-
有效的气体-表面相互作用参数对准确预测气体在稀薄环境中的流动特性至关重要. 然而微观分子碰撞模型中不同分子动力学模拟方法得到的适应系数差异很大. 为了准确描述非平衡环境中分子碰撞与动量、能量适应的关系, 本文采用分子动力学模拟研究了氩与铂表面的相互作用. 通过单个散射(SS)和连续散射(CS)方法系统地讨论了气-气碰撞对适应系数的影响. 比较了两种方法在不同表面形态、表面温度、入射气体分子速度等影响因素下的气体-表面相互作用特性. 得到了适应系数与表面温度、入射速度等参数之间的依赖关系. 通过分析两种模拟方法的差异, 揭示了多参数入射条件下适应系数变化的物理机制, 为建立更精准的气体-表面相互作用模型提供了重要基础和依据.In rarefied gas flows, accommodation coeffcients (ACs) serve as core parameters for gas-surface interactions and play a crucial role in the accuracy of mesoscopic model simulations. However, there exist significant discrepancies in the ACs obtained by different molecular dynamics simulation methods. To accurately characterize the momentum and energy accommodation properties of rarefied gases with solid surfaces under non-equilibrium conditions, this study systematically investigates the gas-surface interactions between argon molecules and platinum surfaces using molecular dynamics (MD) methods. By using single scattering (SS) and continuous scattering (CS) methods, the effects of gas-gas collisions on tangential momentum accommodation coeffcient (TMAC), normal momentum accommodation coeffcient (NMAC), and energy accommodation coeffcients (EAC) are compared and analyzed, as well as the operating rules of parameters such as surface morphology, surface temperature, incident velocity, and mean free path (MFP). The results demonstrate that gas density exerts a dual effect on momentum and energy accommodation: at smaller MFP, the high gas density within the interaction region impedes the accommodation of subsequent incident molecules with the surface, resulting in lower ACs; at moderate MFP, gas-gas collisions promote the accommodation by increasing the frequency of gas-surface collisions, thereby enhancing ACs. Within the MFP range of 2.0–60.0 nm, the deviation in ACs between the CS and SS methods ranges from –14.88% to 5.21%, validating the dual role of gas density. Furthermore, at larger MFP, the TMAC and NMAC obtained via the CS method exhibit different trends with the increase of MFP across surfaces of varying morphologies. In contrast to gas density, increases in both surface temperature and incident velocity shorten the interaction time, resulting in reduced ACs. Notably, the effect of temperature varies across surfaces with different morphologies: elevated temperatures on smooth surfaces enhance the thermal fluctuations of surface atoms, thereby increasing NMAC, while elevated temperatures on rough surfaces make the rough structures smoother, thereby suppressing accommodation. Under high-speed incident conditions, gas-gas collisions enhance NMAC on smooth surfaces, inhibit both TMAC and NMAC on rough surfaces, and suppress EAC across all surfaces. In addition, the ACs obtained via both the CS and SS methods decrease with the increase of incident velocity on surfaces of different morphologies.
-
Keywords:
- molecular dynamics /
- gas-surface interaction /
- accommodation coefficient /
- surface morphology
[1] Chen Y Y, Chen D X, Liang S Z, Dai Y G, Bai X, Song B, Zhang D Y, Chen H W, Feng L 2022 Adv. Intell. Syst. 4 2100116
Google Scholar
[2] Zang H F, Zhang Z Y, Huang Z T, Lu Y H, Wang P 2024 Sci. Adv. 10 eadk2265
Google Scholar
[3] Song B W, Wang C W, Fan S Y, Zhang L R, Zhang C C, Xiong W, Hu Y L, Chu J R, Wu D, Li J W 2024 Adv. Funct. Mater. 34 2305245
Google Scholar
[4] Li B, Li H J, Yao X Y, Zhu X F, Liu N K 2022 Appl. Surf. Sci. 584 152617
Google Scholar
[5] Maxwell J C 1879 Philos. Trans. R. Soc. Lond. 170 231
Google Scholar
[6] Rooholghdos S A, Roohi E 2014 Comput. Math. Appl. 67 2029
Google Scholar
[7] Burnett D 1935 Proc. Lond. Math. Soc. s2-39 385
Google Scholar
[8] Shavaliyev M 1993 J. Appl. Math. Mech. 57 573
Google Scholar
[9] Lord R G 1995 Phys. Fluids 7 1159
Google Scholar
[10] Cercignani C, Lampis M 1971 Transp. Theory Stat. Phys. 1 101
Google Scholar
[11] Liang T F, Li Q, Ye W J 2018 J. Comput. Phys. 352 105
Google Scholar
[12] Yamamoto K 2001 Rarefied Gas Dynamics: 22nd International Symposium Sydney, Australia, July 9–14, 2000 p339
[13] Park J H, Baek S W 2004 Int. J. Heat Mass Transf. 47 1313
Google Scholar
[14] Liang Z, Keblinski P 2014 Int. J. Heat Mass Transf. 78 161
Google Scholar
[15] Yamaguchi H, Matsuda Y, Niimi T 2017 Phys. Rev. E 96 013116
Google Scholar
[16] Yousefi-Nasab S, Safdari J, Karimi-Sabet J, Mallah hasan M 2021 Vacuum 183 109864
Google Scholar
[17] Agrawal A, Prabhu S V 2008 J. Vac. Sci. Technol. A 26 634
Google Scholar
[18] Mohammad Nejad S, Nedea S, Frijns A, Smeulders D 2020 Micromachines 11 319
Google Scholar
[19] Rappe A K, Casewit C J, Colwell K S, Goddard W A I, Skiff W M 1992 J. Am. Chem. Soc. 114 10024
Google Scholar
[20] Rettner C T 1998 IEEE Trans. Magn. 34 2387
Google Scholar
[21] Minton T K, Tagawa M, Nathanson G M 2004 J. Spacecr. Rockets 41 389
Google Scholar
[22] Tekasakul P, Bentz J A, Tompson R V, Loyalka S K 1996 J. Vac. Sci. Technol. A 14 2946
Google Scholar
[23] Jousten K 2002 J. Vac. Sci. Technol. A 21 318
Google Scholar
[24] Arya G, Hsueh-Chia C, Maginn E J 2003 Mol. Simul. 29 697
Google Scholar
[25] Yamamoto K, Takeuchi H, Hyakutake T 2006 Phys. Fluids 18 046103
Google Scholar
[26] Prabha S K, Sathian S P 2012 Phys. Rev. E 85 041201
Google Scholar
[27] Cao B Y, Chen M, Guo Z Y 2005 Appl. Phys. Lett. 86 091905
Google Scholar
[28] Peddakotla S A, Kammara K K, Kumar R 2019 Microfluid. Nanofluid. 23 79
Google Scholar
[29] Sipkens T A, Daun K J 2018 J. Phys. Chem. C 122 20431
Google Scholar
[30] Chirita V, Pailthorpe B A, Collins R E 1993 J. Phys. D Appl. Phys. 26 133
Google Scholar
[31] Finger G W, Kapat J S, Bhattacharya A 2006 J. Fluids Eng. 129 31
Google Scholar
[32] Ozhgibesov M, Leu T, Cheng C, Utkin A 2012 J. Mol. Graph.Model. 38 375
Google Scholar
[33] Xiao C, Shi P F, Yan W M, Chen L, Qian L M, Kim S H 2019 Colloids Interfaces 3 55
Google Scholar
[34] Skoulidas A I, Sholl D S, Johnson J K 2006 J. Chem. Phys. 124 054708
Google Scholar
[35] Moe K, Moe M M 2011 27th International Symposium on Rarefied Gas Dynamics Pacific Grove, California, USA, July 10–15, 2010 p1313
[36] Miao Q, Li L Q, Pi X C, Qiu Y, Fang M 2023 Phys. Fluids 35 082113
Google Scholar
[37] Mohammad Nejad S, Nedea S, Frijns A, Smeulders D 2022 Phys. Fluids 34 117122
Google Scholar
[38] Wang Z J, Song C Q, Qin F H, Luo X S 2021 J. Fluid Mech. 928 A34
Google Scholar
[39] Liang T F, Zhang J, Li Q 2021 Phys. Fluids 33 082005
Google Scholar
[40] Liang T F, Li Q 2019 J. Appl. Phys. 126 084304
Google Scholar
[41] Tao R L, Wang Z H 2024 Chin. J. Aeronaut. 37 228
Google Scholar
[42] Minkowycz W, Sparrow E 2000 Advances in Numerical Heat Transfer (Vol. 2) (Boca Raton: CRC Press) p200
[43] Paterlini M, Ferguson D M 1998 Chem. Phys. 236 243
Google Scholar
[44] Tully J C 1980 J. Chem. Phys. 73 1975
Google Scholar
[45] Adelman S A, Doll J D 1976 J. Chem. Phys. 64 2375
Google Scholar
[46] Kimura T, Maruyama S 2002 Microscale Thermophys. Eng. 6 3
Google Scholar
[47] Maruyama S, Kimura T 1999 Therm. Sci. Eng 7 63
[48] Foiles S M, Baskes M I, Daw M S 1986 Phys. Rev. B 33 7983
Google Scholar
[49] Spijker P, Markvoort A J, Nedea S V, Hilbers P A J 2010 Phys. Rev. E 81 011203
Google Scholar
[50] Pham T T, To Q D, Lauriat G, Léonard C, Hoang V V 2012 Phys. Rev. E 86 051201
Google Scholar
[51] Cao B Y, Sun J, Chen M, Guo Z Y 2009 Int. J. Mol. Sci. 10 4638
Google Scholar
[52] Borisov S F, Litvinenko S A, Semenov Y G, Suetin P E 1978 J. Eng. Phys. 34 603
Google Scholar
[53] Reinhold J, Veltzke T, Wells B, Schneider J, Meierhofer F, Colombi Ciacchi L, Chaffee A, Thöming J 2014 Comput. Fluids 97 31
Google Scholar
[54] 张冉, 常青, 李桦 2018 物理学报 67 223401
Google Scholar
Zhang R, Chang Q, Li H 2018 Acta Phys. Sin. 67 223401
Google Scholar
-
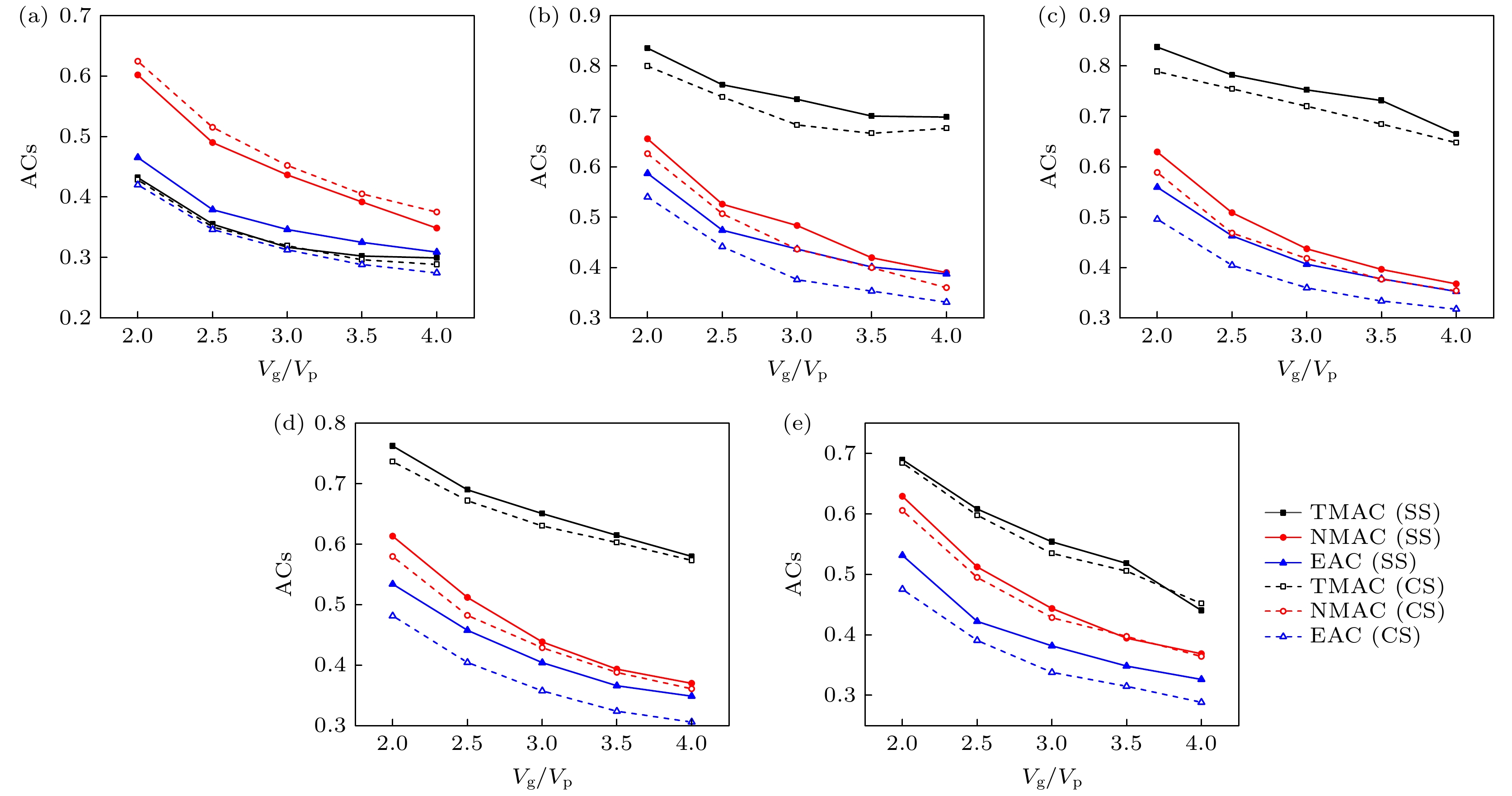
图 9 不同形态表面和表面温度下CS与SS方法得到的ACs对比图 (a) 光滑表面; (b) 一维正弦粗糙表面; (c) 二维正弦粗糙表面; (d) 金字塔形粗糙表面; (e) 随机粗糙表面
Fig. 9. Comparison of ACs obtained by CS and SS methods on surfaces with different morphologies at varying surface temperatures: (a) Smooth surface; (b) 1D sinusoidal rough surface; (c) 2D sinusoidal rough surface; (d) pyramidal rough surface; (e) random rough surface.
图 13 不同形态表面和入射速度下CS与SS方法得到的ACs对比图 (a) 光滑表面; (b) 一维正弦粗糙表面; (c) 二维正弦粗糙表面; (d) 金字塔形粗糙表面; (e) 随机粗糙表面
Fig. 13. Comparison of ACs obtained by CS and SS methods on surfaces with different morphologies at varying incident velocities: (a) Smooth surface; (b) 1D sinusoidal rough surface; (c) 2D sinusoidal rough surface; (d) pyramidal rough surface; (e) random rough surface.
表 1 光滑表面下MFP为2.0, 1.0, 0.5, 0.2 nm时得到的适应系数
Table 1. Accommodation coefficients obtained on a smooth surface at MFP is 2.0, 1.0, 0.5, and 0.2 nm.
MFP/nm TMAC NMAC EAC 2.0 0.669 0.533 0.538 1.0 0.637 0.446 0.498 0.5 0.612 0.408 0.425 0.2 0.491 0.269 0.278 表 2 不同形态表面和MFP下CS与SS方法ACs的正负最大差值
Table 2. Maximum positive and negative differences in ACs between CS and SS methods on surfaces with different morphologies at varying MFP.
表面形态 正负最大差值 TMAC NMAC EAC Smooth 正差值 0.007 0.002 0.028 负差值 –0.028 –0.070 –0.004 2Dsin 正差值 0.020 0.024 0.018 负差值 –0.143 –0.052 –0.013 Random 正差值 0.018 0.017 0.017 负差值 –0.064 –0.080 –0.022 表 3 不同形态表面下SS方法在300 K和900 K表面温度得到的ACs的差值
Table 3. Differences in ACs obtained by the SS method on surfaces with different morphologies at surface temperatures of 300 K and 900 K.
表面形态 TMAC NMAC EAC Smooth 0.213 0.009 0.140 1Dsin 0.325 0.124 0.270 2Dsin 0.335 0.141 0.249 Pyramid 0.286 0.107 0.226 Random 0.236 0.111 0.224 -
[1] Chen Y Y, Chen D X, Liang S Z, Dai Y G, Bai X, Song B, Zhang D Y, Chen H W, Feng L 2022 Adv. Intell. Syst. 4 2100116
Google Scholar
[2] Zang H F, Zhang Z Y, Huang Z T, Lu Y H, Wang P 2024 Sci. Adv. 10 eadk2265
Google Scholar
[3] Song B W, Wang C W, Fan S Y, Zhang L R, Zhang C C, Xiong W, Hu Y L, Chu J R, Wu D, Li J W 2024 Adv. Funct. Mater. 34 2305245
Google Scholar
[4] Li B, Li H J, Yao X Y, Zhu X F, Liu N K 2022 Appl. Surf. Sci. 584 152617
Google Scholar
[5] Maxwell J C 1879 Philos. Trans. R. Soc. Lond. 170 231
Google Scholar
[6] Rooholghdos S A, Roohi E 2014 Comput. Math. Appl. 67 2029
Google Scholar
[7] Burnett D 1935 Proc. Lond. Math. Soc. s2-39 385
Google Scholar
[8] Shavaliyev M 1993 J. Appl. Math. Mech. 57 573
Google Scholar
[9] Lord R G 1995 Phys. Fluids 7 1159
Google Scholar
[10] Cercignani C, Lampis M 1971 Transp. Theory Stat. Phys. 1 101
Google Scholar
[11] Liang T F, Li Q, Ye W J 2018 J. Comput. Phys. 352 105
Google Scholar
[12] Yamamoto K 2001 Rarefied Gas Dynamics: 22nd International Symposium Sydney, Australia, July 9–14, 2000 p339
[13] Park J H, Baek S W 2004 Int. J. Heat Mass Transf. 47 1313
Google Scholar
[14] Liang Z, Keblinski P 2014 Int. J. Heat Mass Transf. 78 161
Google Scholar
[15] Yamaguchi H, Matsuda Y, Niimi T 2017 Phys. Rev. E 96 013116
Google Scholar
[16] Yousefi-Nasab S, Safdari J, Karimi-Sabet J, Mallah hasan M 2021 Vacuum 183 109864
Google Scholar
[17] Agrawal A, Prabhu S V 2008 J. Vac. Sci. Technol. A 26 634
Google Scholar
[18] Mohammad Nejad S, Nedea S, Frijns A, Smeulders D 2020 Micromachines 11 319
Google Scholar
[19] Rappe A K, Casewit C J, Colwell K S, Goddard W A I, Skiff W M 1992 J. Am. Chem. Soc. 114 10024
Google Scholar
[20] Rettner C T 1998 IEEE Trans. Magn. 34 2387
Google Scholar
[21] Minton T K, Tagawa M, Nathanson G M 2004 J. Spacecr. Rockets 41 389
Google Scholar
[22] Tekasakul P, Bentz J A, Tompson R V, Loyalka S K 1996 J. Vac. Sci. Technol. A 14 2946
Google Scholar
[23] Jousten K 2002 J. Vac. Sci. Technol. A 21 318
Google Scholar
[24] Arya G, Hsueh-Chia C, Maginn E J 2003 Mol. Simul. 29 697
Google Scholar
[25] Yamamoto K, Takeuchi H, Hyakutake T 2006 Phys. Fluids 18 046103
Google Scholar
[26] Prabha S K, Sathian S P 2012 Phys. Rev. E 85 041201
Google Scholar
[27] Cao B Y, Chen M, Guo Z Y 2005 Appl. Phys. Lett. 86 091905
Google Scholar
[28] Peddakotla S A, Kammara K K, Kumar R 2019 Microfluid. Nanofluid. 23 79
Google Scholar
[29] Sipkens T A, Daun K J 2018 J. Phys. Chem. C 122 20431
Google Scholar
[30] Chirita V, Pailthorpe B A, Collins R E 1993 J. Phys. D Appl. Phys. 26 133
Google Scholar
[31] Finger G W, Kapat J S, Bhattacharya A 2006 J. Fluids Eng. 129 31
Google Scholar
[32] Ozhgibesov M, Leu T, Cheng C, Utkin A 2012 J. Mol. Graph.Model. 38 375
Google Scholar
[33] Xiao C, Shi P F, Yan W M, Chen L, Qian L M, Kim S H 2019 Colloids Interfaces 3 55
Google Scholar
[34] Skoulidas A I, Sholl D S, Johnson J K 2006 J. Chem. Phys. 124 054708
Google Scholar
[35] Moe K, Moe M M 2011 27th International Symposium on Rarefied Gas Dynamics Pacific Grove, California, USA, July 10–15, 2010 p1313
[36] Miao Q, Li L Q, Pi X C, Qiu Y, Fang M 2023 Phys. Fluids 35 082113
Google Scholar
[37] Mohammad Nejad S, Nedea S, Frijns A, Smeulders D 2022 Phys. Fluids 34 117122
Google Scholar
[38] Wang Z J, Song C Q, Qin F H, Luo X S 2021 J. Fluid Mech. 928 A34
Google Scholar
[39] Liang T F, Zhang J, Li Q 2021 Phys. Fluids 33 082005
Google Scholar
[40] Liang T F, Li Q 2019 J. Appl. Phys. 126 084304
Google Scholar
[41] Tao R L, Wang Z H 2024 Chin. J. Aeronaut. 37 228
Google Scholar
[42] Minkowycz W, Sparrow E 2000 Advances in Numerical Heat Transfer (Vol. 2) (Boca Raton: CRC Press) p200
[43] Paterlini M, Ferguson D M 1998 Chem. Phys. 236 243
Google Scholar
[44] Tully J C 1980 J. Chem. Phys. 73 1975
Google Scholar
[45] Adelman S A, Doll J D 1976 J. Chem. Phys. 64 2375
Google Scholar
[46] Kimura T, Maruyama S 2002 Microscale Thermophys. Eng. 6 3
Google Scholar
[47] Maruyama S, Kimura T 1999 Therm. Sci. Eng 7 63
[48] Foiles S M, Baskes M I, Daw M S 1986 Phys. Rev. B 33 7983
Google Scholar
[49] Spijker P, Markvoort A J, Nedea S V, Hilbers P A J 2010 Phys. Rev. E 81 011203
Google Scholar
[50] Pham T T, To Q D, Lauriat G, Léonard C, Hoang V V 2012 Phys. Rev. E 86 051201
Google Scholar
[51] Cao B Y, Sun J, Chen M, Guo Z Y 2009 Int. J. Mol. Sci. 10 4638
Google Scholar
[52] Borisov S F, Litvinenko S A, Semenov Y G, Suetin P E 1978 J. Eng. Phys. 34 603
Google Scholar
[53] Reinhold J, Veltzke T, Wells B, Schneider J, Meierhofer F, Colombi Ciacchi L, Chaffee A, Thöming J 2014 Comput. Fluids 97 31
Google Scholar
[54] 张冉, 常青, 李桦 2018 物理学报 67 223401
Google Scholar
Zhang R, Chang Q, Li H 2018 Acta Phys. Sin. 67 223401
Google Scholar
计量
- 文章访问数: 529
- PDF下载量: 10
- 被引次数: 0








下载: