-
In this work, we investigate the delocalization-localization transition of Floquet eigenstates in a driven chain with an incommensurate Aubry-André (AA) on-site potential and a small non-reciprocal hopping term that is driven periodically in time. The driving protocol is chosen such that the Floquet Hamiltonian corresponds to a localized phase in the high-frequency limit and a delocalized phase in the low-frequency limit. By numerically calculating the inverse participation ratio and the fractal dimension $D_q$, we identify a clear delocalization-localization transition of the Floquet eigenstates at a critical frequency $\omega_{\rm c}\approx0.318\pi$. This transition aligns with the real-to-complex spectrum transition of the Floquet Hamiltonian. For the driven frequency $\omega>\omega_{\mathrm{c}}$, the system resides in a localized phase, and we observe the emergence of CAT states—linear superposition of localized single particle states—in the Floquet spectrum. These states exhibit weight distributions concentrated around a few nearby sites of the chain, forming two peaks of unequal weight due to the non-reciprocal effect, distinguishing them from the Hermitic case. In contrast, for $\omega<\omega_{\mathrm{c}}$, we identify the presence of a mobility edge over a range of driving frequencies, separating localized states (above the edge) from multifractal and extended states (below the edge). Notably, multifractal states are observed in the Floquet eigenspectrum across a broad frequency range. Importantly, we highlight that the non-driven, non-reciprocal AA model does not support multifractal states nor a mobility edge in its spectrum. Thus, our findings reveal unique dynamical signatures that do not exist in the non-driven non-Hermitian scenario, providing a fresh perspective on the localization properties of periodically driven systems. Finally, we provide a possible circuit experiment scheme for the periodically driven non-reciprocal AA model. In the following work, we will extend our research to clean systems, such as Stark models, to explore the influence of periodic driving on their localization properties.
-
Keywords:
- periodically driven system /
- localization /
- mobility edge /
- non-reciprocal system
[1] Anderson P W 1958 Phys. Rev. 109 1492
Google Scholar
[2] Tang L Z, Zhang G Q, Zhang L F, Zhang D W 2021 Phys. Rev. A 103 033325
Google Scholar
[3] Schulz M, Hooley C A, Moessner R, Pollmann F 2019 Phys. Rev. Lett. 122 040606
Google Scholar
[4] Lin X S, Chen X M, Guo G C, Gong M 2023 Phys. Rev. B 108 174206
Google Scholar
[5] Dai Q, Lu Z P, Xu Z H 2023 Phys. Rev. B 108 144207
Google Scholar
[6] Liu H, Lu Z P, Xia X, Xu Z H 2024 New J. Phys. 26 093007
Google Scholar
[7] Li H, Dong Z L, Longhi S, Liang Q, Xie D Z, Yan B 2022 Phys. Rev. Lett. 129 220403
Google Scholar
[8] Ganeshan S, Pixley J H, Das Sarma S 2015 Phys. Rev. Lett. 114 146601
Google Scholar
[9] Aditya S, Sengupta K, Sen D 2023 Phys. Rev. B 107 035402
Google Scholar
[10] Qi R, Cao J P, Jiang X P 2023 Phys. Rev. B 107 224201
Google Scholar
[11] Zuo Z W, Kang D W 2022 Phys. Rev. A 106 013305
Google Scholar
[12] Xu Z H, Xia X, Chen S 2021 Phys. Rev. B 104 224204
Google Scholar
[13] Wang Y C, Xia X, Zhang L, Yao H P, Chen S, You J G, Zhou Q, Liu X J 2020 Phys. Rev. Lett. 125 196604
Google Scholar
[14] Tang Q Y, He Y 2024 Phys. Rev. B 109 224204
Google Scholar
[15] Zhou L W 2021 Phys. Rev. Res. 3 033184
Google Scholar
[16] Liu J H, Xu Z H 2023 Phys. Rev. B 108 184205
Google Scholar
[17] Lin Q, Li T Y, Xiao L, Wang K K, Yi W, Xue P 2022 Nat. Commun. 13 3229
Google Scholar
[18] Hatano N, Nelson D R 1996 Phys. Rev. Lett. 77 570
Google Scholar
[19] Hatano N, Nelson D R 1997 Phys. Rev. B 56 8651
Google Scholar
[20] Zhou L W, Wang Q H, Wang H L, Gong J B 2018 Phys. Rev. A 98 022129
Google Scholar
[21] Zhou L W, Gong J B 2018 Phys. Rev. A 97 063603
Google Scholar
[22] Tiwari V, Bhakuni D S, Sharma A 2024 Phys. Rev. B 109 L161104
Google Scholar
[23] Ji C R, Zhou S D, Xie A, Jiang Z Y, Sheng X H, Ding L, Ke Y G, Wang H Q, Zhuang S L 2023 Phys. Rev. B 108 054310
Google Scholar
[24] Mukherjee B, Sen A, Sen D, Sengupta K 2016 Phys. Rev. B 94 155122
Google Scholar
[25] Mukherjee B, Mohan P, Sen D, Sengupta K 2018 Phys. Rev. B 97 205415
Google Scholar
[26] Mukherjee B 2018 Phys. Rev. B 98 235112
Google Scholar
[27] Yang K, Zhou L W, Ma W C, Kong X, Wang P F, Qin X, Rong X, Wang Y, Shi F Z 2019 Phys. Rev. B 100 085308
Google Scholar
[28] Zhou L W, Du Q Q 2021 New J. Phys. 23 063041
Google Scholar
[29] Zhou L W 2019 Phys. Rev. B 100 184314
Google Scholar
[30] Else D V, Bauer B, Nayak C 2016 Phys. Rev. Lett. 117 090402
Google Scholar
[31] Mukherjee B, Nandy S, Sen A, Sen D, Sengupta K 2020 Phys. Rev. B 101 245107
Google Scholar
[32] Mukherjee B, Sen A, Sen D, Sengupta K 2020 Phys. Rev. B 102 014301
Google Scholar
[33] Liu H, Xiong T S, Zhang W, An J H 2019 Phys. Rev. A 100 023622
Google Scholar
[34] Wu H, An J H 2020 Phys. Rev. B 102 041119
Google Scholar
[35] Wu H, An J H 2022 Phys. Rev. B 105 L121113
Google Scholar
[36] Bai S Y, An J H 2020 Phys. Rev. A 102 060201
Google Scholar
[37] Sarkar M, Ghosh R, Sen A, Sengupta K 2021 Phys. Rev. B 103 184309
Google Scholar
[38] Sarkar M, Ghosh R, Sen A, Sengupta K 2022 Phys. Rev. B 105 024301
Google Scholar
[39] Tong Q J, An J H, Gong J B, Luo H G, Oh C H 2013 Phys. Rev. B 87 201109
Google Scholar
[40] Roy S, Mishra T, Tanatar B, Basu S 2021 Phys. Rev. Lett. 126 106803
Google Scholar
[41] Ahmed A, Ramachandran A, Khaymovich I M, Sharma A 2022 Phys. Rev. B 106 205119
Google Scholar
[42] Roy S, Khaymovich I M, Das A, Moessner R 2018 Sci. Post. Phys. 4 025
Google Scholar
[43] 成恩宏, 郎利君 2022 物理学报 71 160301
Google Scholar
Cheng E H, Lang L J 2022 Acta Phys. Sin. 71 160301
Google Scholar
-
图 1 一维非互易模型示意图. 红线和蓝线代表不同跃迁强度, 其中$ \mathcal{J}(t) $如(1)式所示, $ h $ 代表非互易强度, $ j $代表格点
Fig. 1. Schematic diagram of the one-dimensional non-reciprocal model. The red and blue lines represent different hopping amplitudes, $ h $ is non-reciprocal amplitudes and $ j $ is the site index.
图 2 (a)逆参与率$ I^{(2)}_{n} $随着能级指标$ n/L $和频率$ \omega $的变化情况(这里, 能量实部升序排列). (b)分形维度$ D_{2} $随着能级指标$ \tilde{n}/L $和频率$ \omega $的变化情况, 以及复能量占比$ f_{\mathrm{Im}} $(黑色实线)随频率$ \omega $的变化图, 其中能级指标$ \tilde{n} $以逆参与率值的大小升序排列. 这里$ L=2048 $
Fig. 2. (a) Plot of $ I^{(2)}_{n} $ as a function of the normalized eigenfunction index $ n/L $ and $ \omega $. Here, the real part of the eigenvalues is ordered in ascending order. (b) Plot of the fractal dimension $ D_{2} $ as a function of $ \tilde{n}/L $ and $ \omega $, and $ f_{\mathrm{Im}} $ (solid black line) as a function of $ \omega $, where the energies sort in increasing order of the inverse participation ratio. Here, $ L=2048 $.
图 3 (a), (e)和(g) [(b), (f)和(h)]分别为$ h=0.1 $, 0和$ -0.1 $时, 位于能级$ n/L\approx0.24 $ ($ n/L\approx0.76 $)处的密度分布$ \rho_j $; (c)和(d)分别为$ h=0.1 $时, 能级$ n/L\approx1/3 $和$ 1/2 $处的密度分布$ \rho_j $; (i) $ I_n^{(2)} $随着能级$ n/L $变化的情况; (j) 能量实部$ \mathrm{Re}(\varepsilon_n^{{\mathrm{F}}}) $随着能级指标$ n/L $的分布情况. 这里选取 $ L=2048 $和$ \omega=\pi $, 并且能级指标按照能量实部升序排列
Fig. 3. (a), (e), and (g) [(b), (f), and (h)] Plot of the density distributions $ \rho_j $ at $ n/L\approx0.24 $ ($ n/L\approx0.76 $) with $ h=0.1 $, 0, and $ -0.1 $, respectively; (c) and (d) plot of $ \rho_j $ with $ h=0.1 $ at $ n/L\approx1/3 $ and $ 1/2 $, respectively; (i) $ I_n^{(2)} $ as a function of $ n/L $; (j) plot of $ \mathrm{Re}(\varepsilon_n^{{\mathrm{F}}}) $ as a function of $ n/L $. Here, $ L=2048 $, $ \omega=\pi $, and the real part of eigenvalues is ordered in ascending order.
图 4 (a)—(c)分别展示了在频率$ \omega=0.235\pi $时, 能级$ \tilde{n}/L\approx 0.995 $, $ 0.7 $和$ 0.2 $处对应于不同$ q $的分形维度$ D_q $随着尺寸$ 1/\ln{(L)} $的变化情况. 这里能级按照逆参与率值的升序排列
Fig. 4. (a)–(c) Plot of the fractal dimensions $ D_q $ as a function of $ 1/\ln{(L)} $ with different $ q $ and $ \omega=0.235\pi $ at $ \tilde{n}/L\approx 0.995 $, $ 0.7 $, and $ 0.2 $, respectively. Here, the energies sort in increasing order of the inverse participation ratio.
图 5 (a)频率$ \omega=0.132\pi $时, $ \tilde{n}/L=0.75 $处波函数的密度分布$ \rho_j $; (b)不同频率处, MIPR的标度分析; (c)图(b)频率下, 在参数$ h=0.1 $和$ \mu=0.05 $附近随机选取20个数进行无序平均后, MIPR的标度分析; (d), (e)频率$ \omega=0.132\pi $时, $ I_{\tilde{n}}^{(2)}\cdot L^{0.51} $与$ I_{\tilde{n}}^{(2)}\cdot L $随不同尺寸的缩放图. 这里能级按照逆参与率值的升序排列
Fig. 5. (a) Density distribution $ \rho_j $ with $ \omega=0.132\pi $ at $ \tilde{n}/L=0.75 $; (b) the scaling of the MIPR for different $ \omega $; (c) the scaling of MIPR after averaging random 20 parameters near $ h = 0.1 $ and $ \mu = 0.05 $ with the frequency in panel (b); (d), (e) the scaling of $ I_{\tilde{n}}^{(2)}\cdot L^{0.51} $ and $ I_{\tilde{n}}^{(2)}\cdot L $ as a function of $ L $ with $ \omega=0.132\pi $. Here, the energies sort in increasing order of the inverse participation ratio.
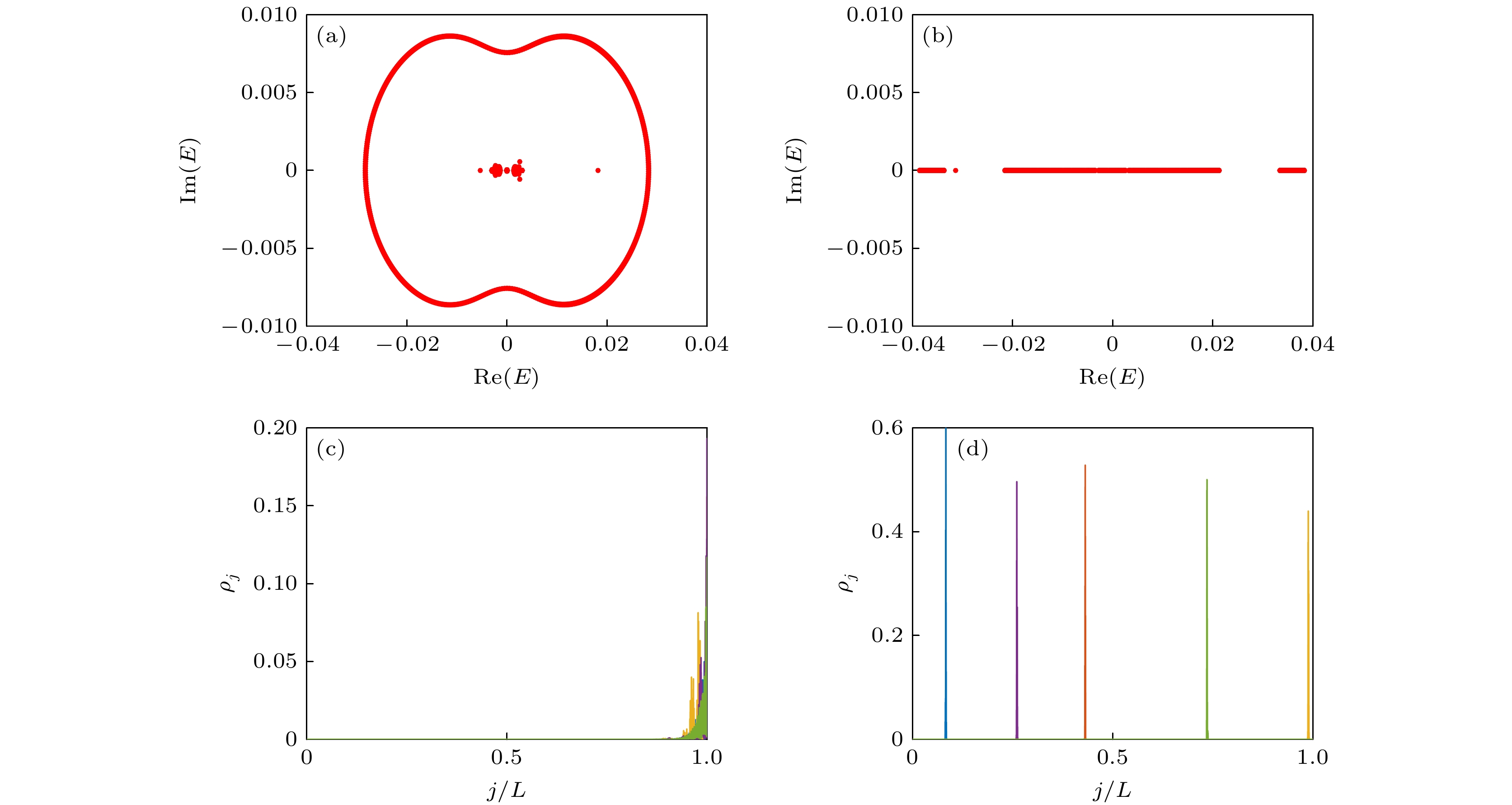
图 6 频率$ \omega=0.132\pi $ (a)和$ \omega=0.5\pi $ (b)时在复空间的能谱图; (c)在开边界条件下, 当频率$ \omega=0.132\pi $时环上随机5个能级所对应的密度分布$ \rho_j $; (d)在开边界条件下, 当频率$ \omega=0.5\pi $时随机5个能级所对应的密度分布$ \rho_j $, 这里$ L=2048 $
Fig. 6. Energy spectrum with $ \omega=0.132\pi $ (a) and $ \omega=0.5\pi $ (b) in complex space; (c) the density distribution $ \rho_j $ for 5 random energy levels on the ring under open boundary conditions with frequency $ \omega = 0.132\pi $; (d) the density distribution $ \rho_j $ for 5 random energy levels under open boundary conditions with frequency $ \omega = 0.5\pi $. Here, $ L=2048 $.
-
[1] Anderson P W 1958 Phys. Rev. 109 1492
Google Scholar
[2] Tang L Z, Zhang G Q, Zhang L F, Zhang D W 2021 Phys. Rev. A 103 033325
Google Scholar
[3] Schulz M, Hooley C A, Moessner R, Pollmann F 2019 Phys. Rev. Lett. 122 040606
Google Scholar
[4] Lin X S, Chen X M, Guo G C, Gong M 2023 Phys. Rev. B 108 174206
Google Scholar
[5] Dai Q, Lu Z P, Xu Z H 2023 Phys. Rev. B 108 144207
Google Scholar
[6] Liu H, Lu Z P, Xia X, Xu Z H 2024 New J. Phys. 26 093007
Google Scholar
[7] Li H, Dong Z L, Longhi S, Liang Q, Xie D Z, Yan B 2022 Phys. Rev. Lett. 129 220403
Google Scholar
[8] Ganeshan S, Pixley J H, Das Sarma S 2015 Phys. Rev. Lett. 114 146601
Google Scholar
[9] Aditya S, Sengupta K, Sen D 2023 Phys. Rev. B 107 035402
Google Scholar
[10] Qi R, Cao J P, Jiang X P 2023 Phys. Rev. B 107 224201
Google Scholar
[11] Zuo Z W, Kang D W 2022 Phys. Rev. A 106 013305
Google Scholar
[12] Xu Z H, Xia X, Chen S 2021 Phys. Rev. B 104 224204
Google Scholar
[13] Wang Y C, Xia X, Zhang L, Yao H P, Chen S, You J G, Zhou Q, Liu X J 2020 Phys. Rev. Lett. 125 196604
Google Scholar
[14] Tang Q Y, He Y 2024 Phys. Rev. B 109 224204
Google Scholar
[15] Zhou L W 2021 Phys. Rev. Res. 3 033184
Google Scholar
[16] Liu J H, Xu Z H 2023 Phys. Rev. B 108 184205
Google Scholar
[17] Lin Q, Li T Y, Xiao L, Wang K K, Yi W, Xue P 2022 Nat. Commun. 13 3229
Google Scholar
[18] Hatano N, Nelson D R 1996 Phys. Rev. Lett. 77 570
Google Scholar
[19] Hatano N, Nelson D R 1997 Phys. Rev. B 56 8651
Google Scholar
[20] Zhou L W, Wang Q H, Wang H L, Gong J B 2018 Phys. Rev. A 98 022129
Google Scholar
[21] Zhou L W, Gong J B 2018 Phys. Rev. A 97 063603
Google Scholar
[22] Tiwari V, Bhakuni D S, Sharma A 2024 Phys. Rev. B 109 L161104
Google Scholar
[23] Ji C R, Zhou S D, Xie A, Jiang Z Y, Sheng X H, Ding L, Ke Y G, Wang H Q, Zhuang S L 2023 Phys. Rev. B 108 054310
Google Scholar
[24] Mukherjee B, Sen A, Sen D, Sengupta K 2016 Phys. Rev. B 94 155122
Google Scholar
[25] Mukherjee B, Mohan P, Sen D, Sengupta K 2018 Phys. Rev. B 97 205415
Google Scholar
[26] Mukherjee B 2018 Phys. Rev. B 98 235112
Google Scholar
[27] Yang K, Zhou L W, Ma W C, Kong X, Wang P F, Qin X, Rong X, Wang Y, Shi F Z 2019 Phys. Rev. B 100 085308
Google Scholar
[28] Zhou L W, Du Q Q 2021 New J. Phys. 23 063041
Google Scholar
[29] Zhou L W 2019 Phys. Rev. B 100 184314
Google Scholar
[30] Else D V, Bauer B, Nayak C 2016 Phys. Rev. Lett. 117 090402
Google Scholar
[31] Mukherjee B, Nandy S, Sen A, Sen D, Sengupta K 2020 Phys. Rev. B 101 245107
Google Scholar
[32] Mukherjee B, Sen A, Sen D, Sengupta K 2020 Phys. Rev. B 102 014301
Google Scholar
[33] Liu H, Xiong T S, Zhang W, An J H 2019 Phys. Rev. A 100 023622
Google Scholar
[34] Wu H, An J H 2020 Phys. Rev. B 102 041119
Google Scholar
[35] Wu H, An J H 2022 Phys. Rev. B 105 L121113
Google Scholar
[36] Bai S Y, An J H 2020 Phys. Rev. A 102 060201
Google Scholar
[37] Sarkar M, Ghosh R, Sen A, Sengupta K 2021 Phys. Rev. B 103 184309
Google Scholar
[38] Sarkar M, Ghosh R, Sen A, Sengupta K 2022 Phys. Rev. B 105 024301
Google Scholar
[39] Tong Q J, An J H, Gong J B, Luo H G, Oh C H 2013 Phys. Rev. B 87 201109
Google Scholar
[40] Roy S, Mishra T, Tanatar B, Basu S 2021 Phys. Rev. Lett. 126 106803
Google Scholar
[41] Ahmed A, Ramachandran A, Khaymovich I M, Sharma A 2022 Phys. Rev. B 106 205119
Google Scholar
[42] Roy S, Khaymovich I M, Das A, Moessner R 2018 Sci. Post. Phys. 4 025
Google Scholar
[43] 成恩宏, 郎利君 2022 物理学报 71 160301
Google Scholar
Cheng E H, Lang L J 2022 Acta Phys. Sin. 71 160301
Google Scholar
计量
- 文章访问数: 2393
- PDF下载量: 93
- 被引次数: 0








下载: