rep. 517 71
Google Scholar
[40] Helbing D, Molnár P 1995 Phys. Rev. E 51 4282
Google Scholar
[41] Helbing D, Farkas I, Vicsek T 2000 Nature 407 487
Google Scholar
[42] Bain N, Bartolo D 2019 Science 363 46
Google Scholar
[43] Gardi G, Sitti M 2023 Phys. Rev. Lett. 131 058301
Google Scholar
[44] Ahmadi B, Mazurek P, Horodecki P, Barzanjeh S 2024 Phys. Rev. Lett. 132 210402
Google Scholar
[45] Cocconi L, Alston H, Bertrand T 2023 Phys. Rev. Research 5 043032
Google Scholar
[46] Jones J E 1924 Proc. R. Soc. A 106 463
Google Scholar
[47] Ai B Q 2023 Phys. Rev. E 108 064409
Google Scholar
Catalog
Metrics
- Abstract views: 559
- PDF Downloads: 10
- Cited By: 0









DownLoad: