-
阿秒科学是驱动超强超快激光往高平均功率和短脉冲宽度方向快速发展的动力之一. 本文针对高重复频率阿秒光源的实际需求, 开展了基于国产Yb:CaYAlO4晶体的再生放大理论和实验研究. 在理论研究中, 根据Yb:CaYAlO4晶体的热透镜计算结果, 设计了热稳定性良好的模式可调再生腔; 并对晶体π和σ偏振的放大输出能量和光谱进行计算. 在此基础上, 开展了Yb:CaYAlO4晶体不同偏振性质的再生放大实验研究. 在晶体π偏振的实验中, 获得了平均功率16.1 W、单脉冲能量1.61 mJ、光谱中心波长1030 nm、光谱半高全宽16 nm的放大输出, 压缩后的激光脉冲宽度为149 fs, 压缩效率为92.1%, 峰值功率大于9.5 GW. 在σ偏振获得了平均功率28.7 W、单脉冲能量2.87 mJ、光谱中心波长1037 nm、光谱半高全宽11 nm的放大输出, 压缩后的激光脉冲宽度为178 fs, 压缩效率为91.5%, 峰值功率大于14.2 GW, 光束质量因子M 2 < 1.2. 以上研究结果实现了目前Yb:CaYAlO4晶体最高平均功率和最大单脉冲能量的输出. 针对高重复频率阿秒光源、太赫兹和光参量放大领域的应用, 后续计划增加两级行波放大实现平均功率200 W、脉冲能量20 mJ、脉冲宽度小于200 fs的激光输出.Attosecond science is one of the driving forces for developing the femtosecond amplifiers of high average power and ultrashort pulse duration. In this work, the regenerative amplification is studied experimentally and theoretically based on Yb:CaYAlO4 crystal for the practical needs of high-repetition-rate attosecond light sources. In the theoretical study, a mode-tunable regenerative cavity with good thermal stability is designed based on the thermal lens calculations of Yb:CaYAlO4 crystal; the amplified output energy and spectra of π and σ polarization of the crystal are calculated. In the experiment, the π-axis of Yb:CaYAlO4 crystal is parallel to the laser polarization, and the laser amplifier emits 1.61 mJ pulses with average power 16.1 W. Notably, the dip of the π-polarization emission spectrum near 1025.1 nm compensates for the gain narrowing of the seed laser during amplification. Thus, the center wavelength and the spectral full width at a half maximum of the amplified laser are 1030 nm and 16 nm respectively. Using a grating-pair for compression, 149 fs pulses with peak power 9.5 GW are obtained. In comparison, the σ-polarization emission spectrum of Yb:CaYAlO4 crystal is relatively flat in a range from 1000 to 1050 nm, but with a larger gain cross-section. When the laser polarization is parallel to the σ-axis of Yb:CaYAlO4 crystal, 2.87 mJ pulses at 10 kHz repetition rate are achieved, with an average power of 28.7 W. In this case, the center wavelength and the spectral full width at half maximum of the amplified laser are 1037 nm and 11 nm respectively. Using a grating-pair for compression, 178 fs pulses with peak power of 14.2 GW are obtained. The beam quality factor measured is 1.09 along the x-axis of the amplified laser and 1.17 along the y-axis. To the best of our knowledge, this is the highest average power and the maximum pulse energy obtained from the Yb:CaYAlO4 amplifier. For applications in high-repetition-rate attosecond light sources, terahertz generation and optical parametric amplification, subsequent laser outputs with average power 200 W, pulse energy 20 mJ and pulse duration less than 200 fs are expected to be achieved by adding two stages of traveling-wave amplification.
-
Keywords:
- ytterbium-doped laser crystal /
- regenerative amplifier /
- high power femtosecond laser /
- attosecond science
[1] Midorikawa K 2022 Nat. Photonics 16 267
Google Scholar
[2] D’Arcy R, Chappell J, Beinortaite J, et al. 2022 Nature 603 58
Google Scholar
[3] Lloyd-Hughes J, Oppeneer P M, Pereira dos Santos T, et al. 2021 J. Phys. Condens. Matter 33 353001
Google Scholar
[4] Maiuri M, Garavelli M, Cerullo G 2020 J. Am. Chem. Soc. 142 3
Google Scholar
[5] Kroll F, Brack F E, Bernert C, et al. 2022 Nat. Phys. 18 316
Google Scholar
[6] Lin Z Y, Hong M H 2021 Ultrafast Sci. 2021 9783514
[7] C. Phillips K, H. Gandhi H, Mazur E, Sundaram S K 2015 Adv. Opt. Photonics 7 684
Google Scholar
[8] Iwasawa H 2020 Electron. Struct. 2 043001
Google Scholar
[9] Zheng W, Jiang P Z, Zhang L F, Wang Y, Sun Q, Liu Y Q, Gong Q H, Wu C Y 2021 Rev. Sci. Instrum. 92 043709
Google Scholar
[10] Miao J W, Ishikawa T, K. Robinson I, M. Murnane M 2015 Science 348 530
Google Scholar
[11] Auböck G, Consani C, Mourik F V, Chergui M 2012 Opt. Lett. 37 2337
Google Scholar
[12] Hönninger C, Paschotta R, Graf M, et al. 1999 Appl. Phys. B 69 3
[13] 朱江峰, 田文龙, 高子叶, 魏志义 2017 中国激光 44 0900001
Google Scholar
Zhu J F, Tian W L, Gao Z Y, Wei Z Y 2017 Chin. J. Lasers 44 0900001
Google Scholar
[14] 白川, 田文龙, 王阁阳, 郑立, 徐瑞, 张大成, 王兆华, 朱江峰, 魏志义 2021 中国激光 48 0501005
Google Scholar
Bai C, Tian W L, Wang G Y, Zheng L, Xu R, Zhang D C, Wang Z H, Zhu J F, Wei Z Y 2021 Chin. J. Lasers 48 0501005
Google Scholar
[15] Russbueldt P, Mans T, Weitenberg J, Hoffmann H D, Poprawe R 2010 Opt. Lett. 35 4169
Google Scholar
[16] Negel J P, Voss A, Ahmed M A, Bauer D, Sutter D, Killi A, Graf T 2013 Opt. Lett. 38 5442
Google Scholar
[17] Li D Z, Xu X D, Zhu H M, Chen X Y, Tan W D, Zhang J, Tang D Y, Ma J, Wu F, Xia C T, Xu J 2011 J. Opt. Soc. Am. B 28 1650
Google Scholar
[18] Rudenkov A, Kisel V, Yasukevich A, Hovhannesyan K, Petrosyan A, Kuleshov N 2016 Opt. Lett. 41 2249
Google Scholar
[19] Rudenkov A, Kisel V, Yasukevich A, Hovhannesyan K, Petrosyan A, Kuleshov N 2018 Devices Methods Meas. 9 205
[20] S. Petrov L, Georgiev K, Velkov D, Trifonov A, Xu X D, Xu J, Buchvarov I 2022 Conference on Lasers and Electro-Optics San Jose The United States of America, May 15–20, 2022 pJTh3B.23
[21] Loiko P, Becker P, Bohatý L, et al. 2017 Opt. Lett. 42 2275
Google Scholar
[22] Dörring J, Killi A, Morgner U, Lang A, Lederer M, Kopf D 2004 Opt. Express 12 1759
Google Scholar
[23] Kroetz P, Ruehl A, Murari K, Cankaya H, Kärtner F X, Hartl I, Miller R J D 2016 Opt. Express 24 9905
Google Scholar
[24] Ye P, Oldal L G, Csizmadia T, Filus Z, Grósz T, Jójárt P, Seres I, Bengery Z, Gilicze B, Kahaly S, Varjú K, Major B 2022 Ultrafast Sci. 2022 9823783
[25] 王天泽, 雷弘毅, 孙方正, 王丹, 廖国前, 李玉同 2021 物理学报 70 085205
Google Scholar
Wang T Z, Lei H Y, Sun F Z, Wang D, Liao G Q, Li Y T 2021 Acta Phys. Sin. 70 085205
Google Scholar
[26] 马文君, 刘志鹏, 王鹏杰, 赵家瑞, 颜学庆 2021 物理学报 70 084102
Google Scholar
Ma W J, Liu Z P, Wang P J, Zhao J R, Yan X Q 2021 Acta Phys. Sin. 70 084102
Google Scholar
-
图 5 Yb:CYA再生放大器实验装置 (Seed为Yb:KGW振荡器, HR为平面高反镜片, λ/2为1/2波片, PBS为偏振分光棱镜, FR为法拉第旋光器, TG为透射光栅, M1为平凹反射镜, F为激光透镜, λ/4为1/4波片, HV为高压驱动, PC为普克尔盒, Crystal为激光晶体, M2为激光双色镜, LD为981 nm半导体激光器, DM为激光双色镜, PM为功率计, PD为光电探测器)
Fig. 5. Experimental set-up of the Yb:CYA regenerative amplifier. (Seed, Yb:KGW oscillator; HR, dielectric flat mirror; λ/2, half-wave plate; PBS, polarizing beam splitter; FR, faraday rotator; TG, transmission grating; M1, concave laser mirror; F, lens; λ/4, quarter wave plate; HV, pockels cell driver; PC, pockels cell; Crystal, Yb:CYA crystal; M2, dichroic mirror; LD, 981 nm laser diode; DM, dichroic mirror; PM, power meter; PD, photodiode).
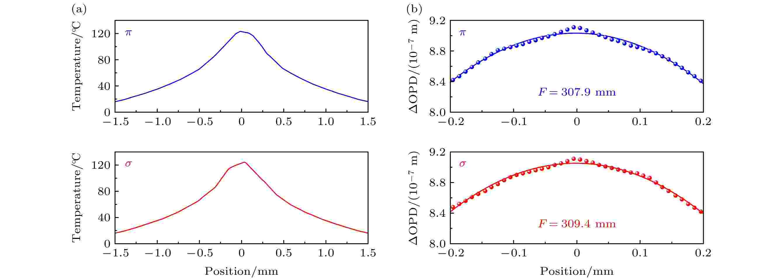
表 1 Yb:CYA晶体的热性质参数
Table 1. Parameters of thermal performance for Yb:CYA crystal.
晶体
轴向热导率/
(W·m–1·K–1)折射率
n密度/
(g·cm–3)热光系数/
(10–6 K–1)热膨胀系数/
(10–6 K–1)比热容/
(J·g–1·K–1)
(301 K)π 3.2 1.886 4.748 –7.8 8.99 0.593 σ 3.6 1.909 –8.7 8.97 表 2 Yb:CYA晶体π和σ偏振放大参数比较
Table 2. Comparison of amplification indicators for π and σ axes of Yb:CYA crystal.
偏振 类型 平均功率
P/W重复频率
f/kHz脉冲能量
E/mJ中心波长
λ/nm光谱宽度
Δλ/nm脉冲宽度
τ/fsπ 仿真 20.3 10 2.03 1030 14 115 实验 16.1 10 1.61 1030 16 149 σ 仿真 29.1 10 2.91 1034 13 117 实验 28.7 10 2.87 1037 11 178 -
[1] Midorikawa K 2022 Nat. Photonics 16 267
Google Scholar
[2] D’Arcy R, Chappell J, Beinortaite J, et al. 2022 Nature 603 58
Google Scholar
[3] Lloyd-Hughes J, Oppeneer P M, Pereira dos Santos T, et al. 2021 J. Phys. Condens. Matter 33 353001
Google Scholar
[4] Maiuri M, Garavelli M, Cerullo G 2020 J. Am. Chem. Soc. 142 3
Google Scholar
[5] Kroll F, Brack F E, Bernert C, et al. 2022 Nat. Phys. 18 316
Google Scholar
[6] Lin Z Y, Hong M H 2021 Ultrafast Sci. 2021 9783514
[7] C. Phillips K, H. Gandhi H, Mazur E, Sundaram S K 2015 Adv. Opt. Photonics 7 684
Google Scholar
[8] Iwasawa H 2020 Electron. Struct. 2 043001
Google Scholar
[9] Zheng W, Jiang P Z, Zhang L F, Wang Y, Sun Q, Liu Y Q, Gong Q H, Wu C Y 2021 Rev. Sci. Instrum. 92 043709
Google Scholar
[10] Miao J W, Ishikawa T, K. Robinson I, M. Murnane M 2015 Science 348 530
Google Scholar
[11] Auböck G, Consani C, Mourik F V, Chergui M 2012 Opt. Lett. 37 2337
Google Scholar
[12] Hönninger C, Paschotta R, Graf M, et al. 1999 Appl. Phys. B 69 3
[13] 朱江峰, 田文龙, 高子叶, 魏志义 2017 中国激光 44 0900001
Google Scholar
Zhu J F, Tian W L, Gao Z Y, Wei Z Y 2017 Chin. J. Lasers 44 0900001
Google Scholar
[14] 白川, 田文龙, 王阁阳, 郑立, 徐瑞, 张大成, 王兆华, 朱江峰, 魏志义 2021 中国激光 48 0501005
Google Scholar
Bai C, Tian W L, Wang G Y, Zheng L, Xu R, Zhang D C, Wang Z H, Zhu J F, Wei Z Y 2021 Chin. J. Lasers 48 0501005
Google Scholar
[15] Russbueldt P, Mans T, Weitenberg J, Hoffmann H D, Poprawe R 2010 Opt. Lett. 35 4169
Google Scholar
[16] Negel J P, Voss A, Ahmed M A, Bauer D, Sutter D, Killi A, Graf T 2013 Opt. Lett. 38 5442
Google Scholar
[17] Li D Z, Xu X D, Zhu H M, Chen X Y, Tan W D, Zhang J, Tang D Y, Ma J, Wu F, Xia C T, Xu J 2011 J. Opt. Soc. Am. B 28 1650
Google Scholar
[18] Rudenkov A, Kisel V, Yasukevich A, Hovhannesyan K, Petrosyan A, Kuleshov N 2016 Opt. Lett. 41 2249
Google Scholar
[19] Rudenkov A, Kisel V, Yasukevich A, Hovhannesyan K, Petrosyan A, Kuleshov N 2018 Devices Methods Meas. 9 205
[20] S. Petrov L, Georgiev K, Velkov D, Trifonov A, Xu X D, Xu J, Buchvarov I 2022 Conference on Lasers and Electro-Optics San Jose The United States of America, May 15–20, 2022 pJTh3B.23
[21] Loiko P, Becker P, Bohatý L, et al. 2017 Opt. Lett. 42 2275
Google Scholar
[22] Dörring J, Killi A, Morgner U, Lang A, Lederer M, Kopf D 2004 Opt. Express 12 1759
Google Scholar
[23] Kroetz P, Ruehl A, Murari K, Cankaya H, Kärtner F X, Hartl I, Miller R J D 2016 Opt. Express 24 9905
Google Scholar
[24] Ye P, Oldal L G, Csizmadia T, Filus Z, Grósz T, Jójárt P, Seres I, Bengery Z, Gilicze B, Kahaly S, Varjú K, Major B 2022 Ultrafast Sci. 2022 9823783
[25] 王天泽, 雷弘毅, 孙方正, 王丹, 廖国前, 李玉同 2021 物理学报 70 085205
Google Scholar
Wang T Z, Lei H Y, Sun F Z, Wang D, Liao G Q, Li Y T 2021 Acta Phys. Sin. 70 085205
Google Scholar
[26] 马文君, 刘志鹏, 王鹏杰, 赵家瑞, 颜学庆 2021 物理学报 70 084102
Google Scholar
Ma W J, Liu Z P, Wang P J, Zhao J R, Yan X Q 2021 Acta Phys. Sin. 70 084102
Google Scholar
计量
- 文章访问数: 11726
- PDF下载量: 340
- 被引次数: 0








下载: