2023 Vol. 72, No. 14
column
- SPECIAL TOPIC—Two dimensional twisted moiré superlattice
- GENERAL
- NUCLEAR PHYSICS
- ATOMIC AND MOLECULAR PHYSICS
- ELECTROMAGNETISM, OPTICS, ACOUSTICS, HEAT TRANSFER, CLASSICAL MECHANICS, AND FLUID DYNAMICS
- PHYSICS OF GASES, PLASMAS, AND ELECTRIC DISCHARGES
- CONDENSED MATTER: STRUCTURAL, MECHANICAL, AND THERMAL PROPERTIES
- CONDENSED MATTER: ELECTRONIC STRUCTURE, ELECTRICAL, MAGNETIC, AND OPTICAL PROPERTIES
- INTERDISCIPLINARY PHYSICS AND RELATED AREAS OF SCIENCE AND TECHNOLOGY
- GEOPHYSICS, ASTRONOMY, AND ASTROPHYSICS
Display Method:
2023, 72(14): 147303.
doi: 10.7498/aps.72.20230497
Abstract:
A flat band with nearly zero dispersion can be created by twisting the relative orientation of van der Waals materials, leading to a series of strongly correlated states, such as unconventional superconductivity, correlated insulating state, and orbital magnetism. The bandwidth and topological property of electronic band structure in a twisted double bilayer graphene are tunable by an external displacement field. This system can be an excellent quantum simulator to study the interplay between topological phase transition and strong electron correlation. Theoretical calculation shows that the\begin{document}$ {C}_{2x} $\end{document} ![]()
![]()
symmetry in twisted double bilayer graphene (TDBG) can be broken by an electric displacement field, leading the lowest conduction and valence band near charge neutrality to obtain a finite Chern number. The topological properties of the band and the symmetry breaking driven by the strong interaction make it possible to realize and regulate the old insulation state at low magnetic fields. Hence Chern insulator may emerge from this topological non-trivial flat band under strong electron interaction. Here, we observe Chern insulator state with Chern number 4 at filling factor \begin{document}$ \nu =1 $\end{document} ![]()
![]()
under a small magnetic field on twisted double bilayer graphene with twist angle 1.48°. Moreover, the longitudinal resistance shows a peak under a parallel magnetic field and increases with temperature or field rising, which is similar to the Pomeranchuk effect in 3He. This phenomenon indicates that Chern insulator at \begin{document}$ \nu =1 $\end{document} ![]()
![]()
may originate from isospin polarization.
A flat band with nearly zero dispersion can be created by twisting the relative orientation of van der Waals materials, leading to a series of strongly correlated states, such as unconventional superconductivity, correlated insulating state, and orbital magnetism. The bandwidth and topological property of electronic band structure in a twisted double bilayer graphene are tunable by an external displacement field. This system can be an excellent quantum simulator to study the interplay between topological phase transition and strong electron correlation. Theoretical calculation shows that the
2023, 72(14): 140201.
doi: 10.7498/aps.72.20230595
Abstract:
Modal analysis of optical waveguides is a basic task in the design of advanced waveguide devices and optical circuits. How to deal with the problem of electromagnetic heterogeneous interface and absorption boundary condition are two major difficulties in implementing efficient numerical analysis of optical waveguides. Existing high-order accurate finite-difference modal analysis methods do not take into consideration the absorption boundary problem, which, thus, makes it difficult to accurately simulate leakage and radiation modes. Based on the immersed interface method and perfectly matched layer absorption boundary condition, a finite-difference method with the second- and fourth-order accuracy is proposed in this work. By using this method, the single-interface plasmonic waveguide mode, planar symmetric waveguide mode, and one-dimensional photonic crystal waveguide mode are analyzed. Numerico-experimental results show that the convergence rate of the second- and fourth-order algorithm are consistent with the anticipated order of the guided mode, leakage mode and radiation mode. The second-order algorithm provides an ultimate accuracy of about\begin{document}$10^{-9}$\end{document} ![]()
![]()
for the relative error of effective refractive index, when the normalized step size is \begin{document}$10^{-4}$\end{document} ![]()
![]()
. The fourth-order algorithm provides an ultimate accuracy of about \begin{document}$10^{-10}$\end{document} ![]()
![]()
for the relative error of effective refractive index, when the normalized step size is \begin{document}$10^{-3}$\end{document} ![]()
![]()
. Through the study of field distribution of guided mode and cladding mode in a one-dimensional photonic crystal waveguide, we show that the continuity of the field of transverse electric mode and its first derivative across the interface, and the continuity of the field of transverse magnetic mode and the discontinuity of its first derivative across interface, can be analyzed accurately. The method proposed in this paper can be used to calculate any mode for any refractive index profile, only by using the value of refractive index, independent of the specific functional representation of modal fields. The method provides a simple and efficient tool for implementing the modal analysis of step-index planar waveguides.
Modal analysis of optical waveguides is a basic task in the design of advanced waveguide devices and optical circuits. How to deal with the problem of electromagnetic heterogeneous interface and absorption boundary condition are two major difficulties in implementing efficient numerical analysis of optical waveguides. Existing high-order accurate finite-difference modal analysis methods do not take into consideration the absorption boundary problem, which, thus, makes it difficult to accurately simulate leakage and radiation modes. Based on the immersed interface method and perfectly matched layer absorption boundary condition, a finite-difference method with the second- and fourth-order accuracy is proposed in this work. By using this method, the single-interface plasmonic waveguide mode, planar symmetric waveguide mode, and one-dimensional photonic crystal waveguide mode are analyzed. Numerico-experimental results show that the convergence rate of the second- and fourth-order algorithm are consistent with the anticipated order of the guided mode, leakage mode and radiation mode. The second-order algorithm provides an ultimate accuracy of about
2023, 72(14): 140202.
doi: 10.7498/aps.72.20230334
Abstract:
Machine learning algorithms can learn the rules and patterns of big data through computers, excavate potential information hidden behind the data, and be widely used to solve classification, regression, clustering, and other problems. Firstly, this paper uses CORSIKA software to simulate the process of cosmic ray cascade shower in the atmosphere, generating information such as the initial energy, zenith angle, azimuth angle of cosmic ray particles. Then, this paper uses the Geant4 toolkit to conduct thermal neutron detector response simulation, generating 4000 particles in each of proton, helium, CNO, MgAlSi and iron. Based on the experimental simulation data of thermal neutron detector, this paper constructs machine learning models for identifying cosmic ray particles by using decision tree (DT), random forest (RF) and BP neural network (BP NN) respectively. For each particle, all the machine learning algorithms are used for model training based on the simulation data. The cross grid search method is used to adjust the hyper parameters of each machine learning algorithm. The AUC value and Q quality factor value of each algorithm are used as evaluation indexes for particle composition identification. The AUC value is a general indicator for evaluating algorithm performance in machine learning and the Q quality factor value is an evaluation index commonly used in the field of high energy physics. The Experimental results show that different machine learning models have great influence on particle prediction accuracy, and the random forest cosmic ray particle identification model has sufficient accuracy and generalization capability. In the test, the decision tree algorithm adjusted by cross grid search method is sensitive to the medium components (CNO and MgAlSi). The AUC values of the algorithm are all above 0.95 and the Q quality factor values are all above 6. The random forest algorithm adjusted by the cross grid search method has the best effect on the identification of cosmic ray particles. The AUC values of the algorithm are all more than 0.92 and the Q quality factor values are all more than 4. The BP neural network algorithm is only sensitive to proton and iron. This study provides a new method and selection for identifying and screening the cosmic ray particles and it also provides a new idea for the following measurement of cosmic ray energy spectrum by thermal neutron detector.
Machine learning algorithms can learn the rules and patterns of big data through computers, excavate potential information hidden behind the data, and be widely used to solve classification, regression, clustering, and other problems. Firstly, this paper uses CORSIKA software to simulate the process of cosmic ray cascade shower in the atmosphere, generating information such as the initial energy, zenith angle, azimuth angle of cosmic ray particles. Then, this paper uses the Geant4 toolkit to conduct thermal neutron detector response simulation, generating 4000 particles in each of proton, helium, CNO, MgAlSi and iron. Based on the experimental simulation data of thermal neutron detector, this paper constructs machine learning models for identifying cosmic ray particles by using decision tree (DT), random forest (RF) and BP neural network (BP NN) respectively. For each particle, all the machine learning algorithms are used for model training based on the simulation data. The cross grid search method is used to adjust the hyper parameters of each machine learning algorithm. The AUC value and Q quality factor value of each algorithm are used as evaluation indexes for particle composition identification. The AUC value is a general indicator for evaluating algorithm performance in machine learning and the Q quality factor value is an evaluation index commonly used in the field of high energy physics. The Experimental results show that different machine learning models have great influence on particle prediction accuracy, and the random forest cosmic ray particle identification model has sufficient accuracy and generalization capability. In the test, the decision tree algorithm adjusted by cross grid search method is sensitive to the medium components (CNO and MgAlSi). The AUC values of the algorithm are all above 0.95 and the Q quality factor values are all above 6. The random forest algorithm adjusted by the cross grid search method has the best effect on the identification of cosmic ray particles. The AUC values of the algorithm are all more than 0.92 and the Q quality factor values are all more than 4. The BP neural network algorithm is only sensitive to proton and iron. This study provides a new method and selection for identifying and screening the cosmic ray particles and it also provides a new idea for the following measurement of cosmic ray energy spectrum by thermal neutron detector.
2023, 72(14): 140301.
doi: 10.7498/aps.72.20230152
Abstract:
Topological gapless systems, as the connection of the different topological quantum phases, have received much attention. Topological nonmediocre nodes are typically observed in two- or three-dimensional gapless systems. In this paper, we demonstrate that the topological nonmediocre nodes are existent in a model that lies between one dimension and two dimensions. Superconducting circuits, as essential all-solid state quantum devices, have offered a promising platform for studying the macro-controlling quantum effects. Recently, experimental achievements have enabled the realization of tunable coupling strengths between transmon qubits and the implementation of a one-dimensional Su-Schrieffer-Heeger (SSH) model [Li X et al.2018 Phys. Rev. Appl. 10 054009 ]. According to this work, herein we present a two-leg SSH model implemented in superconducting circuits and demonstrate the existence of topological nonmediocre nodes. Firstly, two-leg superconducting circuit with transmon qubits which are coupled with their nearest-neighbor sites by capacitors is designed. To construct the two-leg SSH model, we introduce two alternating-current magnetic fluxes to drive each transmon qubit. We discover two types of phase boundaries in the SSH model and obtain the corresponding energy spectra and phase diagram. We identify two distinct topological insulating phases characterized by winding number ±1, and the corresponding edge states exhibit distinct characteristics. Moreover, we discuss the topological properties of the two phase boundaries. By representing the Bloch states as a vector field in k space, we demonstrate the existence of two kinks of nonmediocre nodes with first-type phase boundaries. These two nonmediocrenodes possess distinct topological charges of 1 and –1, respectively. On the other hand, the nonmediocre nodes with the second-type phase boundaries are topologically trivial. These results open the way for exploring novel topological states, ladder physical systems, and nodal point topological semimetals.
Topological gapless systems, as the connection of the different topological quantum phases, have received much attention. Topological nonmediocre nodes are typically observed in two- or three-dimensional gapless systems. In this paper, we demonstrate that the topological nonmediocre nodes are existent in a model that lies between one dimension and two dimensions. Superconducting circuits, as essential all-solid state quantum devices, have offered a promising platform for studying the macro-controlling quantum effects. Recently, experimental achievements have enabled the realization of tunable coupling strengths between transmon qubits and the implementation of a one-dimensional Su-Schrieffer-Heeger (SSH) model [Li X et al.
2023, 72(14): 140302.
doi: 10.7498/aps.72.20230652
Abstract:
The phase-matching protocol is a practical and promising protocol that can surpass the linear key generation rate boundary. However, classical phase-matching quantum key distribution requires the channel attenuation between communicating parties to be symmetric. In practice, channels used are often asymmetric, owing to geographical reasons in a quantum key distribution network. To enhance the practicality of phase-matching, this paper proposes an asymmetric phase-matching protocol based on the classical framework and establishes a relevant mathematical simulation model to study the influence of channel asymmetry on its performance. The simulation results show that channel asymmetry significantly affects the count rate, error rate, gain, and quantum bit error rate (QBER), ultimately, system performance. As the channel attenuation difference increases, the system performance decreases and the rate of decrease accelerates. Key generation becomes impossible when the channel attenuation difference exceeds 4 dB. Although the decoy-state scheme cannot change the system's tolerance to channel attenuation difference, when the channel attenuation difference is large, the increasing of the number of decoy states significantly can improve system performance, with a three-decoy-state phase-matching protocol outperforming a two-decoy-state protocol. Considering the limited data length, the system performance is improved as the data length increases, and the tolerance to channel attenuation differences gradually increases. When the data length exceeds 1012, this improvement does not continue any more. The system cannot break through the boundary of linear key generation rate when the channel attenuation difference is 2 dB and the data length is less than 1012. Comparing with symmetric channels, the system performance improvement is very significant under asymmetric channel conditions as the data length increases.
The phase-matching protocol is a practical and promising protocol that can surpass the linear key generation rate boundary. However, classical phase-matching quantum key distribution requires the channel attenuation between communicating parties to be symmetric. In practice, channels used are often asymmetric, owing to geographical reasons in a quantum key distribution network. To enhance the practicality of phase-matching, this paper proposes an asymmetric phase-matching protocol based on the classical framework and establishes a relevant mathematical simulation model to study the influence of channel asymmetry on its performance. The simulation results show that channel asymmetry significantly affects the count rate, error rate, gain, and quantum bit error rate (QBER), ultimately, system performance. As the channel attenuation difference increases, the system performance decreases and the rate of decrease accelerates. Key generation becomes impossible when the channel attenuation difference exceeds 4 dB. Although the decoy-state scheme cannot change the system's tolerance to channel attenuation difference, when the channel attenuation difference is large, the increasing of the number of decoy states significantly can improve system performance, with a three-decoy-state phase-matching protocol outperforming a two-decoy-state protocol. Considering the limited data length, the system performance is improved as the data length increases, and the tolerance to channel attenuation differences gradually increases. When the data length exceeds 1012, this improvement does not continue any more. The system cannot break through the boundary of linear key generation rate when the channel attenuation difference is 2 dB and the data length is less than 1012. Comparing with symmetric channels, the system performance improvement is very significant under asymmetric channel conditions as the data length increases.
2023, 72(14): 140501.
doi: 10.7498/aps.72.20230106
Abstract:
The stochastic dynamics of spin semiclassical system at finite temperature is usually described by stochastic Landau-Lifshitz equation. In this work, the stochastic differential equation for spin semiclassical system is studied. The generalized formulation of effective Langevin equation and the corresponding Fokker-Planck equation are derived. The obtained effective Langevin equation offers an accurate description of the distribution in the canonical ensemble for spin semiclassical system. When the damping term and the stochastic term vanish, the effective Langevin equation reduces to the semiclassical equation of motion for spin system. Hence, the effective Langevin equation can be seen as a generalization of the stochastic Landau-Lifshitz equation. The explicit expressions for the effective Langevin equation and the corresponding Fokker-Planck equation are shown in both Cartesian coordinates and spherical coordinates. It is demonstrated that, the longitudinal effect can be easily illustrated from the expressions in spherical coordinates. The effective Langevin equation is applied to the simple system of a single spin in a constant magnetic field. Choosing an appropriate form, the Langevin equation can be easily solved and the stationary Boltzmann distribution can be obtained. The correctness of the Langevin approach for the spin semiclassical system is thus confirmed.
The stochastic dynamics of spin semiclassical system at finite temperature is usually described by stochastic Landau-Lifshitz equation. In this work, the stochastic differential equation for spin semiclassical system is studied. The generalized formulation of effective Langevin equation and the corresponding Fokker-Planck equation are derived. The obtained effective Langevin equation offers an accurate description of the distribution in the canonical ensemble for spin semiclassical system. When the damping term and the stochastic term vanish, the effective Langevin equation reduces to the semiclassical equation of motion for spin system. Hence, the effective Langevin equation can be seen as a generalization of the stochastic Landau-Lifshitz equation. The explicit expressions for the effective Langevin equation and the corresponding Fokker-Planck equation are shown in both Cartesian coordinates and spherical coordinates. It is demonstrated that, the longitudinal effect can be easily illustrated from the expressions in spherical coordinates. The effective Langevin equation is applied to the simple system of a single spin in a constant magnetic field. Choosing an appropriate form, the Langevin equation can be easily solved and the stationary Boltzmann distribution can be obtained. The correctness of the Langevin approach for the spin semiclassical system is thus confirmed.
2023, 72(14): 142801.
doi: 10.7498/aps.72.20230559
Abstract:
Polarized neutron scattering, as one of the experimental techniques of neutron scattering, is a powerful tool for exploring the microstructure of matter. In polarized neutron scattering experiments, magnetic field maintains and guides the neutron polarization, and determines the sample magnetic environment. For complex magnetic sample, it is often necessary to apply zero-field environment at the sample position, so that general polarization analysis becomes feasible. To achieve effective zero-field environment for polarized neutron experiment, carefully designed magnetic field is required. In this work, we demonstrate a zero-field sample chamber designed for polarized neutron experiment by utilizing both permalloy material and high-TC superconducting films. This design adopts a simple and low-maintenance ‘deep-well’ shape to achieve effective shielding. The study uses finite element simulation method to analyze the effect of dimensions on the magnetic field shielding performance of the device of the model, including height, arm length, opening radius, and superconductor distance. At optimal dimensions, the designed zero field chamber achieves an internal magnetic field integral of 0.67 G·cm along the neutron path under the geomagnetic field condition. The maximum neutron depolarization for 0.4 nm neutrons is 0.76%, which sufficient for general polarization analysis application. The finite element method simulation results are examined by neutron Bloch equation dynamics simulations and in-lab measurement . Based on the established effective zero-field shielding design, we further discuss the relationship between magnetic field shielding and the dimensions of the device. The application of the device to spectrometers and the future improvement in the device structure are also discussed.
2023, 72(14): 143101.
doi: 10.7498/aps.72.20221990
Abstract:
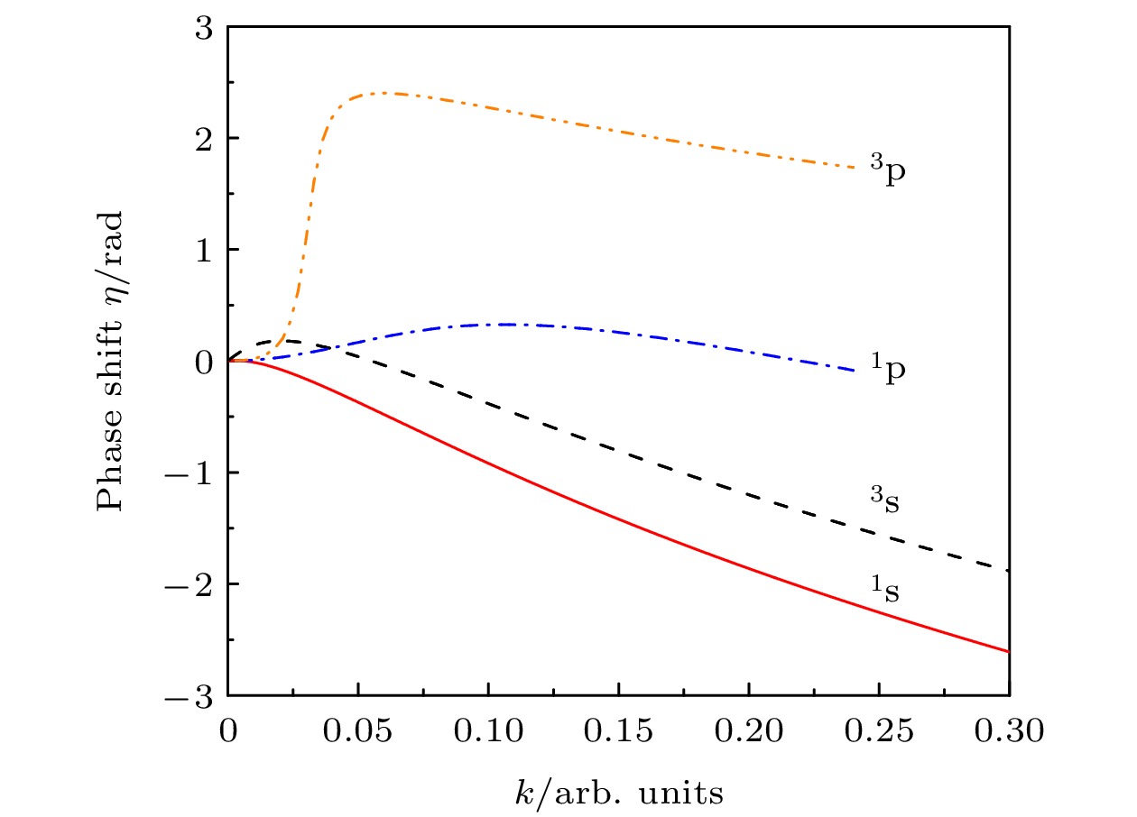
The wave functions, energy levels, and oscillator strengths of B2+ ions and B+ ions are calculated by using a relativistic potential model, which is named the relativistic configuration interaction plus core polarization (RCICP) method.The presently calculated energy levels are in very good agreement with experimental energy levels tabulated in NIST Atomic Spectra Database, with difference no more than 0.05%.The presently calculated oscillator strengths agree very well with NIST and some available theoretical results. The difference is no more than 0.6%. By using these energy levels and oscillator strengths, the electric-dipole static polarizability of the 2s1/2, 2p1/2, 2p3/2, and 3s1/2 state and static hyperpolarizability of the ground state 2s1/2 for B2+ ion, as well as electric-dipole static polarizability of the 2s2 1S0 state and 2s2p 3P0 state for B+ ion are determined, respectively. The polarizability of the 2p1/2 state and 2p3/2 state of B2+ ion are negative. The main reason is that the absorption energy of the 2p1/2,3/2 → 2s1/2 resonance transition is negative. The contribution to the polarizability of the 2p1/2 state and 2p3/2 state are both negative. For the tensor polarizability of the 2p3/2 state, the main contribution from the 2p3/2 → 2s1/2 transition and 2p3/2 → 3d5/2 transition are 2.4963 a.u. and –0.2537 a.u., respectively, and the present RCICP result is 2.1683 a.u. The largest contribution to the hyperpolarizability of the ground state 2s1/2 originates from the term of\begin{document}$ {\alpha }^{1}{\beta }_{0} $\end{document} ![]()
![]()
. The electric-dipole static polarizability of the 2s2 1S0 state and 2s2p 3P0 state of B+ ion are 9.6220 a.u. and 7.7594 a.u., respectively. The presently calculated blackbody radiation (BBR) shift of the 2s2p 3P0 → 2s2 1S0 clock transition is 0.01605 Hz. This BBR shift is one or two orders of magnitude smaller than that for alkaline-earth-metal atom.
The wave functions, energy levels, and oscillator strengths of B2+ ions and B+ ions are calculated by using a relativistic potential model, which is named the relativistic configuration interaction plus core polarization (RCICP) method.The presently calculated energy levels are in very good agreement with experimental energy levels tabulated in NIST Atomic Spectra Database, with difference no more than 0.05%.The presently calculated oscillator strengths agree very well with NIST and some available theoretical results. The difference is no more than 0.6%. By using these energy levels and oscillator strengths, the electric-dipole static polarizability of the 2s1/2, 2p1/2, 2p3/2, and 3s1/2 state and static hyperpolarizability of the ground state 2s1/2 for B2+ ion, as well as electric-dipole static polarizability of the 2s2 1S0 state and 2s2p 3P0 state for B+ ion are determined, respectively. The polarizability of the 2p1/2 state and 2p3/2 state of B2+ ion are negative. The main reason is that the absorption energy of the 2p1/2,3/2 → 2s1/2 resonance transition is negative. The contribution to the polarizability of the 2p1/2 state and 2p3/2 state are both negative. For the tensor polarizability of the 2p3/2 state, the main contribution from the 2p3/2 → 2s1/2 transition and 2p3/2 → 3d5/2 transition are 2.4963 a.u. and –0.2537 a.u., respectively, and the present RCICP result is 2.1683 a.u. The largest contribution to the hyperpolarizability of the ground state 2s1/2 originates from the term of
2023, 72(14): 143201.
doi: 10.7498/aps.72.20230520
Abstract:
In this paper, we conduct the experiment and simulation on 31D5/2+6S1/2(F = 4) Cs2 ultralong-range Rydberg molecules (ULRMs). These molecules are prepared by employing a two-photon photoassociation scheme. Two distinct ultralong-range Rydberg molecular signals are observed at the detuning –162.8 MHz and –66.6 MHz of 31D5/2 atomic resonant line, which are bound by the pure triplet potential and mixed singlet-triplet potential, respectively. We use the model of scattering interaction between the Rydberg electron and ground-state atom to perform the simulation. The molecular potential-energy curves are obtained by solving the Hamiltonian on a grid of intermolecular distances R. The calculations of the binding energy of pure triplet and mixed singlet-triplet v = 0 vibrational states are compared with the experimental measurements. The calculated and measured values of the binding energy are in good agreement. The s-wave pure triplet and singlet zero-energy scattering length are obtained to be\begin{document}${a}_{{\rm{s}}}^{{\rm{T}}}({0})=-{19.16}{a}_{0}$\end{document} ![]()
![]()
and \begin{document}$ {a}_{{\rm{s}}}^{{\rm{S}}}(0)=-{1.92}{a}_{0} $\end{document} ![]()
![]()
, respectively. This kind of molecule with large size, abundant vibrational states and large permanent electric dipole moment is an excellent candidate for studying low-energy collision dynamics. The study of these molecules will further deepen and enrich the understanding of the special binding mechanism and exotic properties of the ULRMs.
In this paper, we conduct the experiment and simulation on 31D5/2+6S1/2(F = 4) Cs2 ultralong-range Rydberg molecules (ULRMs). These molecules are prepared by employing a two-photon photoassociation scheme. Two distinct ultralong-range Rydberg molecular signals are observed at the detuning –162.8 MHz and –66.6 MHz of 31D5/2 atomic resonant line, which are bound by the pure triplet potential and mixed singlet-triplet potential, respectively. We use the model of scattering interaction between the Rydberg electron and ground-state atom to perform the simulation. The molecular potential-energy curves are obtained by solving the Hamiltonian on a grid of intermolecular distances R. The calculations of the binding energy of pure triplet and mixed singlet-triplet v = 0 vibrational states are compared with the experimental measurements. The calculated and measured values of the binding energy are in good agreement. The s-wave pure triplet and singlet zero-energy scattering length are obtained to be
2023, 72(14): 144201.
doi: 10.7498/aps.72.20230449
Abstract:
The ability to detect atoms in high spatiotemporal resolution provides a powerful tool for us to investigate the quantum properties of ultracold quantum gases. Plenty of useful imaging methods, including absorption imaging, phase contrast imaging and fluorescence imaging, have been implemented in detecting atoms. Among them, absorption imaging is the most widely used method in cold atoms laboratory. However, the traditional absorption imaging method is affected by perturbations such as interference between optical elements, fluctuation of laser power, frequency, and spatial position, resulting in residual spatially structured noise and degradation of imaging quality. Especially for regions with lower density or for longer time-of-flight, a large number of repetitions are often required to obtain better signal-to-noise ratio, which would increase the time cost and induce other noise. One must reduce the time between two imaging pulses to suppress the spatial noise. A better charge coupled device (CCD) with higher frame transfer rate or other method like fast-kinetic mode will be used to improve the imaging quality. In this paper, a single-shot cold atom imaging method based on machine learning is proposed, in which only one absorption imaging of cold atoms is required, and the corresponding background image can be generated through the neural network of an autoencoder. This effectively reduces the spatial striped noise in imaging, significantly improves the imaging quality, and makes it possible for cold atoms to be imaged multiple times in a single cycle.
The ability to detect atoms in high spatiotemporal resolution provides a powerful tool for us to investigate the quantum properties of ultracold quantum gases. Plenty of useful imaging methods, including absorption imaging, phase contrast imaging and fluorescence imaging, have been implemented in detecting atoms. Among them, absorption imaging is the most widely used method in cold atoms laboratory. However, the traditional absorption imaging method is affected by perturbations such as interference between optical elements, fluctuation of laser power, frequency, and spatial position, resulting in residual spatially structured noise and degradation of imaging quality. Especially for regions with lower density or for longer time-of-flight, a large number of repetitions are often required to obtain better signal-to-noise ratio, which would increase the time cost and induce other noise. One must reduce the time between two imaging pulses to suppress the spatial noise. A better charge coupled device (CCD) with higher frame transfer rate or other method like fast-kinetic mode will be used to improve the imaging quality. In this paper, a single-shot cold atom imaging method based on machine learning is proposed, in which only one absorption imaging of cold atoms is required, and the corresponding background image can be generated through the neural network of an autoencoder. This effectively reduces the spatial striped noise in imaging, significantly improves the imaging quality, and makes it possible for cold atoms to be imaged multiple times in a single cycle.
2023, 72(14): 144202.
doi: 10.7498/aps.72.20222317
Abstract:
Ghost imaging, also known as correlation imaging, is one of the research hotspots in the imaging field. Various ghost imaging systems with different basic principles and implementation architectures have emerged, but the correlation between them is weak, showing a diversified trend and recent research progress is slower than before. Studying the essence of ghost imaging theory is a feasible direction to explore the unknown field of ghost imaging. Through research, we find that Fourier ghost imaging and sinusoidal ghost imaging are based on the same type of orthogonal sine speckle and cosine speckle, which have a very high similarity. At the same time, sinusoidal ghost imaging method can give a complete spatial description and spatial imaging process, so we guess that these two imaging methods can reveal the relationship between spatial imaging and Fourier domain imaging. On this basis, it is proved that Fourier ghost imaging and sinusoidal ghost imaging are equivalent in principle. The former can be realized by n-step phase shift, while the latter can be equivalent to two-step phase shift. Considering that both of these methods use sine and cosine fringes as structural speckles. By combining the spatial decomposition characteristics of sine speckle imaging, the relationship between structural speckle imaging and traditional ghost imaging is analyzed, and the principles of some methods constructed on the basis of these two methods are explained. The simulation results applied to edge detection show that the combination of the two methods can simultaneously obtain the better anti-noise performance of Fourier ghost imaging and the higher imaging efficiency of sinusoidal ghost imaging. Since sinusoidal ghost imaging relates the characteristics of image spatial decomposition to traditional ghost imaging, and their expression is equivalent to the expression of orthogonal Fourier transform domain of Fourier ghost imaging, the association of ghost imaging methods in Fourier domain and even in the whole orthogonal transform domain and spatial domain can be generalized. This conclusion may provide a way for associating different kinds of ghost imaging, and it can be hoped that more and more new types of ghost imaging systems will be developed.
Ghost imaging, also known as correlation imaging, is one of the research hotspots in the imaging field. Various ghost imaging systems with different basic principles and implementation architectures have emerged, but the correlation between them is weak, showing a diversified trend and recent research progress is slower than before. Studying the essence of ghost imaging theory is a feasible direction to explore the unknown field of ghost imaging. Through research, we find that Fourier ghost imaging and sinusoidal ghost imaging are based on the same type of orthogonal sine speckle and cosine speckle, which have a very high similarity. At the same time, sinusoidal ghost imaging method can give a complete spatial description and spatial imaging process, so we guess that these two imaging methods can reveal the relationship between spatial imaging and Fourier domain imaging. On this basis, it is proved that Fourier ghost imaging and sinusoidal ghost imaging are equivalent in principle. The former can be realized by n-step phase shift, while the latter can be equivalent to two-step phase shift. Considering that both of these methods use sine and cosine fringes as structural speckles. By combining the spatial decomposition characteristics of sine speckle imaging, the relationship between structural speckle imaging and traditional ghost imaging is analyzed, and the principles of some methods constructed on the basis of these two methods are explained. The simulation results applied to edge detection show that the combination of the two methods can simultaneously obtain the better anti-noise performance of Fourier ghost imaging and the higher imaging efficiency of sinusoidal ghost imaging. Since sinusoidal ghost imaging relates the characteristics of image spatial decomposition to traditional ghost imaging, and their expression is equivalent to the expression of orthogonal Fourier transform domain of Fourier ghost imaging, the association of ghost imaging methods in Fourier domain and even in the whole orthogonal transform domain and spatial domain can be generalized. This conclusion may provide a way for associating different kinds of ghost imaging, and it can be hoped that more and more new types of ghost imaging systems will be developed.
2023, 72(14): 144203.
doi: 10.7498/aps.72.20222407
Abstract:
In opto-mechanical systems, the nonlinearity caused by radiation pressure can lead to various abundant dynamical phenomena such as chaos. Chaos is an important branch of nonlinear dynamics, and researchers focus on understanding the transitions from order to chaos in different systems. In this paper, we investigate the chaotic dynamics in a system consisting of two evanescently coupled identical cavity opto-mechanical subsystems, where the optical fields are in whispering gallery modes. To thoroughly analyze the transition from order to chaos in our system, we utilize the bifurcation diagrams, the Lyapunov exponents, and phase space trajectories to characterize the system properties. It is found that the coupling strength between the two opto-mechanical subsystems plays a crucial role in determining the systemic dynamic behaviors. There are two routes to chaos in our system i.e. the period-doubling transition and the quasiperiodic transition. These routes correspond to strong coupling and weak coupling between the two opto-mechanical subsystems, respectively. Furthermore, the results show that the synchronization between the oscillations in the two opto-mechanical subsystems can occur under strong coupling. In this situation, the dynamic behaviors of the two opto-mechanical subsystems are exactly identical and the manipulation of the coupling strength is equivalent to the tuning of the frequency detuning between the cavity fields and their corresponding driving fields. Consequently, the coupled system behaves as a single opto-mechanical system, enabling a period-doubling transition to chaos through increasing the coupling strength. In the case of weak coupling, the dynamics of the two opto-mechanical subsystems are no longer synchronized, and the coupled system dynamic behaviors unfold in an eight-dimensional phase space. The limit cycles experience the Hopf bifurcation, resulting in the emergence of a toric attractor. Within a certain range of parameters, i.e. appropriate frequency detunings, the two-dimensional torus becomes unstable as coupling strength increases, leading to a quasiperiodic transition into chaos in our coupled opto-mechanical system.
In opto-mechanical systems, the nonlinearity caused by radiation pressure can lead to various abundant dynamical phenomena such as chaos. Chaos is an important branch of nonlinear dynamics, and researchers focus on understanding the transitions from order to chaos in different systems. In this paper, we investigate the chaotic dynamics in a system consisting of two evanescently coupled identical cavity opto-mechanical subsystems, where the optical fields are in whispering gallery modes. To thoroughly analyze the transition from order to chaos in our system, we utilize the bifurcation diagrams, the Lyapunov exponents, and phase space trajectories to characterize the system properties. It is found that the coupling strength between the two opto-mechanical subsystems plays a crucial role in determining the systemic dynamic behaviors. There are two routes to chaos in our system i.e. the period-doubling transition and the quasiperiodic transition. These routes correspond to strong coupling and weak coupling between the two opto-mechanical subsystems, respectively. Furthermore, the results show that the synchronization between the oscillations in the two opto-mechanical subsystems can occur under strong coupling. In this situation, the dynamic behaviors of the two opto-mechanical subsystems are exactly identical and the manipulation of the coupling strength is equivalent to the tuning of the frequency detuning between the cavity fields and their corresponding driving fields. Consequently, the coupled system behaves as a single opto-mechanical system, enabling a period-doubling transition to chaos through increasing the coupling strength. In the case of weak coupling, the dynamics of the two opto-mechanical subsystems are no longer synchronized, and the coupled system dynamic behaviors unfold in an eight-dimensional phase space. The limit cycles experience the Hopf bifurcation, resulting in the emergence of a toric attractor. Within a certain range of parameters, i.e. appropriate frequency detunings, the two-dimensional torus becomes unstable as coupling strength increases, leading to a quasiperiodic transition into chaos in our coupled opto-mechanical system.
2023, 72(14): 144204.
doi: 10.7498/aps.72.20230014
Abstract:
1.3-μm Nd laser has significant practical applications in various fields, such as fiber communication, medical treatment, frequency conversion, and scientific research. Many applications of a 1.3-μm laser, particularly frequency conversion, benefit greatly from a short pulse width with high peak power. In the paper, an electro-optical cavity dumping Nd:YVO4 laser at 1342 nm wavelength is studied theoretically and experimentally. The pulse width for an electro-optical cavity dumping laser is determined by the optical length of the cavity. A narrower pulse width is obtained by reducing the length of the cavity and the round trip time of the laser in the cavity. However, when the round trip time in the cavity approaches to the falling edge time of the electro-optical switch, shortening the length of the cavity will not obtain a narrower pulse width, and the falling edge time of the electro-optical switch will influence the laser pulse width. The temporal characteristics of the laser pulse are simulated when the falling edge time of the electro-optical switch is close to the round trip time in the cavity. The influence of the falling edge time of the electro-optical switch on the laser pulse duration is analyzed theoretically. The modified rate equation is used to study the relationship between the falling edge time and the laser pulse width. We demonstrate an electro-optical cavity dumping Nd:YVO4 laser. The atom percent of 0.3% Nd:YVO4 placed in a short Plano-concave cavity is in-band pumped by an 880 nm quasi-continuous-wave diode. A fiber-coupled diode laser module (NA = 0.22) with a power of 30 W is used. An LiNbO3 electro-optical switch is employed for the cavity-dumping. The 1342-nm cavity-dumping laser operates at a repetition rate of 1 kHz, single-pulse energy of 0.21 mJ, and pulse width of 2.8 ns. Near-diffraction-limited beam quality with an \begin{document}$ M^2 $\end{document} ![]()
![]()
value of < l.2 is achieved. The setup uses MgO:PPLN crystal to generate efficient second harmonic at 671 nm, with a pulse width of 1.8 ns. To the best of our knowledge, this is the shortest pulse duration ever obtained from 1.3 μm actively Q-switched Nd-doped laser.
2023, 72(14): 144205.
doi: 10.7498/aps.72.20230746
Abstract:
The power of femtosecond lasers based on Ti: sapphire or Yb-doped gain media has reached a high level by using chirped pulse amplification. The dispersive elements are normally employed in CPA devices, thereby increasing the complexity and cost of the laser system. However, for the Nd-doped laser, its power can be amplified to hundreds of microjoules or even several millijoules directly without CPA technology. So compressing the picosecond pulse to obtain femtosecond laser pulses with hundreds of microjoules pulse energy by post-compression technology becomes meaningful. The pulsed post-compression technology is the combination of nonlinear spectral broadening and dispersion compensation. Currently, the most effective method of nonlinear spectral broadening is achieved through self-phase modulation. The multi-pass cell (MPC) device based on self-phase modulation for broadening spectral bandwidth has been extensively studied, since it was demonstrated. The MPC concept demonstrates significant practical benefits. Essentially, it requires only two curved mirrors and a Kerr medium in between, making it a cost-effective and easily implementable method. Moreover, the MPCs are robust, quite insensitive to beam pointing, and can evendeal with small mode mismatch without transmission losses. These favorable characteristics make MPCs very attractive not only for scientific applications, but also for commercial and facility laser systems where reliability is crucial. The striking progress of the technique in the past six years has made it possible to obtain high average power femtosecond laser. In this work, we demonstrate the generation of a high average power femtosecond laser pulse by nonlinearly compressing the picosecond pulse in the Herriott multi-pass cell device, and the distribution of eigenmode is analyzed. With this efficient and robust scheme, the spectrum is broadened from 0.20 nm to 2.75 nm, with a broadening ratio of 13.75, and the pulse duration of a picosecond amplifier is compressed from 1.25 ps to 780 fs, with a compression factor of 16. The average power before and after pulse compression are 100 W and 71.3 W respectively, so the overall transmission reaches 71.3%. The present scheme offers a viable route to low-cost and simple-configuration high-power femtosecond lasers driven by Nd-doped picosecond amplifiers.
Temperature-independent multi-parameter sensor based on polarization maintaining fiber Bragg grating
2023, 72(14): 144206.
doi: 10.7498/aps.72.20230478
Abstract:
Dynamic multi-parameter detection is of great significance in predicting fatigue damage to structures such as tunnels, bridges, and pipelines. Developing a high-sensitivity, environmentally friendly, low-cost, and easy-to-operate multi-parameter dynamic detection technology has always been the goal of the industry. The polarization-maintaining fiber Bragg grating (PM-FBG) has a special grating structure composed of fiber Bragg grating (FBG) directly written into high birefringence and polarization-maintaining fiber, and it supports two distinct polarization eigenmodes with two effective refractive indices. The PM-FBG couples the light beams polarized along the two principal axes corresponding to slow axis and fast axis at two different Bragg wavelengths. The two peaks of PM-FBG have different responses to external changes, which may be used to solve the cross-sensitivity problem of FBG sensor and realize the simultaneous multi-parameter measurement of the temperature, longitudinal strain, transverse strain, or twist. In order to solve the problems of complex structure and principle and high production cost of FBG-based multi-parameter sensors, a novel multi-parameter fiber-optic sensor with high sensitivity and temperature independence is designed based on PM-FBG in this work. The PM-FBG sensor proposed can simultaneously measure the changes of displacement and twist in two vertical directions at a certain point and has the function of temperature self-compensation. The external structure of the sensor is fabricated by using three-dimensional printing technology through the fused deposition method and the raw material for creating different components through using polylactic acid. Experimental results show that the fast axis and slow axis of the sensor have different temperature responses, with linear sensitivities of 11.4 pm/℃ and 10.6 pm/℃, respectively, and the temperature compensation coefficient and average torsional sensitivity of the PM-FBG sensor are 0.8 pm/℃ and 0.20 dB/(°), respectively. The fast axis and slow axis of the PM-FBG sensor have the same response to displacement, with a sensitivity of 31.5 pm/mm and an adjustable range of 0–20 mm. The sensitivity to displacement, torsion, and temperature sensitivities of the sensor are all superior over those of commercial FBG sensors. By changing the temperature field around the sensor, its displacement- and torsion-sensing performances are not affected, thereby realizing the temperature self-compensation. Consequently, the proposed sensor has potential applications in the multi-parameter dynamic detection due to its simple structure, high sensitivity, good mechanical strength, and low cost.
Dynamic multi-parameter detection is of great significance in predicting fatigue damage to structures such as tunnels, bridges, and pipelines. Developing a high-sensitivity, environmentally friendly, low-cost, and easy-to-operate multi-parameter dynamic detection technology has always been the goal of the industry. The polarization-maintaining fiber Bragg grating (PM-FBG) has a special grating structure composed of fiber Bragg grating (FBG) directly written into high birefringence and polarization-maintaining fiber, and it supports two distinct polarization eigenmodes with two effective refractive indices. The PM-FBG couples the light beams polarized along the two principal axes corresponding to slow axis and fast axis at two different Bragg wavelengths. The two peaks of PM-FBG have different responses to external changes, which may be used to solve the cross-sensitivity problem of FBG sensor and realize the simultaneous multi-parameter measurement of the temperature, longitudinal strain, transverse strain, or twist. In order to solve the problems of complex structure and principle and high production cost of FBG-based multi-parameter sensors, a novel multi-parameter fiber-optic sensor with high sensitivity and temperature independence is designed based on PM-FBG in this work. The PM-FBG sensor proposed can simultaneously measure the changes of displacement and twist in two vertical directions at a certain point and has the function of temperature self-compensation. The external structure of the sensor is fabricated by using three-dimensional printing technology through the fused deposition method and the raw material for creating different components through using polylactic acid. Experimental results show that the fast axis and slow axis of the sensor have different temperature responses, with linear sensitivities of 11.4 pm/℃ and 10.6 pm/℃, respectively, and the temperature compensation coefficient and average torsional sensitivity of the PM-FBG sensor are 0.8 pm/℃ and 0.20 dB/(°), respectively. The fast axis and slow axis of the PM-FBG sensor have the same response to displacement, with a sensitivity of 31.5 pm/mm and an adjustable range of 0–20 mm. The sensitivity to displacement, torsion, and temperature sensitivities of the sensor are all superior over those of commercial FBG sensors. By changing the temperature field around the sensor, its displacement- and torsion-sensing performances are not affected, thereby realizing the temperature self-compensation. Consequently, the proposed sensor has potential applications in the multi-parameter dynamic detection due to its simple structure, high sensitivity, good mechanical strength, and low cost.
2023, 72(14): 144207.
doi: 10.7498/aps.72.20230099
Abstract:
Acoustic waves can manipulate particles without contact or damage, and has received increasing attention due to their potential applications in various fields, such as cell sorting, organoid construction, and material assembly. In general, high-throughput manipulation of microparticles relies on a large number of active transducers and phase-shifting circuits to create standing wave patterns, thus significantly inducing system complexity. Recently, we realized the parallel manipulation of microparticles by using an acoustic field modulated by a one-dimensional phononic crystal plate. The concept is based on the fact that phononic crystal plate can resonantly excite the zero-order asymmetric (A0) Lamb wave, inducing highly localized periodic radiation force on the particles. In this paper, we further show that by using a two-dimensional phononic crystal plate (TDPCP), parallel manipulation of massive particles can be achieved only with a single transducer. The A0 Lamb wave can be excited by a TDPCP, forming a two-dimensional periodic localized field, and then particles can suffer negative vertical force and stable zero horizontal force, inducing two-dimensional periodic trapping on the surface of the plate. Combining a PZT source with a TDPCP consisting of a brass plate patterned with periodical brass stubs, we observe the capture and arrangement of glass microspheres, achieving two-dimensional arrangement manipulation of particles on the TDPCP. This system represents a significant advancement in developing high-throughput, rapid, and flexible devices for particles and cell manipulation.
Acoustic waves can manipulate particles without contact or damage, and has received increasing attention due to their potential applications in various fields, such as cell sorting, organoid construction, and material assembly. In general, high-throughput manipulation of microparticles relies on a large number of active transducers and phase-shifting circuits to create standing wave patterns, thus significantly inducing system complexity. Recently, we realized the parallel manipulation of microparticles by using an acoustic field modulated by a one-dimensional phononic crystal plate. The concept is based on the fact that phononic crystal plate can resonantly excite the zero-order asymmetric (A0) Lamb wave, inducing highly localized periodic radiation force on the particles. In this paper, we further show that by using a two-dimensional phononic crystal plate (TDPCP), parallel manipulation of massive particles can be achieved only with a single transducer. The A0 Lamb wave can be excited by a TDPCP, forming a two-dimensional periodic localized field, and then particles can suffer negative vertical force and stable zero horizontal force, inducing two-dimensional periodic trapping on the surface of the plate. Combining a PZT source with a TDPCP consisting of a brass plate patterned with periodical brass stubs, we observe the capture and arrangement of glass microspheres, achieving two-dimensional arrangement manipulation of particles on the TDPCP. This system represents a significant advancement in developing high-throughput, rapid, and flexible devices for particles and cell manipulation.
2023, 72(14): 144301.
doi: 10.7498/aps.72.20230346
Abstract:
The development of noise reduction and silencing technology has brought great difficulties to underwater target detection, and more target characteristics need further studying. When a submerged target travels through density-stratified environment, the fluid will oscillate behind the target owing to gravity and buoyancy and generate internal waves, which are often referred to as source-generated internal waves. These internal waves are difficult to eliminate, which can cause the sound speed profiles to fluctuate. Therefore, these internal waves are expected to be effective for detecting underwater target. In this paper, the fluctuations of the received sound passing through the internal waves produced by a moving sphere are investigated. A typical shallow stratified environment is set up, and internal wave fields generated by a sphere moving in many horizontal directions are simulated. According to the simulation results, these internal wave fields have a much wider range than the scenario of the target body. Based on the relationship between the amplitude of the internal wave and the variation of sound speed, range–dependent sound speed profiles are constructed, and model based on ray acoustics is used to analyze the aberration strength of passing sound fields. Results show that the strength aberration is inversely proportional to the target passing angle, and these characteristics can be covered by the background. Focusing on this problem, an extraction method based on principal component analysis with sliding window is then proposed. The uncorrelation between the disturbance of internal wave and background signal is utilized, and interference is suppressed by removing the component in No.1 principal component space, and retaining the No.2–No.k subspace. Detection can be executed based on multi period received data from single hydrophone. A lake experiment is conducted to verify the performance. A detection scenario of single source and single receiver is established, and the AUV target crosses source–receiver line multiple times. The research results show that the detection scheme based on the acoustic aberration of source-generated internal wave has potential for underwater target detection, possessing the advantages of wide coverage and high robustness. Data on multi depths are processed to show that the detection performance is dependent on the depth of system. Since the acoustic strength variations are derived form local disturbance in channel, the proposed method may be affected by severe environment fluctuation, and further research is still needed.
The development of noise reduction and silencing technology has brought great difficulties to underwater target detection, and more target characteristics need further studying. When a submerged target travels through density-stratified environment, the fluid will oscillate behind the target owing to gravity and buoyancy and generate internal waves, which are often referred to as source-generated internal waves. These internal waves are difficult to eliminate, which can cause the sound speed profiles to fluctuate. Therefore, these internal waves are expected to be effective for detecting underwater target. In this paper, the fluctuations of the received sound passing through the internal waves produced by a moving sphere are investigated. A typical shallow stratified environment is set up, and internal wave fields generated by a sphere moving in many horizontal directions are simulated. According to the simulation results, these internal wave fields have a much wider range than the scenario of the target body. Based on the relationship between the amplitude of the internal wave and the variation of sound speed, range–dependent sound speed profiles are constructed, and model based on ray acoustics is used to analyze the aberration strength of passing sound fields. Results show that the strength aberration is inversely proportional to the target passing angle, and these characteristics can be covered by the background. Focusing on this problem, an extraction method based on principal component analysis with sliding window is then proposed. The uncorrelation between the disturbance of internal wave and background signal is utilized, and interference is suppressed by removing the component in No.1 principal component space, and retaining the No.2–No.k subspace. Detection can be executed based on multi period received data from single hydrophone. A lake experiment is conducted to verify the performance. A detection scenario of single source and single receiver is established, and the AUV target crosses source–receiver line multiple times. The research results show that the detection scheme based on the acoustic aberration of source-generated internal wave has potential for underwater target detection, possessing the advantages of wide coverage and high robustness. Data on multi depths are processed to show that the detection performance is dependent on the depth of system. Since the acoustic strength variations are derived form local disturbance in channel, the proposed method may be affected by severe environment fluctuation, and further research is still needed.
2023, 72(14): 145201.
doi: 10.7498/aps.72.20230308
Abstract:
The coupling of ballooning mode and peeling mode forms the so-called peeling-ballooning mode, which is widely used in the physical explanation of the edge localized mode (ELM). The nonlinear platform simulation based on the non-ideal peeling-ballooning mode model successfully explained the ELM experimental results. Therefore, exploring the influences of various non-ideal effects on the ballooning mode in the edge transport barrier is very important in controlling the ELM in the future fusion reactors. Among the reports on non-ideal effects, there are few reports involving the effect of hyper-resistivity caused by anomalous electron viscosity on ballooning mode. It has been found that the hyper-resistivity has a destabilizing effect on the ballooning mode, but the associated physical mechanism is still unclear. Therefore, it is necessary to systematically explore the influence of hyper-resistivity on the ballooning mode theoretically by introducing hyper-resistivity into the ballooning mode model. The linear growth rate of ideal and non-ideal ballooning mode are solved by the shooting method for the derived eigenvalue equation of non-ideal ballooning mode containing hyper-resistivity, finite resistivity and diamagnetic drift effects, and the dependence of ballooning mode on hyper-resistivity is also explored under different conditions. The results show that the hyper-resistivity may destabilize the ballooning mode, and the physical mechanism is that the current diffusion effect caused by the hyper-resistivity weakens the stabilizing effect of the magnetic field line bending on the ballooning mode. When both the resistivity and hyper-resistivity are considered, they are in a competitive relationship. When the ratio of hyper-resistivity to resistivity is relatively high, hyper-resistivity plays a dominant role, and the destabilizing effect of resistivity will be shielded by hyper-resistivity, and vice versa. The destabilization effect of hyper-resistivity on ballooning modes is enhanced with the increase of the toroidal mode number. The hyper-resistivity will destabilize the original stable modes once the toroidal mode number exceeds a certain threshold. Further studies show that the threshold is inversely proportional to the ratio of hyper-resistivity to resistivity. The research results have important reference value for the control of edge localized modes in low-collisionality edge plasma in future fusion reactors.
The coupling of ballooning mode and peeling mode forms the so-called peeling-ballooning mode, which is widely used in the physical explanation of the edge localized mode (ELM). The nonlinear platform simulation based on the non-ideal peeling-ballooning mode model successfully explained the ELM experimental results. Therefore, exploring the influences of various non-ideal effects on the ballooning mode in the edge transport barrier is very important in controlling the ELM in the future fusion reactors. Among the reports on non-ideal effects, there are few reports involving the effect of hyper-resistivity caused by anomalous electron viscosity on ballooning mode. It has been found that the hyper-resistivity has a destabilizing effect on the ballooning mode, but the associated physical mechanism is still unclear. Therefore, it is necessary to systematically explore the influence of hyper-resistivity on the ballooning mode theoretically by introducing hyper-resistivity into the ballooning mode model. The linear growth rate of ideal and non-ideal ballooning mode are solved by the shooting method for the derived eigenvalue equation of non-ideal ballooning mode containing hyper-resistivity, finite resistivity and diamagnetic drift effects, and the dependence of ballooning mode on hyper-resistivity is also explored under different conditions. The results show that the hyper-resistivity may destabilize the ballooning mode, and the physical mechanism is that the current diffusion effect caused by the hyper-resistivity weakens the stabilizing effect of the magnetic field line bending on the ballooning mode. When both the resistivity and hyper-resistivity are considered, they are in a competitive relationship. When the ratio of hyper-resistivity to resistivity is relatively high, hyper-resistivity plays a dominant role, and the destabilizing effect of resistivity will be shielded by hyper-resistivity, and vice versa. The destabilization effect of hyper-resistivity on ballooning modes is enhanced with the increase of the toroidal mode number. The hyper-resistivity will destabilize the original stable modes once the toroidal mode number exceeds a certain threshold. Further studies show that the threshold is inversely proportional to the ratio of hyper-resistivity to resistivity. The research results have important reference value for the control of edge localized modes in low-collisionality edge plasma in future fusion reactors.
2023, 72(14): 146101.
doi: 10.7498/aps.72.20230161
Abstract:
Based on the Yangbajing International Cosmic Ray Observatory in Lhasa with an altitude of 4300 m, a long-term real-time experiment is carried out in order to measure the atmospheric radiation induced soft errors in 14 nm FinFET and 28 nm planar CMOS SRAM array. The underlying mechanisms are also revealed. Five boards are used in the test, four of which are equipped with 28-nm process devices, and one board is equipped with 14-nm process devices. After removing the unstable bad bits, the actual effective test capacity is 7.1 Gb. During the test, the on-board FPGA reads the stored contents of all the tested devices in real time, reports the error information (occurrence time, board number, column number, device number, error address, error data) and corrects the error. The duration of the test is 6651 h. A total of 56 single event upset (SEU) events are observed, they being 24 single bit upset (SBU) events and 32 Multiple Cell Upset (MCU) events. Based on previous results of 65-nm SRAM, the study finds that SER continues to decrease with the reduction of process size, but the proportion of MCU in 28-nm process devices (57%) exceeds SBU, which is a process “maximum point” of MCU sensitivity, and the maximum size of MCU is 16 bits. Although the Fin spacing of the 14-nm FinFET device is only about 35 nm, and the critical charge decreases to sub-fC, the introduction of the FinFET structure leads to the change of charge collection and the sensitive volume sharing mechanism , and the shallow trench isolation leads to the narrowing of the charge diffusion channel. On the other hand, the surface area of the sensitive volume decreases to 0.0024 μm2, resulting in a significant decrease in the soft error rate of both SBU and MCU in the 14-nm process.
Based on the Yangbajing International Cosmic Ray Observatory in Lhasa with an altitude of 4300 m, a long-term real-time experiment is carried out in order to measure the atmospheric radiation induced soft errors in 14 nm FinFET and 28 nm planar CMOS SRAM array. The underlying mechanisms are also revealed. Five boards are used in the test, four of which are equipped with 28-nm process devices, and one board is equipped with 14-nm process devices. After removing the unstable bad bits, the actual effective test capacity is 7.1 Gb. During the test, the on-board FPGA reads the stored contents of all the tested devices in real time, reports the error information (occurrence time, board number, column number, device number, error address, error data) and corrects the error. The duration of the test is 6651 h. A total of 56 single event upset (SEU) events are observed, they being 24 single bit upset (SBU) events and 32 Multiple Cell Upset (MCU) events. Based on previous results of 65-nm SRAM, the study finds that SER continues to decrease with the reduction of process size, but the proportion of MCU in 28-nm process devices (57%) exceeds SBU, which is a process “maximum point” of MCU sensitivity, and the maximum size of MCU is 16 bits. Although the Fin spacing of the 14-nm FinFET device is only about 35 nm, and the critical charge decreases to sub-fC, the introduction of the FinFET structure leads to the change of charge collection and the sensitive volume sharing mechanism , and the shallow trench isolation leads to the narrowing of the charge diffusion channel. On the other hand, the surface area of the sensitive volume decreases to 0.0024 μm2, resulting in a significant decrease in the soft error rate of both SBU and MCU in the 14-nm process.
First principles study of H2 dissociation, H atom and O atom diffusion on Mo doped γ-U (100) surface
2023, 72(14): 146401.
doi: 10.7498/aps.72.20230033
Abstract:
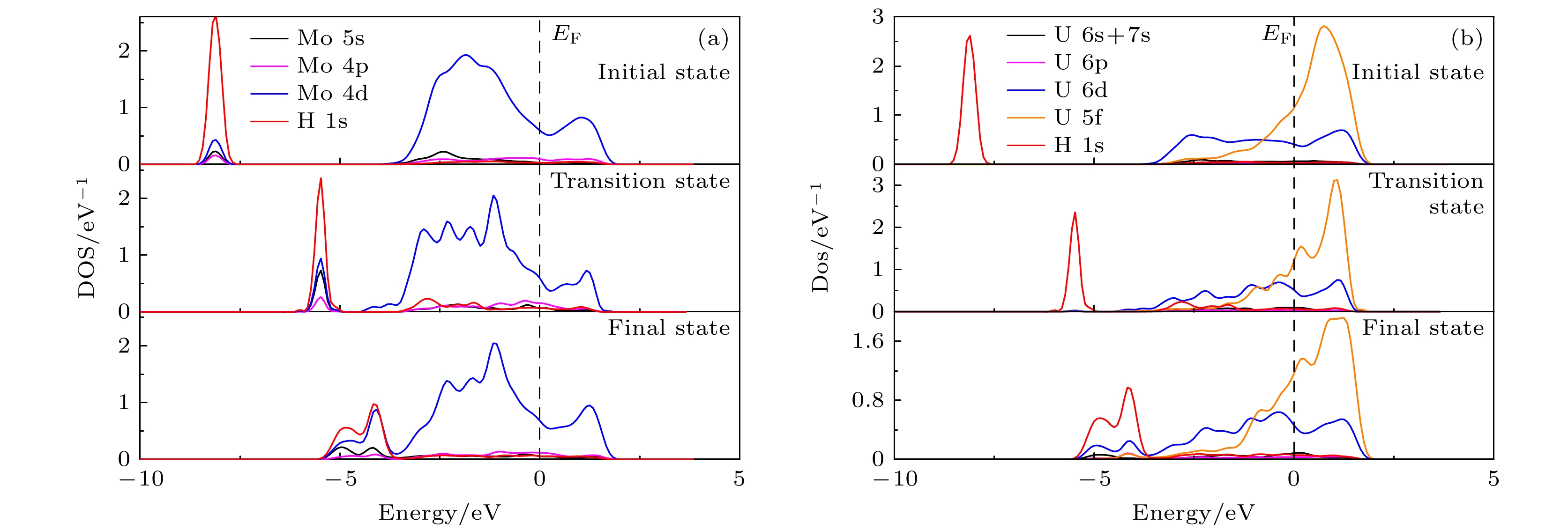
As an important uranium alloy, U-Mo alloy has excellent mechanical properties, structural stability and thermal conductivity, which is an important nuclear reactor fuel and tank armor. However, there exists a serious of fundamental problems of U-Mo alloy which need solving for practical applications. U-Mo alloy is easily subjected to surface corrosion of small molecules including the H2, O2, H2O, and CO2. The hydrogen corrosion and oxidation will have significant influence on it. In order to further investigate the reaction mechanism, based on the density functional theory and the transition state algorithm, the first principles calculation of γ-U (100) with Mo atom doping and Mo coating is carried out. Firstly, the minimum energy path of H2 molecule is calculated for the dissociation adsorption on Mo-U and 4Mo-U surface. Secondly, the transition states of H and O atoms are studied during surface diffusing between adjacent most stable adsorption sites. Thirdly, the bulk phase diffusion of H and O atoms are investigated and the relationship is analyzed between adsorption energy and adsorption height in the bulk phase diffusion. The results show that when H2 molecule is adsorbed at the configuration of top horizontal position, the H atom needs to overcome a barrier to triggering off the H—H bond-broken and then is adsorbed on surface bridge site by the neighboring atoms. The energy barrier for H2 dissociation on 4Mo-U is higher than that of Mo-U. Meanwhile, the lower energy barrier is required for O atom to diffuse in Mo-U, so that it can be adsorbed, dissociated and diffused quickly, and then forming an oxidation film on the surface. Furthermore, both H and O atoms need to cross the energy barrier to diffuse into the body phase, forming chemical bonds with the atoms and staying in the body phase stably finally. In this paper, we comprehensively analyze the dissociation and diffusion of the initial stage for hydrogen corrosion and oxidation on uranium-molybdenum alloy by theoretical studies. The results lay a foundation for theoretically exploring the surface corrosion mechanism of U-Mo alloy. Meanwhile, They provide theoretical support for investigating burn-in and corrosion of uranium-molybdenum alloy, predicting material properties under extreme and special environment, and providing a reference for further research on corrosion resistance of uranium-molybdenum alloy.
2023, 72(14): 147101.
doi: 10.7498/aps.72.20230452
Abstract:
Due to the development of the third-generation semiconductors representative of gallium nitride (GaN), the microwave power devices are developing towards higher power, higher efficiency and high integration. However, the electromagnetic field effects are more significant inside the device. As a result, circuit-level based simulation techniques can no longer satisfy the accuracy requirements of device design. Therefore it is necessary to urgently establish the field-circuit co-simulation techniques to couple the active GaN devices with passive electromagnetic structures. In this work, we propose a high-precision discontinuous Galerkin time-domain method to analyze the performances of GAN-based high-power microwave devices. The extracted large-signal compact model of the GaN HEMT is incorporated into the electromagnetic field equations. A local time-stepping technique is adopted to remove the constraints of nonlinear compact models and multiscale elements on the stability conditions of the global algorithm. The comparisons among numerical simulations, experimental results, and software calculations demonstrate the excellent accuracy and efficiency of the proposed method, which can provide a theoretical analysis and design tool for the high reliability design of advanced high-power microwave devices.
Due to the development of the third-generation semiconductors representative of gallium nitride (GaN), the microwave power devices are developing towards higher power, higher efficiency and high integration. However, the electromagnetic field effects are more significant inside the device. As a result, circuit-level based simulation techniques can no longer satisfy the accuracy requirements of device design. Therefore it is necessary to urgently establish the field-circuit co-simulation techniques to couple the active GaN devices with passive electromagnetic structures. In this work, we propose a high-precision discontinuous Galerkin time-domain method to analyze the performances of GAN-based high-power microwave devices. The extracted large-signal compact model of the GaN HEMT is incorporated into the electromagnetic field equations. A local time-stepping technique is adopted to remove the constraints of nonlinear compact models and multiscale elements on the stability conditions of the global algorithm. The comparisons among numerical simulations, experimental results, and software calculations demonstrate the excellent accuracy and efficiency of the proposed method, which can provide a theoretical analysis and design tool for the high reliability design of advanced high-power microwave devices.
2023, 72(14): 147102.
doi: 10.7498/aps.72.20230528
Abstract:
The calculations using GW method based on Green’s function show that two-dimensional monolayer InSe and InTe have desired electronic band gaps for absorbing visible light, high electron mobilities, and suitable electronic band structures for water splitting, and that the spin orbit coupling (SOC) leads to an indirect-to -direct band gap transition for monolayer InTe. On the basis of quasi-particle energy levels, the calculations via solving Bethe-Salpter equation (BSE) show that the exciton binding energy of isolated monolayer InSe and InTe are much higher than that of the dissociation energy of exciton at room temperature. On the other hand, two-dimensional semiconductors in laboratory are often supported by substrates for mechanical stability, and the atomic thickness values of two-dimensional semiconductors are also various in different experiments. These factors will change the dielectric environments of two-dimensional semiconductor, and the further calculations show that the exciton binding energy of InSe and InTe decrease with the increase of the thickness of InSe and InTe and also the thickness of their substrates, also revealing that the exciton binding energy can be accurately controlled by engineering the thickness of two-dimensional semiconductors and the substrates. Our results provide important theoretical basis for accurately controlling the binding energy of two-dimensional InSe and InTe.
The calculations using GW method based on Green’s function show that two-dimensional monolayer InSe and InTe have desired electronic band gaps for absorbing visible light, high electron mobilities, and suitable electronic band structures for water splitting, and that the spin orbit coupling (SOC) leads to an indirect-to -direct band gap transition for monolayer InTe. On the basis of quasi-particle energy levels, the calculations via solving Bethe-Salpter equation (BSE) show that the exciton binding energy of isolated monolayer InSe and InTe are much higher than that of the dissociation energy of exciton at room temperature. On the other hand, two-dimensional semiconductors in laboratory are often supported by substrates for mechanical stability, and the atomic thickness values of two-dimensional semiconductors are also various in different experiments. These factors will change the dielectric environments of two-dimensional semiconductor, and the further calculations show that the exciton binding energy of InSe and InTe decrease with the increase of the thickness of InSe and InTe and also the thickness of their substrates, also revealing that the exciton binding energy can be accurately controlled by engineering the thickness of two-dimensional semiconductors and the substrates. Our results provide important theoretical basis for accurately controlling the binding energy of two-dimensional InSe and InTe.
2023, 72(14): 147103.
doi: 10.7498/aps.72.20230440
Abstract:
With the rapid development of wireless communications, GaN HEMT, which has various advantages of high power density, high electron mobility, and high breakdown threshold, receiving increasing attention. Microwave power amplifiers based on GaN HEMTs are widely used in many fields, such as communication, medical, and detection instruments. In the accurate design of GaN microwave power amplifiers, reliable RF large signal model is vitally important. In this paper, a scalable large-signal model based on EEHEMT model is proposed to describe the properties of multifinger AlGaN/GaN high electron mobility transistor (HEMT) accurately. A series of scaling rules is established for the intrinsic parameters of the device, including drain-source current Ids, input capacitance Cgs and Cgd, which take into account both the gate width of a single finger and the number of gate fingers. With the proposed scalable large-signal model, the performance of the L-band GaN high-efficiency power amplifier with a gate length of 14.4 mm is analyzed. This amplifier demonstrates outstanding performance, with the output power reaching to 46.5 dBm and the drain efficiency arriving at over 70% of the frequency range from 1120 MHz to 1340 MHz. Good agreement between the simulations and experiments is achieved, demonstrating the excellent accuracy of the proposed model. Moreover, the proposed model can further predict the performance of high-order harmonics, providing an effective tool for designing advanced high-power and high-efficiency microwave power amplifiers. Certainly, the EEHEMT model fails to characterize the dynamical behavior induced by trapping and self-heating effects. Thus, for further consideration, scaling models for the thermal resistance and heat capacity need further investigating to broaden the application scope of the proposed model in the case of continuous waves.
With the rapid development of wireless communications, GaN HEMT, which has various advantages of high power density, high electron mobility, and high breakdown threshold, receiving increasing attention. Microwave power amplifiers based on GaN HEMTs are widely used in many fields, such as communication, medical, and detection instruments. In the accurate design of GaN microwave power amplifiers, reliable RF large signal model is vitally important. In this paper, a scalable large-signal model based on EEHEMT model is proposed to describe the properties of multifinger AlGaN/GaN high electron mobility transistor (HEMT) accurately. A series of scaling rules is established for the intrinsic parameters of the device, including drain-source current Ids, input capacitance Cgs and Cgd, which take into account both the gate width of a single finger and the number of gate fingers. With the proposed scalable large-signal model, the performance of the L-band GaN high-efficiency power amplifier with a gate length of 14.4 mm is analyzed. This amplifier demonstrates outstanding performance, with the output power reaching to 46.5 dBm and the drain efficiency arriving at over 70% of the frequency range from 1120 MHz to 1340 MHz. Good agreement between the simulations and experiments is achieved, demonstrating the excellent accuracy of the proposed model. Moreover, the proposed model can further predict the performance of high-order harmonics, providing an effective tool for designing advanced high-power and high-efficiency microwave power amplifiers. Certainly, the EEHEMT model fails to characterize the dynamical behavior induced by trapping and self-heating effects. Thus, for further consideration, scaling models for the thermal resistance and heat capacity need further investigating to broaden the application scope of the proposed model in the case of continuous waves.
2023, 72(14): 147301.
doi: 10.7498/aps.72.20230464
Abstract:
Photovoltaic device based on van der Waals heterojunction provides an effective way to develop high-performance, low-power consumption, ultra-integrated micro photodetection system. In this paper, we construct an asymmetric Au/MoS2 Schottky junction to realize a planar MoS2-based photovoltaic device. In order to further improve the photoelectric performance of the device, we design a structure covering MoO3 on the surface of MoS2 to construct the heterojunction. Owing to the absorption properties of MoO3 in visible light and the excellent light transmittance of the ultra-thin two-dimensional structure, the electrons involved in conducting in MoS2 material are increased. In most of previous reports, the preparation methods and performance improvement of MoS2/MoO3 heterojunctions were the focus of research, but little attention was paid to exploring the influence of overlayer on devices. Therefore, in this work, we investigate the influence of overlayer thickness on device performance. With the help of atomic layer deposition (ALD) method to control the film thickness, each of the MoO3 materials with thickness of 4 nm, 12 nm and 20 nm (deposition periods of 10, 30 and 50, respectively) is covered on the surface of a MoS2-based photodetector. The photoelectric performance enhancement effects of three groups of heterojunction photodetectors are compared with each other. The results show that the thinner the MoO3 layer, the more significant the enhancement effect of heterojunction photodetectors is. This is mainly attributed to the fact that ultra-thin MoO3 layer not only has visible light absorption, but also reduces the influence of the covering layer on the light absorption of MoS2, thus achieving a heterojunction system with high light absorption efficiency. In addition, the interfacial electric field of the heterojunction effectively promotes the separation of photogenerated carriers, and the thinner the MoO3 coating layer, the weaker the effect of introducing the interfacial defects of the heterojunction is. Therefore, the dark current gain effect of the device is effectively suppressed, which is beneficial to improving the response speed and optical detectivity of the device. Comparing with pure MoS2 photovoltaic photodetectors, the photoresponsivity of MoS2/MoO3 heterojunction device in this paper is enhanced nearly 10 times. The device exhibits a high photoresponse of ~916.121 A/W, a detectivity of ~2.74×1011 Jones, and a fast response time of ~73 μs, showing that this design can effectively solve the low-responsiveness problem of planar photovoltaic device. In this study, for the first time, we construct a planar photovoltaic device based on MoS2/MoO3. By designing heterostructure and optimizing the thickness of the overlayer, the photoelectric performance of planar MoS2-based photovoltaic device is successfully improved, which provides a reference scheme for developing high-performance heterojunction photodetectors of MoS2/oxide materials in future.
Photovoltaic device based on van der Waals heterojunction provides an effective way to develop high-performance, low-power consumption, ultra-integrated micro photodetection system. In this paper, we construct an asymmetric Au/MoS2 Schottky junction to realize a planar MoS2-based photovoltaic device. In order to further improve the photoelectric performance of the device, we design a structure covering MoO3 on the surface of MoS2 to construct the heterojunction. Owing to the absorption properties of MoO3 in visible light and the excellent light transmittance of the ultra-thin two-dimensional structure, the electrons involved in conducting in MoS2 material are increased. In most of previous reports, the preparation methods and performance improvement of MoS2/MoO3 heterojunctions were the focus of research, but little attention was paid to exploring the influence of overlayer on devices. Therefore, in this work, we investigate the influence of overlayer thickness on device performance. With the help of atomic layer deposition (ALD) method to control the film thickness, each of the MoO3 materials with thickness of 4 nm, 12 nm and 20 nm (deposition periods of 10, 30 and 50, respectively) is covered on the surface of a MoS2-based photodetector. The photoelectric performance enhancement effects of three groups of heterojunction photodetectors are compared with each other. The results show that the thinner the MoO3 layer, the more significant the enhancement effect of heterojunction photodetectors is. This is mainly attributed to the fact that ultra-thin MoO3 layer not only has visible light absorption, but also reduces the influence of the covering layer on the light absorption of MoS2, thus achieving a heterojunction system with high light absorption efficiency. In addition, the interfacial electric field of the heterojunction effectively promotes the separation of photogenerated carriers, and the thinner the MoO3 coating layer, the weaker the effect of introducing the interfacial defects of the heterojunction is. Therefore, the dark current gain effect of the device is effectively suppressed, which is beneficial to improving the response speed and optical detectivity of the device. Comparing with pure MoS2 photovoltaic photodetectors, the photoresponsivity of MoS2/MoO3 heterojunction device in this paper is enhanced nearly 10 times. The device exhibits a high photoresponse of ~916.121 A/W, a detectivity of ~2.74×1011 Jones, and a fast response time of ~73 μs, showing that this design can effectively solve the low-responsiveness problem of planar photovoltaic device. In this study, for the first time, we construct a planar photovoltaic device based on MoS2/MoO3. By designing heterostructure and optimizing the thickness of the overlayer, the photoelectric performance of planar MoS2-based photovoltaic device is successfully improved, which provides a reference scheme for developing high-performance heterojunction photodetectors of MoS2/oxide materials in future.
2023, 72(14): 147302.
doi: 10.7498/aps.72.20230318
Abstract:
Graphene-based van der Waals heterojunctions can not only modulate the electronic properties of graphene but also retain the superior properties of the original monolayer. In this paper, the structure, electrical contact types, electronic and optical properties of graphene/C3N van der Waals heterojunctions are systematically investigated based on first-principles calculations. We find that there is a p-type Schottky contact of only 0.039 eV in the graphene/C3N van der Waals heterojunctions in an equilibrium state. The external electric field can adjust the interface contact type, specifically, from p-type to n-type Schottky contact, or from p-type Schottky contact to Ohmic contact. The vertical strain not only opens a nonnegligible band gap of 360 meV on the Dirac cone of graphene in graphene/C3N van der Waals heterojunctions, but also modulates the band gap of C3N in the heterojunctions. Moreover, both the doping type and concentration of the carriers can be effectively tuned by the applied electric field and the vertical strain. The increase in carrier concentration is more pronounced by the applied electric field. Comparing with the pristine monolayer graphene and monolayer C3N, the optical response range and the light absorption rate of graphene /C3N van der Waals heterojunctions are enhanced. Main absorption peak in the spectrum reaches to 106 cm–1. These results not only provide valuable theoretical guidance for designing Schottky-based graphene/C3N van der Waals heterojunctions devices, but also further explore the potential applications of heterojunctions in optoelectronic nanodevices and field-effect transistor devices.
Graphene-based van der Waals heterojunctions can not only modulate the electronic properties of graphene but also retain the superior properties of the original monolayer. In this paper, the structure, electrical contact types, electronic and optical properties of graphene/C3N van der Waals heterojunctions are systematically investigated based on first-principles calculations. We find that there is a p-type Schottky contact of only 0.039 eV in the graphene/C3N van der Waals heterojunctions in an equilibrium state. The external electric field can adjust the interface contact type, specifically, from p-type to n-type Schottky contact, or from p-type Schottky contact to Ohmic contact. The vertical strain not only opens a nonnegligible band gap of 360 meV on the Dirac cone of graphene in graphene/C3N van der Waals heterojunctions, but also modulates the band gap of C3N in the heterojunctions. Moreover, both the doping type and concentration of the carriers can be effectively tuned by the applied electric field and the vertical strain. The increase in carrier concentration is more pronounced by the applied electric field. Comparing with the pristine monolayer graphene and monolayer C3N, the optical response range and the light absorption rate of graphene /C3N van der Waals heterojunctions are enhanced. Main absorption peak in the spectrum reaches to 106 cm–1. These results not only provide valuable theoretical guidance for designing Schottky-based graphene/C3N van der Waals heterojunctions devices, but also further explore the potential applications of heterojunctions in optoelectronic nanodevices and field-effect transistor devices.
2023, 72(14): 147701.
doi: 10.7498/aps.72.20230203
Abstract:
Pulsed field ablation (PFA) is a new type of physical energy source in the fields of tumor and atrial fibrillation ablation, which is based on irreversible electroporation with non-thermal, clear ablation boundaries, selective killing, and rapid advantages. The PFA triggers off the changes in the electrical conductivity of ablation zone, which can be described by a step function and used to predict the ablation zone. However, current research does not compare the advantages and disadvantages of different conductivity models, nor does it consider the effects of model parameter change caused by individual differences and errors on the efficacy of PFA. This work is devoted to comparing two commonly used conductivity models (Heaviside model and Gompertz model), and quantifying the influence of model input uncertainty on model output and PFA ablation zone. In this work, we carry out uncertainty quantification and sensitivity analysis to quantify the influence of model parameter uncertainty on model output, clarify the parameter sensitivity distribution, and provide model selection criteria from the perspectives of model complexity, parameter sensitivity distribution, and model robustness. Combined with finite element simulation, the study quantifies the effects of uncertainty in the most sensitive parameters of the conductivity model and ablation threshold on the PFA ablation zone. The results show that different conductivity models exhibit different robustness under the same proportion of variation in parameters. The Heaviside model, which is determined by a single factor, has strong robustness. The uncertainty output of the Gompertz model is jointly determined by multiple sensitivity parameters, making it susceptible to various conditions. The ablation threshold and pre-treatment tissue conductivity are the two most sensitive parameters affecting the assessment of ablation depth. Changes in the ablation threshold result in a Gaussian distribution of ablation depth. The greater the change in pre-treatment tissue conductivity, the greater the change in ablation depth is, which, however, follows a nonlinear proportional relationship. This approach can improve the accuracy and reliability of PFA ablation prediction, and provide a visual and global way to show the influence of input uncertainties on model output and parameter sensitivity ranking, thus effectively improving the accuracy of model prediction, reducing computational costs, and optimizing the selection of candidate models. This strategy can be applied to a variety of mathematical physics and simulation models to enhance model credibility and simplify the models.
2023, 72(14): 147801.
doi: 10.7498/aps.72.20230450
Abstract:
Single-molecular surface-induced fluorescence attenuation (smSIFA) is a precise method of studying the vertical movement of biological macromolecules based on two-dimensional material receptors. This method is not affected by two-dimensional planar motion of membrane or proteins. However, the detection range and accuracy of vertical movement are determined by the properties of two-dimensional materials as receptors. In recent years, surface induced fluorescence attenuation based on graphene oxide and graphene has played an important role in studying biomacromolecules. However, the detection range of graphene and graphene oxide are limited owing to the fixed and limited characteristic quenching distance. Adjusting the detection range requires replacing the medium material, which poses difficulties in selecting and preparing materials. Therefore, it is urgently needed to develop controllable materials for single-molecular SIFA. In this study, the single-molecule SIFA with graphene oxide as the medium acceptor is improved by reducing graphene oxide through thermal reduction. By controlling the reduction temperature, reduced graphene oxides to different reduction degrees are prepared and the characteristic quenching distances are adjusted. The characteristic quenching distance is measured by fluorescent labeled DNA. Single-molecule SIFA based on reduced graphene oxide is used to observe the conformational changes of Holliday junction, and the detection range of reduced graphene oxide is demonstrated.
Single-molecular surface-induced fluorescence attenuation (smSIFA) is a precise method of studying the vertical movement of biological macromolecules based on two-dimensional material receptors. This method is not affected by two-dimensional planar motion of membrane or proteins. However, the detection range and accuracy of vertical movement are determined by the properties of two-dimensional materials as receptors. In recent years, surface induced fluorescence attenuation based on graphene oxide and graphene has played an important role in studying biomacromolecules. However, the detection range of graphene and graphene oxide are limited owing to the fixed and limited characteristic quenching distance. Adjusting the detection range requires replacing the medium material, which poses difficulties in selecting and preparing materials. Therefore, it is urgently needed to develop controllable materials for single-molecular SIFA. In this study, the single-molecule SIFA with graphene oxide as the medium acceptor is improved by reducing graphene oxide through thermal reduction. By controlling the reduction temperature, reduced graphene oxides to different reduction degrees are prepared and the characteristic quenching distances are adjusted. The characteristic quenching distance is measured by fluorescent labeled DNA. Single-molecule SIFA based on reduced graphene oxide is used to observe the conformational changes of Holliday junction, and the detection range of reduced graphene oxide is demonstrated.
2023, 72(14): 148101.
doi: 10.7498/aps.72.20230457
Abstract:
In this paper, a dual-polarization 4-bit coding metasurface is proposed to achieve the flexible manipulation of different polarization electromagnetic wave reflection angles and the generation of dual-mode vortex beams by independent manipulation of orthogonal linearly polarized waves. The proposed metasurface is composed of an H-type metal patch, dielectric substrate, and metal grounding layer from top to bottom. To prove the proposed concept, we design and fabricate four coding metasurfaces based on the superposition theorem and holographic theory. One of the coding metasurfaces is designed to verify the ability to manipulate the beam angle, and each of the other three coding metasurfaces is designed to carry a vortex beam with different topological charges under orthogonal linearly polarized waves with a central frequency of 24 GHz. The experimental results show that the theoretical design is highly consistent with the simulation results. Therefore, it is verified that our proposed 4-bit dual-polarization coding metasurface has a strong and flexible ability to manipulate the beam reflection angle and generate a high-performance dual-mode vortex beam antenna. Because of the wide application prospect of vortex beams in the communication field, we have reason to believe that the proposed ultra-thin dual-mode vortex generator will have potential applications in wireless communication systems in the fields of images and microwaves.
In this paper, a dual-polarization 4-bit coding metasurface is proposed to achieve the flexible manipulation of different polarization electromagnetic wave reflection angles and the generation of dual-mode vortex beams by independent manipulation of orthogonal linearly polarized waves. The proposed metasurface is composed of an H-type metal patch, dielectric substrate, and metal grounding layer from top to bottom. To prove the proposed concept, we design and fabricate four coding metasurfaces based on the superposition theorem and holographic theory. One of the coding metasurfaces is designed to verify the ability to manipulate the beam angle, and each of the other three coding metasurfaces is designed to carry a vortex beam with different topological charges under orthogonal linearly polarized waves with a central frequency of 24 GHz. The experimental results show that the theoretical design is highly consistent with the simulation results. Therefore, it is verified that our proposed 4-bit dual-polarization coding metasurface has a strong and flexible ability to manipulate the beam reflection angle and generate a high-performance dual-mode vortex beam antenna. Because of the wide application prospect of vortex beams in the communication field, we have reason to believe that the proposed ultra-thin dual-mode vortex generator will have potential applications in wireless communication systems in the fields of images and microwaves.
2023, 72(14): 148102.
doi: 10.7498/aps.72.20230212
Abstract:
Porous materials, characterized by the presence of interconnected pores, exhibit the properties different from their bulk counterparts. One of properties of interest is that the pores can influence the martensitic transformation in shape memory alloys (SMAs), which directly affects the material's shape memory effect and mechanical properties. The martensitic transformation is accompanied by the formation of different martensitic variants, which determine the overall morphology, distribution, and self-accommodation effect of the transformed regions. Previous experimental studies have shown that the presence of pores, particularly at the metal-air interface, can significantly affect the martensitic variant structure, leading to its thinning. This thinning effect has been found to be able to improve the damping performance of the alloy. Experimental observations have indicated that no relief of martensitic variants was found around the metal-air interface, but non-transformed regions were observed. These observations suggest that the metal-air interface in porous materials is not a free surface and plays a crucial role in influencing the martensitic transformation. To further investigate the effect of martensitic variant self-accommodation on different constrained interfaces in porous materials, a three-dimensional phase-field model based on the time dependent Ginzburg-Landau (TDGL) function is proposed in this study. The phase-field model can give a comprehensive understanding of the evolution of martensitic variants and their interaction with the constrained interfaces. Remarkably, the simulation results accord well with the experimental findings, demonstrating the presence of fine martensitic variants near the metal-air interface. The simulations under different interface constraint conditions reveal that increasing the specific surface area of porous materials is an effective strategy to obtain a more refined martensitic variant structure. The system’s total energy is minimized by reducing the strain energy, which leads to the formation of a greater number of fine martensitic variants. This finding suggests that controlling the specific surface area of porous materials can be a promising approach to tailoring the mechanical properties of SMAs for specific applications. In conclusion, the presence of metal-air interface in porous material significantly influences the evolution of the martensitic transformation in SMA. Experimental observations show that the introduction of pore can modify the martensitic variant structure, resulting in improved damping performance. The proposed phase-field model successfully captures the behavior of martensitic variants near constrained interface. The simulation results emphasize the importance of specific surface area in obtaining fine martensitic variant structures. These findings contribute to a more in-depth understanding of the role of porous materials in shaping the properties of SMAs and provide a valuable insight into their design and application in various fields.
Porous materials, characterized by the presence of interconnected pores, exhibit the properties different from their bulk counterparts. One of properties of interest is that the pores can influence the martensitic transformation in shape memory alloys (SMAs), which directly affects the material's shape memory effect and mechanical properties. The martensitic transformation is accompanied by the formation of different martensitic variants, which determine the overall morphology, distribution, and self-accommodation effect of the transformed regions. Previous experimental studies have shown that the presence of pores, particularly at the metal-air interface, can significantly affect the martensitic variant structure, leading to its thinning. This thinning effect has been found to be able to improve the damping performance of the alloy. Experimental observations have indicated that no relief of martensitic variants was found around the metal-air interface, but non-transformed regions were observed. These observations suggest that the metal-air interface in porous materials is not a free surface and plays a crucial role in influencing the martensitic transformation. To further investigate the effect of martensitic variant self-accommodation on different constrained interfaces in porous materials, a three-dimensional phase-field model based on the time dependent Ginzburg-Landau (TDGL) function is proposed in this study. The phase-field model can give a comprehensive understanding of the evolution of martensitic variants and their interaction with the constrained interfaces. Remarkably, the simulation results accord well with the experimental findings, demonstrating the presence of fine martensitic variants near the metal-air interface. The simulations under different interface constraint conditions reveal that increasing the specific surface area of porous materials is an effective strategy to obtain a more refined martensitic variant structure. The system’s total energy is minimized by reducing the strain energy, which leads to the formation of a greater number of fine martensitic variants. This finding suggests that controlling the specific surface area of porous materials can be a promising approach to tailoring the mechanical properties of SMAs for specific applications. In conclusion, the presence of metal-air interface in porous material significantly influences the evolution of the martensitic transformation in SMA. Experimental observations show that the introduction of pore can modify the martensitic variant structure, resulting in improved damping performance. The proposed phase-field model successfully captures the behavior of martensitic variants near constrained interface. The simulation results emphasize the importance of specific surface area in obtaining fine martensitic variant structures. These findings contribute to a more in-depth understanding of the role of porous materials in shaping the properties of SMAs and provide a valuable insight into their design and application in various fields.
2023, 72(14): 148401.
doi: 10.7498/aps.72.20230331
Abstract:
With the extensive integration of portable computers and smartphones with “Internet of Things” technology, further miniaturization, high reading/writing speed and big storage capacity are required for the new-generation non-volatile memory devices. Compared with traditional charge memory and magnetoresistive memory, resistive random access memory (RRAM) based on transition metal oxides is one of the promising candidates due to its low power consumption, small footprint, high stack ability, fast switching speed and multi-level storage capacity. Inspired by the excellent resistive switching characteristics of NiO and HfO2, NiOx films are deposited by magnetron sputtering on the Pt\begin{document}$\langle111\rangle $\end{document} ![]()
![]()
layer and the polycrystalline HfO2 film, respectively. Their microstructures, resistive switching characteristics and conductive mechanisms are studied. X-ray diffractometer data show the \begin{document}$\langle111\rangle $\end{document} ![]()
![]()
preferred orientation for the NiOx film deposited on the Pt\begin{document}$\langle111\rangle $\end{document} ![]()
![]()
layer but the \begin{document}$\langle100\rangle $\end{document} ![]()
![]()
preferred one for the film deposited on the polycrystalline HfO2 layer. X-ray photoelectron depth profile of Ni 2p core level reveals that the NiOx film is the mixture of oxygen-deficient NiO and Ni2O3. NiOx(111) films show bipolar resistive switching (RS) characteristics with a clockwise current-voltage (I-V) loop, but its ratio of the high resistance to the low resistance (RH/RL) is only ~10, and its endurance is also poor. The NiOx(200)/HfO2 stack exhibits bipolar RS characteristics with a counterclockwise I-V loop. The RH/RL is greater than 104, the endurance is about 104 cycles, and the retention time exceeds 104 s. In the initial stage, the HfO2/NiOx(200)/HfO2 stack shows similar bi-level RS characteristics to the NiOx(200)/HfO2 stack. However, in the middle and the last stages, its I-V curves gradually evolve into tri-level RS characteristics with a “two-step Setting process” in the positive voltage region, showing potential applications in multilevel nonvolatile memory devices and brain-like neural synapses. Its I-V curves in the high and the low resistance state follow the relationship of ohmic conduction (\begin{document}$ I \propto V $\end{document} ![]()
![]()
), while the I-V curves in the intermediate resistance state are dominated by the space-charge-limited-current mechanism (\begin{document}$ I \propto V^2 $\end{document} ![]()
![]()
). The tri-level RS phenomena are attributed to the coexistence of the oxygen-vacancy conductive filaments in the NiOx(200) film and the space charge limited current in the upper HfO2 film.
2023, 72(14): 148501.
doi: 10.7498/aps.72.20230550
Abstract:
Shielded gate trench metal-oxide-semiconductor field effect transistor (SGT-MOSFET) introduces a longitudinal shielding gate connected to the source inside the body, which can assist in depleting the drift region. Its principle of withstanding voltage is different from that of the vertical U-groove MOSFET (VUMOSFET). The SGT-MOSFET will generate two electric field peaks inside the body, which will further optimize the electric field strength distribution of the device and increase the breakdown voltage of the device. Therefore, SGT-MOSFET has not only the advantages of low conduction loss of CCMOSFET, but also lower switching loss. The effects of structural parameters such as the width of the mesa, the thickness of the field oxygen, the depth of the trench and the doping concentration on the electric field strength distribution of SGT-MOSFET are not independent of each other. The more the parameters, the more complex the correlation of their effects on the electric field strength distribution is. In this paper, we take 110V SGT-MOSFET as a research object. Through numerical simulation, theoretical analysis and analytical modeling, the principle of withstanding voltage for different structures and the correlation between structural parameters and electric field strength distribution are studied. The analytical model of the electric field related to various structural parameters of the device is established, which provides a theoretical basis for the design of the device structure. The analytical model of electric field under low current is modified by introducing avalanche carriers, so that the modified analytical results can better match the simulation results. Through the modified electric field analysis model, the field oxygen thicknessin an optimal electric field is 0.68 µm . Comparing with the product of SGTMOSFET with 0.58 µm field oxygen thickness, at the optimal field oxygen thickness of 0.68 µm, the on-resistance of the device is reduced because the on-area of the device is increased; the electric field distribution is more uniform, so the device breakdown voltage increases; the gate-source capacitance decreases and the gate-drain capacitance is almost no change, so the gate-source charge decreases and the gate-drain charge is almost no change, while the total gate charge decreases. As a result, the optimal value parameter FOM1 of the device is increased by 18.9%, and the optimal value parameter FOM2 is reduced by 8.5%. Therefore, the static and dynamic characteristics of the device are significantly promoted, and the performance of the corresponding products is greatly improved.
Shielded gate trench metal-oxide-semiconductor field effect transistor (SGT-MOSFET) introduces a longitudinal shielding gate connected to the source inside the body, which can assist in depleting the drift region. Its principle of withstanding voltage is different from that of the vertical U-groove MOSFET (VUMOSFET). The SGT-MOSFET will generate two electric field peaks inside the body, which will further optimize the electric field strength distribution of the device and increase the breakdown voltage of the device. Therefore, SGT-MOSFET has not only the advantages of low conduction loss of CCMOSFET, but also lower switching loss. The effects of structural parameters such as the width of the mesa, the thickness of the field oxygen, the depth of the trench and the doping concentration on the electric field strength distribution of SGT-MOSFET are not independent of each other. The more the parameters, the more complex the correlation of their effects on the electric field strength distribution is. In this paper, we take 110V SGT-MOSFET as a research object. Through numerical simulation, theoretical analysis and analytical modeling, the principle of withstanding voltage for different structures and the correlation between structural parameters and electric field strength distribution are studied. The analytical model of the electric field related to various structural parameters of the device is established, which provides a theoretical basis for the design of the device structure. The analytical model of electric field under low current is modified by introducing avalanche carriers, so that the modified analytical results can better match the simulation results. Through the modified electric field analysis model, the field oxygen thicknessin an optimal electric field is 0.68 µm . Comparing with the product of SGTMOSFET with 0.58 µm field oxygen thickness, at the optimal field oxygen thickness of 0.68 µm, the on-resistance of the device is reduced because the on-area of the device is increased; the electric field distribution is more uniform, so the device breakdown voltage increases; the gate-source capacitance decreases and the gate-drain capacitance is almost no change, so the gate-source charge decreases and the gate-drain charge is almost no change, while the total gate charge decreases. As a result, the optimal value parameter FOM1 of the device is increased by 18.9%, and the optimal value parameter FOM2 is reduced by 8.5%. Therefore, the static and dynamic characteristics of the device are significantly promoted, and the performance of the corresponding products is greatly improved.
2023, 72(14): 148502.
doi: 10.7498/aps.72.20230485
Abstract:
Photoelectric functional device with specific optical, electrical and photoelectric conversion effects is one of the most important resources of modern information science and technology. Electro-optic modulator and photodetector are very important photoelectric functional devices, which are key devices in the fields of frequency locking, feedback control, photoelectric information conversion, optical communication, photoelectric information modulation, etc., and play an irreplaceable role in frequency stabilization locking technology of PDH (Pound-Drever-Hall, simply referred to as PDH). The PDH technology is widely used in researches of large scientific devices, quantum optics, optical communication and other fields. Using electro-optical phase modulator to carry out laser phase modulation is the primary process to realize frequency stabilization locking of standard PDH. Photoelectric detection can implement the photoelectric conversion of the carried weak modulation signal and spectral peak signal into electrical signal, and then feedback control through proportional integral and differential circuits, so as to achieve stable locking and frequency stabilization. The resonant electro-optical phase modulation (RPM) with high modulation depth, low power consumption and low half-wave voltage and microwatt resonant photoelectric detection (RPD) functional device with high signal-to-noise (SNR) ratio are invented to meet the demand for extraction and detection of extremely weak signals. The resonant circuit is composed of the single-end wedge-angle lithium niobate crystal, low noise photodiode and low-loss and high-Q electronic components. Low power consumption, high modulation depth electro-optic modulation, and high gain photoelectric detection are realized by the principle of resonant enhancement. When the optimal modulation frequency point is 10 MHz, the bandwidth of RPM is 225 kHz with Q of 44.4, when the modulation depth is 1.435, the RPM requires RF drive voltage of RPM to be 4 V. When the optimal modulation frequency point is 20 MHz, the bandwidth of RPM is 460 kHz with Q of 43.5, the required RF drive voltage of RPM is 6.5 V when the modulation depth is 1.435. The optimal detection frequency point of the self-invent RPD is 20.00 MHz, with a bandwidth of 1 MHz, Q of 20, the gain of 80 dB at 100 μW. With the home-made RPM and RPD in the extraction loop for extremely weak signal, the SNR of error signal is as high as 5.088 at 10 μW, 34.933 at 50 μW and 58.7 at 100 μW. Such a loop improves the performance and stability of the entire feedback control loop by optimizing parameters of proportional integral differential, which provides key devices and technological approaches for preparing a highly stable quantum light source and ultra-stable laser.
Photoelectric functional device with specific optical, electrical and photoelectric conversion effects is one of the most important resources of modern information science and technology. Electro-optic modulator and photodetector are very important photoelectric functional devices, which are key devices in the fields of frequency locking, feedback control, photoelectric information conversion, optical communication, photoelectric information modulation, etc., and play an irreplaceable role in frequency stabilization locking technology of PDH (Pound-Drever-Hall, simply referred to as PDH). The PDH technology is widely used in researches of large scientific devices, quantum optics, optical communication and other fields. Using electro-optical phase modulator to carry out laser phase modulation is the primary process to realize frequency stabilization locking of standard PDH. Photoelectric detection can implement the photoelectric conversion of the carried weak modulation signal and spectral peak signal into electrical signal, and then feedback control through proportional integral and differential circuits, so as to achieve stable locking and frequency stabilization. The resonant electro-optical phase modulation (RPM) with high modulation depth, low power consumption and low half-wave voltage and microwatt resonant photoelectric detection (RPD) functional device with high signal-to-noise (SNR) ratio are invented to meet the demand for extraction and detection of extremely weak signals. The resonant circuit is composed of the single-end wedge-angle lithium niobate crystal, low noise photodiode and low-loss and high-Q electronic components. Low power consumption, high modulation depth electro-optic modulation, and high gain photoelectric detection are realized by the principle of resonant enhancement. When the optimal modulation frequency point is 10 MHz, the bandwidth of RPM is 225 kHz with Q of 44.4, when the modulation depth is 1.435, the RPM requires RF drive voltage of RPM to be 4 V. When the optimal modulation frequency point is 20 MHz, the bandwidth of RPM is 460 kHz with Q of 43.5, the required RF drive voltage of RPM is 6.5 V when the modulation depth is 1.435. The optimal detection frequency point of the self-invent RPD is 20.00 MHz, with a bandwidth of 1 MHz, Q of 20, the gain of 80 dB at 100 μW. With the home-made RPM and RPD in the extraction loop for extremely weak signal, the SNR of error signal is as high as 5.088 at 10 μW, 34.933 at 50 μW and 58.7 at 100 μW. Such a loop improves the performance and stability of the entire feedback control loop by optimizing parameters of proportional integral differential, which provides key devices and technological approaches for preparing a highly stable quantum light source and ultra-stable laser.
2023, 72(14): 148701.
doi: 10.7498/aps.72.20230461
Abstract:
In recent years, the X-ray interferometer using dual phase gratings has been extensively studied. The large periodic fringes produced by the X-ray interferometer using dual phase gratings can be directly detected by ordinary detectors. At the same time, the X-ray interferometer using dual phase gratings can reduce the radiation dose of the sample without using absorption gratings. Meanwhile, a high fringe visibility is always preferred to achieve a high signal-to-noise ratio for X-ray grating interferometry. However, recent studies have reported that experimental fringe visibility in X-ray interferometer using dual rectangular phase gratings is relatively low. Therefore, it is necessary to further increase the fringe visibility in X-ray interferometry using dual phase gratings. This work focuses on the analysis of fringe visibility in X-ray interferometer using dual triangular phase gratings. Based on the fringe intensity distribution formula of X-ray dual phase grating interferometer, the fringe visibility of the dual triangular phase grating interferometer is investigated as a function of the grating spacing under monochromatic and polychromatic illumination, respectively. For comparison, the fringe visibility of the dual rectangular phase grating interferometer is also studied under the same condition. The results show that the maximum fringe visibility of the dual triangular phase grating interferometer increases with the phase shift increasing regardless of monochromatic or polychromatic illumination. Under monochromatic illumination, the maximum fringe visibility of dual 5π/2 triangular phase gratings is about 21% higher than that of dual rectangular phase gratings. Under polychromatic illumination, the fringe visibility of dual 5π/2 triangular phase gratings is at least 23% higher than that of dual rectangular phase gratings. Under polychromatic illumination, the greater the deviation of X-ray average energy from the grating design energy, the greater the decrease of maximum fringe visibility of the dual phase grating interferometer is. In addition, with the increase of the focal size of X-ray source, the maximum fringe visibility of the dual phase grating interferometer decreases, under polychromatic illumination. We hope that those results can be used as guidelines for designing and optimizing X-ray interferometer using dual triangular phase gratings.
In recent years, the X-ray interferometer using dual phase gratings has been extensively studied. The large periodic fringes produced by the X-ray interferometer using dual phase gratings can be directly detected by ordinary detectors. At the same time, the X-ray interferometer using dual phase gratings can reduce the radiation dose of the sample without using absorption gratings. Meanwhile, a high fringe visibility is always preferred to achieve a high signal-to-noise ratio for X-ray grating interferometry. However, recent studies have reported that experimental fringe visibility in X-ray interferometer using dual rectangular phase gratings is relatively low. Therefore, it is necessary to further increase the fringe visibility in X-ray interferometry using dual phase gratings. This work focuses on the analysis of fringe visibility in X-ray interferometer using dual triangular phase gratings. Based on the fringe intensity distribution formula of X-ray dual phase grating interferometer, the fringe visibility of the dual triangular phase grating interferometer is investigated as a function of the grating spacing under monochromatic and polychromatic illumination, respectively. For comparison, the fringe visibility of the dual rectangular phase grating interferometer is also studied under the same condition. The results show that the maximum fringe visibility of the dual triangular phase grating interferometer increases with the phase shift increasing regardless of monochromatic or polychromatic illumination. Under monochromatic illumination, the maximum fringe visibility of dual 5π/2 triangular phase gratings is about 21% higher than that of dual rectangular phase gratings. Under polychromatic illumination, the fringe visibility of dual 5π/2 triangular phase gratings is at least 23% higher than that of dual rectangular phase gratings. Under polychromatic illumination, the greater the deviation of X-ray average energy from the grating design energy, the greater the decrease of maximum fringe visibility of the dual phase grating interferometer is. In addition, with the increase of the focal size of X-ray source, the maximum fringe visibility of the dual phase grating interferometer decreases, under polychromatic illumination. We hope that those results can be used as guidelines for designing and optimizing X-ray interferometer using dual triangular phase gratings.
2023, 72(14): 149501.
doi: 10.7498/aps.72.20221941
Abstract:
Weak light phase locking is an important part of intersatellite laser interference ranging. Phase-locked loop (PLL) is used to track the phase of heterodyne interference optical signal. Owing to shot noise, laser frequency and other kinds of noise, there is a phase difference between the internal PLL local oscillator and the heterodyne signal, while the phase detection range of the PLL is only one period. If the phase difference exceeds the phase detection range at a certain time, the local oscillator may enter the wrong operating point under feedback regulation, resulting in cycle clip, which leads to subsequent phase reconstruction errors. In this paper, a cycle clip diagnosis method based on the detection background of gravitational waves is proposed. Based on the original PLL, an auxiliary frequency phase divider with larger phase detection range is introduced, which can provide a basis for judging whether the cycle clip occurs in the PLL. In this paper, a digital weak-light PLL model is established to evaluate the influence of various noise. The theoretical spectral density of the error phase is given according to the two main kinds of noise (laser phase noise and particle noise). Considering the limited detection range of PLL, large error phase may lead to cycle clip, making the PLL work at the wrong locking point. A phase meter with smaller frequency division phase range can be used to solve this problem. First, the input heterodyne sine signal is converted into in-phase square wave N frequency division. Then the phase difference is determined by comparing the output signal with output signal reduced by 1/N through the time-to-degital converter (TDC) Based on the theory of PLL and noise, the theoretical model of frequency division phase meter is established. The simulation results show that the frequency division phase meter can realize a wide range of phase detection under the current theoretical framework and has the ability to judge the cycle clip of weak light phase locking. It can be used in the weak- light phase locking task represented by LISA.
Weak light phase locking is an important part of intersatellite laser interference ranging. Phase-locked loop (PLL) is used to track the phase of heterodyne interference optical signal. Owing to shot noise, laser frequency and other kinds of noise, there is a phase difference between the internal PLL local oscillator and the heterodyne signal, while the phase detection range of the PLL is only one period. If the phase difference exceeds the phase detection range at a certain time, the local oscillator may enter the wrong operating point under feedback regulation, resulting in cycle clip, which leads to subsequent phase reconstruction errors. In this paper, a cycle clip diagnosis method based on the detection background of gravitational waves is proposed. Based on the original PLL, an auxiliary frequency phase divider with larger phase detection range is introduced, which can provide a basis for judging whether the cycle clip occurs in the PLL. In this paper, a digital weak-light PLL model is established to evaluate the influence of various noise. The theoretical spectral density of the error phase is given according to the two main kinds of noise (laser phase noise and particle noise). Considering the limited detection range of PLL, large error phase may lead to cycle clip, making the PLL work at the wrong locking point. A phase meter with smaller frequency division phase range can be used to solve this problem. First, the input heterodyne sine signal is converted into in-phase square wave N frequency division. Then the phase difference is determined by comparing the output signal with output signal reduced by 1/N through the time-to-degital converter (TDC) Based on the theory of PLL and noise, the theoretical model of frequency division phase meter is established. The simulation results show that the frequency division phase meter can realize a wide range of phase detection under the current theoretical framework and has the ability to judge the cycle clip of weak light phase locking. It can be used in the weak- light phase locking task represented by LISA.









