-
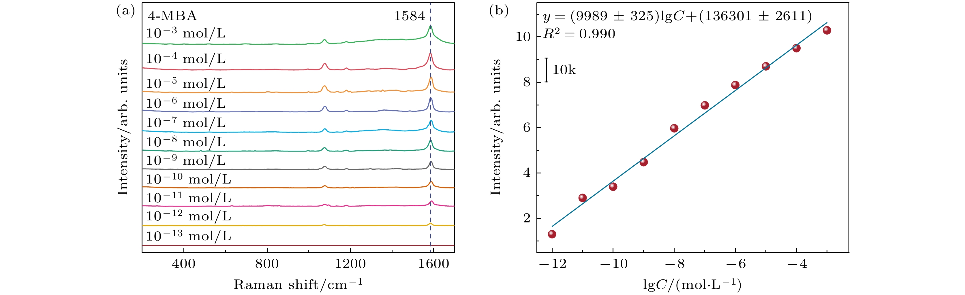
Covalent organic frameworks (COFs) have emerged as promising substrates for surface-enhanced Raman scattering (SERS) due to their highly ordered crystalline porous architecture, superior molecular adsorption and enrichment capabilities, and excellent thermal and chemical stability. However, pure COFs inherently lack plasmonic resonance and free electron density, resulting in limited electromagnetic enhancement and overall weak SERS signal, which hinders their practicality in ultrasensitive molecular detection applications. To overcome these limitations, this study aims to design and synthesize a novel ruthenium-based covalent organic framework composite (Ru-COF) by integrating ruthenium complexes directly into the COF skeleton, thereby creating a metal-organic, synergy-enhanced SERS substrate suited for trace analysis in real water. A Ru-COF is synthesized by solvothermal condensation of 1, 2, 4, 5-benzenetetramine (BTA·4HCl) with tris (4, 4'-dicarboxy-2, 2'-bipyridyl) ruthenium, forming Ru-N/O coordinated nodes within the framework. The material is characterizedusing X-ray diffraction (XRD) to confirm enhanced π-π stacking and new crystalline peaks at 10.2° and 16° in Ru-COF, Fourier-transform infrared spectroscopy (FT-IR) to verify amide and benzimidazole bond formations with shifts indicating Ru integration, Brunauer-Emmett-Teller (BET) analysis to reveal the increased specific surface areas (22.5 m2/g for Ru-COF vs. 17.2 m2/g for COF), and scanning electron microscopy (SEM) with energy-dispersive X-ray spectroscopy (EDS) mapping to show uniform distribution of C, N, O, and Ru elements in a dense layered morphology. SERS performance is evaluated using methylene blue (MB) as a probe molecule on a Renishaw InVia Raman spectrometer (514.5 nm excitation, 40 mW power, 10 s exposure), with additional tests on 4-mercaptobenzoic acid (4-MBA) for universality assessment. Enhancement mechanisms are analyzed through energy level alignments, with Ru-COF’s HOMO/LUMO at –0.95 eV/–1.12 eV (vs. vacuum) facilitating hole-injection charge transfer to MB’s levels (–2.34 eV/–4.15 eV), enhancing polarizability derivatives and Raman cross-sections via Herzberg-Teller coupling. The results demonstrate that Ru-COF exhibits superior SERS activity compared with pure COF and Ag-COF. For MB detection, the characteristic peak at 1624 cm–1 shows an analytical enhancement factor (EF) of 1.83 × 1010, calculated from normalized intensities and molecular densities, which far exceeds COF’s performance. Concentration-dependent spectra reveal a linear response from 10–3 to 10–13 mol/L (R2 = 0.997), with a limit of detection (LOD, S/N = 3) of 4.16 × 10–12 mol/L. Signal reproducibility is excellent, with a relative standard deviation (RSD) of 3.41% across 10 random spots. Cycling tests (5 repetitions) retain 90.2% of initial intensity, and long-term stability assessment shows 85.7% signal retention after four-months of air exposure. For 4-MBA, non-resonant enhancement yields an LOD of 10–12 mol/L, dominated by CM via interfacial coordination and π-π interactions. In complex matrices such as tap and river water, Ru-COF maintains LODs of 5.2 × 10–12 mol/L and 6.8 × 10–12 mol/L, respectively, with 91% signal retention after five cycles, demonstrating robust anti-interference against ions (e.g., Cl–, ${\rm SO}^{2-}_4 $) and organic impurities, attributed to the hydrophobic porous structure and stable Ru coordination. In conclusion, the Ru-COF composite represents a breakthrough in SERS substrate design by achieving ultrasensitive detection through EM-CM synergy, with key physical outcomes including high EF, sub-picomolar LODs, and exceptional spatiotemporal stability. This work provides a novel paradigm for metal-embedded COFs in plasmonic sensing and lays the groundwork for practical applications in environmental monitoring, food safety, and biomedical diagnostics.
-
Keywords:
- surface-enhanced Raman scattering /
- covalentorganic framework /
- ruthenium-based composite /
- high-sensitivity detection /
- stability
[1] Itoh T, Procházka M, Dong Z C, Ji W, Yamamoto Y S, Zhang Y, Ozaki Y 2023 Chem. Rev. 123 1552
Google Scholar
[2] Cialla-May D, Bonifacio A, Bocklitz T, Markin A, Markina N, Fornasaro S, Dwivedi A, Dib T, Farnesi E, Liu C, Ghosh A, Popp J 2024 Chem. Soc. Rev. 53 8957
Google Scholar
[3] Lee S, Dang H J, Moon J I, Kim K, Joung Y, Park S, Yu Q, Chen J D, Lu M D, Chen L X, Joo S W, Choo J 2024 Chem. Soc. Rev. 53 5394
Google Scholar
[4] Zhang W D, Peng Y S, Lin C L, Xu M M, Zhao S, Li D, Yang Y C, Yang Y 2024 Chem. Eng. J. 502 157907
Google Scholar
[5] Xie Y L, Chen L P, Cui K X, Zeng Y, Luo X J, Deng X J 2024 Talanta 279 126547
Google Scholar
[6] Hassanain W A, Johnson C L, Faulds K, Graham D, Keegan N 2022 Analyst 147 4674
Google Scholar
[7] Xu H Q, Zhang Y C, Wang Z, Jia Y H, Yang X T, Gao M 2024 J. Colloid Interface Sci. 660 42
Google Scholar
[8] Cao Y Q, Zhang J W, Yang Y, Huang Z R, Long N V, Fu C L 2015 Appl. Spectrosc. Rev. 50 499
Google Scholar
[9] Cong S, Yuan Y Y, Chen Z G, Hou J Y, Yang M, Su Y L, Zhang Y Y, Li L, Li Q W, Geng F X, Zhao Z G 2015 Nat. Commun. 6 7800
Google Scholar
[10] Kaushik A, Kapoor S, Senapati S, Singh J P 2025 Colloids Surf. B. Biointerfaces 252 114676
Google Scholar
[11] 郑林启, 时术华, 李金泽, 王子宇, 李爽 2023 物理学报 72 227401
Google Scholar
Zheng L Q, Shi S H, Li J Z, Wang Z Y, Li S 2023 Acta Phys. Sin. 72 227401
Google Scholar
[12] 刘丽双, 丑修建, 陈涛, 孙立宁 2016 物理学报 65 197301
Google Scholar
Liu L S, Chou X J, Chen T, Sun L N 2016 Acta Phys. Sin. 65 197301
Google Scholar
[13] Yang T R, Zhang Y C, Jia Y H, Xu H Q, Li J, Liu H L, Gao M 2024 Int. J. Hydrogen Energy 51 703
Google Scholar
[14] Cai J Y, Liu R H, Jia S Y, Feng Z H, Lin L, Zheng Z Q, Wu S F, Wang Z Z 2021 Opt. Mater. 122 111779
Google Scholar
[15] He H Y, Yang M S, Yu Y Z, Wang A, Mao J J, Shu R, Kuang Z B, Su Y R, Li L, Zhu J Q 2025 J. Mater. Sci. 60 6601
Google Scholar
[16] Guselnikova O, Lim H, Kim H J, Kim S H, Gorbunova A, Eguchi M, Postnikov P, Nakanishi T, Asahi T, Na J, Yamauchi Y 2022 Small 18 2107182
Google Scholar
[17] Yang Y, Li G L, Wang P X, Fan L H, Shi Y H 2022 Talanta 243 123369
Google Scholar
[18] Shang Y P, Hu A Q, Ma C Q, Gu J, Wu Y M, Zhu C, Li L, Gao H, Yang T Q, Chen G Q 2025 Food Analy. Methods 18 2165
Google Scholar
[19] 刘秀英, 李晓凤, 于景新, 李晓东 2016 物理学报 65 157302
Google Scholar
Liu X Y, Li X F, Yu J X, Li X D 2016 Acta Phys. Sin. 65 157302
Google Scholar
[20] Su R, Li S Q, Su Y G, Wang Z, Gao M 2024 Food Chem. 461 140843
Google Scholar
[21] Xu H Q, Li B Z, Meng X D, Chang X, Gao M 2025 ACS Appl. Nano Mater. 8 1173
Google Scholar
[22] Li P J, Chen J X, Xie Y L, Wu C J, Zhao Y, Luo X J 2026 Talanta 297 128737
Google Scholar
[23] Maiti S, Chowdhury A R, Das A K 2020 ChemNanoMat 6 99
Google Scholar
[24] Jia H N, Yao N, Jin Y M, Wu L Q, Zhu J, Luo W 2024 Nat. Commun. 15 5419
Google Scholar
[25] Yang Z C, Ma C Q, Gu J, Wu Y M, Zhu C, Li L, Gao H, Yin W Z, Wang Z R, Chen G Q 2023 Food Chem. 401 134078
Google Scholar
[26] Yang Y, Jiang H C, Li J L, Zhang J L, Gao S Z, Lu M L, Zhang X Y, Liang W B, Zou X Q, Yuan R, Xiao D R 2023 Mater. Horiz. 10 3005
Google Scholar
[27] Yang Y, Sandra A P, Idström A, Schäfer C, Andersson M, Evenäs L, Börjesson K 2022 J. Am. Chem. Soc. 144 16093
Google Scholar
[28] Yang Z C, Chen G Q, Shen J L, Ma C Q, Gu J, Zhu C, Li L, Gao H 2023 Spectrochim. Acta A 299 122834
Google Scholar
[29] Rabbani M G, Sekizkardes A K, El-Kadri O M, Kaafarani B R, El-Kaderi H M 2012 J. Mater. Chem. 22 25409
Google Scholar
[30] Zhang Y C, Yang T R, Li J, Zhang Q, Li B Z, Gao M 2023 Adv. Funct. Mater. 33 2210939
Google Scholar
[31] Zhang Y C, Xu H Q, Jia Y H, Yang T R, Li J, Gao M, Yang X T 2024 Appl. Surf. Sci. 644 158767
Google Scholar
[32] Zhang Y C, Jia Y H, Xu H Q, Song Y H, Gao M, Wang Z, Yang X T 2024 Int. J. Hydrogen Energy 69 1386
Google Scholar
[33] Jia Y H, Zhang Y C, Xu H Q, Li J, Gao M, Yang X T 2024 ACS Catal. 14 4601
Google Scholar
[34] Jia Y H, Xu H Q, Li B Z, Chang X, Yang X T, Wang Z, Gao M 2025 Food Chem. 488 144835
Google Scholar
[35] Zhang Y C, Xu H Q, Jia Y H, Yang X T, Gao M 2024 J. Hazard. Mater. 472 134524
Google Scholar
[36] Kumar G, Pillai R S, Khan N H, Neogi S 2021 Appl. Catalysis B: Environmental 292 120149
Google Scholar
[37] Jiang L J, Xiong S J, Yang S, Han D L, Liu Y, Yang J H, Gao M 2023 Ceram. Int. 49 19328
Google Scholar
[38] Li C, Wu C Q, Zhang K, Chen M Q, Wang Y S, Shi J J, Tang Z Y 2021 New J. Chem. 45 19775
Google Scholar
[39] Shaikh I, Haque M A, Pathan H, Sartale S 2022 Plasmonics 17 1889
Google Scholar
[40] Zheng Z J, Wang J X, Ma M Q, Xu Y P, Huang D, Wang J, Lin C Y, Lin Z Y, Luo F 2025 Sensor. Actuat. B: Chem. 444 138456
Google Scholar
-
图 5 (a) MB在Ru-COF基底上测试SERS光谱示意图; (b) 不同浓度的MB在Ru-COF基底上的SERS光谱; (c) 拉曼强度与不同MB浓度之间的线性关系; (d) Ru-COF在循环5次时的相应归一化拉曼强度; (e) Ru-COF样品在不同储存时间下的SERS强度; (f) Ru-COF在10个不同位置的MB SERS光谱
Figure 5. (a) SERS spectra of MB at COF and Ru-COF substrate; (b) SERS spectra of MB at various concentrations on the Ru-COF substrate; (c) the linear relationship between Raman intensity and different MB concentration; (d) the corresponding normalized Raman strength of the Ru-COF when it is cycled 5 times; (e) SERS intensity of Ru-COF sample at different storage times; (f) MB SERS spectra of Ru-COF at 10 different locations.
图 7 (a) Ru-COF基底在不同水样(自来水与河水)中检测MB的SERS光谱; (b) 不同浓度MB的自来水在Ru-COF基底上的SERS光谱; (c) 不同浓度MB的河水在Ru-COF基底上的SERS光谱; (d) Ru-COF在循环5次时的相应归一化拉曼强度
Figure 7. (a) SERS spectra of MB detected on the Ru-COF substrate in different water samples (tap water and river water); (b) comparison of SERS intensities of MB with various concentrations in tap water on the Ru-COF substrate; (c) comparison of SERS intensities of MB with various concentrations in river water on the Ru-COF substrate; (d) signal retention ratio of Ru-COF substrate after five repeated detections in water samples.
-
[1] Itoh T, Procházka M, Dong Z C, Ji W, Yamamoto Y S, Zhang Y, Ozaki Y 2023 Chem. Rev. 123 1552
Google Scholar
[2] Cialla-May D, Bonifacio A, Bocklitz T, Markin A, Markina N, Fornasaro S, Dwivedi A, Dib T, Farnesi E, Liu C, Ghosh A, Popp J 2024 Chem. Soc. Rev. 53 8957
Google Scholar
[3] Lee S, Dang H J, Moon J I, Kim K, Joung Y, Park S, Yu Q, Chen J D, Lu M D, Chen L X, Joo S W, Choo J 2024 Chem. Soc. Rev. 53 5394
Google Scholar
[4] Zhang W D, Peng Y S, Lin C L, Xu M M, Zhao S, Li D, Yang Y C, Yang Y 2024 Chem. Eng. J. 502 157907
Google Scholar
[5] Xie Y L, Chen L P, Cui K X, Zeng Y, Luo X J, Deng X J 2024 Talanta 279 126547
Google Scholar
[6] Hassanain W A, Johnson C L, Faulds K, Graham D, Keegan N 2022 Analyst 147 4674
Google Scholar
[7] Xu H Q, Zhang Y C, Wang Z, Jia Y H, Yang X T, Gao M 2024 J. Colloid Interface Sci. 660 42
Google Scholar
[8] Cao Y Q, Zhang J W, Yang Y, Huang Z R, Long N V, Fu C L 2015 Appl. Spectrosc. Rev. 50 499
Google Scholar
[9] Cong S, Yuan Y Y, Chen Z G, Hou J Y, Yang M, Su Y L, Zhang Y Y, Li L, Li Q W, Geng F X, Zhao Z G 2015 Nat. Commun. 6 7800
Google Scholar
[10] Kaushik A, Kapoor S, Senapati S, Singh J P 2025 Colloids Surf. B. Biointerfaces 252 114676
Google Scholar
[11] 郑林启, 时术华, 李金泽, 王子宇, 李爽 2023 物理学报 72 227401
Google Scholar
Zheng L Q, Shi S H, Li J Z, Wang Z Y, Li S 2023 Acta Phys. Sin. 72 227401
Google Scholar
[12] 刘丽双, 丑修建, 陈涛, 孙立宁 2016 物理学报 65 197301
Google Scholar
Liu L S, Chou X J, Chen T, Sun L N 2016 Acta Phys. Sin. 65 197301
Google Scholar
[13] Yang T R, Zhang Y C, Jia Y H, Xu H Q, Li J, Liu H L, Gao M 2024 Int. J. Hydrogen Energy 51 703
Google Scholar
[14] Cai J Y, Liu R H, Jia S Y, Feng Z H, Lin L, Zheng Z Q, Wu S F, Wang Z Z 2021 Opt. Mater. 122 111779
Google Scholar
[15] He H Y, Yang M S, Yu Y Z, Wang A, Mao J J, Shu R, Kuang Z B, Su Y R, Li L, Zhu J Q 2025 J. Mater. Sci. 60 6601
Google Scholar
[16] Guselnikova O, Lim H, Kim H J, Kim S H, Gorbunova A, Eguchi M, Postnikov P, Nakanishi T, Asahi T, Na J, Yamauchi Y 2022 Small 18 2107182
Google Scholar
[17] Yang Y, Li G L, Wang P X, Fan L H, Shi Y H 2022 Talanta 243 123369
Google Scholar
[18] Shang Y P, Hu A Q, Ma C Q, Gu J, Wu Y M, Zhu C, Li L, Gao H, Yang T Q, Chen G Q 2025 Food Analy. Methods 18 2165
Google Scholar
[19] 刘秀英, 李晓凤, 于景新, 李晓东 2016 物理学报 65 157302
Google Scholar
Liu X Y, Li X F, Yu J X, Li X D 2016 Acta Phys. Sin. 65 157302
Google Scholar
[20] Su R, Li S Q, Su Y G, Wang Z, Gao M 2024 Food Chem. 461 140843
Google Scholar
[21] Xu H Q, Li B Z, Meng X D, Chang X, Gao M 2025 ACS Appl. Nano Mater. 8 1173
Google Scholar
[22] Li P J, Chen J X, Xie Y L, Wu C J, Zhao Y, Luo X J 2026 Talanta 297 128737
Google Scholar
[23] Maiti S, Chowdhury A R, Das A K 2020 ChemNanoMat 6 99
Google Scholar
[24] Jia H N, Yao N, Jin Y M, Wu L Q, Zhu J, Luo W 2024 Nat. Commun. 15 5419
Google Scholar
[25] Yang Z C, Ma C Q, Gu J, Wu Y M, Zhu C, Li L, Gao H, Yin W Z, Wang Z R, Chen G Q 2023 Food Chem. 401 134078
Google Scholar
[26] Yang Y, Jiang H C, Li J L, Zhang J L, Gao S Z, Lu M L, Zhang X Y, Liang W B, Zou X Q, Yuan R, Xiao D R 2023 Mater. Horiz. 10 3005
Google Scholar
[27] Yang Y, Sandra A P, Idström A, Schäfer C, Andersson M, Evenäs L, Börjesson K 2022 J. Am. Chem. Soc. 144 16093
Google Scholar
[28] Yang Z C, Chen G Q, Shen J L, Ma C Q, Gu J, Zhu C, Li L, Gao H 2023 Spectrochim. Acta A 299 122834
Google Scholar
[29] Rabbani M G, Sekizkardes A K, El-Kadri O M, Kaafarani B R, El-Kaderi H M 2012 J. Mater. Chem. 22 25409
Google Scholar
[30] Zhang Y C, Yang T R, Li J, Zhang Q, Li B Z, Gao M 2023 Adv. Funct. Mater. 33 2210939
Google Scholar
[31] Zhang Y C, Xu H Q, Jia Y H, Yang T R, Li J, Gao M, Yang X T 2024 Appl. Surf. Sci. 644 158767
Google Scholar
[32] Zhang Y C, Jia Y H, Xu H Q, Song Y H, Gao M, Wang Z, Yang X T 2024 Int. J. Hydrogen Energy 69 1386
Google Scholar
[33] Jia Y H, Zhang Y C, Xu H Q, Li J, Gao M, Yang X T 2024 ACS Catal. 14 4601
Google Scholar
[34] Jia Y H, Xu H Q, Li B Z, Chang X, Yang X T, Wang Z, Gao M 2025 Food Chem. 488 144835
Google Scholar
[35] Zhang Y C, Xu H Q, Jia Y H, Yang X T, Gao M 2024 J. Hazard. Mater. 472 134524
Google Scholar
[36] Kumar G, Pillai R S, Khan N H, Neogi S 2021 Appl. Catalysis B: Environmental 292 120149
Google Scholar
[37] Jiang L J, Xiong S J, Yang S, Han D L, Liu Y, Yang J H, Gao M 2023 Ceram. Int. 49 19328
Google Scholar
[38] Li C, Wu C Q, Zhang K, Chen M Q, Wang Y S, Shi J J, Tang Z Y 2021 New J. Chem. 45 19775
Google Scholar
[39] Shaikh I, Haque M A, Pathan H, Sartale S 2022 Plasmonics 17 1889
Google Scholar
[40] Zheng Z J, Wang J X, Ma M Q, Xu Y P, Huang D, Wang J, Lin C Y, Lin Z Y, Luo F 2025 Sensor. Actuat. B: Chem. 444 138456
Google Scholar
Catalog
Metrics
- Abstract views: 534
- PDF Downloads: 15
- Cited By: 0









DownLoad: