搜索

x

留言板

尊敬的读者、作者、审稿人, 关于本刊的投稿、审稿、编辑和出版的任何问题, 您可以本页添加留言。我们将尽快给您答复。谢谢您的支持!

姓名
邮箱
手机号码
标题
留言内容
验证码

Dy3+掺杂BaO-Na2O-Nb2O5基玻璃陶瓷介电与储能性能

陈铃 王娇 郭旭 杜欣润 刘少辉

引用本文:
Citation:

Dy3+掺杂BaO-Na2O-Nb2O5基玻璃陶瓷介电与储能性能

陈铃, 王娇, 郭旭, 杜欣润, 刘少辉
cstr: 32037.14.aps.74.20250815

Dielectric and energy-storage performance of Dy3+ doped BaO-Na2O-Nb2O5 based glass ceramics

CHEN Ling, WANG Jiao, GUO Xu, DU Xinrun, LIU Shaohui
cstr: 32037.14.aps.74.20250815
Article Text (iFLYTEK Translation)
PDF
HTML
导出引用
  • 电介质玻璃陶瓷材料兼具高功率密度与高能量密度, 在脉冲功率器件的轻量化、小型化与集成化方面具有重要的应用前景. 本研究采用高温熔融、快速冷却结合析晶工艺, 成功制备了不同摩尔浓度稀土Dy3+掺杂的BaO-Na2O-Nb2O5基玻璃陶瓷, 并系统探究了Dy3+掺杂对玻璃陶瓷微观结构、结晶行为及介电储能性能的影响. 结果表明, Dy3+掺杂对基体玻璃陶瓷的相结构无明显影响, 但适量掺杂可促进钨青铜结构Ba2NaNb5O15陶瓷相的析出, 同时提高玻璃陶瓷的结晶度, 进而提升其介电常数. 此外, Dy3+掺杂能够有效抑制晶粒生长, 增强玻璃陶瓷的耐击穿场强. 当Dy3+掺杂浓度为0.04 mol/mol时, 玻璃陶瓷表现出优异的介电储能性能: 介电常数达97, 击穿场强提升至1485 kV/cm, 储能密度高达8.01 J/cm3, 是未掺杂玻璃陶瓷储能性能的1.87倍. 本研究为优化玻璃陶瓷材料的介电储能性能提供了重要的实验依据和技术参考, 对推动高性能脉冲功率器件的发展具有重要意义.
    Dielectric glass ceramics that combine high power density and high energy density have important application value in achieving lightweight, miniaturization, and integration of pulse power devices. Compared with dielectric ceramics and polymers, dielectric glass-ceramics are composites consisting of a ceramic phase dispersed within a glass phase. Through the high-temperature melting, rapid cooling, and specific-temperature crystallization, the ceramic phase becomes uniformly distributed within the dense glass matrix, resulting in a composite structure characterized by low porosity, uniform grain size, and high density. Owing to the introduction of the high-dielectric-constant ceramic phase, the glass-ceramics exhibit excellent dielectric response. Furthermore, the pore-free, continuous, and highly insulating glass matrix effectively enhances the overall breakdown resistance of the material. Different molar concentrations of rare earth Dy3+ doped BaO-Na2O-Nb2O5 based glass ceramics are prepared using high-temperature melting combined with temperature-controlled crystallization process. The raw materials of glass ceramics are weighed according to the stoichiometric ratio and homogeneously mixed using a ball mill. The thoroughly mixed raw materials are placed in a high-temperature glass furnace and melted at 1550 ℃ for 2.5 h to ensure complete fusion. The melt is then rapidly cast into a preheated metal mold to obtain bulk glasses. These glasses are annealed at 650 ℃ for 3 h to relieve residual stresses. Subsequently, the transparent bulk glass blocks are cut into thin slices. Finally, these slices are heat-treated at 1100 ℃ for 3 h. Upon cooling, Dy3+ doped -based glass-ceramics with varying molar concentrations of the rare-earth ion are obtained. The effects of different molar concentrations of rare earth Dy3+ doping on the microstructure, crystallization behavior, and dielectric energy storage performance of BaO-Na2O-Nb2O5 based glass ceramics are systematically studied. The test results show that rare earth Dy3+ doping has almost no effect on the phase structure of BaO-Na2O-Nb2O5 based glass ceramics. Moderate rare earth Dy3+ doping can effectively promote the precipitation of Ba2NaNb5O15 ceramic phase in tungsten bronze structure, while improving the crystallinity of glass ceramics and increasing the dielectric constant of glass ceramics. In addition, rare earth Dy3+ doping also has the effect of inhibiting the growth of glass ceramic grains, which can improve the breakdown strength of BaO-Na2O-Nb2O5 based glass ceramics. When the rare earth Dy3+ doping molar concentration is 0.04 mol/mol, the dielectric constant of BaO-Na2O-Nb2O5 based glass ceramic is 97.0, the breakdown strength reaches 1485 kV/cm, and the highest energy storage density arrives at 8.01 J/cm3, which is 1.87 times that of undoped glass ceramics. This result provides experimental basis and technical reference for improving the performance of glass ceramic materials in the field of energy storage.
      通信作者: 刘少辉, qqliushaohui@163.com
    • 基金项目: 河南省科技攻关计划(批准号: 252102231014)和河南省大学生创新训练计划(批准号: 202511517015)资助的课题.
      Corresponding author: LIU Shaohui, qqliushaohui@163.com
    • Funds: Project supported by the Programs for Tackling Key Problems in Science and Technology of Henan Province, China (Grant No. 252102231014) and the College Students’ Innovation and Entrepreneurship Training Program of Henan Province, China (Grant No. 202511517015).
    [1]

    Ahmad A, Zahra M, Alam F, et al. 2023 Fuel 336 126930Google Scholar

    [2]

    Zhu N, Liu J H, Zhou J T, Zhang L, Yao N, Liu X L, Chen Y X, Zhang J, Zhang X F 2022 Adv. Electron. Mater. 8 2200670Google Scholar

    [3]

    Zhou J J, Zhou W Y, Cao D, Zhang C H, Peng W W, Yao T, Zuo J, Cai J T, Li Y 2022 J Polym. Res. 29 72Google Scholar

    [4]

    董久锋, 邓星磊, 牛玉娟, 潘子钊, 汪宏 2020 物理学报 69 217701Google Scholar

    Dong J F, Deng X L, Niu Y J, Pan Z Z, Wang H 2020 Acta Phys. Sin. 69 217701Google Scholar

    [5]

    杜金花, 李雍, 孙宁宁, 赵烨, 郝喜红 2020 物理学报 69 127703Google Scholar

    Du J H, Li Y, Sun N N, Zhao Y, Hao X H 2020 Acta Phys. Sin. 69 127703Google Scholar

    [6]

    刘少辉, 王娇, 王菲菲, 王远 2023 表面技术 52 346Google Scholar

    Liu S H, Wang J, Wang F F, Wang Y 2023 Surf. Tech 52 346Google Scholar

    [7]

    卓俊添, 林铭浩, 张齐艳, 黄双武 2024 物理学报 73 177701Google Scholar

    Zhuo J T, Lin M H, Zhang Q Y, Huang S W 2024 Acta Phys. Sin. 73 177701Google Scholar

    [8]

    Yang M Z, Ren W B, Guo M F, Shen Y 2022 Small 18 2205247Google Scholar

    [9]

    Wang Y, Wang H, Xu K, Wang B Y, Wang F, Li C L, Diao C L, Huang H B, Zheng H W 2022 Ceram. Int. 48 16114Google Scholar

    [10]

    Fu J, Yang M C, Wang R, Cheng S, Huang X Y, Wang S J, Li J L, Li M X, He J L, Li Q 2022 Mater. Today Energy 29 101101Google Scholar

    [11]

    Zhang J R, Zhang Z A, Han X, Fang R, Xu R X, Zhao L L 2021 Mater. Rev. 35 23162

    [12]

    Zhang J R, Xu R X, Han X, Zhang Z A, Zhao L L, Cui B, Zhai C X, Lei X Y 2021 Funct. Mater. Lett. 14 2151004Google Scholar

    [13]

    王娇, 刘少辉, 陈长青, 郝好山, 翟继卫 2020 物理学报 69 218101Google Scholar

    Wang J, Liu S H, Chen C Q, Hao H S, Zhai J W 2020 Acta Phys. Sin. 69 218101Google Scholar

    [14]

    王娇, 汪庆, 王远, 孙兴, 郝好山, 刘少辉 2024 硅酸盐学报 52 1310Google Scholar

    Wang J, Wang Q, Wang Y, Sun X, Hao H S, Liu S H 2024 J. Chin. Ceramic. Soc. 52 1310Google Scholar

    [15]

    Li D, Zhou D, Wang D, Zhao W C, Guo Y, Shi Z Q 2022 Adv. Funct. Mater. 32 2111776Google Scholar

    [16]

    Jiang Y, Huang Y, Fan Z H, Shen M, Huang H T, He Y B, Zhang Q F 2022 Chem. Eng. J. 446 136925Google Scholar

    [17]

    Qin B, Wang D, Liu X, et al. 2021 Science 373 56Google Scholar

    [18]

    Sun L, Shi Z C, Liang L, et al. 2022 ACS Appl. Mater. Interfaces 14 29292Google Scholar

    [19]

    Jiang Y, Luo Z M, Huang Y, Shen M, Huang H T, Jiang S L, He Y B, Zhang Q F 2022 J. Mater. Chem. A 10 18950Google Scholar

    [20]

    Prateek, Bhunia R, Sarkar A, Anand S, Garg A, Gupta R K 2021 Energy Technol. 9 2000905Google Scholar

    [21]

    Dong G H, Mao Y Q, Yang G M, et al. 2021 ACS Appl. Energy Mater. 4 4038Google Scholar

    [22]

    Zha J W, Tian Y Y, Zheng M S, Wan B Q, Yang X, Chen G G 2023 Mater. Today Energy 31 101217Google Scholar

    [23]

    Yu Y G, Shao W Z, Liu Y, Li Y, Zhong J, Ye H J, Zhen L 2023 J. Mater. Chem. A 11 5279Google Scholar

    [24]

    Rajabathar J R, Thankappan R, Al-Lohedan H, Al-Sigh H A 2023 J. Mater. Sci-Mater. El. 34 585Google Scholar

    [25]

    Peng S J, Du X F, Liang Z S, Ma M B, Guo Y, Xiong L L 2023 J. Energy Storage 60 106636Google Scholar

    [26]

    Zhao Y Y, Xu J W, Zhou C R, Yuan C L, Li Q N, Chen G H, Wang H, Yang L 2016 Ceram. Int. 42 2221Google Scholar

    [27]

    Liu X, Pu Y, Li P, Wu T, Pan G 2014 J. Mater. Sci-Mater. El. 25 3044Google Scholar

    [28]

    Xie W Q, Bai G X, Cai Y J, Tian Y, Huang F F, Xu S Q, Zhang J J 2019 J. Alloys Compd. 788 972Google Scholar

    [29]

    Chen G H, Liu T Y, Yang Y, Zhang W J 2012 Adv. Mater. Res. 535 1619Google Scholar

    [30]

    Zheng J, Chen G H, Yuan C L, Zhou C R, Chen X, Feng Q, Li M 2015 Ceram. Int. 42 1827Google Scholar

    [31]

    Zhou Y, Zhang Q M, Luo J, Tang Q, Du J 2012 Rare Met. 31 281Google Scholar

    [32]

    Wang J W, Tang L J, Shen B, Zhai J W 2014 J. Mater. Res. 29 288Google Scholar

    [33]

    Xue S X, Wang J W, Liu S H, Zhang W Q, Tang L J, Shen B, Zhai J W 2014 Ceram. Int. 40 7495Google Scholar

    [34]

    Zhang W Q, Wang J W, Xue S X, Liu S H, Shen B, Zhai J W 2014 J. Mater. Sci-Mater. El. 25 4145Google Scholar

    [35]

    Liu J H, Wang H T, Shen B, Zhai J W, Li P, Pan Z B 2017 J Am. Ceram. Soc. 100 506Google Scholar

    [36]

    Liu S H, Wang J, Ding J, Hao H S, Zhao L M, Xia S Y 2019 Ceram. Int. 45 4003Google Scholar

  • 图 1  不同摩尔浓度Dy3+掺杂BaO-Na2O-Nb2O5玻璃陶瓷的(a) XRD图谱、(b) XRD局部放大图、(c) 晶胞参数和结晶度; (d) Dy3+掺杂浓度为0.04 mol/mol BaO-Na2O-Nb2O5玻璃陶瓷的XRD精修全谱拟合图

    Fig. 1.  (a) XRD pattern, (b) local enlargement of XRD pattern and (c) cell parameters and crystallinity of BaO-Na2O-Nb2O5 glass ceramics doped with vary concentrations of Dy3+; (d) full XRD refinement fit for the BaO-Na2O-Nb2O5 glass-ceramic doped with 0.04 mol/mol Dy3+.

    图 2  不同摩尔浓度稀土Dy3+的BaO-Na2O-Nb2O5基玻璃陶瓷的SEM (a) 0 mol/mol; (b) 0.02 mol/mol; (c) 0.04 mol/mol; (d) 0.06 mol/mol

    Fig. 2.  SEM of barium sodium niobate glass ceramics with different molar concentration of Dy3+ doping: (a) 0 mol/mol; (b) 0.02 mol/mol; (c) 0.04 mol/mol; (d) 0.06 mol/mol.

    图 3  不同Dy3+掺杂浓度的BaO-Na2O-Nb2O5基玻璃陶瓷晶粒尺寸分布图 (a) 0 mol/mol; (b) 0.02 mol/mol; (c) 0.04 mol/mol; (d) 0.06 mol/mol

    Fig. 3.  Grain size distribution graphs for BaO-Na2O-Nb2O5 glass-ceramics doped with different Dy3+ concentrations: (a) 0 mol/mol; (b) 0.02 mol/mol; (c) 0.04 mol/mol; (d) 0.06 mol/mol.

    图 4  Dy3+的BaO-Na2O-Nb2O5基玻璃陶瓷的密度测试图

    Fig. 4.  Density of BaO-Na2O-Nb2O5 based glass-ceramics with different molar concentrations of Dy3+.

    图 5  不同摩尔浓度稀土Dy3+掺杂BaO-Na2O-Nb2O5基玻璃陶瓷介电常数和损耗随温度变化关系曲线

    Fig. 5.  Temperature dependent curves of dielectric constant and loss of barium sodium niobate based glass ceramics doped with Dy3+ rare earth at different molar concentrations.

    图 6  室温下BaO-Na2O-Nb2O5基玻璃陶瓷(频率为100 kHz)的介电常数实验测量值与理论拟合值随Dy3+掺杂浓度变化的关系曲线

    Fig. 6.  Experimental dielectric constant values measured at room temperature for BaO-Na2O-Nb2O5 glass-ceramics (frequency of 100 kHz) as a function of Dy3+ doping concentration, compared with theoretical fitting values.

    图 7  不同摩尔浓度Dy3+掺杂BaO-Na2O-Nb2O5基玻璃陶瓷耐击穿场强的Weibull分布图

    Fig. 7.  Weibull distribution of breakdown strength of Dy3+ doped barium sodium niobate glass ceramics.

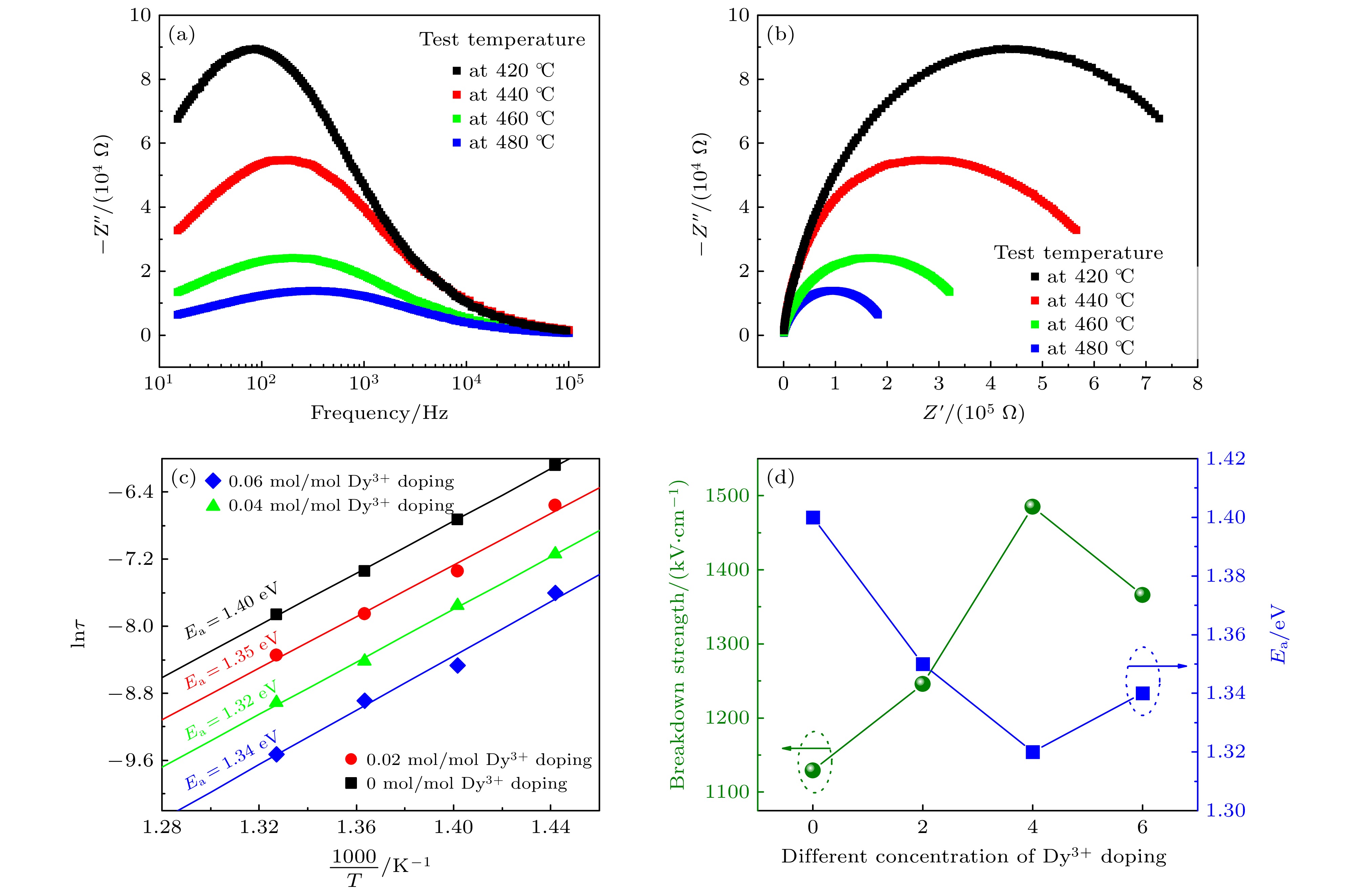
    图 8  (a) 不同测试温度下稀土Dy3+掺杂浓度为0.04 mol/mol BaO-Na2O-Nb2O5玻璃陶瓷的阻抗虚部随频率的变化曲线; (b) 稀土Dy3+掺杂浓度为0.04 mol/mol时BaO-Na2O-Nb2O5玻璃陶瓷的复阻抗谱; (c) 不同摩尔浓度Dy3+掺杂BaO-Na2O-Nb2O5基玻璃陶瓷的界面激活能; (d) 不同摩尔浓度Dy3+掺杂BaO-Na2O-Nb2O5玻璃陶瓷的界面激活能与耐击穿场强关系图

    Fig. 8.  (a) Variation of the imaginary part of impedance with frequency for 0.04 mol/mol Dy3+ doped strontium barium niobate glass ceramics at different test temperatures; (b) complex impedance spectrum of glass ceramics doped with 0.04 mol/mol Dy3+; (c) the interfacial activation energy of barium sodium niobate based glass ceramics doped with Dy3+ at different molar concentrations; (d) relationship between interfacial activation energy and breakdown field strength of barium sodium niobate glass ceramics doped with Dy3+ at different molar concentrations.

    图 9  不同摩尔浓度稀土Dy3+掺杂BaO-Na2O-Nb2O5基玻璃陶瓷的P-E曲线

    Fig. 9.  P-E curves of barium sodium niobate based glass ceramics doped with rare earth Dy3+ at different molar concentrations.

    表 1  稀土Dy3+掺杂BaO-Na2O-Nb2O5基玻璃陶瓷精修结果及各相含量

    Table 1.  Refined results and phase contents of rare earth Dy3+ doped barium sodium niobate based glass ceramics.

    Different concentration of
    Dy3+ doping (mol/mol)
    Ba2NaNb5O15
    /%
    NaNbO3
    /%
    Rp
    /%
    0 73.1 26.9 13.49
    0.02 77.2 22.8 14.38
    0.04 83.2 16.8 12.36
    0.06 80.3 19.7 15.43
    下载: 导出CSV

    表 2  文献报道玻璃陶瓷的储能密度和本文结果比较

    Table 2.  Comparison between the energy storage density of glass ceramics reported in literature and the results presented in this paper.

    Glass ceramic components U/(J·cm–3) Ref.
    Barium strontium titanate
    glass ceramics
    1.13 [32]
    (BaO, Na2O)-Nb2O5-SiO2
    glass ceramics
    5.12 [33]
    BaxSr1-xTiO3-(Ba-B-Al-Si-O)
    glass ceramics
    4.89 [34]
    SrO-BaO-Nb2O5-TiO2-SiO2-Al2O3
    glass ceramics
    7.73 [35]
    Strontium barium niobate based
    glass ceramics
    7.9 [36]
    BaO-Na2O-Nb2O5-SiO2-TiO2-ZrO2
    glass ceramics
    8.01 This work
    下载: 导出CSV
  • [1]

    Ahmad A, Zahra M, Alam F, et al. 2023 Fuel 336 126930Google Scholar

    [2]

    Zhu N, Liu J H, Zhou J T, Zhang L, Yao N, Liu X L, Chen Y X, Zhang J, Zhang X F 2022 Adv. Electron. Mater. 8 2200670Google Scholar

    [3]

    Zhou J J, Zhou W Y, Cao D, Zhang C H, Peng W W, Yao T, Zuo J, Cai J T, Li Y 2022 J Polym. Res. 29 72Google Scholar

    [4]

    董久锋, 邓星磊, 牛玉娟, 潘子钊, 汪宏 2020 物理学报 69 217701Google Scholar

    Dong J F, Deng X L, Niu Y J, Pan Z Z, Wang H 2020 Acta Phys. Sin. 69 217701Google Scholar

    [5]

    杜金花, 李雍, 孙宁宁, 赵烨, 郝喜红 2020 物理学报 69 127703Google Scholar

    Du J H, Li Y, Sun N N, Zhao Y, Hao X H 2020 Acta Phys. Sin. 69 127703Google Scholar

    [6]

    刘少辉, 王娇, 王菲菲, 王远 2023 表面技术 52 346Google Scholar

    Liu S H, Wang J, Wang F F, Wang Y 2023 Surf. Tech 52 346Google Scholar

    [7]

    卓俊添, 林铭浩, 张齐艳, 黄双武 2024 物理学报 73 177701Google Scholar

    Zhuo J T, Lin M H, Zhang Q Y, Huang S W 2024 Acta Phys. Sin. 73 177701Google Scholar

    [8]

    Yang M Z, Ren W B, Guo M F, Shen Y 2022 Small 18 2205247Google Scholar

    [9]

    Wang Y, Wang H, Xu K, Wang B Y, Wang F, Li C L, Diao C L, Huang H B, Zheng H W 2022 Ceram. Int. 48 16114Google Scholar

    [10]

    Fu J, Yang M C, Wang R, Cheng S, Huang X Y, Wang S J, Li J L, Li M X, He J L, Li Q 2022 Mater. Today Energy 29 101101Google Scholar

    [11]

    Zhang J R, Zhang Z A, Han X, Fang R, Xu R X, Zhao L L 2021 Mater. Rev. 35 23162

    [12]

    Zhang J R, Xu R X, Han X, Zhang Z A, Zhao L L, Cui B, Zhai C X, Lei X Y 2021 Funct. Mater. Lett. 14 2151004Google Scholar

    [13]

    王娇, 刘少辉, 陈长青, 郝好山, 翟继卫 2020 物理学报 69 218101Google Scholar

    Wang J, Liu S H, Chen C Q, Hao H S, Zhai J W 2020 Acta Phys. Sin. 69 218101Google Scholar

    [14]

    王娇, 汪庆, 王远, 孙兴, 郝好山, 刘少辉 2024 硅酸盐学报 52 1310Google Scholar

    Wang J, Wang Q, Wang Y, Sun X, Hao H S, Liu S H 2024 J. Chin. Ceramic. Soc. 52 1310Google Scholar

    [15]

    Li D, Zhou D, Wang D, Zhao W C, Guo Y, Shi Z Q 2022 Adv. Funct. Mater. 32 2111776Google Scholar

    [16]

    Jiang Y, Huang Y, Fan Z H, Shen M, Huang H T, He Y B, Zhang Q F 2022 Chem. Eng. J. 446 136925Google Scholar

    [17]

    Qin B, Wang D, Liu X, et al. 2021 Science 373 56Google Scholar

    [18]

    Sun L, Shi Z C, Liang L, et al. 2022 ACS Appl. Mater. Interfaces 14 29292Google Scholar

    [19]

    Jiang Y, Luo Z M, Huang Y, Shen M, Huang H T, Jiang S L, He Y B, Zhang Q F 2022 J. Mater. Chem. A 10 18950Google Scholar

    [20]

    Prateek, Bhunia R, Sarkar A, Anand S, Garg A, Gupta R K 2021 Energy Technol. 9 2000905Google Scholar

    [21]

    Dong G H, Mao Y Q, Yang G M, et al. 2021 ACS Appl. Energy Mater. 4 4038Google Scholar

    [22]

    Zha J W, Tian Y Y, Zheng M S, Wan B Q, Yang X, Chen G G 2023 Mater. Today Energy 31 101217Google Scholar

    [23]

    Yu Y G, Shao W Z, Liu Y, Li Y, Zhong J, Ye H J, Zhen L 2023 J. Mater. Chem. A 11 5279Google Scholar

    [24]

    Rajabathar J R, Thankappan R, Al-Lohedan H, Al-Sigh H A 2023 J. Mater. Sci-Mater. El. 34 585Google Scholar

    [25]

    Peng S J, Du X F, Liang Z S, Ma M B, Guo Y, Xiong L L 2023 J. Energy Storage 60 106636Google Scholar

    [26]

    Zhao Y Y, Xu J W, Zhou C R, Yuan C L, Li Q N, Chen G H, Wang H, Yang L 2016 Ceram. Int. 42 2221Google Scholar

    [27]

    Liu X, Pu Y, Li P, Wu T, Pan G 2014 J. Mater. Sci-Mater. El. 25 3044Google Scholar

    [28]

    Xie W Q, Bai G X, Cai Y J, Tian Y, Huang F F, Xu S Q, Zhang J J 2019 J. Alloys Compd. 788 972Google Scholar

    [29]

    Chen G H, Liu T Y, Yang Y, Zhang W J 2012 Adv. Mater. Res. 535 1619Google Scholar

    [30]

    Zheng J, Chen G H, Yuan C L, Zhou C R, Chen X, Feng Q, Li M 2015 Ceram. Int. 42 1827Google Scholar

    [31]

    Zhou Y, Zhang Q M, Luo J, Tang Q, Du J 2012 Rare Met. 31 281Google Scholar

    [32]

    Wang J W, Tang L J, Shen B, Zhai J W 2014 J. Mater. Res. 29 288Google Scholar

    [33]

    Xue S X, Wang J W, Liu S H, Zhang W Q, Tang L J, Shen B, Zhai J W 2014 Ceram. Int. 40 7495Google Scholar

    [34]

    Zhang W Q, Wang J W, Xue S X, Liu S H, Shen B, Zhai J W 2014 J. Mater. Sci-Mater. El. 25 4145Google Scholar

    [35]

    Liu J H, Wang H T, Shen B, Zhai J W, Li P, Pan Z B 2017 J Am. Ceram. Soc. 100 506Google Scholar

    [36]

    Liu S H, Wang J, Ding J, Hao H S, Zhao L M, Xia S Y 2019 Ceram. Int. 45 4003Google Scholar

  • [1] 郭云凤, 王俊贤, 王泽星, 李家茂, 陈立明. (Bi0.5Na0.5)0.7Sr0.3TiO3掺杂对[0.93NaNbO3-0.07Bi(Mg0.5Sn0.5)O3]陶瓷结构与电学性能的影响. 物理学报, 2025, 74(1): 017702. doi: 10.7498/aps.74.20240833
    [2] 王娇, 刘少辉, 周梦, 郝好山, 翟继卫. 钛酸锶纳米纤维表面羟基化处理对聚偏氟乙烯复合材料介电性能和储能性能的影响. 物理学报, 2020, 69(21): 218101. doi: 10.7498/aps.69.20200592
    [3] 杨如霞, 卢玉明, 曾丽竹, 张禄佳, 李冠男. 钆掺杂对0.7BiFe0.95Ga0.05O3-0.3BaTiO3陶瓷的结构、介电性能和多铁性能的影响. 物理学报, 2020, 69(10): 107701. doi: 10.7498/aps.69.20200175
    [4] 杜金花, 李雍, 孙宁宁, 赵烨, 郝喜红. (1–x)K0.5Na0.5NbO3-xBi(Mg0.5Ti0.5)O3无铅弛豫铁电陶瓷的介电、铁电和高储能行为. 物理学报, 2020, 69(12): 127703. doi: 10.7498/aps.69.20200213
    [5] 黄禹田, 王煜, 朱敏敏, 吕婷, 杨洪春, 李翔, 王秀章, 刘美风, 李少珍. (1-x)Sr3Sn2O7+xCa3Mn2O7陶瓷合成及其光电性能. 物理学报, 2018, 67(15): 154203. doi: 10.7498/aps.67.20180954
    [6] 胡一明, 廖家轩, 杨函于, 王思哲, 吴孟强, 徐自强, 冯婷婷, 巩峰. 铈镁交替掺杂Ba0.6Sr0.4TiO3薄膜高调谐性能. 物理学报, 2016, 65(14): 147701. doi: 10.7498/aps.65.147701
    [7] 赵学童, 廖瑞金, 李建英, 王飞鹏. 直流老化对CaCu3Ti4O12陶瓷介电性能的影响. 物理学报, 2015, 64(12): 127701. doi: 10.7498/aps.64.127701
    [8] 李智敏, 施建章, 卫晓黑, 李培咸, 黄云霞, 李桂芳, 郝跃. 掺铝3C-SiC电子结构的第一性原理计算及其微波介电性能. 物理学报, 2012, 61(23): 237103. doi: 10.7498/aps.61.237103
    [9] 周静, 刘存金, 李儒, 陈文. 异质界面对Ca(Mg1/3Nb2/3)O3/CaTiO3叠层薄膜结构和介电性能的影响. 物理学报, 2012, 61(6): 067401. doi: 10.7498/aps.61.067401
    [10] 陈超, 江向平, 卫巍, 李小红, 魏红斌, 宋福生. (K0.45Na0.55)NbO3无铅压电晶体的生长形态与介电性能研究. 物理学报, 2011, 60(10): 107704. doi: 10.7498/aps.60.107704
    [11] 丁南, 唐新桂, 匡淑娟, 伍君博, 刘秋香, 何琴玉. 锰掺杂对Ba(Zr, Ti)O3陶瓷压电与介电性能的影响. 物理学报, 2010, 59(9): 6613-6619. doi: 10.7498/aps.59.6613
    [12] 单丹, 朱珺钏, 金灿, 陈小兵. B位等价掺杂SrBi4Ti4O15铁电材料的性能研究. 物理学报, 2009, 58(10): 7235-7240. doi: 10.7498/aps.58.7235
    [13] 孙琳, 褚君浩, 杨平雄, 冯楚德. Sr位Nd掺杂对SrBi2Nb2O9性能的影响及机理研究. 物理学报, 2009, 58(8): 5790-5797. doi: 10.7498/aps.58.5790
    [14] 甘棕松, 余 华, 李妍明, 王亚楠, 陈 晖, 赵丽娟. Tm3+/Yb3+共掺氟氧硅铝酸盐玻璃陶瓷蓝色上转换发光研究. 物理学报, 2008, 57(9): 5699-5704. doi: 10.7498/aps.57.5699
    [15] 卫永霞, 钱晓梅, 俞笑竹, 叶 超, 宁兆元, 梁荣庆. O2掺杂对SiCOH低k薄膜结构与电学性能的影响. 物理学报, 2007, 56(2): 1172-1176. doi: 10.7498/aps.56.1172
    [16] 曾 涛, 董显林, 毛朝梁, 梁瑞虹, 杨 洪. 孔隙率及晶粒尺寸对多孔PZT陶瓷介电和压电性能的影响及机理研究. 物理学报, 2006, 55(6): 3073-3079. doi: 10.7498/aps.55.3073
    [17] 赵苏串, 李国荣, 张丽娜, 王天宝, 丁爱丽. Na0.25K0.25Bi0.5TiO3无铅压电陶瓷的介电特性研究. 物理学报, 2006, 55(7): 3711-3715. doi: 10.7498/aps.55.3711
    [18] 张丽娜, 赵苏串, 郑嘹赢, 李国荣, 殷庆瑞. 复合层状Bi7Ti4NbO21铁电陶瓷的结构与介电和压电性能研究. 物理学报, 2005, 54(5): 2346-2351. doi: 10.7498/aps.54.2346
    [19] 刘鹏, 姚熹. La调节Pb(Zr,Sn,Ti)O_3反铁电陶瓷的相变与电学性质. 物理学报, 2002, 51(7): 1621-1627. doi: 10.7498/aps.51.1621
    [20] 刘鹏, 边小兵, 张良莹, 姚熹. (PbBa)(Zr,Sn,Ti)O_3反铁电/弛豫型铁电相界陶瓷的相变与介电、热释电性质. 物理学报, 2002, 51(7): 1628-1633. doi: 10.7498/aps.51.1628
计量
  • 文章访问数:  728
  • PDF下载量:  17
  • 被引次数: 0
出版历程
  • 收稿日期:  2025-06-23
  • 修回日期:  2025-07-28
  • 上网日期:  2025-08-11
  • 刊出日期:  2025-10-05

/

返回文章
返回