-
晶格模式是周期性结构的固有特性, 通过改变阵列结构的周期可以对其进行有效调控. 本文提出了一种基于金纳米条与以VO2为衬底的金S型开口环的杂化太赫兹超表面结构, 该结构能够同时激发宽带的局域表面等离子体共振(明模式)和受晶格模式影响的窄带表面晶格共振(暗模式). 通过干涉相消效应, 在阵列结构单元中实现了明-明模式与明-暗模式的双诱导透明现象, 两个透明窗口的透射率分别达到66.03%和59.4%. 进一步研究表明, 通过调节阵列结构周期, 不仅可以有效调控透明窗口的形成, 还可以利用VO2电导率的动态变化, 实现透明窗 “ON/OFF” 的动态开关特性. 值得注意的是, 在受晶格模式影响的高频透明窗频点处, 观测到了8.1 ps的群延时. 此外, 周期调节还能显著优化共振性能, 可使低频点杂化共振的品质因子实现一个数量级的提升. 该研究为慢光器件、超灵敏传感器以及多频带窄带滤波器的设计提供了新的思路.
Electromagnetically induced transparency (EIT)-like phenomenon in terahertz (THz) metasurfaces facilitates flexible manipulation of electromagnetic wave transmission windows and enables light deceleration, rendering this phenomenon suitable for applications such as modulators, absorbers, slow light devices, and more. Traditional design methods focus on the coupling between bright-dark modes and bright-bright modes within the unit cell by leveraging interference cancellation effects to regulate electromagnetic wave transmission. Notably, the periodicity of the array structure also plays a pivotal role in adjusting the amplitude and resonance intensity of the transparent window, a phenomenon known as lattice-induced transparency (LIT). In this work, we introduce a gold nanorod structure and an S-shaped gold split-ring resonator supported on a vanadium dioxide (VO2) thin film to investigate LIT. Unlike traditional structures that solely consider single bright-bright or bright-dark mode coupling, our proposed structure integrates both bright-bright and bright-dark modes coupling. Furthermore, the dark mode in our structure is not a traditional multipolar mode but rather a surface lattice resonance (SLR) arising from the coupling between lattice modes and the localized surface plasmon resonance (LSPR) of the structure itself. Through the analysis of simulated transmission spectra for the individual gold nanorod and S-shaped split-ring structures, we observe that the gold nanorod exhibits LSPR at 0.985 THz, whereas the S-shaped split-ring structure demonstrates LSPR at 0.51 THz and SLR at 1.025 THz. When combined together, these structures form transparent windows with transmission rates of 66.03% at 0.643 THz and and 59.4% at 1.01 THz due to the interplay of bright-bright and bright-dark mode coupling. Upon examining the electric field distribution in the x-y plane, we find that the electric field energy is predominantly concentrated on the S-shaped split-ring. To gain deeper insights into each resonance mode, we employ multipolar decomposition to quantify resonance scattering energy. Our findings show that both transparent windows are predominantly governed by electric dipole scattering energy. Further investigations indicate that as the array structure’s period varies from 60 μm to 95 μm, the lattice mode progressively couples into the high frequency transmission valley (1.031 THz), giving rise to a high frequency hybrid mode (HFHM). The Q value of this mode initially increases and then decreases, peaking at 27 when the period is 84 μm. Similarly, as the period continues to increase, the lattice mode couples into the low frequency resonance valley (0.76 THz), forming a low frequency hybrid mode (LFHM) with a Q value that reaches a maximum of 51 at 115 μm—approximately one order of magnitude higher than that at a period of 60 μm. Additionally, as the periodicity increases, the near field coupling effect between adjacent units diminishes, leading to the gradual disappearance of the two transparent windows. To achieve active control over these transparent windows, we vary the conductivity of VO2 from 20 S/m to 30000 S/m, resulting in a decrease in the transmission amplitudes of the two transparent windows to 37.58% and 3.39%, respectively. Finally, we investigate the slow light effect of the two transparent windows and compare their maximum group delays, which are found to be 8.1 ps for each window. The terahertz metasurface proposed in this study paves the way for the design of future dynamically tunable sensing and slow light devices. -
Keywords:
- terahertz hybrid metasurface /
- lattice mode /
- lattice-induced transparency /
- quality factor
[1] Pendry J B 2000 Phys. Rev. Lett. 85 18
Google Scholar
[2] Seeds A J, Shams H, Fice M J, Renaud C C 2014 J. Lightwave Technol. 33 579
Google Scholar
[3] Jepsen P U, Cooke D G, Koch M 2011 Laser Photonics Rev. 5 124
Google Scholar
[4] Schurig D, Mock J J, Justice B J, Cummer S A, Pendry J B, Starr A F, Smith D R 2006 Science 314 977
Google Scholar
[5] Zhang S, Genov D A, Wang Y, Liu M, Zhang X 2008 Phys. Rev. Lett. 101 047401
Google Scholar
[6] Hu X G, Yuan S, Armghan A, Liu Y, Jiao Z, Lü H J, Zeng C, Huang Y, Huang Q Z, Wang Y, Xia J S 2017 J. Phys. D: Appl. Phys. 50 025301
Google Scholar
[7] Wang S, Zhang M, Ju A A, Wang B, Zhao R, Kong Z B, Wang K S, Lian P F 2023 Opt. Mater. Express 13 3607
Google Scholar
[8] Wang Z F, Wu J, Hou J Q, Wan F Y, Fu J H, Wu Q, Ran L X, Denidni T A 2025 Appl. Phys. Lett. 126 211701
Google Scholar
[9] Yahiaoui R, Burrow J A, Mekonen S M, Sarangan A, Mathews J, Agha I, Searles T A 2018 Phys. Rev. B 97 155403
Google Scholar
[10] Yu W, Meng H Y, Chen Z J, Li X P, Zhang X, Wang F Q, Wei Z C, Tan C H, Huang X G, Li S T 2018 Opt. Commun. 414 29
Google Scholar
[11] Jia Z P, Huang L, Su J B, Tang B 2020 Appl. Phys. Express 13 072006
Google Scholar
[12] Zhang Y T, Liu S Y, Huang W, Dong E X, Li H Y, Shi X T, Liu M, Zhang W T, Yin S, Luo Z Y 2022 Chin. Phys. B 31 068702
Google Scholar
[13] Nourinovin S, Rahman M M, Naftaly M, Philpott M P, Abbasi Q H, Alomainy A 2024 IEEE Trans. Biomed. Eng. 71 2180
Google Scholar
[14] Wang H, Zhang D Q, Jin Z W, Fang B, Pan G M, Hong Z, Shu F Z 2025 Phys. Scr. 100 035505
Google Scholar
[15] Zhou M, Li Y C, Tian J P, Yang R C 2025 Phys. Lett. A 536 130300
Google Scholar
[16] Shu C, Mei J S, Sun H Y, Chen L Y, Sun Y 2024 Opt. Quantum Electron. 56 43
Google Scholar
[17] Huang W, Cao S T, Liang S J, Shan Y, Zhang W T 2025 Phys. Rev. B 111 045429
Google Scholar
[18] Le-Van Q, Zoethout E, Geluk E J, Ramezani M, Berghuis M, Gómez Rivas J 2019 Adv. Opt. Mater. 7 1801451
Google Scholar
[19] Manjappa M, Srivastava Y K, Singh R 2016 Phys. Rev. B 94 161103
Google Scholar
[20] Khlopin D, Laux F, Wardley W P, Martin J, Wurtz G A, Plain J, Bonod N, Zayats A V, Dickson W, Gérard D 2017 J. Opt. Soc. Amer. B 34 691
Google Scholar
[21] Tan T C W, Srivastava Y K, Manjappa M, Plum E, Singh R 2018 Appl. Phys. Lett. 112 201111
Google Scholar
[22] Burrow J A, Yahiaoui R, Sarangan A, Mathews J, Agha I, Searles T A 2019 Opt. Lett. 44 2705
Google Scholar
[23] Karmakar S, Kumar D, Varshney R K, Roy Chowdhury D 2020 Opt. Lett. 45 3386
Google Scholar
[24] Seliuta D, Šlekas G, Valušis G, Kancleris Ž 2019 Opt. Lett. 44 759
Google Scholar
[25] Tan T C W, Plum E, Singh R 2020 Adv. Opt. Mater. 8
1901572
Google Scholar
[26] Luo C C, Tan T C W, Fan Z Y, Chen L, Singh R, Zhu Y M, Zhuang S L 2024 Sensor Actuat. B. 410 135628
Google Scholar
[27] Michaeli L, Suchowski H, Ellenbogen T 2020 Laser Photonics Rev. 14 1900204
Google Scholar
[28] Ning R X, Li D K, Yang T L, Chen Z H, Qian H W 2019 Sci. Rep. 9 15801
Google Scholar
[29] Luo H, Luo J, Chu H C, Ji W J, Lai Y 2025 Phys. Rev. Appl. 23 024025
Google Scholar
[30] Li T F, Chu Z T, Yang J, Ding C, Jia Y X, Fu X M, Zhao S, Liu Z T, Feng C Q, Wang J F 2025 Mater. Today Nano 29 100559
Google Scholar
[31] Mei J S, Song C L, Shu C 2021 Opt. Commun. 488 126851
Google Scholar
[32] Wang J P, Fan C Z 2025 Phys. Scr. 100 025517
Google Scholar
[33] 胡树南, 李德琼, 詹杰, 高恩多, 王琦, 刘南柳, 聂国政 2025 物理学报 74 097801
Google Scholar
Hu S N, Li D Q, Zhan J, Gao E D, Wang Q, Liu N L, Nie G Z 2025 Acta Phys. Sin. 74 097801
Google Scholar
[34] Guo W P, Wang Y, Liu C X, Tan P, Wang L, Li G C, Tian H 2024 Appl. Phys. Lett. 125 241703
Google Scholar
[35] Chen M M, Yang X X, Shu F Z 2024 Mater. Res. Bull. 180 113000
Google Scholar
[36] Wang Z, Xie J, Fan C Z 2024 J. Phys. D: Appl. Phys. 57 395107
Google Scholar
[37] Liu N, Langguth L, Weiss T, Kästel J, Fleischhauer M, Pfau T, Giessen H 2009 Nat. Mater. 8 758
Google Scholar
[38] Liu H, Fan Y X, Chen H G, Li L, Tao Z Y 2019 Opt. Commun. 445 277
Google Scholar
[39] Li C, Zhu W, Liu Z, Pan R H, Hu S, Du S, Li J J, Gu C Z 2020 Nanoscale 12 10065
Google Scholar
[40] Zhao Y C, Zhang Y X, Shi Q W, Liang S X, Huang W X, Kou W, Yang Z Q 2018 ACS Photonics 5 3040
Google Scholar
[41] Miroshnichenko A E, Flach S, Kivshar Y S 2010 Rev. Mod. Phys. 82 2257
Google Scholar
[42] Fan J X, Li Z L, Xue Z Q, Xing H Y, Lu D, Xu G Z, Gu J Q, Han J G, Cong L Q 2023 Opto-Electron. Sci. 2 230006
Google Scholar
[43] Fan F, Hou Y, Jiang Z W, Wang X H, Chang S J 2012 Appl. Opt. 51 4589
Google Scholar
[44] Gao W K, Chen F, Yang W X 2025 Opt. Commun. 590 132027
Google Scholar
[45] Liang D H, Chen T 2023 Diam. Relat. Mater. 131 109613
Google Scholar
[46] Lu J J, Li H, Qiu X J, Long H, Shen J 2025 Photonics Nanostruct. Fundam. Appl. 64 101370
Google Scholar
[47] Xu H Y, Xu H, Yang X J, Li M, Yu H F, Cheng Y X, Zhan S P, Chen Z Q 2024 Phys. Lett. A 504 129401
Google Scholar
[48] Zhang Z J, Yang J B, Han Y X, He X, Zhang J J, Huang J, Chen D B, Xu S Y, Xie W L 2020 Appl. Phys. A 126 199
Google Scholar
-
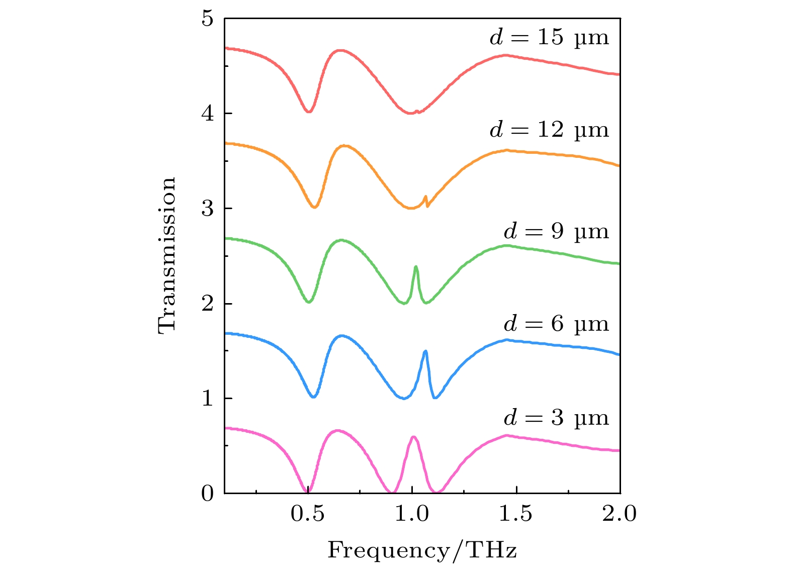
图 1 提出的超表面阵列结构及其单元结构示意图. 其中, $ P_{x} $ = $ P_{y} $ = 60 μm, $ l_{1} $ = 17.5 μm, $ l_{2} $ = 25 μm, $ l_{3} $ = 50 μm, w = 5 μm, d = 3 μm, $ h_{1} $ = $ h_{2} $ = 0.2 μm
Fig. 1. The proposed metasurface array structure and its unit structure schematic diagram. Among them, $ P_ {x} $ =$ P_ {y} $ = 60 μm, $ l_ {1} $ = 17.5 μm, $ l_ {2} $ = 25 μm, $ l_ {3} $ = 50 μm, w = 5 μm, d = 3 μm, $ h_ {1} $ = $ h_ {2} $ = 0.2 μm.
图 3 阵列结构在x-y平面的电场强度分布 (a), (b) S型开口环在0.51 THz与1.025 THz处电场分布; (c), (d) 两个透明窗在0.643 THz和1.01 THz处的电场分布. 粉色线为单元结构轮廓, 黄色箭头表示电场方向, 颜色条为共振强度. 带颜色的实心圆对应图2中透射谱的共振位置
Fig. 3. The electric field intensity distribution of the proposed array structure in the x-y plane: (a), (b) The electric field distribution of the S-shaped split-ring at 0.51 THz and 1.025 THz, respectively; (c), (d) represent the electric field distribution of the two transparent windows at 0.643 THz and 1.01 THz, respectively. The pink line outlines the unit structure, the yellow arrow denotes the direction of the electric field, and the color bar indicates the resonance intensity. The solid circles with colors correspond to the resonance positions of the transmission spectra in Fig. 2.
图 5 (a) S型开口环散射功率谱; (b) 组合结构散射功率谱. ED, MD, TD, EQ, MQ分别表示电偶极子、磁偶极子、环偶极子、电四偶极子、磁四偶极子, 黑色虚线表示共振位置
Fig. 5. (a) Scattered power spectra of the S-shaped split-ring; (b) scattered power spectra of the combined structure. ED, MD, TD, EQ, and MQ denote electric dipole, magnetic dipole, ring dipole, electric quadrupole, and magnetic quadrupole, respectively; black dashed lines denote resonance positions.
图 6 固定结构参数不变, 周期$ P_x $, $ P_y $从(a) 60 μm变化到84 μm与(b) 90 μm变化到115 μm时, 组合结构的仿真透射谱及其多极子分解散射功率谱. 晶格模式$ f_{{\rm{LM}}(\pm1, 0)} $用黑色三角符号表示, 红色虚线表示HFHM频率位置, 黑色虚线表示LFHM频率位置
Fig. 6. With fixed structural parameters, the simulated transmission spectra and multipole decomposition scattering power spectra of the combined structure are presented when the periods $ P_x $ and $ P_y $ are varied (a) from 60 μm to 84 μm and (b) from 90 μm to 115 μm. The lattice mode $ f_{{\rm{LM}}(\pm1, 0)} $ is denoted by black triangular symbols, with the red dashed line indicating the frequency position of HFHM and the black dashed line indicating the frequency position of LFHM.
图 9 当VO2电导率σ从20 S/m增加到30000 S/m时, 三种典型结构的透射光谱变化情况 (a) VO2完全覆盖基底表面; (b) VO2位于金纳米条下方; (c) VO2位于S型金开口环下方
Fig. 9. Evolution of transmission spectra for three characteristic structures as the electrical conductivity σ of VO2 increases from 20 S/m to 30, 000 S/m: (a) VO2 fully covering the substrate surface; (b) VO2 located beneath the gold nanorod; (c) VO2 positioned under the S-shaped split-ring.
表 1 多极矩及其远场散射功率表达式
Table 1. Multipole moment and its expression for far-field scattering power.
多极子 矩表达式 散射功率 电偶极子 (ED) $ p = \dfrac{1}{{\mathrm{i}}\omega} \displaystyle\int J({\boldsymbol{r}}) {\mathrm{d}}^3{\boldsymbol{r}} $ $ I_{\mathrm{p}} = \dfrac{2\omega^4}{3 c^3} |{\boldsymbol{p}}|^2 $ 磁偶极子 (MD) $ m = \dfrac{1}{{\mathrm{i}}c} \displaystyle\int {\boldsymbol{r}} \times J({\boldsymbol{r}}) {\mathrm{d}}^3{\boldsymbol{r}} $ $ I_{\mathrm{m}} = \dfrac{2\omega^4}{3 c^3} |{\boldsymbol{m}}|^2 $ 环偶极子 (TD) $ T = \dfrac{1}{10 c} \displaystyle\int \{ [{\boldsymbol{r}} \cdot J({\boldsymbol{r}})]{\boldsymbol{r}} - 2[{\boldsymbol{r}} \cdot {\boldsymbol{r}}]J({\boldsymbol{r}}) \} {\mathrm{d}}^3{\boldsymbol{r}} $ $ I_{\mathrm{T}} = \dfrac{2\omega^6}{3 c^5} |{\boldsymbol{T}}|^2 $ 电四偶极子 (EQ) $ Q_{\alpha\beta} = \dfrac{1}{2 {\mathrm{i}}\omega} \displaystyle\int \Big\{ r_{\alpha}J_{\beta}({\boldsymbol{r}}) + r_{\beta}J_{\alpha}({\boldsymbol{r}}) - \dfrac{2}{3}[{\boldsymbol{r}} \cdot J({\boldsymbol{r}})]\delta_{\alpha\beta} \Big\} {\mathrm{d}}^3{\boldsymbol{r}} $ $ I^{\mathrm{e}}_{\mathrm{Q}} = \dfrac{\omega^6}{5 c^5} \displaystyle\sum|Q_{\alpha\beta}|^2 $ 磁四偶极子 (MQ) $ M_{\alpha\beta} = \dfrac{1}{3 c} \displaystyle\int \{ [{\boldsymbol{r}} \times J({\boldsymbol{r}})]_{\alpha}r_{\beta} + [{\boldsymbol{r}} \times J({\boldsymbol{r}})]_{\beta}r_{\alpha} \} {\mathrm{d}}^3{\boldsymbol{r}} $ $ I^{\mathrm{m}}_{\mathrm{Q }}= \dfrac{\omega^6}{20 c^5} \displaystyle\sum|M_{\alpha\beta}|^2 $ 表 2 类电磁诱导透明超表面的群延时性能与本研究的对比
Table 2. Comparison of group delay performance EIT-like metasurfaces with that of this study.
-
[1] Pendry J B 2000 Phys. Rev. Lett. 85 18
Google Scholar
[2] Seeds A J, Shams H, Fice M J, Renaud C C 2014 J. Lightwave Technol. 33 579
Google Scholar
[3] Jepsen P U, Cooke D G, Koch M 2011 Laser Photonics Rev. 5 124
Google Scholar
[4] Schurig D, Mock J J, Justice B J, Cummer S A, Pendry J B, Starr A F, Smith D R 2006 Science 314 977
Google Scholar
[5] Zhang S, Genov D A, Wang Y, Liu M, Zhang X 2008 Phys. Rev. Lett. 101 047401
Google Scholar
[6] Hu X G, Yuan S, Armghan A, Liu Y, Jiao Z, Lü H J, Zeng C, Huang Y, Huang Q Z, Wang Y, Xia J S 2017 J. Phys. D: Appl. Phys. 50 025301
Google Scholar
[7] Wang S, Zhang M, Ju A A, Wang B, Zhao R, Kong Z B, Wang K S, Lian P F 2023 Opt. Mater. Express 13 3607
Google Scholar
[8] Wang Z F, Wu J, Hou J Q, Wan F Y, Fu J H, Wu Q, Ran L X, Denidni T A 2025 Appl. Phys. Lett. 126 211701
Google Scholar
[9] Yahiaoui R, Burrow J A, Mekonen S M, Sarangan A, Mathews J, Agha I, Searles T A 2018 Phys. Rev. B 97 155403
Google Scholar
[10] Yu W, Meng H Y, Chen Z J, Li X P, Zhang X, Wang F Q, Wei Z C, Tan C H, Huang X G, Li S T 2018 Opt. Commun. 414 29
Google Scholar
[11] Jia Z P, Huang L, Su J B, Tang B 2020 Appl. Phys. Express 13 072006
Google Scholar
[12] Zhang Y T, Liu S Y, Huang W, Dong E X, Li H Y, Shi X T, Liu M, Zhang W T, Yin S, Luo Z Y 2022 Chin. Phys. B 31 068702
Google Scholar
[13] Nourinovin S, Rahman M M, Naftaly M, Philpott M P, Abbasi Q H, Alomainy A 2024 IEEE Trans. Biomed. Eng. 71 2180
Google Scholar
[14] Wang H, Zhang D Q, Jin Z W, Fang B, Pan G M, Hong Z, Shu F Z 2025 Phys. Scr. 100 035505
Google Scholar
[15] Zhou M, Li Y C, Tian J P, Yang R C 2025 Phys. Lett. A 536 130300
Google Scholar
[16] Shu C, Mei J S, Sun H Y, Chen L Y, Sun Y 2024 Opt. Quantum Electron. 56 43
Google Scholar
[17] Huang W, Cao S T, Liang S J, Shan Y, Zhang W T 2025 Phys. Rev. B 111 045429
Google Scholar
[18] Le-Van Q, Zoethout E, Geluk E J, Ramezani M, Berghuis M, Gómez Rivas J 2019 Adv. Opt. Mater. 7 1801451
Google Scholar
[19] Manjappa M, Srivastava Y K, Singh R 2016 Phys. Rev. B 94 161103
Google Scholar
[20] Khlopin D, Laux F, Wardley W P, Martin J, Wurtz G A, Plain J, Bonod N, Zayats A V, Dickson W, Gérard D 2017 J. Opt. Soc. Amer. B 34 691
Google Scholar
[21] Tan T C W, Srivastava Y K, Manjappa M, Plum E, Singh R 2018 Appl. Phys. Lett. 112 201111
Google Scholar
[22] Burrow J A, Yahiaoui R, Sarangan A, Mathews J, Agha I, Searles T A 2019 Opt. Lett. 44 2705
Google Scholar
[23] Karmakar S, Kumar D, Varshney R K, Roy Chowdhury D 2020 Opt. Lett. 45 3386
Google Scholar
[24] Seliuta D, Šlekas G, Valušis G, Kancleris Ž 2019 Opt. Lett. 44 759
Google Scholar
[25] Tan T C W, Plum E, Singh R 2020 Adv. Opt. Mater. 8
1901572
Google Scholar
[26] Luo C C, Tan T C W, Fan Z Y, Chen L, Singh R, Zhu Y M, Zhuang S L 2024 Sensor Actuat. B. 410 135628
Google Scholar
[27] Michaeli L, Suchowski H, Ellenbogen T 2020 Laser Photonics Rev. 14 1900204
Google Scholar
[28] Ning R X, Li D K, Yang T L, Chen Z H, Qian H W 2019 Sci. Rep. 9 15801
Google Scholar
[29] Luo H, Luo J, Chu H C, Ji W J, Lai Y 2025 Phys. Rev. Appl. 23 024025
Google Scholar
[30] Li T F, Chu Z T, Yang J, Ding C, Jia Y X, Fu X M, Zhao S, Liu Z T, Feng C Q, Wang J F 2025 Mater. Today Nano 29 100559
Google Scholar
[31] Mei J S, Song C L, Shu C 2021 Opt. Commun. 488 126851
Google Scholar
[32] Wang J P, Fan C Z 2025 Phys. Scr. 100 025517
Google Scholar
[33] 胡树南, 李德琼, 詹杰, 高恩多, 王琦, 刘南柳, 聂国政 2025 物理学报 74 097801
Google Scholar
Hu S N, Li D Q, Zhan J, Gao E D, Wang Q, Liu N L, Nie G Z 2025 Acta Phys. Sin. 74 097801
Google Scholar
[34] Guo W P, Wang Y, Liu C X, Tan P, Wang L, Li G C, Tian H 2024 Appl. Phys. Lett. 125 241703
Google Scholar
[35] Chen M M, Yang X X, Shu F Z 2024 Mater. Res. Bull. 180 113000
Google Scholar
[36] Wang Z, Xie J, Fan C Z 2024 J. Phys. D: Appl. Phys. 57 395107
Google Scholar
[37] Liu N, Langguth L, Weiss T, Kästel J, Fleischhauer M, Pfau T, Giessen H 2009 Nat. Mater. 8 758
Google Scholar
[38] Liu H, Fan Y X, Chen H G, Li L, Tao Z Y 2019 Opt. Commun. 445 277
Google Scholar
[39] Li C, Zhu W, Liu Z, Pan R H, Hu S, Du S, Li J J, Gu C Z 2020 Nanoscale 12 10065
Google Scholar
[40] Zhao Y C, Zhang Y X, Shi Q W, Liang S X, Huang W X, Kou W, Yang Z Q 2018 ACS Photonics 5 3040
Google Scholar
[41] Miroshnichenko A E, Flach S, Kivshar Y S 2010 Rev. Mod. Phys. 82 2257
Google Scholar
[42] Fan J X, Li Z L, Xue Z Q, Xing H Y, Lu D, Xu G Z, Gu J Q, Han J G, Cong L Q 2023 Opto-Electron. Sci. 2 230006
Google Scholar
[43] Fan F, Hou Y, Jiang Z W, Wang X H, Chang S J 2012 Appl. Opt. 51 4589
Google Scholar
[44] Gao W K, Chen F, Yang W X 2025 Opt. Commun. 590 132027
Google Scholar
[45] Liang D H, Chen T 2023 Diam. Relat. Mater. 131 109613
Google Scholar
[46] Lu J J, Li H, Qiu X J, Long H, Shen J 2025 Photonics Nanostruct. Fundam. Appl. 64 101370
Google Scholar
[47] Xu H Y, Xu H, Yang X J, Li M, Yu H F, Cheng Y X, Zhan S P, Chen Z Q 2024 Phys. Lett. A 504 129401
Google Scholar
[48] Zhang Z J, Yang J B, Han Y X, He X, Zhang J J, Huang J, Chen D B, Xu S Y, Xie W L 2020 Appl. Phys. A 126 199
Google Scholar
计量
- 文章访问数: 256
- PDF下载量: 11
- 被引次数: 0








下载: