-
作为典型的单中子晕核, 11Be在原子及核物理研究中具有独特的意义. 本文针对类氦11Be2+离子, 采用相对论组态相互作用方法, 高精度计算了主量子数最高达$n = 8$的$n^{3}{\mathrm{S}}_1$和$n^{3}{\mathrm{P}}_{0,1,2}$态的能量与波函数. 通过将有限核质量修正算符直接引入Dirac-Coulomb-Breit哈密顿量, 使计算能够同时考虑相对论效应和质量相关修正. 基于计算的高精度能量与波函数, 本文进一步确定了$k^3{\mathrm{S}}_1 \rightarrow m^3{\mathrm{P}}_{0,1,2}$ ($k \leqslant 5$, $m \leqslant 8$)电偶极跃迁的振子强度, 精度达3—6位有效数字. 此外, 利用态求和法计算了$n'^3{\mathrm{S}}_1$ ($n' \leqslant 5$)态在宽光子频率范围内的动力学电偶极极化率, 在远离共振位置处结果最高可达10–6精度水平. 上述高精度计算结果为11Be2+离子在高精度测量中涉及的斯塔克频移评估以及光与物质相互作用的模拟等方面提供了重要的理论依据和关键输入参数.
11Be, as a typical one-neutron halo nucleus, is of unique significance in studying atomic and nuclear physics. The nucleus comprises a tightly bound 10Be core and a loosely bound valence neutron, forming an exotic nuclear configuration that is significantly different from traditional nuclear configuration in both magnetic and charge radii, thereby establishing a unique platform for investigating nuclear-electron interactions. In this study, we focus on the helium-like 11Be2+ ion and systematically calculate the energies and wavefunctions of the $n^{3}S_1$ and $n^{3}{\mathrm{P}}_{0,1,2}$ states up to principal quantum number $n=8$ by employing the relativistic configuration interaction (RCI) method combined with high-order B-spline basis functions. By directly incorporating the nuclear mass shift operator $H_{\mathrm{M}}$ into the Dirac-Coulomb-Breit (DCB) Hamiltonian, we comprehensively investigate the relativistic effects, Breit interactions, and nuclear mass corrections for 11Be2+. The results demonstrate that the energies of states with $n\leqslant 5$ converge to eight significant digits, showing excellent agreement with existing NRQED values, such as $-9.29871191(5)$ a.u. for the $^{3}{\mathrm{S}}_1$ state. The nuclear mass corrections are on the order of 10–4 a.u. and decrease with principal quantum number increasing. By using the high-precision wavefunctions, the electric dipole oscillator strengths for $k^3{\mathrm{S}}_1 \rightarrow m^3{\mathrm{P}}_{0,1,2}$ transitions ($k \leqslant 5$, $m \leqslant 8$) are determined, resulting in low-lying excited states ($m\leqslant4$) accurate to six significant digits, thereby providing reliable data for evaluating transition probabilities and radiative lifetimes. Furthermore, the dynamic electric dipole polarizabilities of the $n'^3{\mathrm{S}}_1$ ($n' \leqslant 5$) states are calculated using the sum-over-states method. The static polarizabilities exhibit a significant increase with principal quantum number increasing. For the $J=1$ state, the difference in polarizability between the magnetic sublevels $M_J=0$ and $M_J=\pm1$ is three times the tensor polarizability. In the calculation of dynamic polarizabilities, the precision reaches 10–6 in non-resonant regions, whereas achieving the same accuracy near resonance requires higher energy precision. These high-precision computational results provide crucial theoretical foundations and key input parameters for evaluating Stark shifts in high-precision measurements, simulating light-matter interactions, and investigating single-neutron halo nuclear structures. [1] Mitroy J, Safronova M S, Clark C W 2010 J. Phys. B: At. Mol. Opt. Phys. 43 202001
Google Scholar
[2] 王婷, 蒋丽, 王霞, 董晨钟, 武中文, 蒋军 2021 物理学报 70 043101
Google Scholar
Wang T, Jiang L, Wang X, Dong C Z, Wu Z W, Jiang J 2021 Acta Phys. Sin. 70 043101
Google Scholar
[3] Notermans R P M J W, Rengelink R J, van Leeuwen K A H, Vassen W 2014 Phys. Rev. A 90 052508
Google Scholar
[4] 娄宗帅, 王跃飞, 康博溢, 李睿, 张文君, 魏远飞, 布明鹭, 蔡翊宇 2025 物理学报 74 103202
Google Scholar
Lou Z S, Wang Y F, Kang B Y, Li R, Zhang W J, Wei Y F, Bu M L, Cai Y Y 2025 Acta Phys. Sin. 74 103202
Google Scholar
[5] Mitroy J, Zhang J Y, Bromley M W J 2008 Phys. Rev. A 77 032512
Google Scholar
[6] Babb J F, Klimchitskaya G L, Mostepanenko V M 2004 Phys. Rev. A 70 042901
Google Scholar
[7] Patkóš V C V, Yerokhin V A, Pachucki K 2021 Phys. Rev. A 103 042809
Google Scholar
[8] Patkóš V C V, Yerokhin V A, Pachucki K 2021 Phys. Rev. A 103 012803
Google Scholar
[9] Zheng X, Sun Y R, Chen J J, Jiang W, Pachucki K, Hu S M 2017 Phys. Rev. Lett. 118 063001
Google Scholar
[10] Kato K, Skinner T D G, Hessels E A 2018 Phys. Rev. Lett. 121 143002
Google Scholar
[11] Guan H, Chen S, Qi X Q, Liang S, Sun W, Zhou P, Huang Y, Zhang P P, Zhong Z X, Yan Z C, Drake G W F, Shi T Y, Gao K 2020 Phys. Rev. A 102 030801(R
Google Scholar
[12] Qi X Q, Zhang P P, Yan Z C, Drake G W F, Zhong Z X, Shi T Y, Chen S L, Huang Y, Guan H, Gao K L 2020 Phys. Rev. Lett. 125 183002
Google Scholar
[13] Sun W, Zhang P P, Zhou P P, Chen S L, Zhou Z Q, Huang Y, Qi X Q, Yan Z C, Shi T Y, Drake G W F, Zhong Z X, Guan H, Gao K L 2023 Phys. Rev. Lett. 131 103002
Google Scholar
[14] Qi X Q, Zhang P P, Yan Z C, Tang L Y, Chen A X, Shi T Y, Zhong Z X 2025 Phys. Rev. Res. 7 L022020
Google Scholar
[15] Puchalski M, Piszczatowski K, Komasa J, Jeziorski B, Szalewicz K 2016 Phys. Rev. A 93 032515
Google Scholar
[16] Mitroy J, Tang L Y 2013 Phys. Rev. A 88 052515
Google Scholar
[17] Wu F F, Deng K, Lu Z H 2022 Phys. Rev. A 106 042816
Google Scholar
[18] Henson B M, Ross J A, Thomas K F, Kuhn C N, Shin D K, Hodgman S S, Zhang Y H, Tang L Y, Drake G W F, Bondy A T, Truscott A G, Baldwin K G H 2022 Science 376 199
Google Scholar
[19] Yan Z C, Drake G W F 1995 Phys. Rev. Lett. 74 4791
Google Scholar
[20] Johnson W R, Cheng K T, Plante D R 1997 Phys. Rev. A 55 2728
Google Scholar
[21] Yerokhin V A, Pachucki K 2010 Phys. Rev. A 81 022507
Google Scholar
[22] Qi X Q, Zhang P P, Yan Z C, Shi T Y, Drake G W F, Chen A X, Zhong Z X 2023 Phys. Rev. A 107 L010802
Google Scholar
[23] Qi X Q, Zhang P P, Yan Z C, Drake G W F, Chen A X, Zhong Z X, Shi T Y 2024 Phys. Rev. A 110 012810
Google Scholar
[24] Bishop D M, Rérat M 1989 J. Chem. Phys. 91 5489
Google Scholar
[25] Johnson W R, Cheng K T 1996 Phys. Rev. A 53 1375
Google Scholar
[26] Zhu J M, Zhou B L, Yan Z C 1999 Chem. Phys. Lett. 313 184
Google Scholar
[27] Yan Z C, Zhu J M, Zhou B L 2000 Phys. Rev. A 62 034501
Google Scholar
[28] Zhu J M, Zhou B L, Yan Z C 2000 Mol. Phys. 98 529
Google Scholar
[29] Wu F F, Deng K, Lu Z H 2023 J. Quant. Spectrosc. Radiat. Transf. 295 108414
Google Scholar
[30] Wu F F, Qi X Q, Chen A X 2024 J. Chem. Phys. 161 134304
Google Scholar
[31] Takamine A, Wada M, Okada K, Nakamura T, Schury P, Sonoda T, Lioubimov V, Iimura H, Yamazaki Y, Kanai Y, Kojima T M, Yoshida A, Kubo T, Katayama I, Ohtani S, Wollnik H, Schuessler H A 2009 Eur. Phys. J. A 42 369
Google Scholar
[32] Tiesinga E, Mohr P J, Newell D B, Taylor B N 2021 Rev. Mod. Phys. 93 025010
Google Scholar
[33] Johnson W R, Blundell S A, Sapirstein J 1988 Phys. Rev. A 37 307
Google Scholar
[34] Wu F F, Shi T Y, Ni W T, Tang L Y 2023 Phys. Rev. A 108 L051101
Google Scholar
[35] Porsev S G, Kozlov M G, Safronova M S 2023 Phys. Rev. A 108 L051102
Google Scholar
-
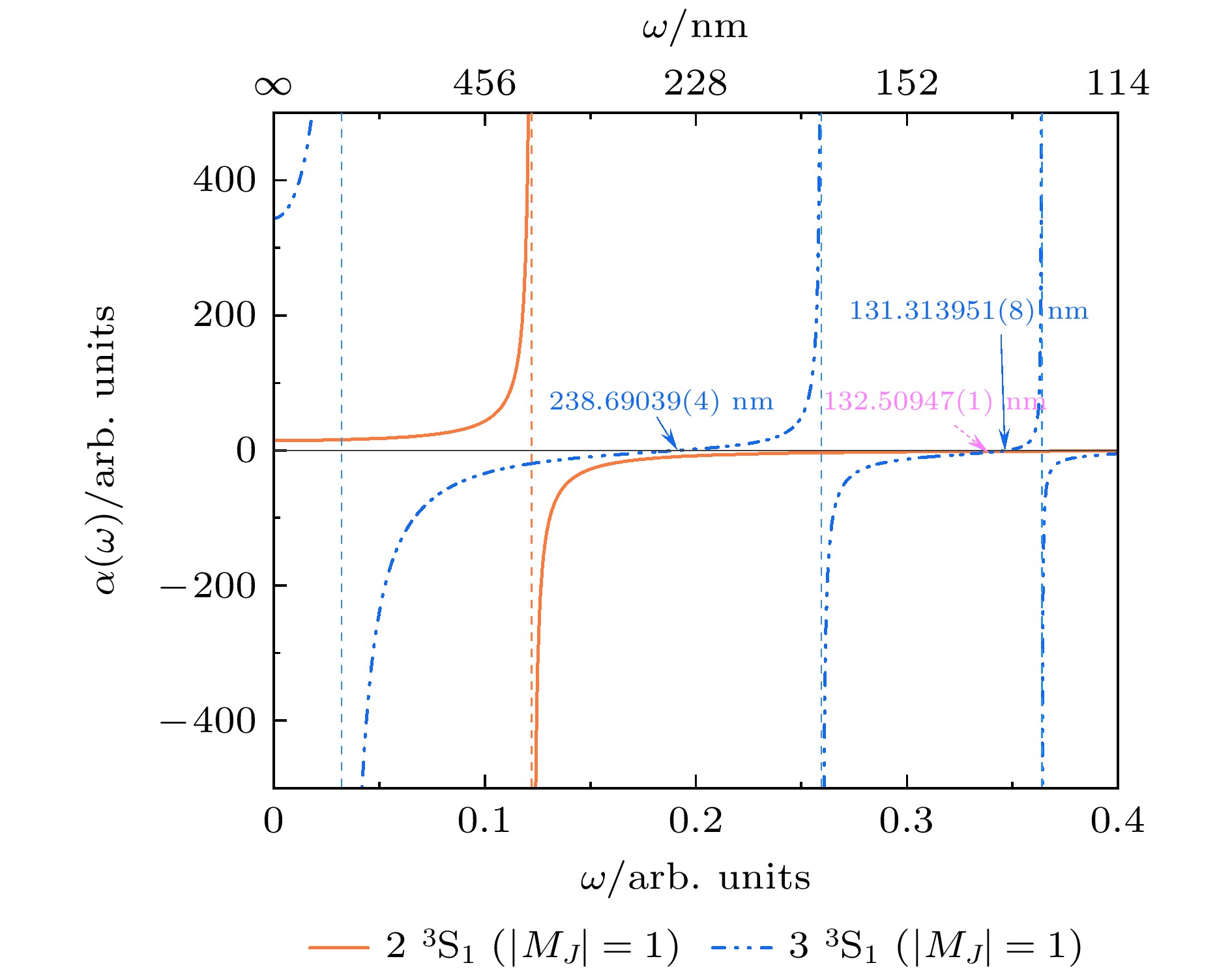
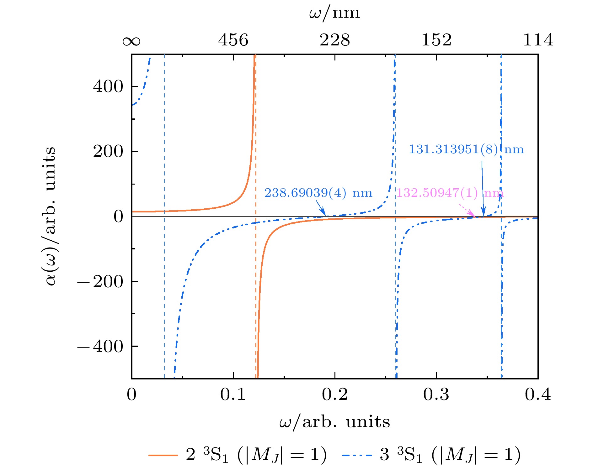
图 1 11Be2+离子$2^3 {\mathrm{S}}_1$和$3^3 {\mathrm{S}}_1$态$|M_{J}|=1$磁子能级的动力学电偶极极化率, 垂直虚线表示共振位置. 橘黄色和蓝色数字分别表示$2^3 {\mathrm{S}}_1(|M_{J}|=1)$和$3^3 {\mathrm{S}}_1(|M_{J}|=1)$态的幻零波长, 玫红色数字表示使$2^3 {\mathrm{S}}_1(|M_{J}|=1)$和$3^3 {\mathrm{S}}_1 $$ (|M_{J}|=1)$态极化率相等的魔幻波长
Fig. 1. Dynamic electric dipole polarizabilities of the 11Be2+ ion $2^3 {\mathrm{S}}_1(|M_{J}|=1)$ and $3^3 {\mathrm{S}}_1(|M_{J}|=1)$ states, with vertical dashed lines indicating the resonance positions. The orange and blue numbers represent the tune-out wavelengths for the $2^3 {\mathrm{S}}_1 |M_{J}|=1$ and $3^3 {\mathrm{S}}_1 |M_{J}|=1$ states, respectively, and the magenta numbers indicate the magic wavelengths at which the polarizabilities of the $2^3 {\mathrm{S}}_1(|M_{J}|=1)$ and $3^3 {\mathrm{S}}_1(|M_{J}|=1)$ states are equal.
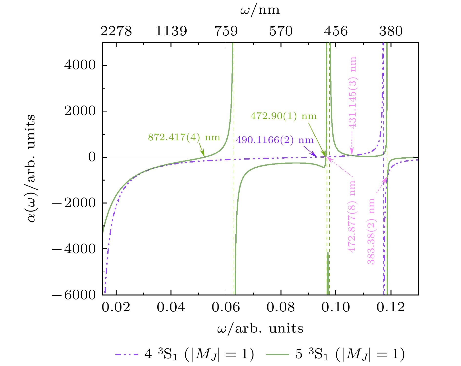
图 2 11Be2+离子$4^3 {\mathrm{S}}_1$和$5^3 {\mathrm{S}}_1$态$|M_{J}|=1$磁子能级的动力学电偶极极化率, 垂直虚线表示共振位置. 紫色和绿色数字分别表示$4^3 {\mathrm{S}}_1(|M_{J}|=1)$和$5^3 {\mathrm{S}}_1(|M_{J}|=1)$态的幻零波长, 玫红色数字表示使$4^3 {\mathrm{S}}_1(|M_{J}|=1)$和$5^3 {\mathrm{S}}_1(|M_{J}|= 1)$态极化率相等的魔幻波长
Fig. 2. Dynamic electric dipole polarizabilities of the 11Be2+ ion $4^3 {\mathrm{S}}_1(|M_{J}|=1)$ and $5^3 {\mathrm{S}}_1(|M_{J}|=1)$ states, with vertical dashed lines indicating the resonance positions. The purple and green numbers represent the tunw-out wavelengths for the $4^3 {\mathrm{S}}_1(|M_{J}|=1)$ and $5^3 {\mathrm{S}}_1(|M_{J}|=1)$ states, respectively, and the magenta numbers indicate the magic wavelengths at which the polarizabilities of the $4^3{\mathrm{ S}}_1(|M_{J}|=1)$ and $5^3 {\mathrm{S}}_1(|M_{J}|=1)$ states are equal.
表 1 11Be2+离子$ n ^3{\mathrm{S}}_1(n\leqslant 8) $态能量(a.u.)的收敛性检验, 以及∞Be2+离子$ n ^3{\mathrm{S}}_1~(6\leqslant n\leqslant 8) $态的能量(a.u.). 小括号内的数字是计算不确定度
Table 1. Convergence test of energy (in a.u.) for the $ n ^3{\mathrm{S}}_1~(n\leqslant 8) $ states of 11Be2+ ion, as well as the energy (in a.u.) for the $ n ^3{\mathrm{S}}_1(6\leqslant n\leqslant 8) $ states of ∞Be2+ ion. The numbers in parentheses are computational uncertainties.
(N, $ \ell_m $) $ 2 ^3\mathrm{S}_1 $ $ 3 ^3\mathrm{S}_1 $ $ 4 ^3\mathrm{S}_1 $ $ 5 ^3\mathrm{S}_1 $ $ 6 ^3\mathrm{S}_1 $ $ 7 ^3\mathrm{S}_1 $ $ 8 ^3\mathrm{S}_1 $ (40, 8) –9.2987118781 –8.5483475380 –8.3017888508 –8.1909936393 –8.1318566822 –8.0966153793 –8.0739367761 (40, 9) –9.2987119119 –8.5483475470 –8.3017888543 –8.1909936410 –8.1318566832 –8.0966153799 –8.0739367765 (40, 10) –9.2987118673 –8.5483475442 –8.3017888537 –8.1909936408 –8.1318566831 –8.0966153798 –8.0739367764 (45, 10) –9.298 711 9028 –8.5483475516 –8.3017888542 –8.1909936238 –8.1318565642 –8.0966147583 –8.0739335599 (50, 10) –9.2987118649 –8.5483475498 –8.3017888539 –8.1909936224 –8.1318565546 –8.0966147052 –8.0739332679 Extrap. –9.29871191(5) –8.54834755(2) –8.30178885(1) –8.19099362(3) –8.1318566(1) –8.0966147(4) –8.073933(4) –9.298711181[21] ∞Be2+ –9.29917621(4)[29] –8.54877343(4)[29] –8.30220222(4)[29] –8.19140139(4)[29] –8.1322613(2) –8.0970178(6) –8.074334(5) 表 2 11Be2+离子$ n ^3{\mathrm{P}}_{0, 1, 2}\, (n\leqslant 8) $态和∞Be2+离子$ n ^3{\mathrm{P}}_{0, 1, 2} \, (6\leqslant n\leqslant 8) $态的能量(a.u.). 小括号内的数字是计算不确定度
Table 2. Energy (in a.u.) for the $ n ^3{\mathrm{P}}_{0, 1, 2}\, (n\leqslant 8) $ states of 11Be2+ ion and the $ n ^3{\mathrm{P}}_{0, 1, 2}\, (6\leqslant n\leqslant 8) $ states of ∞Be2+ ion. The numbers in parentheses are computational uncertainties.
n $ ^3{\mathrm{P}}_0 $(11Be2+) $ ^3{\mathrm{P}}_0 $(∞Be2+) $ ^3{\mathrm{P}}_1 $(11Be2+) $ ^3{\mathrm{P}}_1 $(∞Be2+) $ ^3{\mathrm{P}}_2 $(11Be2+) $ ^3{\mathrm{P}}_2 $(∞Be2+) 2 –9.17627904(4) –9.176 700 64(4)[29] –9.17633162(4) –9.17675322(4)[29] –9.17626402(4) –9.17668561(4)[29] –9.176278322[21] –9.176330730[21] –9.176263355[21] 3 –8.51591623(4) –8.51633141(4)[29] –8.51592914(4) –8.51634433(4)[29] –8.51590908(4) –8.51632431(4)[29] 4 –8.28867151(4) –8.28908063(4)[29] –8.28867658(4) –8.28908570(4)[29] –8.28866814(4) –8.28907727(4)[29] 5 –8.18442245(4) –8.18482810(4)[29] –8.18442495(4) –8.18483061(4)[29] –8.18442064(4) –8.18482630(4)[29] 6 –8.12810385(8) –8.12850744(8) –8.12810527(8) –8.12850886(8) –8.12810278(8) –8.12850637(8) 7 –8.09427236(8) –8.09467469(8) –8.09427324(8) –8.09467556(8) –8.0942717(1) –8.0946740(1) 8 –8.0723741(4) –8.0727757(4) –8.0723745(4) –8.0727762(4) –8.072373(4) –8.0727752(4) 表 3 11Be2+离子$ n ^3{\mathrm{S}}_{1}\rightarrow m ^3{\mathrm{P}}_{0, 1, 2} $跃迁的振子强度(a.u.). 小括号中的数字是计算不确定度, 中括号中的数字表示10的幂次
Table 3. Oscillator strengths (in a.u.) for $ n ^3{\mathrm{S}}_{1}\rightarrow m ^3{\mathrm{P}}_{0, 1, 2} $ transitions of 11Be2+ ion. Numbers in parentheses are computational uncertainties. Numbers in square brackets represent the power of 10.
$ 2 ^3{\mathrm{S}}_1 $ $ 3 ^3{\mathrm{S}}_1 $ $ 4 ^3{\mathrm{S}}_1 $ $ 5 ^3{\mathrm{S}}_1 $ $ 2^3{\mathrm{P}}_0 $ 2.372207(2)[–2] 9.872733(2)[–3] 1.928282(2)[–3] 7.371365(4)[–4] $ 2^3{\mathrm{P}}_1 $ 7.113520(4)[–2] 2.959444(1)[–2] 5.780477(2)[–3] 2.209758(2)[–3] $ 2^3{\mathrm{P}}_2 $ 1.186353(6)[–1] 4.935354(6)[–2] 9.638898(6)[–3] 3.684637(4)[–3] $ 3^3{\mathrm{P}}_0 $ 2.8034387(2)[–2] 3.9595500(4)[–2] 2.1969329(1)[–2] 4.408759(2)[–3] $ 3^3{\mathrm{P}}_1 $ 8.412570(1)[–2] 1.1872683(2)[–1] 6.5866197(8)[–2] 1.3218516(4)[–2] $ 3^3{\mathrm{P}}_2 $ 1.4016114(8)[–1] 1.980174(5)[–1] 1.0983887(8)[–1] 2.204119(1)[–2] $ 4^3{\mathrm{P}}_0 $ 7.9394418(4)[–3] 2.9307965(4)[–2] 5.442867(2)[–2] 3.485147(2)[–2] $ 4^3{\mathrm{P}}_1 $ 2.3822715(1)[–2] 8.794741(2)[–2] 1.6320086(4)[–2] 1.0449598(8)[–1] $ 4^3{\mathrm{P}}_2 $ 3.969574(2)[–2] 1.465153(2)[–1] 2.721986(4)[–1] 1.742527(2)[–1] $ 5^3{\mathrm{P}}_0 $ 3.436979(4)[–3] 8.804208(4)[–3] 3.165094(4)[–2] 6.89132(2)[–2] $ 5^3{\mathrm{P}}_1 $ 1.031254(1)[–2] 2.641763(1)[–2] 9.49775(1)[–2] 2.066303(6)[–1] $ 5^3{\mathrm{P}}_2 $ 1.718454(2)[–2] 4.401593(4)[–2] 1.582203(2)[–1] 3.446360(4)[–1] $ 6^3{\mathrm{P}}_0 $ 1.822257(8)[–3] 3.98831(2)[–3] 9.67922(2)[–3] 3.44362(4)[–2] $ 6^3{\mathrm{P}}_1 $ 5.46755(4)[–3] 1.196685(8)[–2] 2.904307(4)[–2] 1.03336(2)[–1] $ 6^3{\mathrm{P}}_2 $ 9.11117(6)[–3] 1.99396(1)[–2] 4.838841(4)[–2] 1.72139(1)[–1] $ 7^3{\mathrm{P}}_0 $ 1.08963(8)[–3] 2.1925(2)[–3] 4.4708(2)[–3] 1.057500(8)[–2] $ 7^3{\mathrm{P}}_1 $ 3.2693(2)[–3] 6.5784(6)[–3] 1.34147(8)[–2] 3.17309(6)[–2] $ 7^3{\mathrm{P}}_2 $ 5.4481(6)[–3] 1.0961(1)[–2] 2.2351(1)[–2] 5.2866(2)[–2] $ 8^3{\mathrm{P}}_0 $ 7.067(8)[–4] 1.350(1)[–3] 2.503(4)[–3] 4.926(4)[–3] $ 8^3P_1 $ 2.1182(4)[–3] 4.051(4)[–3] 7.510(4)[–3] 1.479(2)[–3] $ 8^3{\mathrm{P}}_2 $ 3.530(2)[–3] 6.750(2)[–3] 1.252(2)[–2] 2.464(2)[–2] 表 4 11Be2+离子$ n ^3{\mathrm{S}}_1(n\leqslant 5) $态静态电偶极极化率(a.u.)的收敛性检验. 小括号中的数字是计算不确定度
Table 4. Convergence test of static dipole electric polarizability (in a.u.) for the $ n ^3{\mathrm{S}}_1(n\leqslant 5) $ states of 11Be2+ ion. The numbers in parentheses are computational uncertainties
(N, $ \ell_m $) $ 2\, ^3 {\mathrm{S}}_1(M_{J}=0/\pm 1) $ $ 3\, ^3 {\mathrm{S}}_1(M_{J}=0/\pm 1) $ $ 4\, ^3 {\mathrm{S}}_1(M_{J}=0/\pm 1) $ $ 5\, ^3 {\mathrm{S}}_1(M_{J}=0/\pm 1) $ (40, 8) 14.888529/14.891730 343.889786/343.954302 2868.6928/2869.2072 14424.502/14427.048 (40, 9) 14.888533/14.891735 343.889940/343.954462 2868.6941/2869.2085 14424.508/14427.054 (40, 10) 14.888538/14.891742 343.890034/343.954574 2868.6946/2869.2092 14424.510/14427.058 (45, 10) 14.888561/14.891758 343.890263/343.954742 2868.6970/2869.2111 14424.544/14427.088 (50, 10) 14.888528/14.891735 343.889933/343.954502 2868.6944/2869.2092 14424.531/14427.080 Extrap. 14.88858(6)/14.89177(4) 343.8904(7)/343.9548(5) 2868.697(5)/2869.211(4) 14424.54(4)/14427.08(4) 表 5 11Be2+离子$ n ^3{\mathrm{S}}_{1} (\leqslant 5) $态的动力学电偶极极化率及其计算不确定度(a.u.), ω为外场频率, 原子单位
Table 5. Dynamic electric dipole polarizabilities and computational uncertainties (in a.u.) for $ n ^3{\mathrm{S}}_{1} (\leqslant 5) $ states of 11Be2+ ion, where ω is the frequency of external field, in a.u.
ω/a.u. $ 2 ^3\mathrm{S}_1(M_{J}=0/\pm 1) $ $ 3 ^3\mathrm{S}_1(M_{J}=0/\pm 1) $ $ 4 ^3\mathrm{S}_1(M_{J}=0/\pm 1) $ $ 5 ^3\mathrm{S}_1(M_{J}=0/\pm 1) $ 0.02 15.27929(3)/15.28277(2) 551.7125(9)/551.9742(7) –2126.974(5)/–2125.537(4) –1666.090(2)/–1665.446(2) 0.03 15.79888(3)/15.80274(3) 2348.47(3)/2355.50(2) –649.2535(8)/–648.9762(6) –638.422(2)/–638.155(2) 0.04 16.59145(4)/16.59592(3) –645.258(3)/–644.484(2) –317.9701(4)/–317.8436(3) –284.578(3)/–284.410(3) 0.045 17.11436(4)/17.11926(3) –361.0677(9)/–360.7746(7) –238.3984(3)/–238.3025(2) –171.451(4)/–171.301(4) 0.05 17.74088(4)/17.74631(3) –240.8547(5)/–240.6914(4) –183.3957(2)/–183.3195(2) –60.173(6)/–60.025(7) 0.055 18.49116(5)/18.49728(4) –175.3147(3)/–175.2190(3) –143.3993(2)/–143.3365(2) 102.35(2)/102.53(2) 0.06 19.39221(5)/19.39919(4) –134.5050(2)/–134.4378(2) –113.0578(2)/–113.00454(9) 672.43(7)/672.93(7) 0.065 20.48070(6)/20.48879(5) –106.9053(2)/–106.8553(2) –89.1419(1)/–89.09557(8) –1326.21(8)/–1325.85(8) 0.07 21.80763(7)/21.81719(6) –87.1505(2)/–87.11157(9) –69.56520(9)/–69.52388(6) –490.156(5)/–490.103(5) 0.075 23.44577(9)/23.45730(7) –72.41078(9)/–72.37938(7) –52.87530(8)/–52.83766(5) –338.839(2)/–338.785(2) 0.08 25.5025(2)/25.51673(8) –61.05605(8)/–61.03007(6) –37.95614(6)/–37.92106(5) –278.694(3)/–278.627(3) 0.085 28.1427(2)/28.1609(1) –52.08358(7)/–52.06161(5) –23.81351(7)/–23.77994(6) –257.546(6)/–257.452(6) 0.09 31.6335(2)/31.6576(2) –44.84405(6)/–44.82516(4) –9.35342(8)/–9.32025(7) –277.90(2)/–277.68(2) 0.095 36.4367(3)/36.4702(2) –38.89943(5)/–38.88295(4) 6.9806(1)/7.01487(9) –432.7(2)/–431.7(2) 0.10 43.4261(4)/43.4760(3) –33.94404(5)/–33.92949(4) 28.0790(2)/28.1170(2) 441.99(6)/442.72(6) 0.11 74.483(2)/74.6458(9) –26.18144(4)/–26.16973(3) 131.7548(7)/131.8358(8) 32.52(3)/32.53(3) 0.12 361.19(4)/365.51(3) –20.39655(3)/–20.38682(2) –486.980(5)/–486.775(5) –146(1)/–146(1) 0.13 –111.268(4)/–110.830(3) –15.91658(3)/–15.90826(2) –116.4122(2)/–116.4040(2) –8.5(2)/–8.4(2) 0.14 –45.6790(6)/–45.5965(5) –12.32375(2)/–12.31647(2) –68.80539(6)/–68.79816(6) 0.15 –27.7762(3)/–27.7422(2) –9.34226(2)/–9.33576(2) –46.6878(2)/–46.6794(2) 0.16 –19.4618(2)/–19.4433(1) –6.77800(2)/–6.77207(2) –28.4859(4)/–28.4748(4) 0.17 –14.68262(9)/–14.67079(7) –4.48302(2)/–4.47750(2) 27.568(5)/27.602(5) 0.18 –11.59257(6)/–11.58420(5) –2.33146(2)/–2.32622(1) –76.562(2)/–76.550(2) 0.19 –9.43904(5)/–9.43342(4) –0.19850(2)/–0.193392(9) –51.2307(7)/–51.2156(7) 0.20 –7.85783(4)/–7.85328(3) 2.06578(2)/2.070910(9) –47.611(3)/–47.577(3) 0.22 –5.70307(3)/–5.70005(2) 8.05211(2)/8.058053(9) 56.557(6)/56.635(6) 0.24 –4.31412(2)/–4.31196(2) 22.40003(2)/22.41095(2) 2.70(5)/2.70(5) 0.26 –3.35158(2)/–3.349930(9) –1580.80(4)/–1566.25(4) –5.1(6)/–5.0(6) 0.28 –2.64914(1)/–2.647830(7) –26.249939(7)/–26.248577(8) 0.30 –2.115953(8)/–2.114877(6) –12.800496(3)/–12.799903(3) 0.32 –1.698284(7)/–1.697376(5) –7.278323(3)/–7.277525(3) 0.34 –1.362367(6)/–1.361585(4) –2.571976(7)/–2.570642(7) 0.36 –1.085927(5)/–1.085241(4) 22.4313(3)/22.4461(3) 0.38 –0.853663(4)/–0.853051(3) –10.49399(3)/–10.49349(3) 0.40 –0.654682(4)/–0.654128(3) –4.67869(3)/–4.67806(3) -
[1] Mitroy J, Safronova M S, Clark C W 2010 J. Phys. B: At. Mol. Opt. Phys. 43 202001
Google Scholar
[2] 王婷, 蒋丽, 王霞, 董晨钟, 武中文, 蒋军 2021 物理学报 70 043101
Google Scholar
Wang T, Jiang L, Wang X, Dong C Z, Wu Z W, Jiang J 2021 Acta Phys. Sin. 70 043101
Google Scholar
[3] Notermans R P M J W, Rengelink R J, van Leeuwen K A H, Vassen W 2014 Phys. Rev. A 90 052508
Google Scholar
[4] 娄宗帅, 王跃飞, 康博溢, 李睿, 张文君, 魏远飞, 布明鹭, 蔡翊宇 2025 物理学报 74 103202
Google Scholar
Lou Z S, Wang Y F, Kang B Y, Li R, Zhang W J, Wei Y F, Bu M L, Cai Y Y 2025 Acta Phys. Sin. 74 103202
Google Scholar
[5] Mitroy J, Zhang J Y, Bromley M W J 2008 Phys. Rev. A 77 032512
Google Scholar
[6] Babb J F, Klimchitskaya G L, Mostepanenko V M 2004 Phys. Rev. A 70 042901
Google Scholar
[7] Patkóš V C V, Yerokhin V A, Pachucki K 2021 Phys. Rev. A 103 042809
Google Scholar
[8] Patkóš V C V, Yerokhin V A, Pachucki K 2021 Phys. Rev. A 103 012803
Google Scholar
[9] Zheng X, Sun Y R, Chen J J, Jiang W, Pachucki K, Hu S M 2017 Phys. Rev. Lett. 118 063001
Google Scholar
[10] Kato K, Skinner T D G, Hessels E A 2018 Phys. Rev. Lett. 121 143002
Google Scholar
[11] Guan H, Chen S, Qi X Q, Liang S, Sun W, Zhou P, Huang Y, Zhang P P, Zhong Z X, Yan Z C, Drake G W F, Shi T Y, Gao K 2020 Phys. Rev. A 102 030801(R
Google Scholar
[12] Qi X Q, Zhang P P, Yan Z C, Drake G W F, Zhong Z X, Shi T Y, Chen S L, Huang Y, Guan H, Gao K L 2020 Phys. Rev. Lett. 125 183002
Google Scholar
[13] Sun W, Zhang P P, Zhou P P, Chen S L, Zhou Z Q, Huang Y, Qi X Q, Yan Z C, Shi T Y, Drake G W F, Zhong Z X, Guan H, Gao K L 2023 Phys. Rev. Lett. 131 103002
Google Scholar
[14] Qi X Q, Zhang P P, Yan Z C, Tang L Y, Chen A X, Shi T Y, Zhong Z X 2025 Phys. Rev. Res. 7 L022020
Google Scholar
[15] Puchalski M, Piszczatowski K, Komasa J, Jeziorski B, Szalewicz K 2016 Phys. Rev. A 93 032515
Google Scholar
[16] Mitroy J, Tang L Y 2013 Phys. Rev. A 88 052515
Google Scholar
[17] Wu F F, Deng K, Lu Z H 2022 Phys. Rev. A 106 042816
Google Scholar
[18] Henson B M, Ross J A, Thomas K F, Kuhn C N, Shin D K, Hodgman S S, Zhang Y H, Tang L Y, Drake G W F, Bondy A T, Truscott A G, Baldwin K G H 2022 Science 376 199
Google Scholar
[19] Yan Z C, Drake G W F 1995 Phys. Rev. Lett. 74 4791
Google Scholar
[20] Johnson W R, Cheng K T, Plante D R 1997 Phys. Rev. A 55 2728
Google Scholar
[21] Yerokhin V A, Pachucki K 2010 Phys. Rev. A 81 022507
Google Scholar
[22] Qi X Q, Zhang P P, Yan Z C, Shi T Y, Drake G W F, Chen A X, Zhong Z X 2023 Phys. Rev. A 107 L010802
Google Scholar
[23] Qi X Q, Zhang P P, Yan Z C, Drake G W F, Chen A X, Zhong Z X, Shi T Y 2024 Phys. Rev. A 110 012810
Google Scholar
[24] Bishop D M, Rérat M 1989 J. Chem. Phys. 91 5489
Google Scholar
[25] Johnson W R, Cheng K T 1996 Phys. Rev. A 53 1375
Google Scholar
[26] Zhu J M, Zhou B L, Yan Z C 1999 Chem. Phys. Lett. 313 184
Google Scholar
[27] Yan Z C, Zhu J M, Zhou B L 2000 Phys. Rev. A 62 034501
Google Scholar
[28] Zhu J M, Zhou B L, Yan Z C 2000 Mol. Phys. 98 529
Google Scholar
[29] Wu F F, Deng K, Lu Z H 2023 J. Quant. Spectrosc. Radiat. Transf. 295 108414
Google Scholar
[30] Wu F F, Qi X Q, Chen A X 2024 J. Chem. Phys. 161 134304
Google Scholar
[31] Takamine A, Wada M, Okada K, Nakamura T, Schury P, Sonoda T, Lioubimov V, Iimura H, Yamazaki Y, Kanai Y, Kojima T M, Yoshida A, Kubo T, Katayama I, Ohtani S, Wollnik H, Schuessler H A 2009 Eur. Phys. J. A 42 369
Google Scholar
[32] Tiesinga E, Mohr P J, Newell D B, Taylor B N 2021 Rev. Mod. Phys. 93 025010
Google Scholar
[33] Johnson W R, Blundell S A, Sapirstein J 1988 Phys. Rev. A 37 307
Google Scholar
[34] Wu F F, Shi T Y, Ni W T, Tang L Y 2023 Phys. Rev. A 108 L051101
Google Scholar
[35] Porsev S G, Kozlov M G, Safronova M S 2023 Phys. Rev. A 108 L051102
Google Scholar
计量
- 文章访问数: 1786
- PDF下载量: 40
- 被引次数: 0








下载: